Analytical and Experimental Study of Recycling Baffled Double-Pass Solar Air Heaters with Attached Fins
Abstract
:1. Introduction

2. Mathematical Formulation

2.1. Effect of Attaching Fins with Baffles
2.2. Temperature Distributions for the Flowing Air in the Flow Direction
2.3. Heat Transfer Coefficients
2.4. Theoretical Calculation Method for Collector Efficiency
3. Apparatus and Experimental Methods

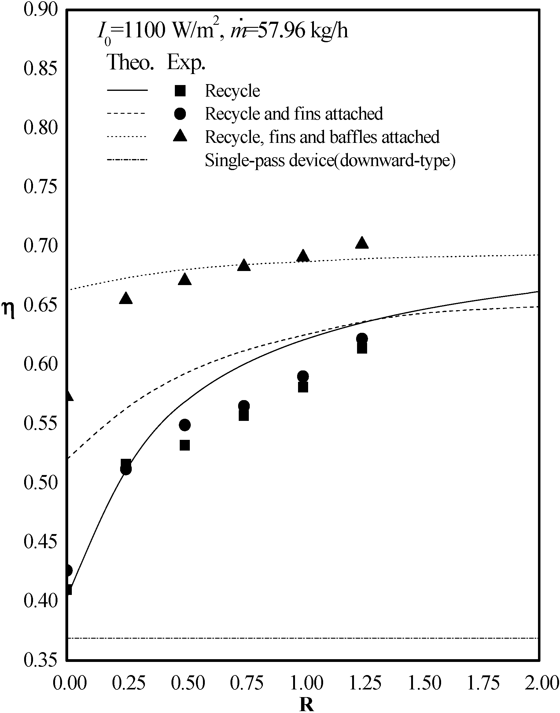
4. Results and Discussion
| T (K) | ρ(kg/m3) | Cp [J/(kg K)] | k [W/(m K)] | μ [kg/(m s)] |
|---|---|---|---|---|
| 273 | 1.292 | 1006 | 0.0242 | 1.72 × 10−5 |
| 293 | 1.204 | 1006 | 0.0257 | 1.81 × 10−5 |
| 313 | 1.127 | 1007 | 0.0272 | 1.90 × 10−5 |
| 333 | 1.059 | 1008 | 0.0287 | 1.99 × 10−5 |
| 353 | 0.999 | 1010 | 0.0302 | 2.09 × 10−5 |






| I0 (W/m2) | (kg/h) | Recycle | Recycle + Fins | Recycle + Fins + Baffles |
|---|---|---|---|---|
| 830 | 38.52 | 8.79× 10−2 | 6.80× 10−2 | 3.20× 10−2 |
| 57.96 | 3.83× 10−2 | 5.24× 10−2 | 3.44× 10−2 | |
| 77.04 | 4.41× 10−2 | 3.40× 10−2 | 3.19× 10−2 | |
| 1100 | 38.52 | 9.86× 10−2 | 8.53× 10−2 | 3.96× 10−2 |
| 57.96 | 4.57× 10−2 | 8.50× 10−2 | 3.41× 10−2 | |
| 77.04 | 4.41× 10−2 | 5.10× 10−2 | 4.18× 10−2 |
| R | Recycle | Recycle + Fins | Recycle + Fins + Baffles | ||||||
|---|---|---|---|---|---|---|---|---|---|
| (kg/h) | |||||||||
| - | 38.52 | 57.96 | 77.04 | 38.52 | 57.96 | 77.04 | 38.52 | 57.96 | 77.04 |
| 0.00 | 29.13 | 9.19 | 5.80 | 30.42 | 40.54 | 15.70 | 88.35 | 79.19 | 65.46 |
| 0.25 | 50.16 | 41.35 | 35.27 | 52.75 | 52.97 | 36.47 | 111.97 | 82.16 | 67.15 |
| 0.50 | 67.64 | 54.86 | 46.38 | 69.58 | 60.54 | 47.10 | 117.48 | 84.05 | 69.81 |
| 0.75 | 78.96 | 62.97 | 52.66 | 80.58 | 65.68 | 53.38 | 120.06 | 85.14 | 71.01 |
| 1.00 | 86.73 | 68.38 | 56.76 | 88.35 | 68.92 | 57.25 | 121.68 | 85.68 | 71.50 |
| 1.25 | 92.88 | 72.43 | 59.66 | 93.85 | 72.16 | 59.90 | 122.98 | 86.49 | 71.98 |
| 1.50 | 97.41 | 75.14 | 61.59 | 98.38 | 74.05 | 62.08 | 123.62 | 86.76 | 72.22 |
| 1.75 | 100.97 | 77.57 | 63.29 | 101.62 | 74.86 | 63.53 | 123.95 | 87.03 | 72.46 |
| R | Recycle | Recycle + Fins | Recycle + Fins + Baffles | ||||||
|---|---|---|---|---|---|---|---|---|---|
| (kg/h) | |||||||||
| - | 38.52 | 57.96 | 77.04 | 38.52 | 57.96 | 77.04 | 38.52 | 57.96 | 77.04 |
| 0.00 | 29.22 | 9.21 | 7.11 | 30.19 | 40.65 | 17.16 | 84.42 | 79.40 | 67.16 |
| 0.25 | 50.32 | 41.46 | 37.25 | 52.92 | 53.12 | 38.48 | 111.69 | 82.38 | 69.36 |
| 0.50 | 67.86 | 55.01 | 48.28 | 69.81 | 60.70 | 49.02 | 117.53 | 84.28 | 72.06 |
| 0.75 | 78.90 | 63.14 | 54.66 | 80.52 | 65.85 | 55.15 | 120.13 | 85.37 | 73.28 |
| 1.00 | 87.01 | 68.56 | 58.82 | 88.31 | 69.11 | 59.31 | 122.08 | 85.91 | 73.77 |
| 1.25 | 92.86 | 72.36 | 61.76 | 93.83 | 72.36 | 62.01 | 123.05 | 86.72 | 74.26 |
| 1.50 | 97.40 | 75.34 | 63.73 | 98.38 | 74.25 | 64.22 | 123.70 | 86.99 | 74.51 |
| 1.75 | 100.97 | 77.51 | 65.44 | 101.95 | 75.07 | 65.69 | 124.03 | 87.26 | 74.75 |
| 2.00 | 103.90 | 79.40 | 66.67 | 104.55 | 75.61 | 66.91 | 124.35 | 87.53 | 75.00 |


5. Conclusions
Acknowledgments
Nomenclature
surface area of the collector = LW (m2) | |
total surface area of attached baffles (m2) | |
surface area of the edge of collector = 2LH (m2) | |
total surface area of attached fins (m2) | |
the area of absorbing plate less the welded area of fins (m2) | |
cross section area of fins (m2) | |
| Bi | coefficients defined in Equations (A16–A21) |
| Ci | coefficients defined in Equations (A26,A27) |
specific heat of air at constant pressure (J/kg K) | |
equivalent diameter of downward-type single-pass device defined in Equation (36) (m) | |
equivalent diameter of lower subchannel of double-pass device defined in Equation (36) (m) | |
equivalent diameter of upper subchannel of double-pass device defined in Equation (36) (m) | |
| Fi | coefficients defined in Equations (A28–A30) |
Fanning friction factor | |
coefficients defined in Equations (A5–A8) and (A13–A15) | |
| H | height of both upper and lower channels (m) |
| Hf | height of fin (m) |
| HB | height of baffles (m) |
| Hf | height of fins (m) |
| ha | heat-transfer coefficient of air in the lower subchannel (W/m2 K) |
| hb | heat-transfer coefficient of air in the upper subchannel (W/m2 K) |
radiative heat-transfer coefficient between two parallel plates (W/m2 K) | |
heat transfer coefficient for free convection of air between two glass covers, defined in Equation (44)(W/m2 K) | |
radiation heat transfer coefficient between two covers, defined in Equation (45) (W/m2 K) | |
radiation heat transfer coefficient from cover 2 to the ambient, defined in Equation (46)(W/m2 K) | |
radiation heat transfer coefficient between cover 1 and absorbing plate, defined in Equation (43) (W/m2 K) | |
radiation heat transfer coefficient between absorbing plate andbottom plate, defined in Equation (44) (W/m2 K) | |
convective heat-transfer coefficient for air flowing over the outside surface of glass cover (W/m2 K) | |
| Ii | coefficients defined in Equations (A31,A32) |
incident solar radiation (W/m2) | |
percentage of collector efficiency improvement, defined in Equation (47) | |
the power consumption increment,, defined in Equation (53) | |
thermal conductivity of air (W/m K) | |
thermal conductivity of bottom plate (W/m K) | |
thermal conductivity of fins (W/m K) | |
thermal conductivity of insulator (W/m K) | |
channel length (m) | |
| l | distance between baffles (m) |
thickness of bottom plate (m) | |
thickness of insulator (m) | |
lower subchannel friction loss of double-pass solar air heater (J/kg) | |
upper subchannel friction loss of double-pass solar air heater (J/kg) | |
friction loss of downward-type single-pass solar air heater (J/kg) | |
total air mass flow rate (kg/h) | |
coefficient defined in Equation (3) | |
coefficient defined in Equation (A23) (W/m2 K) | |
coefficient defined in Equation (A22) (W/m2 K) | |
| N | number of glass cover |
the number of experimental measurements | |
Nusselt number | |
| PB | power consumption of baffled solar air heaters (W) |
| PD | power consumption of baffled double-pass solar air heaters (W) |
| PS | power consumption of downward-type solar air heaters (W) |
useful energy gain carried away by air (W) | |
| Qloss | total heat loss rate from the air collector to the surrounding area(W) |
total heat flow rate of solar air collector with fins attached (W) | |
total heat flow rate of solar air collector with baffles attached (W) | |
| R | recycle ratio |
Reynolds number in downward-type single-pass solar air heater | |
Reynolds number in lower subchannel of double-pass solar air heater | |
Reynolds number in upper subchannel of double-pass solar air heater | |
inlet air temperature (K) | |
axial fluid temperature distribution in lower subchannel (K) | |
axial fluid temperature distribution in upper subchannel (K) | |
temperature of glass cover (K) | |
mean fluid temperature in lower subchannel (K) | |
mean fluid temperature in upper subchannel (K) | |
mean temperature of glass cover (K) | |
temperature of absorbing plate (K) | |
mean temperature of absorbing plate (K) | |
temperature of bottom plate (K) | |
mean temperature of bottom plate (K) | |
ambient temperature (K) | |
thickness of fins (m) | |
loss coefficient from the bottom plate of solar air heater to the ambient environment (W/m2 K) | |
loss coefficient from the surfaces of edges and the bottom plate of the solar collector to the ambient environment (W/m2 K) | |
loss coefficient from glass cover 1 to the ambient environment (W/m2 K) | |
loss coefficient from the edge of solar air heater to the ambient environment (W/m2 K) | |
overall loss coefficient (W/m2 K) | |
loss coefficient from the top of solar air heater to the ambient environment (W/m2 K) | |
| W | width of both upper and lower subchannels (m) |
| WB | baffle width (m) |
mean air velocity in the downward-type single-pass solar air heater (m/s) | |
mean air velocity in lower subchannel of double-pass solar air heater (m/s) | |
mean air velocity in upper subchannel of double-pass solar air heater (m/s) | |
wind velocity (m/s) | |
| Yi | coefficients defined in Equations (A24,A25) |
axial coordinate (m) |
Greek Letters
absorptivity of absorbing plate | |
baffle efficiencies of upper and lower channels | |
collector efficiency of downward-type single-pass solar air heater | |
experimental data of collector efficiency | |
fin efficiency, defined in Equation (2) | |
theoretical prediction of collector efficiency | |
transmittance of glass cover | |
emissivity of glass cover | |
emissivity of bottom plate | |
emissivity of absorbing plate | |
air density (kg/m3) | |
air viscosity (kg/s m) | |
dimensionless channel length, defined in Equation (15) | |
Stefan-Boltzmann constant = 5.67 × 10−8 (W/m2 K4) |
Appendix
References
- Close, D.J.; Dunkle, R.V. Behaviour of adsorbent energy storage beds. Sol. Energy 1976, 18, 287–292. [Google Scholar] [CrossRef]
- Liu, C.H.; Sparrow, E.M. Convective-radiative interaction a parallel plate channel-application to air-operated solar collectors. Int. J. Heat Mass Transf. 1980, 23, 1137–1146. [Google Scholar] [CrossRef]
- Seluck, M.K. Solar Air Heaters and Their Applications; Sayigh, A.A.M., Ed.; Academic Press: New York, NY, USA, 1977. [Google Scholar]
- Tan, H.M.; Charters, W.W.S. Experimental investigation of forced-convective heat transfer for fully-developed turbulent flow in a rectangular duct with asymmetric heating. Sol. Energy 1970, 13, 121–125. [Google Scholar] [CrossRef]
- Whillier, A. Plastic covers for solar collectors. Sol. Energy 1963, 7, 148–154. [Google Scholar] [CrossRef]
- Yeh, H.M.; Ho, C.D.; Hou, J.Z. Collector efficiency of double-flow solar air heaters with fins attached. Energy 2002, 27, 715–727. [Google Scholar] [CrossRef]
- Kreith, F.; Kreider, J.F. Principles of Solar Engineering, 2nd ed.; McGraw-Hill: New York, NY, USA, 1978. [Google Scholar]
- Duffie, J.A.; Beckman, W.A. Solar Engineering of Thermal Processes, 3rd ed.; Wiley: New York, NY, USA, 1980. [Google Scholar]
- Tonui, J.K.; Tripanagnostopoulos, Y. Improved PV/T solar collectors with heat extraction by forced or natural air circulation. Renew. Energy 2007, 32, 623–637. [Google Scholar] [CrossRef]
- Gao, W.; Lin, W.; Liu, T.; Xia, C. Analytical and experimental studies on the thermal performance of cross-corrugated and flat-plate solar air heaters. Appl. Energy 2007, 84, 425–441. [Google Scholar] [CrossRef]
- Mohamad, A.A. High efficiency solar air heater. Sol. Energy 1997, 60, 71–76. [Google Scholar] [CrossRef]
- Verma, S.K.; Prasad, B.N. Investigation for the optimal thermohydraulic performance of artificially roughened solar air heaters. Renew. Energy 2000, 20, 19–36. [Google Scholar] [CrossRef]
- Yeh, H.M. Theory of baffled solar air heaters. Energy 1992, 17, 697–702. [Google Scholar] [CrossRef]
- Garg, H.P.; Sharma, V.K.; Bhargava, A.K. Theory of multiple-pass solar air heaters. Energy 1985, 10, 589–599. [Google Scholar] [CrossRef]
- Ho, C.D.; Yang, W.Y. An analytical study of heat-transfer efficiency in laminar counterflow concentric circular tubes with external refluxes. Chem. Eng. Sci. 2003, 58, 1235–1250. [Google Scholar] [CrossRef]
- Ho, C.D.; Yeh, C.W.; Hsieh, S.M. Improvement in device performance of multi-pass flat-plate solar air heaters with external recycle. Renew. Energy 2005, 30, 1601–1621. [Google Scholar] [CrossRef]
- Ho, C.D.; Yeh, H.M.; Chiang, S.C. Mass-Transfer enhancement in double-pass mass exchangers with external refluxes. Ind. Eng. Chem. Res. 2001, 40, 5839–5846. [Google Scholar] [CrossRef]
- Ho, C.D.; Yeh, H.M.; Wang, R.C. Heat-transfer enhancement in double-pass flat-plate solar air heaters with recycle. Energy 2005, 30, 2796–2817. [Google Scholar]
- Bannett, C.O.; Myers, J.E. Momentum, Heat, and Mass Transfer, 3rd ed.; McGraw-Hill: New York, NY, USA, 1982. [Google Scholar]
- Chou, W.H. A Study in Collector Efficiency of Baffled Solar Air Heaters. M.S. Thesis, Cheng Kung University, Tainan, Taiwan, 1987. [Google Scholar]
- Yeh, H.M. Energy balances for upward-type baffled solar air heaters. Energy 1994, 19, 919–924. [Google Scholar] [CrossRef]
- Klein, S.A. Calculation of monthly average transmittance-absorptance product. Sol. Energy 1979, 23, 547–551. [Google Scholar] [CrossRef]
- Hottel, H.C.; Woertz, B.B. Performance of flat-plate solar-heat collectors. Trans. ASME 1942, 64, 91–104. [Google Scholar]
- Kays, W.M. Convective Heat and Mass Transfer, 2nd ed.; McGraw-Hill: New York, NY, USA, 1980. [Google Scholar]
- McAdams, W.H. Heat Transmission, 3rd ed.; McGraw-Hill: New York, NY, USA, 1954. [Google Scholar]
- Heaton, H.S.; Reynolds, W.C.; Kays, W.M. Heat transfer in annular passages. Simultaneous development of velocity and temperature fields in laminar flow. Int. J. Heat Mass Transf. 1964, 7, 763–781. [Google Scholar] [CrossRef]
© 2013 by the authors; licensee MDPI, Basel, Switzerland. This article is an open access article distributed under the terms and conditions of the Creative Commons Attribution license (http://creativecommons.org/licenses/by/3.0/).
Share and Cite
Ho, C.D.; Chang, H.; Wang, R.C.; Lin, C.S. Analytical and Experimental Study of Recycling Baffled Double-Pass Solar Air Heaters with Attached Fins. Energies 2013, 6, 1821-1842. https://doi.org/10.3390/en6041821
Ho CD, Chang H, Wang RC, Lin CS. Analytical and Experimental Study of Recycling Baffled Double-Pass Solar Air Heaters with Attached Fins. Energies. 2013; 6(4):1821-1842. https://doi.org/10.3390/en6041821
Chicago/Turabian StyleHo, Chii Dong, Hsuan Chang, Rei Chi Wang, and Chun Sheng Lin. 2013. "Analytical and Experimental Study of Recycling Baffled Double-Pass Solar Air Heaters with Attached Fins" Energies 6, no. 4: 1821-1842. https://doi.org/10.3390/en6041821
APA StyleHo, C. D., Chang, H., Wang, R. C., & Lin, C. S. (2013). Analytical and Experimental Study of Recycling Baffled Double-Pass Solar Air Heaters with Attached Fins. Energies, 6(4), 1821-1842. https://doi.org/10.3390/en6041821
