Abstract
A starch-based ethanol facility producing 200,000 m3 ethanol/year also produces ca. 2 million m3 thin stillage, which can be used to improve the entire process. In this work, five food-grade filamentous fungi, including a Zygomycete and four Ascomycetes were successfully grown in thin stillage containing 9% solids. Cultivation with Neurospora intermedia led to the production of ca. 16 g·L−1 biomass containing 56% (w/w) crude protein, a reduction of 34% of the total solids, and 5 g·L−1 additional ethanol. In an industrial ethanol production process (200,000 m3 ethanol/year), this can potentially lead to the production of 11,000 m3 extra ethanol per year. Cultivation with Aspergillus oryzae resulted in 19 g·L−1 biomass containing 48% (w/w) crude protein and the highest reduction of the thin stillage glycerol (54%) among the Ascomycetes. Cultivation with Rhizopus sp. produced up to 15 g·L−1 biomass containing 55% (w/w) crude protein. The spent thin stillage had been reduced up to 85%, 68% and 21% regarding lactic acid, glycerol and total solids, respectively. Therefore, N. intermedia, in particular, has a high potential to improve the ethanol process via production of additional ethanol and high-quality biomass, which can be considered for animal feed applications such as for fish feed.
1. Introduction
Production of renewable fuels with comparable costs to fossil fuels is a hot topic. In particular, ethanol has triggered intense commercial interest due to its use in the transport sector as a viable alternative to petroleum fuel. Global production of ethanol was 86.1 billion liters in 2011, which corresponded to a contribution of around 0.6% to the worldwide energy [1]. Forecasts state that future ethanol production will reach 100 billion liters in 2015 [2]. In Sweden, the commercial production of ethanol is based on starch, mostly obtained from wheat [3]. Generally, starch-based ethanol processes give rise to two products: ethanol and an animal feed known as dry distiller grains with soluble (DDGS, Figure 1). Considering that the starch-based process gives rise to approximately the same amount of DDGS as ethanol, ca. 68 million tons DDGS was produced in 2011 [4]. Recently, research on the overall process leading to the production of feed products has been triggered. Thin stillage, in particular, has been considered to be a potential source of further improvement of the overall ethanol process via production of other products such as protein- and lipid-rich biomass [5,6].
Figure 1.
General overview of the main starch-based ethanol process pathways leading to the production of ethanol and dry distiller grains with solubles (DDGS).
Figure 1.
General overview of the main starch-based ethanol process pathways leading to the production of ethanol and dry distiller grains with solubles (DDGS).

Filamentous fungi have been prime catalysts in biotechnological processes towards valorisation of a wide range of by-products. Alcohols, organic acids, or enzymes are a few examples of fungal products. Moreover, their biomass has been a target of intense research and considered to be a potential source of single cell protein. Particular interest has been paid to filamentous fungi with known ancient use for the production of human food products [7,8]. For instance, Zygomycetes fungi, mainly those belonging to the genus Rhizopus have been well known for hundreds of years for their use in the preparation of fermented foods such as tempe and tofu [8]. On the other hand, the Ascomycetes include Fusarium venenatum, which under the trade name Quorn® might be the most studied microorganism for the production of human food [9]; Aspergillus oryzae, which is one of the most studied fungal species at the industrial scale for production of various fungal products [10]; Monascus purpureus, which has been used for production of red fermented rice for over a thousand years in Asian countries [11] and Neurospora intermedia, which is used for the preparation of oncom, an indigenous Indonesian food [12].
Thin stillage from corn-based ethanol industries has already been researched for production of several products, such as high-value biomass made using Rhizopus oligosporus [5,13], butanol using Clostridium pasteurianum [14], single-cell oil using Mucor circinelloides [6], eicosapentaenoic acid (EPA) using Pythium irregulare [15], and biogas [16] and ethanol using metabolically engineered Escherichia coli [17]. The production of ethanol from thin stillage is greatly interesting from a process economics standpoint since it could be recovered without needing additional steps: the produced ethanol left after the series of evaporations can be sent back into the process and follows the general stream towards the distillation column (Figure 1). Additionally, the produced biomass after a harvesting step could be simply directed to the installed dryers as proposed by Lennartsson, et al. [18] and the resulting effluent should be easier to treat due to prior removal of organic matter by the fungus.
In this work, a study on ethanol and high-quality fungal biomass production from mostly wheat-based thin stillage was carried out via submerged cultivation of food-grade microorganisms, namely a Zygomycete Rhizopus sp. and the Ascomycetes A. oryzae, F. venenatum, M. purpureus and N. intermedia. To the best of our knowledge this is the first research work on thin stillage valorisation using these Ascomycetes species. Special focus was placed on the influence of strain type on the production and composition of the fungal biomass as well as on the composition of the resulting thin stillage. The temperature effect upon Rhizopus sp. cultivation in thin stillage was also studied in this work.
2. Experimental Section
2.1. Thin Stillage
Thin stillage was provided by Lantmännen Agroetanol (Norrköping, Sweden), an ethanol production facility mostly based on wheat. The thin stillage used in this work originated from one single industrial batch. It was autoclaved in 5 L plastic bottles for 30 min at 121 °C and stored at 4 °C prior to use.
2.2. Microorganisms
Five different microorganisms belonging to the Zygomycetes or Ascomycetes fungal groups were used. The Zygomycete was a Rhizopus sp. previously identified as R15 isolated from starting cultures for tempe preparation [19]. The four Ascomycetes strains used were Aspergillus oryzae var. oryzae CBS 819.72 (Centraalbureau voor Schimmelcultures, Utrecht, The Netherlands), Fusarium venenatum ATCC 20334 (American Type Culture Collection, Manassas, VA, USA), Monascus purpureus CBS 109.07 and Neurospora intermedia CBS 131.92. All fungi were maintained on potato dextrose agar (PDA) slants containing (in g·L−1): glucose 20, agar 15 and potato extract 4. The slants were renewed every six months. New PDA plates were prepared via incubation for 3–5 days at 30 °C followed by storage at 4 °C. For spore solution preparation, Zygomycetes plates were flooded with 20 mL of distilled water, while Ascomycetes plates, except those with M. purpureus (5 mL), were flooded with 10 mL. A disposable plastic spreader was used to extract the spores.
2.3. Cultivation in Shake Flasks
Rhizopus sp. was first examined for consumption of pentose sugars in a semi-synthetic medium containing (in g·L−1): arabinose or xylose 20, yeast extract 5, (NH4)2SO4 7.5, KH2PO4 3.5, CaCl2∙2H2O 1.0 and MgSO4∙7H2O 0.75 and supplemented with trace metals (10 mL·L−1) and vitamin (1 mL·L−1) according to Sues et al. [20]. The cultivations were performed in 250 mL cotton-plugged Erlenmeyer flasks containing 50 mL medium at pH 5.5 at 30 °C. Spore concentration was 6 × 104 spores·mL−1. Cultivations were carried out for 12 and 5 days in arabinose-containing and xylose-containing medium, respectively. Rhizopus cultivations in undiluted thin stillage were performed in 1 L cotton-plugged Erlenmeyer flasks containing 0.2 L thin stillage adjusted to pH 4.5 ± 0.2 with 10 M NaOH. The flasks were maintained either at 25 °C, 30 °C, 35 °C, 40 °C or 45 °C. Spore concentration was 2 × 105 spores·mL−1 and the cultivation time was 96 h. Cultivations with Ascomycetes were performed using 250 mL cotton-plugged Erlenmeyer flasks containing 50 mL of undiluted thin stillage adjusted to pH 5.5 with 10 M NaOH. The flasks were maintained at 30 °C. Inoculum concentration was 2 × 106, 6 × 105, 7 × 105 spores·mL−1 and 9 × 104 colony-forming units (CFU)·mL−1 of A. oryzae, N. intermedia, M. purpureus and F. venenatum, respectively. The cultivation time was three days. All cultivations were carried out in water baths shaking at 125 rpm under aerobic conditions. The biomass was harvested either at the end or during cultivation using a sieve and extensively washed with distilled water until a clear effluent was obtained. All solutions except thin stillage were sterilised in an autoclave at 121 °C for 20 min.
2.4. Analytical Methods
Harvested biomass was dried to constant weight in an oven for 24 h at 70 °C and reported as biomass production in g·L−1. The biomass crude protein was determined according to the Kjeldahl method using block digestion and steam distillation (Application note 300, Rev. 8.0, FOSS, Eden Prairie, MN, USA) by Eurofins (Lidköping, Sweden). A Kjeltec™ 8400 analyser unit and a 2400/2460 Kjeltec™ autosampler system were used. Crude protein was determined as Nitrogen × Protein Factor (6.25). Total nitrogen in the thin stillage was determined using a Nanocolor® 500 D Universal Photometer (Macherey-Nagel, Düren, Germany). A Nanocolor total nitrogen kit within the range 5–220 mg·L−1·N was used.
The total solids and suspended solids in the thin stillage was determined according to the National Renewable Energy Laboratory (NREL) method for determination of total solids in biomass and total dissolved solids in liquid process samples [21]. The cell wall material as alkali-insoluble material (AIM) was prepared by dried biomass treatment with 0.5 M NaOH (30 mL·g−1). The AIM was separated via centrifugation (5000 × g, 5 min), washed until neutral pH and dried using a freeze-dryer (Labconco, Kansas City, MO, USA). The cell wall contents of glucosamine and N-acetylglucosamine were determined according to a previous method [22] with some modifications; specifically, the acid hydrolysate was diluted to a glucosamine range of 0.01–0.1 g·mL−1 and the pH was adjusted to 3 with 0.5 M NaAc before addition of 3-metyl-2-benzothiozolone-hydrazone-hydrochloride (MTBH) [23].
The liquid fractions from the thin stillage and acid-treated Rhizopus cell wall were analysed using high-performance liquid chromatography (HPLC). A hydrogen-ion based ion-exchange column (Aminex HPX-87H, Bio-Rad, Hercules, CA, USA) at 60 °C and 0.6 mL·min−1. 5 mM H2SO4 as eluent was used for analyses of acetic acid, ethanol, glycerol and lactic acid. Additionally, a lead (II)-based column (Aminex HPX-87P, Bio-Rad) at 85 °C and 0.6 mL·min−1 ultrapure water was used for separation of xylose and arabinose. An ultraviolet (UV) absorbance detector (Waters 2487, Waters Corporation, Milford, MA, USA), operating at 210 nm wavelength was used in series with a refractive index (RI) detector (Waters 2414). All samples for HPLC analysis were centrifuged for 5 min at 10,000 × g, and the supernatant was frozen at −20 °C.
2.5. Statistical Analysis
All experiments and analyses were carried out in duplicate and analysed with the software package MINITAB 15 (Minitab Inc., State College, PA, USA). All error bars and intervals reported represent two standard deviations. Results were analysed with ANOVA (analysis of variance) tables, using one-way models and factors were considered significant when their p-value was less than 0.05. When applied, pairwise comparisons were performed according to the Tukey test.
3. Results and Discussion
3.1. Characteristics of Thin Stillage and Rhizopus sp. Cultivation in Pentose Sugars
The thin stillage from corn-based ethanol production has previously been shown to be a good growth medium for production of nutritionally rich biomass using filamentous fungi [5]. However, research performed on thin stillage derived from ethanol production using other cereals such as wheat is scarce in literature. In this study wheat-based thin stillage from a Swedish ethanol facility was mostly used and some of its characteristics are presented in Table 1. Altogether, organic acids, glycerol, ethanol and pentose sugars represented around 13% of the ca. 92 g·L−1 of total solids. The thin stillage also contained around 5 g·L−1 of nitrogen reinforcing its high potential to be used as the sole cultivation medium. The remaining fraction of the thin stillage most likely consists of fiber, oil, other cereal-unfermented components, salts and dead yeast cells, which are also potential nutrient sources.
Reasonably, microorganisms able to consume pentose sugars would be preferable for cultivation in thin stillage. Contrary to Saccharomyces cerevisiae, Zygomycetes fungi are well known for their capability to consume pentose sugars. However, their ability to assimilate xylose is far better investigated than for arabinose [8]. Rhizopus sp. was first examined for assimilation of arabinose and xylose in semi-synthetic medium. It consumed 83% ± 1% of the initial arabinose after 12 days of cultivation. The fastest consumption rate of (2.0 ± 0.1) g·L−1·d−1 was reached after six days. The produced biomass was (4.1 ± 1.0) g·L−1, corresponding to a yield of (285 ± 78) mg·biomass·g−1 consumed arabinose. No metabolites were produced upon arabinose consumption. The Rhizopus sp. consumed all xylose within 60 h of cultivation. The highest xylose consumption rate of about (570 ± 90) mg·L−1·h−1 was reached after 36 h. The produced biomass was 5.1 ± 0.0 g·L−1, corresponding to a yield of (306 ± 2) mg·biomass·g−1 consumed xylose. Other than biomass, Rhizopus sp. produced ethanol, glycerol, lactic acid and xylitol, with yields of (128 ± 12) mg·g−1, (88 ± 1) mg·g−1, (74 ± 11) mg·g−1 and (47 ± 15) mg·g−1 consumed xylose, respectively. The production of the intermediate xylitol indicates that xylose conversion occurs through the general fungal pathway [24]. The Rhizopus strain used in this study is evidently a potential candidate to be used as a catalyst in fermentations of pentose-containing substrates such as thin stillage.
Table 1.
Characterisation of the industrial thin stillage derived from wheat-based ethanol production process used in the present work.
| Parameter | Value | Parameter | Value |
|---|---|---|---|
| pH | 3.5 | Arabinose (g·L−1) | 1.5 ± 0.1 |
| Total nitrogen (g·L−1) | 5.0 ± 0.4 | Glycerol (g·L−1) | 7.0 ± 0.1 |
| Soluble total nitrogen (g·L−1) | 2.1 ± 0.4 | Lactic acid (g·L−1) | 1.8 ± 0.1 |
| Total solids (%, w/v) | 9.2 ± 0.9 | Acetic acid (g·L−1) | 0.21 ± 0.01 |
| Suspended solids (%, w/v) | 3.8 ± 0.3 | Ethanol (g·L−1) | 1.2 ± 0.2 |
| Xylose (g·L−1) | 0.8 ± 0.1 |
3.2. Cultivation in Thin Stillage with a Rhizopus sp.
The growth performance of filamentous fungi has been studied in corn-based thin stillage. Mitra et al. [6] and Liang et al. [15] have reported growth of Mucor circinelloides and Pythium irregulare in 6% total solids thin stillage, respectively. The latter was further shown to perform better in 50% diluted thin stillage. The need for the dilution of thin stillage containing 8% or more total solids has been reported when using Rhizopus oligosporus [5]. In this work, Rhizopus sp. was successfully grown in mostly wheat-based thin stillage containing ca. 9% total solids, and its growth profiles within the range 25–45 °C are depicted in Figure 2. Similar produced biomass values (around 6.5 g·L−1) were achieved at the beginning of cultivation within the range 30–40 °C; a lower value was achieved at 45 °C (ca. 4 g·L−1); and a longer lag phase was observed at 25 °C. The highest maximum produced biomass value (ca. 15 g·L−1) was obtained at 30 °C, while the lowest one was obtained at 45 °C (<10 g·L−1) (Table 2). Significant statistical differences were found on biomass production within examined temperatures (p = 0.000); 45 °C was found to be statistically different from the other tested temperatures. Maximum biomass productivities of (366 ± 26) mg·L−1·h−1, (364 ± 52) mg·L−1·h−1, (358 ± 19) mg·L−1·h−1 and (234 ± 40) mg·L−1·h−1 were obtained after 18 h of cultivation at 30 °C, 35 °C, 40 °C and 45 °C, respectively; a maximum of (282 ± 2) mg·L−1·h−1 was obtained after 24 h cultivation at 25 °C. The Rhizopus sp. also exhibited different growth morphologies during cultivation at different temperatures. It grew as small mycelial clumps at 30 °C, 35 °C and 40 °C, while it grew as small mycelial pellets at 25 °C and 45 °C. The capacity of Rhizopus sp. to grow well up to 40° C is very relevant, since this could potentially lead to energy savings during cooling of the thin stillage after distillation.
When evaluating the potential to use fungal biomass as a nutrient source for feed applications, a few compositional aspects are of special interest such as protein contents. The final crude protein of the Rhizopus sp. biomass was found to be within the range 49%–55% of biomass dry weight (Table 2), which was found to be similar to that at the beginning of cultivation (52%–54%). Zygomycetes fungi are also well known for the presence of chitosan in their cell walls. This polymer has been gathering increasing interest due to its wide applications in e.g., biomedical and environmental fields [25]. Its acetylated form chitin can also be found in the Zygomycetes cell walls. Chitosan and chitin are polymers of glucosamine (GlcN) and N-acetylglucosamine (GlcNAc) in which GlcN is dominant (60%–100%) in chitosan, while GlcNAc is dominant (60%–100%) in chitin [26]. The cell wall fraction was measured as alkali-insoluble material (AIM), which presented an increasing trend during cultivation at all tested temperatures. Overall, the cell wall fraction of Rhizopus sp. biomass was in the range 10%–15% of biomass dry weight. Maximum concentration of (2.2 ± 0.4) g·L−1 and (1.5 ± 0.0) g·L−1 of the AIM were obtained at the end of cultivation at both 30 °C and 40 °C and (1.6 ± 0.1) g·L−1 after 72 h when cultivating Rhizopus sp. at 35 °C. Both glucosamine and N-acetylglucosamine contents were found to increase by 45%–50% of the AIM dry weight during cultivation in the thin stillage. Final glucosamine and N-acetylglucosamine contents were not found to be statistically different at the temperatures examined (p = 0.953 and p = 0.199, respectively). These monomers were present at about the same fractions (10%–25% each), making up to 40%–50% of the Rhizopus sp. cell wall (Table 2). Together, glucosamine and N-acetylglucosamine made up to 6% of the Rhizopus sp. biomass; up to (960 ± 77) mg·L−1, (657 ± 127) mg·L−1 and (778 ± 92) mg·L−1 of glucosamine and N-acetylglucosamine together could be produced during cultivation at 30 °C, 35 °C and 40 °C, respectively. Similar glucosamine trends were found by Ferreira et al. [23] when cultivating another Rhizopus strain in spent sulphite liquor. Higher production of glucosamine was observed either when changing from semi-synthetic medium to spent sulphite liquor or during cultivation under more unfavourable temperatures. N-acetylglucosamine content was found to increase at all tested conditions.
Figure 2.
Rhizopus sp. biomass concentration during cultivation in thin stillage at different temperatures.
Figure 2.
Rhizopus sp. biomass concentration during cultivation in thin stillage at different temperatures.

In addition to the production of high-quality fungal biomass, a post-cultivation thin stillage with a lower level of organic load is of interest. The Rhizopus sp. was able to consume 70%–85% of the initial lactic acid and 58%–68% of the initial glycerol within the applied temperature ranges (Figure 3; Table 2). Final lactic acid and glycerol reduction values were not found to be statistically different between temperatures (p = 0.065 and p = 0.068, respectively). Acetic acid was completely consumed after 18 h of cultivation. In addition, a net output of 1 g·L−1 of ethanol was produced during cultivation at all tested temperatures (Figure 3; Table 2). The concentration of the main sugars in the thin stillage (arabinose and xylose) showed different patterns during cultivation (Figure 3). Arabinose decreased continuously during cultivation; reduction maxima of 64% ± 0%, 76% ± 0% and 69% ± 0% were achieved during cultivation at 30 °C, 35 °C and 40 °C, respectively. On the other hand, xylose presented a decreasing trend at 30 °C (maximum reduction of 61.9% ± 0.4%), whereas it presented a constant or slightly increasing trend after 24 h of cultivation at 35 °C and 40 °C (Figure 3). Overall, total solids and suspended solids in the thin stillage were comparably reduced by 16%–21% and 37%–54%, respectively, after cultivation with Rhizopus sp. No statistical differences were found between the tested temperatures (p = 0.188 and p = 0.072, respectively). However, if the sum of the consumed glycerol, lactic acid, arabinose and xylose is considered (around 8 g·L−1 at all tested temperatures), it is considerably lower than the reduction in total solids and suspended solids (15–20 g·L−1 and 14–20 g·L−1, respectively). Clearly, other components of the thin stillage were assimilated by the Rhizopus strain. This might explain the constant high level of protein during cultivation. It is well known that Zygomycetes fungi can produce a wide range of enzymes depending upon the substrate they grow on being able to assimilate different carbon and nitrogen sources [8]. In absolute terms, the biomass production might be overestimated due to entanglement with solids in the fungal mycelium.
Figure 3.
Concentration of lactic acid, glycerol, ethanol, arabinose and xylose during cultivation of Rhizopus sp. in thin stillage at 30 °C (black), 35 °C (grey) and 40 °C (white).
Figure 3.
Concentration of lactic acid, glycerol, ethanol, arabinose and xylose during cultivation of Rhizopus sp. in thin stillage at 30 °C (black), 35 °C (grey) and 40 °C (white).

Altogether, cultivation in the thin stillage with Rhizopus sp. resulted in the production of biomass containing 49%–55% protein and 6% glucosamine-based polymers as well as a spent medium with a reduced amount of total solids (up to 21%). No addition of nutrients was required; pH adjustment with 25% NH3 instead of NaOH did not lead to any further improvement in the biomass production (data not shown).
3.3. Cultivation in Thin Stillage Using Ascomycetes Fungi
A preliminary study on thin stillage valorisation was performed using four Ascomycetes fungi; their biomass production profiles are depicted in Figure 4. Common aspects for all of them are either their long tradition in the production of food products or their extensive use at industrial scale that make them well-known/studied microorganisms. Similar to the Rhizopus strain used, all four strains examined were able to grow extensively in the thin stillage containing 9% total solids. Cultivation with A. oryzae resulted in the highest amount of produced fungal biomass (19 g·L−1); N. intermedia gave rise up to 16 g·L−1 of biomass while F. venenatum and M. purpureus presented a longer lag phase and ca. 14 g·L−1 and 12 g·L−1 of biomass were reached at the end of cultivation, respectively (Figure 4; Table 2). The final biomass concentration produced was found to be statistically different among tested strains (p = 0.003); final produced biomass with A. oryzae was statistically different from that of M. purpureus and F. venenatum but not from that of N. intermedia. Maximum biomass productivities of (595 ± 36) mg·L−1·h−1 and (439 ± 13) mg·L−1·h−1 were achieved after 18 h of cultivation with A. oryzae and N. intermedia, respectively, while (242 ± 19) mg·L−1·h−1 and (176 ± 2) mg·L−1·h−1 were achieved after 48 h of cultivation with F. venenatum and M. purpureus, respectively. A. oryzae together with F. venenatum grew in a well dispersed mycelial form, whereas N. intermedia and M. purpureus grew as dense mycelial suspensions. All fungi examined were also found to contain high crude protein content since ranges of 44%–56% of biomass dry weight were obtained (Table 2). A. oryzae and M. purpureus exhibited a slight decrease in their crude protein during cultivation (52%–48% and 49%–44%, respectively). In contrast, the crude protein of F. venenatum increased slightly during cultivation (53%–56%), while that of N. intermedia remained somewhat constant. Final crude protein levels were statistically different (p = 0.001) among tested strains. No statistically significant differences were found between A. oryzae and M. purpureus and between F. venenatum and N. intermedia.
Figure 4.
Produced biomass profiles during cultivation of Ascomycetes filamentous fungi in thin stillage at 30 °C. A. oryzae (circles), N. intermedia (squares), F. venenatum (triangles), M. purpureus (diamonds).
Figure 4.
Produced biomass profiles during cultivation of Ascomycetes filamentous fungi in thin stillage at 30 °C. A. oryzae (circles), N. intermedia (squares), F. venenatum (triangles), M. purpureus (diamonds).

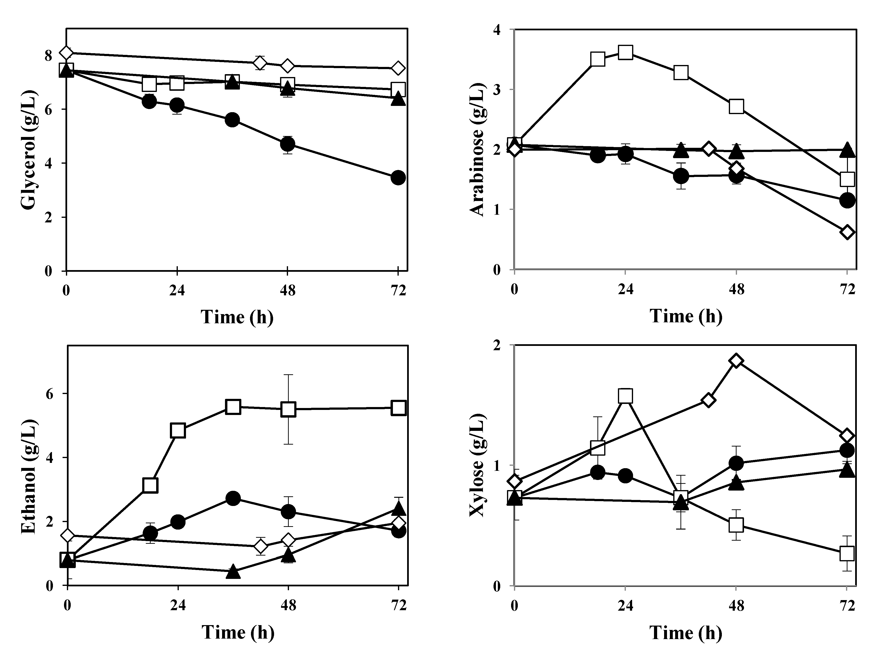
Interesting differences were found in the thin stillage after cultivation with different Ascomycetes. M. purpureus, F. venenatum and N. intermedia reduced the glycerol concentration by 7%–14%, while cultivation with A. oryzae resulted in a 54% reduction (Figure 5; Table 2).
Final glycerol reduction percentages were found to be statistically different (p = 0.000); total glycerol reductions by A. oryzae and F. venenatum were statistically different among each other as well as statistically different from those obtained by the remaining strains, while no statistical difference was found between glycerol reduction values by M. purpureus and N. intermedia. The initial acetic acid present in the stillage had been completely consumed after 18 h, while the concentration of lactic acid remained constant during cultivation with all applied Ascomycetes fungi (Table 2). The main sugars present in the thin stillage (arabinose and xylose) were also followed during cultivation with Ascomycetes (Figure 5). Both A. oryzae and M. purpureus assumed a consumption trend of arabinose reaching a maximum reduction of 45% ± 5% and 69% ± 3%, respectively. On the other hand, arabinose concentration remained constant during cultivation with F. venenatum, and increased during cultivation with N. intermedia; a maximum of (3.6 ± 0.0) g·L−1 was recorded at 24 h of cultivation (Figure 5). In contrast, an increase in xylose concentration was observed for all strains examined. The highest concentration of (1.9 ± 0.0) g·L−1 was recorded during cultivation with M. purpureus. Cultivation with N. intermedia resulted in the lowest final amount of xylose (Table 2).
Figure 5.
Concentration profiles of glycerol, ethanol, arabinose and xylose during cultivation of Ascomycetes in thin stillage at 30 °C. A. oryzae (circles), N. intermedia (squares), F. venenatum (triangles), M. purpureus (diamonds).
Figure 5.
Concentration profiles of glycerol, ethanol, arabinose and xylose during cultivation of Ascomycetes in thin stillage at 30 °C. A. oryzae (circles), N. intermedia (squares), F. venenatum (triangles), M. purpureus (diamonds).

Additionally, ca. 5 g·L−1 extra ethanol were produced by N. intermedia. Cultivation with A. oryzae and F. venenatum gave rise to ca. 2 g·L−1 additional ethanol, while M. purpureus produced ca. 0.5 g·L−1 of extra ethanol (Figure 5). Maximum amounts of ethanol were found to be statistically different among used strains (p = 0.000); the pair-wise comparison between the extra ethanol amount produced by A. oryzae and F. venenatum was the only one found to be not statistically different. Reports on ethanol production from thin stillage are scarce in literature; one exception relates to the work performed with a metabolically engineered Escherichia coli strain performed by Gonzalez et al. [17]. An ethanol yield of 0.42 g·g−1 based on consumed glycerol, maltose and glucose present in thin stillage was reported. Altogether, the reduction of total solids was around 32%, 21%, 16% and 34%, and for suspended solids, the reduction was around 55%, 40%, 58% and 69% during cultivation with A. oryzae, F. venenatum, M. purpureus and N. intermedia, respectively. The reduction of total solids was found to be statistically different among strains (p = 0.007). No statistically significant differences were found between A. oryzae and N. intermedia and between F. venenatum and M. purpureus. On the other hand, no statistical differences were found for the reduction of suspended solids (p = 0.079).
The results support the degradation of arabinan by F. venenatum and N. intermedia and xylan by all examined Ascomycetes strains and xylan degradation by Rhizopus sp. when cultivated at 35 °C and 40 °C. These polymers are traditionally found in thin stillage [27]. In the present conditions, Ascomycetes did not consume lactic acid during cultivation. Reasons for such difference in comparison to the Rhizopus sp. might include the presence of other more suitable substrates for the Ascomycetes, the initial pH or nitrogen-limitation. During cultivation with A. oryzae, the highest amount of biomass (19 g·L−1) containing 48% crude protein as well as the highest glycerol reduction (54%) were obtained. Cultivation of N. intermedia led to the production of 16 g·L−1 biomass containing 56% crude protein and a reduction of around 34% of total solids. Additionally, N. intermedia produced the highest amount of ethanol (ca. 5 g·L−1). Considering an ethanol facility producing 200 m3 thin stillage per hour (corresponding to ca. 200,000 m3 ethanol per year), the inclusion of N. intermedia could potentially lead to the production of 11,000 m3 extra ethanol per year. Furthermore, the recovery of this extra ethanol would not need additional steps since it could be sent back into the process after the series of evaporations as is carried out in the present established industrial processes [18].
4. Conclusions
In this work, five food-grade filamentous fungi, including a Zygomycete and four Ascomycetes strains were successfully grown in mostly wheat-based thin stillage containing 9% total solids. N. intermedia, A. oryzae and Rhizopus sp. proved to have high potentiality for inclusion in the industrial process of ethanol production. A. oryzae cultivation resulted in the highest amount of biomass (19 g·L−1) containing 48% (w/w) crude protein and the highest glycerol reduction (54%). N. intermedia cultivation resulted in ca. 16 g·L−1 biomass containing 56% (w/w) crude protein. Cultivation with Rhizopus sp. resulted in up to 85% and 68% reduction of the thin stillage lactic acid and glycerol, respectively. The produced protein-rich biomass can be considered for animal feed purposes such as for fish feed. In an industrial ethanol production process (200,000 m3 ethanol/year), inclusion of N. intermedia can potentially lead to the production of 11,000 m3 extra ethanol per year.
Acknowledgments
This work was financially supported by the Swedish Energy Agency. The authors would like to express their gratitude to Johan Westman, Päivi Ylitervo and Adib Kalantar for their technical assistance and valuable discussions.
Author Contributions
Jorge A. Ferreira, Patrik R. Lennartsson and Mohammad J. Taherzadeh developed the idea of cultivating Zygomycetes and Ascomycetes in thin stillage and have contributed for the discussion. Jorge A. Ferreira performed the experiments and wrote the majority of the paper. All authors have given approval to the final version of the manuscript.
Conflicts of Interest
The authors declare no conflict of interest.
References
- Renewables 2012—Global Status Report; REN21: Paris, France, 2012.
- Sarkar, N.; Ghosh, S.K.; Bannerjee, S.; Aikat, K. Bioethanol production from agricultural wastes: An overview. Renew. Energy 2012, 37, 19–27. [Google Scholar] [CrossRef]
- Galbe, M.; Lidén, G.; Zacchi, G. Production of ethanol from biomass—Research in Sweden. J. Sci. Ind. Res. 2005, 64, 905–919. [Google Scholar]
- Hendrix, J.L. Sustainable agricultural practices impact on phosphate rock production. Procedia Eng. 2012, 46, 54–61. [Google Scholar] [CrossRef]
- Van Leeuwen, J.; Rasmussen, M.L.; Sankaran, S.; Koza, C.R.; Erickson, D.T.; Mitra, D.; Jin, B. Fungal treatment of crop processing wastewaters with value-added co-products. In Sustainable Bioenergy and Bioproducts; Gopalakrishnan, K., Brown, R.C., Eds.; Springer London: London, UK, 2012; pp. 13–44. [Google Scholar]
- Mitra, D.; Rasmussen, M.L.; Chand, P.; Chintareddy, V.R.; Yao, L.; Grewell, D.; Verkade, J.G.; Wang, T.; van Leeuwen, J. Value-added oil and animal feed production from corn-ethanol stillage using the oleaginous fungus Mucor circinelloides. Bioresour. Technol. 2012, 107, 368–375. [Google Scholar] [CrossRef]
- Anupama; Ravindra, P. Value-added food: Single cell protein. Biotechnol. Adv. 2000, 18, 459–479. [Google Scholar] [CrossRef]
- Ferreira, J.A.; Lennartsson, P.R.; Edebo, L.; Taherzadeh, M.J. Zygomycetes-based biorefinery: Present status and future prospects. Bioresour. Technol. 2013, 135, 523–532. [Google Scholar] [CrossRef]
- Wiebe, M. Myco-protein from Fusarium venenatum: A well-established product for human consumption. Appl. Microbiol. Biotechnol. 2002, 58, 421–427. [Google Scholar] [CrossRef]
- Gibbs, P.A.; Seviour, R.J.; Schmid, F. Growth of filamentous fungi in submerged culture: Problems and possible solutions. Crit. Rev. Biotechnol. 2000, 20, 17–48. [Google Scholar] [CrossRef]
- Shi, Y.C.; Pan, T.M. Beneficial effects of Monascus purpureus NTU 568-fermented products: A review. Appl. Microbiol. Biotechnol. 2011, 90, 1207–1217. [Google Scholar] [CrossRef]
- Sastraatmadja, D.D.; Tomita, F.; Kasai, T. Production of high-quality oncom, a traditional Indonesian fermented food, by the inoculation with selected mold strains in the form of pure culture and solid inoculum. J. Grad. Sch. Agric. Hokkaido Univ. 2002, 70, 111–127. [Google Scholar]
- Rasmussen, M.L.; Khanal, S.K.; Pometto Iii, A.L.; van Leeuwen, J. Water reclamation and value-added animal feed from corn-ethanol stillage by fungal processing. Bioresour. Technol. 2014, 151, 284–290. [Google Scholar] [CrossRef]
- Ahn, J.H.; Sang, B.I.; Um, Y. Butanol production from thin stillage using Clostridium pasteurianum. Bioresour. Technol. 2011, 102, 4934–4937. [Google Scholar] [CrossRef]
- Liang, Y.; Zhao, X.; Strait, M.; Wen, Z. Use of dry-milling derived thin stillage for producing eicosapentaenoic acid (EPA) by the fungus Pythium irregulare. Bioresour. Technol. 2012, 111, 404–409. [Google Scholar] [CrossRef]
- Alkan-Ozkaynak, A.; Karthikeyan, K.G. Anaerobic digestion of thin stillage for energy recovery and water reuse in corn-ethanol plants. Bioresour. Technol. 2011, 102, 9891–9896. [Google Scholar] [CrossRef]
- Gonzalez, R.; Campbell, P.; Wong, M. Production of ethanol from thin stillage by metabolically engineered Escherichia coli. Biotechnol. Lett. 2010, 32, 405–411. [Google Scholar] [CrossRef]
- Lennartsson, P.R.; Erlandsson, P.; Taherzadeh, M.J. Integration of the first and second generation bioethanol processes and the importance of by-products. Bioresour. Technol. 2014, 165, 3–8. [Google Scholar] [CrossRef]
- Wikandari, R.; Millati, R.; Lennartsson, P.; Harmayani, E.; Taherzadeh, M. Isolation and Characterization of Zygomycetes fungi from tempe for ethanol production and biomass applications. Appl. Biochem. Biotechnol. 2012, 167, 1501–1512. [Google Scholar] [CrossRef]
- Sues, A.; Millati, R.; Edebo, L.; Taherzadeh, M.J. Ethanol production from hexoses, pentoses, and dilute-acid hydrolyzate by Mucor indicu. FEMS Yeast Res. 2005, 5, 669–676. [Google Scholar] [CrossRef]
- Sluiter, A.; Hames, B.; Hyman, D.; Payne, C.; Ruiz, R.; Scarlata, C.; Wolfe, J. Determination of Total Solids in Biomass and Total Dissolved Solids in Liquid Process Samples; NREL Technical Report No. NREL/TP-510-42621; National Renewable Energy Laboratory: Golden, CO, USA, 2008. [Google Scholar]
- Zamani, A.; Jeihanipour, A.; Edebo, L.; Niklasson, C.; Taherzadeh, M.J. Determination of glucosamine and N-acetyl glucosamine in fungal cell walls. J. Agric. Food. Chem. 2008, 56, 8314–8318. [Google Scholar] [CrossRef]
- Ferreira, J.A.; Lennartsson, P.R.; Niklasson, C.; Lundin, M.; Edebo, L.; Taherzadeh, M.J. Spent sulphite liquor for cultivation of an edible Rhizopus sp. Bioresources 2013, 7, 173–188. [Google Scholar]
- Chiang, C.; Knight, S.G. A new pathway of pentose metabolism. Biochem. Biophys. Res. Commun. 1960, 3, 554–559. [Google Scholar] [CrossRef]
- Aranaz, I.; Mengibar, M.; Harris, R.; Panos, I.; Miralles, B.; Acosta, N.; Galed, G.; Heras, A. Functional characterization of chitin and chitosan. Curr. Chem. Biol. 2009, 3, 203–230. [Google Scholar]
- Zamani, A. Superabsorbent Polymers from the Cell Wall of Zygomycetes Fungi; Chalmers University of Technology: Gothenburg, Sweden, 2010. [Google Scholar]
- Kim, Y.; Mosier, N.S.; Hendrickson, R.; Ezeji, T.; Blaschek, H.; Dien, B.; Cotta, M.; Dale, B.; Ladisch, M.R. Composition of corn dry-grind ethanol by-products: DDGS, wet cake, and thin stillage. Bioresour. Technol. 2008, 99, 5165–5176. [Google Scholar] [CrossRef]
© 2014 by the authors; licensee MDPI, Basel, Switzerland. This article is an open access article distributed under the terms and conditions of the Creative Commons Attribution license (http://creativecommons.org/licenses/by/3.0/).