Next Article in Journal
Efficiency of Edible Agriculture in Canada and the U.S. Over the Past Three and Four Decades
Next Article in Special Issue
System Design and Analysis of a Directly Air-Assisted Turbocharged SI Engine with Camshaft Driven Valves
Previous Article in Journal / Special Issue
Experimental Investigation on the Performance of a Compressed-Air Driven Piston Engine
 
 
Font Type:
Arial Georgia Verdana
Font Size:
Aa Aa Aa
Line Spacing:
Column Width:
Background:
Article

Intake Manifold Boosting of Turbocharged Spark-Ignited Engines

Institute for Dynamic Systems and Control, ETH Zurich, Sonneggstrasse 3, 8092 Zurich, Switzerland
*
Author to whom correspondence should be addressed.
Energies 2013, 6(3), 1746-1763; https://doi.org/10.3390/en6031746
Submission received: 5 February 2013 / Revised: 5 March 2013 / Accepted: 8 March 2013 / Published: 13 March 2013

Abstract

:
Downsizing and turbocharging is a widely used approach to reduce the fuel consumption of spark ignited engines while retaining the maximum power output. However, a substantial loss in drivability must be expected due to the occurrence of the so-called turbo lag. The turbo lag results from the additional inertia that the turbocharger adds to the system. Supplying air by an additional valve, the boost valve, to the intake manifold can be used to overcome the turbo lag. This turbo lag compensation method is referred to as intake manifold boosting. The aims of this study are to show the effectiveness of intake manifold boosting on a turbocharged spark-ignited engine and to show that intake manifold boosting can be used as an enabler of strong downsizing. Guidelines for the dimensioning of the boost valve are given and a control strategy is presented. The trade-off between additional fuel consumption and the consumption of pressurized air during the turbo lag compensation is discussed. For a load step at 2000 rpm the rise time can be reduced from 2.8 s to 124 ms , requiring 11.8 g of pressurized air. The transient performance is verified experimentally by means of load steps at various engine speeds to various engine loads.

Graphical Abstract

1. Introduction

Reducing the displacement of a spark-ignited (SI) engine reduces both engine friction [1] and pumping [2] losses in part-load engine operation. Since in every day driving as well as in various drive cycles the engine is mostly operated in part load, this measure reduces the overall fuel consumption. The combination of downsizing and turbocharging results in smaller engines with an improved fuel economy without compromising the maximum power. Numerous downsized and turbocharged engines are already available on the market. Ongoing developments in this technology will further exploit its CO 2 reduction potential [3].
Turbocharged engines have slower response times than naturally aspirated engines, i.e., it takes more time until a demanded torque can be provided. This loss in driveability is due to the additional inertia that the turbocharger adds to the system and is a major drawback of downsized and turbocharged engines.
The turbo lag is a temporary lack of air in transients due to the low rotational speed of the turbocharger as present in part-load engine operation. There are several possibilities to deal with this problem. One possibility is to supply additional power to the drivetrain during the phase of the turbo lag, e.g., with an electric machine as in hybrid electric vehicles. Another possibility is to modify the turbocharging, e.g., by adding a second, smaller turbocharger to the system that has a lower inertia or by adding a compressor. A third possibility is to provide the air that cannot be delivered by the compressor by other means. In the research described in [4] additional air was injected directly into the combustion chamber by an additional valve placed in the cylinder head. With the so-called in-cylinder boosting the response time thus was significantly reduced. However, placing an additional valve and a valve actuator in the cylinder head requires extensive and costly modifications thereof.
To compensate the turbo lag, additional air can also be injected into the intake manifold. In [5] this approach is studied for heavy duty diesel engines. A significant improvement of the transient response by air injection into the intake manifold is reported in [6] for a 2 . 5 L diesel engine. In [7] a 2 L diesel engine is used. Air is injected either into the compressor or into the intake manifold or into both. The authors conclude that all three approaches can improve engine performance. Air injection into the compressor is also considered in [8]. There the engine model of a medium speed diesel engine shows considerable improvements in transient response when applying air injection into the compressor at the onset of a load.
Figure 1 shows a schematic overview of an intake manifold boosting system. Using this approach, the well-established configuration of today’s turbocharged engines can remain almost unchanged. With this setup the intake manifold pressure can be increased during transients independently of the turbocharger speed. This turbo lag compensation method is referred to as intake manifold boosting. The air used can be made available by an external compressor. However, the filling of the pressure tank is not addressed in this paper. The focus of this paper is on intake manifold boosting of turbocharged SI engines. In contrast to diesel engines, SI engines are operated stoichiometrically, which poses a constraint on the control.
The paper is structured as follows. In Section 2, the model is briefly discussed and a model-based system analysis is performed. Guidelines for the dimensioning of the boost valve are given as well. In Section 3, the torque control problem is stated, a controller structure is proposed, and a torque control strategy is presented for the turbo lag compensation. In Section 4, simulation results of turbo lag compensations are presented for various settings. In Section 5, the feasibility and the transient performance are demonstrated on a test bench. Finally in Section 6, the characteristics and the performance of intake manifold and in-cylinder boosting are compared.
Figure 1. System structure of a turbocharged SI engine with intake manifold boosting. A pressure tank is connected to the intake manifold.
Figure 1. System structure of a turbocharged SI engine with intake manifold boosting. A pressure tank is connected to the intake manifold.
Energies 06 01746 g001

2. Model-Based System Analysis

For the following investigations the same downsized and turbocharged SI engine is used as in [9]. The basic parameters of the engine are listed in Table 1.
Table 1. Engine data.
Table 1. Engine data.
ParameterSymbolValueParameterSymbolValue
engine typegasoline SIdisplacement V d 0 . 75 l
injectionport fuel injectionbore, stroke B , S 85 mm , 66 mm
turbochargerGarrett GT12connecting rod l p 115 mm
rated power P m a x 61 kW at 6000 rpm compression ratioϵ 9 . 0
rated torque T m a x 131 Nm at 3000 rpm number of cylindersN 2 , 360 ° parallel twin
For the simulation of intake manifold boosting, a mean value engine model (MVM) is used. The approach used to build the MVM is well described in [10]. Several details on the modifications required for intake manifold boosting are given in the next subsection.

2.1. Mean Value Engine Model

Intake manifold boosting requires an inflow from the boost valve to the intake manifold. The boost valve is modeled as a compressible flow restriction. Furthermore a pressure tank is included in the model and connected to the boost valve. The throttle is modeled in a way that allows backflow out of the intake manifold. Since the first part of this work presents a potential study, no actuator dynamics are considered. Also the throttle is assumed to have no leakage when fully closed and the tank pressure remains constant.
The torque generation is modeled using the Willans approximation [10]. For a stoichiometrically operated engine the mean effective pressure p m e is calculated by
p m e = e ω ( ω e ) · e i g n ( u i g n ) · H l V d · σ 0 · 4 · π · m ˙ β ω e - p m e , 0 ,
where e ω is an efficiency term depending on the engine speed ω e , H l is the lower heating value of the fuel, V d is the engine displacement, σ 0 is the stoichiometric air-to-fuel mass ratio, m ˙ β represents the air mass flow from the intake into the engine, p m e , 0 accounts for friction losses and pumping losses, and e i g n represents the ignition efficiency depending on the retardation u i g n of the ignition angle from the ignition angle that yields the maximum brake torque (MBT ignition angle). The terms torque and mean effective pressure are used interchangeably in this paper.
The engine is approximated as a volumetric pump. A typical formulation for the air mass flow through a four-stroke engine is
m ˙ β = λ l · p i m R · ϑ i m · V d · ω e 4 · π ,
where λ l denotes the volumetric efficiency of the engine, p i m is the intake manifold pressure, R is the gas constant of air, ϑ i m is the intake manifold temperature and V d is the engine displacement.

2.2. System Dynamics

In this section the system dynamics with intake manifold boosting are studied. When the boost valve is opened, air flows into the intake manifold and the pressure rises. If the throttle is open, the pressure downstream of the compressor also rises and possibly drives the compressor into surge. If the throttle remains closed, there is no outflow from the manifold downstream of the compressor, and surge can also occur. However, to prevent surge, an additional valve called overstream valve is installed, which connects the outlet of the compressor with its inlet (see Figure 1). With an appropriate controller, surge can be avoided by controlling the pressure through the actuation of the overstream valve. With this architecture the surge avoidance control and the boost control can be decoupled.
For the boosting process the intake manifold dynamics are important. For an adiabatic intake manifold and a closed throttle, the intake manifold dynamics during the boosting process become
d d t p i m = κ · R V i m · ( m ˙ b v · ϑ t - m ˙ β · ϑ i m ) ,
d d t p i m = κ · R · ϑ t V i m · m ˙ b v - κ · λ l · V d · p i m V i m · 4 · π · ω e ,
where κ represents the heat capacity ratio of air, V i m is the volume of the intake manifold, m ˙ b v is the mass flow through the boost valve, and ϑ t is the tank temperature.
Equation (4) clearly shows that for a given boost valve mass flow, the intake manifold pressure increases faster at lower engine speeds. The torque build-up thus is also faster at lower engine speeds where the turbo lag is more pronounced. This is advantageous for a turbo lag compensation system.

2.3. Dimensioning of the Boost Valve

The flow through the boost valve is assumed to be isentropic and is thus calculated by
m ˙ b v = A e f f ( u b v ) · p t R · ϑ t · Ψ p t p i m ,
where Ψ is the flow function, u b v is the boost valve control signal, and A e f f ( u b v ) is the effective flow area, which combines the geometric area and the discharge coefficient.
As a result of the closed throttle, the boost valve has to supply the complete engine mass flow during the entire boosting process. Hence, the engine operating point with the highest engine speed and the highest engine load to which boosting is conducted should be used to size the boost valve. This engine speed can be chosen by considering below which engine speed the turbo lag becomes a problem for the particular engine. Thus, in this work the maximum boost valve mass flow is chosen to be equal to the engine mass flow m ˙ β , b , m a x at the operating point 4000 rpm and 17 bar mean effective pressure, which is close to full load. By setting Equation (5) equal to m ˙ β , b , m a x , appropriate values for the valve size and the tank pressure can be found.
Following the described design procedure, the boost valve is sized using a criterion that depends on the specific operating parameters, i.e., engine speed and engine load, of a defined engine. Therefore this design procedure is suitable for various types and sizes of engines.

3. Control Strategy

In this section the control problem is formulated, the controller structure is presented and the individual controllers are discussed. The section ends with the presentation of a control strategy.

3.1. Formulation of the Control Problem

The purpose of the controller is to cause the engine to quickly reach a desired torque and maintain it. Since the throttle remains closed during the intake manifold boosting process, as discussed in Section 2.2, two actuators are involved in the torque control, which are:
  • the boost valve opening u b v : It can increase or decrease the torque by varying the air mass flow into the intake manifold and hence the engine air mass flow. This takes place within several engine cycles due to the intake manifold dynamics. It is limited by the maximum boost valve mass flow;
  • the ignition angle u i g n : It can only decrease the torque and this happens within less than one engine cycle. The ignition angle cannot be arbitrarily delayed due to the occurrence of ignition failures.
An engine air mass flow that is too high can be counterbalanced by a reduced ignition efficiency, as indicated in Equation (1). Thus, the solution to the control problem is not unique.

3.2. Controller Structure

The controller structure shown in Figure 2 comprises four controllers. During a boosting process, the boost valve controller and the ignition controller are required. The controller structure also includes a throttle controller and an overstream valve controller, as mentioned earlier. The throttle controller is only used in steady-state operation and during slow transients. If the operating point of the compressor moves beyond the surge line, the overstream valve controller is used to reduce the pressure downstream of the compressor. This pressure is referred to as boost pressure p b . In this work the wastegate is closed at all times. Hence, no wastegate controller is used.
Figure 2. Controller structure.
Figure 2. Controller structure.
Energies 06 01746 g002

3.3. Boost Valve Controller

The boost valve is used to control the engine air mass flow during boosting. The mass flow necessary to maintain a desired torque is
m ˙ β = ω e 4 · π · V d · σ 0 H l · e ω ( ω e ) · e i g n ( u i g n ) · p m e , d e s + p m e , 0 .
Inserting the maximum possible value for the ignition efficiency, i.e., e i g n = 1 , yields the minimum engine air mass flow necessary to produce a desired torque p m e , d e s . This mass flow is referred to as m ˙ β , d e s .
Operating the engine with a higher mass flow than m ˙ β , d e s while reducing the ignition efficiency is referred to as overboosting. This leads to a reduced overall engine efficiency and hence to an increased fuel consumption. However, since the exhaust gas enthalpy is increased, a faster acceleration of the turbocharger can be achieved. This effect is advantageous in terms of the amount of pressurized air used during the turbo lag compensation, as will be shown in Section 4.3.
To quantify the degree of overboosting, an overboosting factor ν o b is introduced. It is defined as
ν o b = m ˙ β , d e s * m ˙ β , d e s , ν o b 1 ,
where m ˙ β , d e s * is the mass flow the boost valve has to supply.
The boost valve controller determines the effective flow area required to realize the engine air mass flow m ˙ β , d e s * . It comprises a feed-forward path, which consists of the inversion of Equation (5), and a feedback path, which eliminates the error e = m ˙ β , d e s * - m ˙ β .

3.4. Ignition Controller

The ignition controller is used to reduce the ignition efficiency whenever the engine air mass flow is higher than m ˙ β , d e s to prevent an overshoot of the torque. The required ignition efficiency is calculated as follows:
e i g n = min 1 , m ˙ β , d e s m ˙ β .
According to [10], the required retardation of the ignition angle to achieve a desired ignition efficiency is obtained as follows:
u i g n = - 1 - e i g n k i g n ,
where k i g n depends on the engine design and is independent of the operating point of the engine [11].
A very low ignition efficiency leads to a large retardation of the ignition angle. This may lead to ignition failure on the real engine. For this work, ignition efficiencies lower than 66 . 7 % are avoided. Hence, overboosting is limited. With Equations (7) and (8), the maximum overboosting factor is found to be ν o b , m a x = 1 . 5 .

3.5. Control Strategy

When a step in the desired torque occurs, the throttle closes. The load is then controlled by the boost valve controller and the ignition controller. The boost valve supplies the mass flow m ˙ β , d e s * to the engine. To prevent an overshoot of the torque the ignition controller delays the ignition angle. When a certain threshold turbocharger speed is reached, the boost valve is closed and the intake manifold pressure decreases. Once it reaches the value of the boost pressure, the throttle is opened and used to control the load again while the ignition angle is set back to the MBT ignition angle.
The value of the threshold turbocharger speed ω t c , o f f is found iteratively and is calculated as a fraction f o f f of the steady-state turbocharger speeds before the load step, ω t c , s s , 1 ( p m e ( t = 0 s ) , ω e ) , and after the load step ω t c , s s , 2 ( p m e , d e s , ω e )
ω t c , o f f ( ω e , p m e , d e s , ν o b ) = ω t c , s s , 1 + f o f f ( ω e , p m e , d e s , ν o b ) · ω t c , s s , 2 - ω t c , s s , 1 .
The possibility of opening the throttle at the step time and letting the intake manifold pressure increase to ambient pressure and then closing it again to start boosting is neglected here. To enable this process a very fast throttle actuator would be necessary. The throttle used on the test bench is too slow to realize such a strategy.

4. Simulation Results and Discussion

In this section simulation results of the described control strategy are shown and discussed. After presenting the results for the turbo lag compensation, the topic of compressor surge is addressed. Finally, the influence of the overboosting factor ν o b is shown.

4.1. Turbo Lag Compensation

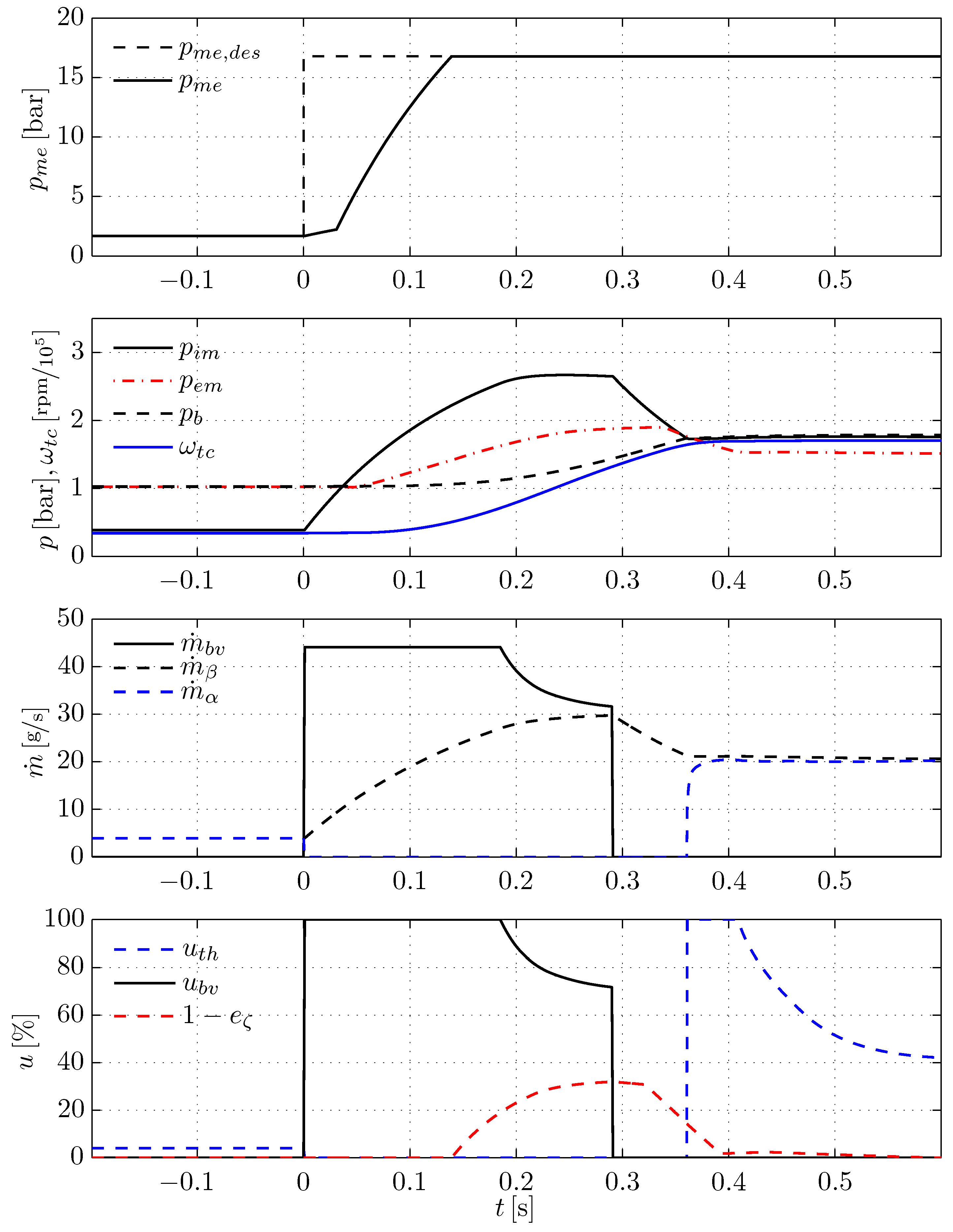
Figure 3 shows the results of the control strategy presented above for a load step from 1.7 bar to 16.7 bar mean effective pressure at 2000 rpm, with an overboosting factor of ν o b = ν o b , m a x = 1 . 5 . The first plot shows the trajectories of the desired and the actual mean effective pressure. The second plot shows the intake manifold pressure, the boost pressure p b , the pressure before the turbine p e m and the turbocharger speed. In the third plot the boost valve mass flow m ˙ b v , the engine air mass flow m ˙ β and the throttle mass flow m ˙ α are shown. The bottom plot shows the control signals of the boost valve u b v and of the throttle u t h , and the reduction of the ignition efficiency 1 - e i g n .
Figure 3. Simulation of a turbo lag compensation with intake manifold boosting for a load step from 1.7 bar to 16.7 bar p m e at 2000 rpm, with ν o b = ν o b , m a x = 1 . 5 .
Figure 3. Simulation of a turbo lag compensation with intake manifold boosting for a load step from 1.7 bar to 16.7 bar p m e at 2000 rpm, with ν o b = ν o b , m a x = 1 . 5 .
Energies 06 01746 g003
When a step in the torque demand occurs the throttle closes and the boost valve is opened. As a result the intake manifold pressure and the torque rise. The boost valve remains completely open until the engine mass flow has reached the value of m ˙ β , d e s * . As a result of the overboosting the intake manifold pressure becomes substantially higher than its steady-state value after the load step. Once the desired torque is reached at t = 124 ms , the engine air mass flow is higher than necessary. Hence, the ignition efficiency is reduced to prevent an overshoot of the torque. At t = t b v , c = 290 ms the threshold turbocharger speed is reached and thus the boost valve is closed. Until t = 360 ms there is no inflow to the intake manifold, and its pressure decreases. Once the intake manifold pressure is equal to the boost pressure, the throttle opens and takes over the torque control.
The amount of air used during the boosting process m b is equal to the integral of the boost valve mass flow:
m b = 0 t b v , c m ˙ b v d t = 11 . 8 g .
The speed-up of the turbocharger is very fast because of the high exhaust gas enthalpy. On one hand, this is due to the increased exhaust gas mass flow resulting from overboosting. On the other hand, the reduced ignition efficiency increases the exhaust gas temperature.
The torque rises very quickly, which may lead to oscillations in the drivetrain. These oscillations should be avoided because they can cause high mechanical stress [12]. The rise time can be decreased by reducing the boost valve mass flow at the beginning of the boosting process or by retarding the ignition angle during the torque rise. A combination of both approaches is also possible.

4.2. Compressor Surge

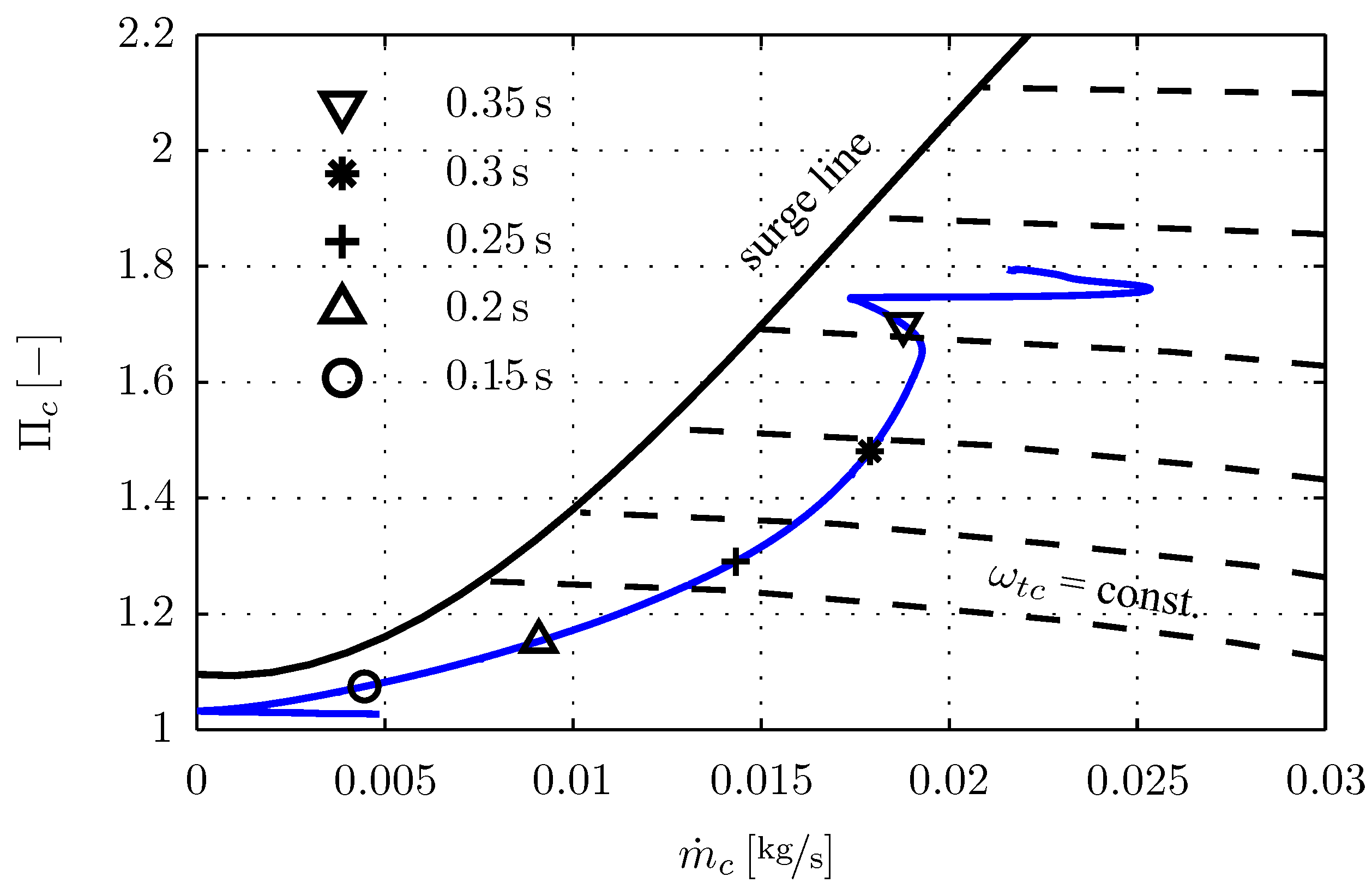
In this section, compressor surge is analyzed. Since the compressor mass flow m ˙ c is released into a receiver that has no outflow, surge might occur. Figure 4 shows the trajectory of the compressor operating points during the boosting process. The variable Π c denotes the pressure ratio across the compressor. The overstream valve remains closed during the entire boosting process.
Figure 4. Trajectory of the compressor operating point in simulation during a load step with intake manifold boosting from 1.7 bar to 16.7 bar p m e at 2000 rpm. The markers indicate the time elapsed after the load step.
Figure 4. Trajectory of the compressor operating point in simulation during a load step with intake manifold boosting from 1.7 bar to 16.7 bar p m e at 2000 rpm. The markers indicate the time elapsed after the load step.
Energies 06 01746 g004
Since the surge line is never crossed, surge does not occur. On one hand, this can be explained by the rapid speed-up of the turbocharger, which leads to a short duration of the throttle being closed. On the other hand, the relatively large volume of the receiver between compressor and throttle ( V c o m p - t h r = 6 . 7 · V d ) allows a slow enough increase of the pressure ratio. Increasing V c o m p - t h r moves the trajectory of the operating point further away from the surge line and vice versa.

4.3. Overboosting and Air-Fuel Trade-off

Overboosting leads to a high exhaust enthalpy and thus to a fast speed-up of the turbocharger. Figure 5 shows the boosting process for smaller overboosting factors. Due to a reduced turbocharger speed-up, the boosting process clearly requires more time. However, the mass flow through the boost valve is smaller. The right-hand plot of Figure 5 shows that the increased boost time outweighs the lower boost valve mass flow. Hence, the air consumption is higher with a lower overboosting factor.
Figure 5. Results for a load step from 1.7 bar to 16.7 bar p m e at 2000 rpm in simulation using various overboosting factors ν o b . (a) Trajectories of the intake manifold pressure p i m and the turbocharger speed ω t c ; (b) Consumed air mass m b and the reduction of the ignition efficiency 1 - e i g n , with m b , r e f = m b ( ν o b = 1 . 5 ) .
Figure 5. Results for a load step from 1.7 bar to 16.7 bar p m e at 2000 rpm in simulation using various overboosting factors ν o b . (a) Trajectories of the intake manifold pressure p i m and the turbocharger speed ω t c ; (b) Consumed air mass m b and the reduction of the ignition efficiency 1 - e i g n , with m b , r e f = m b ( ν o b = 1 . 5 ) .
Energies 06 01746 g005
The disadvantage of overboosting is the fact that additional fuel is needed during the short period of time when the ignition efficiency is reduced. The amount of extra fuel used Δ m f is calculated as follows:
Δ m f = 0 t e n d 1 - e i g n · m ˙ f d t ,
where m ˙ f is the fuel mass flow.
Figure 6 shows the consumption of air and extra fuel for various overboosting factors. For smaller overboosting factors, the ignition efficiency is reduced less, but over a longer period of time. For the extra fuel consumption, the smaller efficiency reduction outweighs the longer time period. Hence, the amount of extra fuel required becomes smaller for a smaller overboosting factor.
Figure 6. Simulation result of the consumption of pressurized air m b and extra fuel Δ m f due to the retardation of the ignition angle for various overboosting factors ν o b for a load step from 1.7 bar to 16.7 bar p m e at 2000 rpm.
Figure 6. Simulation result of the consumption of pressurized air m b and extra fuel Δ m f due to the retardation of the ignition angle for various overboosting factors ν o b for a load step from 1.7 bar to 16.7 bar p m e at 2000 rpm.
Energies 06 01746 g006

5. Experimental Verification

This section presents the experimental implementation and the test bench results obtained with intake manifold boosting for two load steps.

5.1. Test Bench Implementation

For the implementation of the boost valve on the engine, a solenoid proportional valve is used, which is installed on top of the intake manifold. The opening and closing of the boost valve can be approximated well with a first-order element with a time constant of 15 ms and a time delay of 5 ms.
The ignition control is very important. The control signal u i g n denotes the retardation from the MBT ignition angle. However, at low engine speeds and high loads the MBT ignition angle cannot be attained due to knock limitations. The ignition angle has to be retarded to avoid damaging of the engine. In order to calculate the number of degrees by which the ignition angle has to be retarded to accomplish a desired reduction of the ignition efficiency, the offset ζ * from the MBT ignition angle has to be taken into account.
Figure 7 shows the base ignition angles for the engine that was used for both cylinders at 2000 rpm. The base ignition angles are such that engine knock is avoided. At low and medium engine loads (i.e., cylinder air masses) the MBT ignition angle can be measured for each cylinder air mass by varying the ignition angle over a broad range. There, the base ignition angle is equal to the MBT ignition angle. As measurement results shown in [11] indicate, the decrease in torque for ignition angles other than MBT can be well approximated with a second order function. At high engine loads the ignition angle can only be retarded because engine knock must be avoided. In those cases the MBT ignition angle is extrapolated by fitting a second order function to the measured torque values. The offset ζ * from the MBT ignition angle is the difference between the base ignition angle and the MBT ignition angle. If a retardation of the ignition angle by the knock controller is present, this retardation must be added to ζ * since this can also be seen as an offset from the MBT ignition angle.
Figure 7. Ignition angles before top dead center and offset from MBT ignition angles at 2000 rpm. (a) cylinder 1; (b) cylinder 2.
Figure 7. Ignition angles before top dead center and offset from MBT ignition angles at 2000 rpm. (a) cylinder 1; (b) cylinder 2.
Energies 06 01746 g007
With information on this offset, the additional retardation by the ignition controller to accomplish a desired ignition efficiency is calculated as follows:
u i g n = ζ * - ζ * 2 + 1 - e i g n k i g n .
If the offset from the MBT ignition angle is neglected, i.e., if it is assumed to be zero, the ignition controller retards the ignition more than necessary, causing the ignition efficiency to be too low and hence the torque to be too low as well.

5.2. Results and Discussion

The left-hand plots of Figure 8 show the result for a load step from 1.7 bar to 16.7 bar p m e at 2000 rpm. The measurement data is depicted in black. The measurements are averaged over one engine revolution and the resulting phase lag is corrected. The upper plot shows that at t 120 ms the desired torque is reached. The controller then is able to keep the torque constant. The second plot shows the intake manifold and boost pressure trajectories as well as the signals of the boost valve and the throttle. The intake manifold pressure during the turbo lag compensation increases above the steady-state value after the load step. The boost valve remains completely open during the entire boosting process. After the boost valve closes at t = 340 ms , the intake manifold pressure reduces and the boost pressure increases to their steady-state values. At t = 420 ms the throttle starts to open. The third plot shows the trajectories of the pressure before the turbine p e m and the turbocharger speed ω t c . Analogously to the intake manifold pressure, the pressure before the turbine also increases above its steady-state value during the turbo lag compensation and decreases again at the end of the boosting process. The bottom plot shows the measurement data of air-to-fuel ratio after the turbine. The deviation of the λ value remains below 6 % even though the λ controller is turned off.
Figure 8. Comparison of measurement (black) and simulation (red) for load steps from 1.7 bar to 16.7 bar p m e . (a): ω e = 2000 rpm ; (b): ω e = 2500 rpm . The measurement data are averaged over one engine revolution. In addition, the unfiltered value of p m e is shown in gray.
Figure 8. Comparison of measurement (black) and simulation (red) for load steps from 1.7 bar to 16.7 bar p m e . (a): ω e = 2000 rpm ; (b): ω e = 2500 rpm . The measurement data are averaged over one engine revolution. In addition, the unfiltered value of p m e is shown in gray.
Energies 06 01746 g008
The simulation results are shown in red in these plots. The simulation very well reproduces the behavior of the real engine. All major signals are reproduced with a deviation of 5 % . It is higher only in the phase where the intake manifold pressure reduces after the boost valve is closed.
The right-hand plots of Figure 8 show the results for a load step from 1.7 bar to 16.7 bar p m e at 2500 rpm. Again, the load step can be realized on the engine, and the simulation agrees well with the measurement results. Due to the slow opening of the throttle, the intake manifold pressure decreases to a value slightly lower than the steady-state intake manifold pressure. For two reasons at 2000 rpm this effect does not occur. First, the discharge of the intake manifold is slower at lower engine speeds. Second, the required throttle opening for the desired torque increases with the engine speed. Thus, a fast throttle is advantageous for intake manifold boosting.
Table 2 lists the air mass consumption obtained by measurement and in the simulation. They differ by less than 9 % .
Table 2. Air mass consumption data from measurements and simulations.
Table 2. Air mass consumption data from measurements and simulations.
Engine speed m b , m e a s m b , s i m Error
2000 rpm 13 . 2 g 14 . 0 g + 6 . 1 %
2500 rpm 15 . 0 g 13 . 7 g - 8 . 7 %
The measurement results show that the control strategy developed is suitable for intake manifold boosting. They also demonstrate the effectiveness of this turbo lag compensation method.

5.2.1. Model Modifications

The model used to reproduce the measurement results shown in Figure 8 includes several modifications. First, the actuator dynamics of the boost valve and the throttle are included. As a result of the slow throttle opening shown in the second plot of Figure 8, the throttle already opens when the intake manifold pressure is higher than the boost pressure by less than 500 mbar. When a lower value is chosen for this pressure difference the torque collapses.
Furthermore, during the boosting process the intake manifold pressure is higher than the boost pressure. Since the throttle is not tight, air escapes out of the intake manifold. Simulations show that there is a net outflow in the order of 1 g of air during the entire boosting process. This leakage is now included in the model.
Finally, the finite size of the pressure tank is now taken into account, i.e., the pressure is not considered to be constant during a boosting process. The pressure drop leads to a smaller boost valve mass flow. In contrast to the simulations shown in Section 4, the boost valve thus remains fully open.

6. Simulation-Based Comparison of Intake Manifold and in-Cylinder Boosting

The engine used to study intake manifold boosting was used to investigate in-cylinder boosting and was described in [9]. Those results are now used for a comparison of the performance during transients and the air demand of the two boosting approaches. The major difference between the two approaches is the fact that with intake manifold boosting the complete engine mass flow is supplied from the tank. With in-cylinder boosting only an additional mass flow is supplied directly into the combustion chamber. Thus, with intake manifold boosting the torque rises with an almost constant gradient whereas with in-cylinder boosting the gradient decreases. Figure 9 illustrates this difference for a load step at 2000 rpm from 1.7 bar to 16.7 bar mean effective pressure.
For the comparison of the two approaches, the control strategy is applied that yields the lowest possible air mass consumption. Also, in both cases, the actuator dynamics are neglected in order to allow the potential of the boosting approaches to be compared.
Figure 9. Simulated p m e trajectories for intake manifold boosting and in-cylinder boosting for a load step from 1.7 bar to 16.7 bar p m e at 2000 rpm.
Figure 9. Simulated p m e trajectories for intake manifold boosting and in-cylinder boosting for a load step from 1.7 bar to 16.7 bar p m e at 2000 rpm.
Energies 06 01746 g009

6.1. Design

One major difference between in-cylinder boosting and intake manifold boosting is the design point. Intake manifold boosting is designed such that the complete engine mass flow can be delivered at the highest engine speed and at the highest torque where boosting takes place. For in-cylinder boosting there is a criterion on the torque response at a low engine speed, where the turbo lag is an issue [4].
With this in mind, the comparison is always somewhat unfair for one of the two approaches since they cannot be designed following the same criteria. However, each system is designed in such a way that satisfactory results are obtained over the entire operating range. A comparison of the two boosting approaches thus is still appropriate.

6.2. Torque Response

Figure 10 shows the rise times of the two boosting approaches in the entire operating range. With intake manifold boosting a faster response is achieved. However, both approaches lead to fast torque responses. As derived in Section 2.2, the rise time for intake manifold boosting decreases for increasing engine speeds as the left plot shows. For in-cylinder boosting, shown in the right plot, the rise time increases with the engine load, but is rather independent of the engine speed.

6.3. Air Mass Consumption

Figure 11 shows the simulation results for the air mass consumption m b for load steps from 1.7 bar p m e to the indicated load at the indicated engine speed for intake manifold boosting (a) and in-cylinder boosting (b).
The comparison of the air mass consumption data shows that for intake manifold boosting the consumption is 2.3 to 4.6 times higher. The reason for this increase is the fact that in-cylinder boosting only supplies an additional air mass, while intake manifold boosting must supply the complete engine mass flow. A low air mass consumption is advantageous because a smaller tank can be used, which is good for the packaging. Furthermore, less energy is required for the supply of compressed air.
Figure 10. Simulation results for the rise times for a turbo lag compensation for load steps from 1.7 bar p m e to the indicated p m e at the indicated engine speed ω e . (a) With intake manifold boosting; (b) With in-cylinder boosting (values taken from [9]).
Figure 10. Simulation results for the rise times for a turbo lag compensation for load steps from 1.7 bar p m e to the indicated p m e at the indicated engine speed ω e . (a) With intake manifold boosting; (b) With in-cylinder boosting (values taken from [9]).
Energies 06 01746 g010
Figure 11. Simulation results for the consumed air mass m b for a turbo lag compensation for load steps from 1.7 bar p m e to the indicated p m e at the indicated engine speed ω e . (a) With intake manifold boosting; (b) With in-cylinder boosting (values taken from [9]).
Figure 11. Simulation results for the consumed air mass m b for a turbo lag compensation for load steps from 1.7 bar p m e to the indicated p m e at the indicated engine speed ω e . (a) With intake manifold boosting; (b) With in-cylinder boosting (values taken from [9]).
Energies 06 01746 g011

6.4. Concluding Comparison

Further implications for both approaches are listed in Table 3. The reduced hardware modifications in the case of intake manifold boosting are accompanied by the disadvantage of a significantly higher air consumption. The fact that an additional compressor is necessary to fill the pressure tank in order to realize intake manifold boosting reduces the advantage of this boosting approach. Especially when the additional operating modes are taken into account the performance of intake manifold boosting is worse.
Table 3. Comparison of intake manifold and in-cylinder boosting.
Table 3. Comparison of intake manifold and in-cylinder boosting.
CriterionIn-cylinder boostingIntake manifold boosting
hardware modifications
  • additional valve in cylinder head
  • additional valve actuation (camshaft driven, electrohydraulic,…)
  • pressure tank
  • boost valve mounted on the intake manifold
  • boost valve actuation
  • external compressor
  • pressure tank
throttleno modificationsa fast throttle with low leakage is advantageous
additional operating modes of the engine
  • boost mode
  • pneumatic motor mode
  • pneumatic pump mode
  • pneumatic start
  • boost mode
air tank fillingby the engine itself using the pneumatic pump modeby an additional compressor
torque responsefastfaster
air consumptionmoderatehigher
surge problemsnonecan be avoided with overboosting for this engine

7. Conclusions

In this work, the implementation of intake manifold boosting on an SI engine is presented. It is shown how the boost valve must be dimensioned in order to be able to carry out load steps over a desired operating range of the engine. The control strategy presented leads to a low consumption of pressurized air. For the engine considered, surge can be avoided without the use of an overstream valve.
The realizability of intake manifold boosting and the transient performance are demonstrated in experiments at two engine speeds. It is shown how the ignition controller must be set up when an offset from the MBT ignition angle is present in order to accurately achieve a desired reduction of the ignition efficiency. With intake manifold boosting, the turbo lag is shown to be overcome effectively. For a load step at 2000 rpm the rise time can be reduced from 2785 ms to 124 ms . This result shows that intake manifold boosting can substantially improve the transient performance of a downsized and turbocharged engine and can hence be used as an enabler of strong downsizing.
The comparison of intake manifold and in-cylinder boosting shows that the reduced complexity of hardware modifications for intake manifold boosting is accompanied by a significantly higher consumption of pressurized air. Intake manifold boosting has a 2.3 to 4.6 times higher air mass consumption than in-cylinder boosting. This disadvantage is accompanied by the need for an additional compressor to fill the pressure tank.

References

  1. Leduc, P.; Dubar, B.; Ranini, A.; Monnier, G. Downsizing of gasoline engine: An efficient way to reduce CO2 emissions. Oil Gas Sci. Technol. 2003, 58, 115–127. [Google Scholar] [CrossRef]
  2. Lecointe, B.; Monnier, G. Downsizing a Gasoline Engine Using Turbocharging with Direct Injection; SAE Paper 2003-01–0542; SAE: Warrendale, PA, USA, 2003. [Google Scholar]
  3. Fraser, N.; Blaxill, H.; Lumsden, G.; Bassett, M. Challenges for increased efficiency through gasoline engine downsizing. Int. J. Engine. 2009, 2, 991–1008. [Google Scholar] [CrossRef]
  4. Voser, C.; Dönitz, C.; Ochsner, G.; Onder, C.; Guzzella, L. In-cylinder boosting of turbocharged spark-ignited engines. Part 1: Model-based design of the charge valve. Proc. Inst. Mech. Eng. Part D J. Automob. Eng. 2012, 226, 1408–1418. [Google Scholar] [CrossRef]
  5. Marx, M.; Nemeth, H.; Gerum, E. Aufladung: Verbesserung des Drehmomentverhaltens aufgeladener Dieselmotoren durch Drucklufteinblasung. MTZ. Motortechnische Zeitschrift 2009, 70, 472–479. [Google Scholar] [CrossRef]
  6. Lee, C.S.; Choi, N.J. Effect of air injection on the characteristics of transient response in a turbocharged diesel engine. Int. J. Therm. Sci. 2002, 41, 63–71. [Google Scholar] [CrossRef]
  7. Gilkes, O.S.; Mishra, R.; Fieldhouse, J.D. Simulation of the Transient Performance of a Turbocharged Diesel Engine Featuring a Two Point Air Injection Transient Assist System; SAE Paper 2008-01–1192; SAE: Warrendale, PA, USA, 2008. [Google Scholar]
  8. Ledger, J.; Benson, R.; Furukawa, H. Improvement in Ttransient Performance of a Turbocharged Diesel Engine by Air Injection into the Compressor; SAE Paper 730665; SAE: Warrendale, PA, USA, 1973. [Google Scholar]
  9. Voser, C.; Ott, T.; Dönitz, C.; Onder, C.; Guzzella, L. In-cylinder boosting of turbocharged spark-ignited engines. Part 2: Control and experimental verification. Proc. Inst. Mech. Eng. Part D J. Autom. Eng. 2012, 226, 1564–1574. [Google Scholar] [CrossRef]
  10. Guzzella, L.; Onder, C. Introduction to Modeling and Control of Internal Combustion Engine Systems; Springer: Berlin Heidelberg, Germany, 2010. [Google Scholar]
  11. Gerhardt, J.; Hönninger, H.; Bischof, H. A new approach to functional and software structure for engine management systems—BOSCH ME7. SAE Trans. 1998, 107, 1173–1184. [Google Scholar]
  12. Amann, N.; Bocker, J.; Prenner, F. Active damping of drive train oscillations for an electrically driven vehicle. IEEE/ASME Trans. Mechatron. 2004, 9, 697–700. [Google Scholar] [CrossRef]

Share and Cite

MDPI and ACS Style

Zsiga, N.; Voser, C.; Onder, C.; Guzzella, L. Intake Manifold Boosting of Turbocharged Spark-Ignited Engines. Energies 2013, 6, 1746-1763. https://doi.org/10.3390/en6031746

AMA Style

Zsiga N, Voser C, Onder C, Guzzella L. Intake Manifold Boosting of Turbocharged Spark-Ignited Engines. Energies. 2013; 6(3):1746-1763. https://doi.org/10.3390/en6031746

Chicago/Turabian Style

Zsiga, Norbert, Christoph Voser, Christopher Onder, and Lino Guzzella. 2013. "Intake Manifold Boosting of Turbocharged Spark-Ignited Engines" Energies 6, no. 3: 1746-1763. https://doi.org/10.3390/en6031746

APA Style

Zsiga, N., Voser, C., Onder, C., & Guzzella, L. (2013). Intake Manifold Boosting of Turbocharged Spark-Ignited Engines. Energies, 6(3), 1746-1763. https://doi.org/10.3390/en6031746

Article Metrics

Back to TopTop