Effects of Pilot Injection Timing and EGR on Combustion, Performance and Exhaust Emissions in a Common Rail Diesel Engine Fueled with a Canola Oil Biodiesel-Diesel Blend
Abstract
:1. Introduction
2. Experimental Materials and Methods
2.1. Test Fuel and Operating Conditions
| Properties (units) | Pure Diesel | Neat BD | BD 20 | Test Method |
|---|---|---|---|---|
| Density (kg/m3 at 15 °C) | 836.8 | 880 | 846 | ASTM D941 |
| Viscosity (mm2/s at 40 °C) | 2.719 | 4.290 | 2.991 | ASTM D445 |
| Calorific value (MJ/kg) | 43.96 | 39.49 | 42.71 | ASTM D4809 |
| Cetane index | 55.8 | 61.5 | - | ASTM D4737 |
| Flash point (°C) | 55 | 182 | - | ASTM D93 |
| Pour point (°C) | −21 | −8 | - | ASTM D97 |
| Oxidation stability (h/110 °C) | 25 | 15 | - | EN 14112 |
| Ester content (%) | - | 98.9 | - | EN 14103 |
| Oxygen (%) | 0 | 10.8 | - | - |
| Test Parameters | Unit | Operating Conditions |
|---|---|---|
| Engine speed | rpm | 2000 |
| Torque | Nm | 30 |
| Test fuel | - | BD blended rate with diesel (vol %) |
| BD20 | - | Diesel 80% + biodiesel 20% |
| Cooling water temp. | °C | 70 ± 3 |
| Intake air temp. | °C | 20 ± 3 |
| Gas recirculation (EGR) rate | % | 0, 10, 20, 30 |
| Injection pressure | MPa/rpm | 45/2000 |
| Pilot injection timing | Degree(°) | BTDC 5, 10, 15, 20 |
| Main injection timing | Degree(°) | TDC 0 |
2.2. Test Engine and Experimental Procedure

| Test Model | Parameter (units) | Specification |
|---|---|---|
| Engine type | Engine type | 4-cylinder |
| Bore (mm) | 81 | |
| Stroke (mm) | 96 | |
| Displacement (cm3) | 1979 | |
| Combustion type | Direct injection | |
| Injection procedure | 1-3-4-2 | |
| Compression ratio | 17.7:1 | |
| Maximum power (kW/rpm) | 82/at 4000 | |
| Maximum torque (Nm/rpm) | 260/at 2000 | |
| Maximum engine speed (rpm) | 4500 | |
| Fuel injection system | Fuel control | ECU control |
| Injection system | Common-rail | |
| Maximum fuel pressure (MPa) | 145 | |
| Number of injector nozzle holes | 5 | |
| Injector spray angle (degree) | 150 | |
| Injector hole diameter (mm) | 0.17 |
| Method of Detection | Species | Unit | Range | Resolution | Accuracy |
|---|---|---|---|---|---|
| Electrochemical | O2 | % | 0%–30% | 0.1% | ±0.57% |
| Electrochemical | CO | ppm | 0–4000 ppm | 1 ppm | ±0.62% |
| Pellistor | HC | % | 0%–5% | 0.01% | ±0.8% |
| Electrochemical | NO | ppm | 0–5000 ppm | 1 ppm | ±0.25% |
| Electrochemical | NO2 | ppm | 0–1000 ppm | 1 ppm | ±0.25% |
| Smoke opacity | PM | % | 0%–100% | 0.1% | ±1% |
3. Results and Discussion
3.1. Combustion Characteristics



3.2. Engine Performance
3.2.1. Pmax and IMEP

3.2.2. BSFC and BSEC


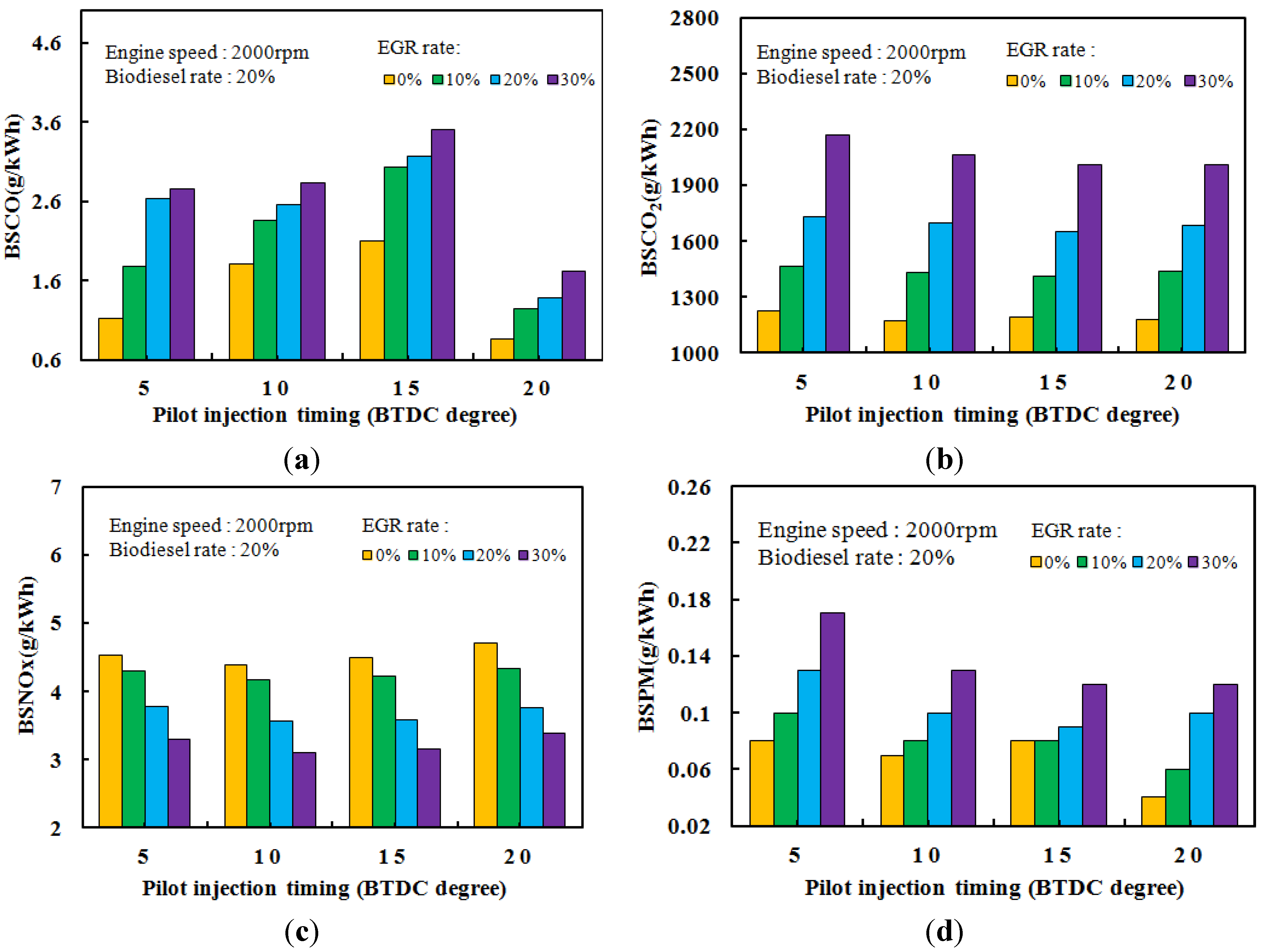
3.3. Exhaust Emissions Characteristics

4. Conclusions
- On the effects on combustion stability: the combustion was delayed as the pilot injection timing retarded. In addition, the ignition delay was shorter when the pilot injection timing was closer to the main injection timing.
- On the effects on engine combustion: as the pilot injection timing was advanced, the combustion pressure and HRR changed slightly. As the EGR rate was increased, the combustion pressure and HRR decreased slightly.
- On the effects on engine performance: as the pilot injection timing was advanced, the Pmax, BSEC, IMEP and BSFC changed slightly. As the EGR rate was increased, the Pmax and IMEP decreased slightly, and the BSFC and BSEC increased slightly.
- On the effects on exhaust emissions: as the pilot injection timing was advanced, CO and PM emissions decreased considerably, with a minimum value at BTDC 20°; NOx emissions increased slightly; and CO2 emissions decreased slightly. As the EGR rate was increased, NOx emissions decreased considerably, and CO, CO2, and PM emissions increased.
Acknowledgments
Author Contributions
Conflicts of Interest
References
- Sun, Y.L.; Zhuang, G.S.; Tang, A.H.; Wang, Y.; An, Z.S. Chemical Characteristics of PM2.5 and PM10 in Haze-Fog Episodes in Beijing. Environ. Sci. Technol. 2006, 40, 3148–3155. [Google Scholar] [CrossRef] [PubMed]
- Kang, C.M.; Lee, H.S.; Kang, B.W.; Lee, W.K.; Woo, Y.S. Chemical characteristics of acidic gas pollutants and PM2.5 species during hazy episodes in Seoul, South Korea. Atmos. Environ. 2004, 38, 4749–4760. [Google Scholar]
- Watson, J.G. Visibility: Science and Regulation. Air Waste Manag. Assoc. 2002, 52, 628–713. [Google Scholar] [CrossRef]
- Agarwal, A.K. Biofuels (alcohols and biodiesels) application as fuels for internal combustion engines. Prog. Energy Combust. Sci. 2007, 33, 233–271. [Google Scholar] [CrossRef]
- Demirbas, A. Progress and recent trends in biofuels. Prog. Energy Combust. Sci. 2007, 33, 1–18. [Google Scholar] [CrossRef]
- Alton, R.; Cetinkaya, S.; Yucesu, H.S. The potential of using vegetable oil fuels as fuel for diesel engines. Energy Convers. Manag. 2001, 42, 529–538. [Google Scholar]
- Basak, A.; Patra, J.; Ganguly, R.; Datta, A. Effect of transesterification of vegetable oil on liquid flow number and spray cone angle for pressure and twin fluid atomizers. Fuel 2013, 112, 347–354. [Google Scholar] [CrossRef]
- Sarin, R.; Kumar, R.; Srivastav, B.; Puri, S.K.; Tuli, D.K.; Malhotra, R.K.; Kumar, A. Biodiesel surrogates: Achieving performance demands. Bioresour. Technol. 2009, 100, 3022–3028. [Google Scholar] [CrossRef] [PubMed]
- Graboski, M.S.; McCormick, R.L. Combustion of fat and vegetable oil derived fuels in diesel engines. Prog. Energy Combust. Sci. 1998, 24, 125–164. [Google Scholar] [CrossRef]
- McCormick, R.L.; Tennant, C.J.; Hayes, R.R.; Black, S. Regulated emissions from biodiesel tested in heavy duty engines meeting 2004 emission standards. In Proceedings of the 2005 SAE Brasil Fuels & Lubricants Meeting, Rio De Janeiro, Brazil, 11–13 May 2005.
- Yoon, S.H.; Park, S.H.; Lee, C.S. Experimental investigation on the fuel properties of biodiesel and its blends at various temperatures. Energy Fuels 2008, 22, 652–656. [Google Scholar] [CrossRef]
- Yoon, S.H.; Lee, C.S. Experimental investigation on the combustion and exhaust emission characteristics of biogas-biodiesel dual-fuel combustion in a CI engine. J. Fuel Process. Technol. 2011, 92, 992–1000. [Google Scholar] [CrossRef]
- Brian, S.; William, R.M.; Bend, B.; Winfried, D.; Stefan, F. Recent DPF/SCR results targeting US 2007 and EURO 4/5 HD emissions. In Proceedings of the SAE 2003 World Congress & Exhibition, Detroit, MI, USA, 3–6 March 2003.
- Yongsheng, H.; David, B.B.; Shuguang, L.; Micheal, J.P.; Jianwen, L. Opportunities and challenges for cleaned 2-way SCR/DPF after treatment technologies. In Proceedings of the SAE World Congress & Exhibition, Detroit, MI, USA, 20–23 April 2009.
- Kim, M.Y.; Yoon, S.H.; Lee, C.S. Impact of split injection strategy on the exhaust emissions and PM particulates from a compression ignition engine fueled with neat biodiesel. Energy Fuels 2008, 22, 1260–1265. [Google Scholar] [CrossRef]
- Kim, M.Y.; Yoon, S.H.; Hwang, J.W.; Lee, C.S. Characteristics of particulate emissions of compression ignition engine fueled with biodiesel derived from soybean. J. Eng. Gas Turbine Power 2008, 130. [Google Scholar] [CrossRef]
- Jaichandar, S.; Annamalai, K. Status of biodiesel as an alternative fuel for diesel engine—An overview. J. Sustain. Energy & Environ. 2011, 2, 71–75. [Google Scholar]
- Oner, C.; Altun, S. Biodiesel production from inedible animal tallow and an experimental investigation of its use as alternative fuel in a direct injection diesel engine. Appl. Energy 2009, 86, 2114–2120. [Google Scholar] [CrossRef]
- Sahoo, P.K.; Das, L.M.; Babu, M.K.G.; Arora, P.; Singh, V.P.; Kumar, N.R.; Varyani, T.S. Comparative evaluation of performance and emission characteristics of Jatropha, Karanja and Polanga based biodiesel as fuel in a tractor engine. Fuel 2009, 88, 1698–1707. [Google Scholar] [CrossRef]
- Ozsezen, A.N.; Canakci, M.; Turkcan, A.; Sayin, C. Performance and combustion characteristics of a DI diesel engine fueled with palm oil and canola oil methyl esters. Fuel 2009, 88, 629–636. [Google Scholar] [CrossRef]
- Ziejewski, M.; Goettler, H.; Pratt, G.L. Comparative Analysis of the Long-Term Performance of a Diesel Engine on Vegetable Oil Based Alternate Fuels. SAE Technical Paper 1986. [Google Scholar] [CrossRef]
- Montagne, X. Introduction of Rapeseed Methyl Ester in Diesel Fuel-The French National Program. SAE Technical Paper 1996. [Google Scholar] [CrossRef]
- İlkılıç, C.; Çılğın, E.; Aydın, H. Terebinth oil for biodiesel production and its diesel engine application. J. Energy Inst. 2015, 88, 292–303. [Google Scholar] [CrossRef]
- Korus, R.A.; Mousetis, T.L.; Lloyd, L. Polymerization of vegetable oils. In ASAE Publication, Proceedings of the International Conference on Plant and Vegetable Oils as Fuels, Fargo, ND, USA, 2 August 1982.
- Yahya, A.; Marley, S.J. Performance and exhaust emissions of a compression ignition engine operating on ester fuels at increased injection pressure and advanced timing. Biomass Bioenergy 1994, 6, 297–319. [Google Scholar] [CrossRef]
- Clark, S.J.; Wagner, L.; Schrock, M.D.; Piennaar, P.G. Methyl and ethyl soybean esters as renewable fuels for diesel engines. JAOCS 1984, 61, 1632–1643. [Google Scholar] [CrossRef]
- Pestes, M.N.; Stanislao, J. Piston ring deposits when using vegetable oil as a fuel. J. Test. Eval. 1984, 12, 61–68. [Google Scholar]
- Vellguth, G. Performance of Vegetable Oils and Their Monoesters as Fuels For Diesel Engines. In SAE Technical Papers, Proceeding of Off-Highway Metting & Exposition, Milwaukee, WL, USA, 12–15 September 1983.
- Gülüm, M.; Bilgin, A. Density, flash point and heating value variations of corn oil biodiesel–diesel fuel blends. Fuel Process. Technol. 2015, 134, 456–464. [Google Scholar] [CrossRef]
- No, S.Y. Inedible vegetable oils and their derivatives for alternative diesel fuels in CI engines: A review. Renew Sustain Energy Rev. 2011, 15, 131–149. [Google Scholar] [CrossRef]
- Perkins, L.A.; Peterson, C.L. Durability Testing of Transesterified Winter Rape Oil (Brassica Napus L.) as Fuel in Small Bore, Multicylinder, DI, CI Engines. In SAE Technical Papers, Proceeding of the International Off-Highway & Powerplant Congress & Exposition, Warrendale, PA, USA, 1991.
- Puhan, S.; Vedaraman, N.; Ram, V.B. Mahua oil (Madhucaindica seed oil) methyl ester as biodiesel preparation and emission characteristics. Biomass Bioenergy 2005, 28, 87–93. [Google Scholar] [CrossRef]
- Chang, D.Y.Z.; Van Gerpen, J.H.; Lee, I.; Johnson, L.A.; Hammond, E.G.; Marley, S.J. Fuel properties and emissions of soybean oil esters as diesel fuel. J. Am. Oil Chem. Soc. 1996, 73, 1549–1555. [Google Scholar] [CrossRef]
- Choi, C.Y.; Reitz, R.D. An experimental study on the effects of oxygenated fuel blends and multiple injection strategies on DI diesel engine emissions. Fuel 1999, 78, 1303–1317. [Google Scholar] [CrossRef]
- Lee, C.S.; Park, S.W.; Kwon, S.I. An Experimental Study on the Atomization and Combustion Characteristics of Biodiesel-Blended Fuels. Energy Fuel 2005, 19, 2201–2208. [Google Scholar] [CrossRef]
- Grimaldi, C.; Postriot, L. Experimental Comparison Between Conventional and Bio-derived Fuels Sprays from a Common Rail Injection System. In SAE Technical Papers, Proceeding of the SAE 2000 World Congress, Detroit, MI, USA, 3–6 March 2000.
- Tsolakis, A. Effects on Particle Size Distribution from the Diesel Engine Operating on REM-Biodiesel with EGR. Energy Fuels 2006, 20, 1418–1424. [Google Scholar] [CrossRef]
- Yoon, S.K.; Kim, M.S.; Kim, H.J.; Choi, N.J. Effects of canola oil biodiesel fuel blends on combustion, performance, and emissions reduction in a common rail diesel engine. Energies 2014, 7, 8132–8149. [Google Scholar] [CrossRef]
- Heywood, J.B. Internal Combustion Engine Fundamentals; McGraw-Hill Inc.: New York, NY, USA, 1988; pp. 509–510. [Google Scholar]
© 2015 by the authors; licensee MDPI, Basel, Switzerland. This article is an open access article distributed under the terms and conditions of the Creative Commons Attribution license (http://creativecommons.org/licenses/by/4.0/).
Share and Cite
Ge, J.C.; Kim, M.S.; Yoon, S.K.; Choi, N.J. Effects of Pilot Injection Timing and EGR on Combustion, Performance and Exhaust Emissions in a Common Rail Diesel Engine Fueled with a Canola Oil Biodiesel-Diesel Blend. Energies 2015, 8, 7312-7325. https://doi.org/10.3390/en8077312
Ge JC, Kim MS, Yoon SK, Choi NJ. Effects of Pilot Injection Timing and EGR on Combustion, Performance and Exhaust Emissions in a Common Rail Diesel Engine Fueled with a Canola Oil Biodiesel-Diesel Blend. Energies. 2015; 8(7):7312-7325. https://doi.org/10.3390/en8077312
Chicago/Turabian StyleGe, Jun Cong, Min Soo Kim, Sam Ki Yoon, and Nag Jung Choi. 2015. "Effects of Pilot Injection Timing and EGR on Combustion, Performance and Exhaust Emissions in a Common Rail Diesel Engine Fueled with a Canola Oil Biodiesel-Diesel Blend" Energies 8, no. 7: 7312-7325. https://doi.org/10.3390/en8077312
APA StyleGe, J. C., Kim, M. S., Yoon, S. K., & Choi, N. J. (2015). Effects of Pilot Injection Timing and EGR on Combustion, Performance and Exhaust Emissions in a Common Rail Diesel Engine Fueled with a Canola Oil Biodiesel-Diesel Blend. Energies, 8(7), 7312-7325. https://doi.org/10.3390/en8077312

