Next Article in Journal
Data-Driven Model-Free Predictive Control for Zero-Sequence Circulating Current Suppression in Parallel NPC Converters
Previous Article in Journal
Electrochemical Tracking of Lithium Metal Anode Surface Evolution via Voltage Relaxation Analysis
 
 
Font Type:
Arial Georgia Verdana
Font Size:
Aa Aa Aa
Line Spacing:
Column Width:
Background:
Article

Application of the Padé via Lanczos Method for Efficient Modeling of Magnetically Coupled Coils in Wireless Power Transfer Systems

by
Milena Kurzawa
and
Rafał M. Wojciechowski
*
Faculty of Control, Robotics and Electrical Engineering, Poznan University of Technology, 60-965 Poznan, Poland
*
Author to whom correspondence should be addressed.
Energies 2026, 19(1), 188; https://doi.org/10.3390/en19010188
Submission received: 7 November 2025 / Revised: 11 December 2025 / Accepted: 26 December 2025 / Published: 29 December 2025

Abstract

This paper presents a method for determining the equivalent circuit parameters of magnetically coupled air-core coils used in wireless power transfer (WPT) systems. The proposed approach enables fast and accurate modeling of inductively coupled energy transfer structures, which is essential for the design and optimization of high-efficiency wireless energy systems. The equivalent circuit of the analyzed system was developed using Cauer circuits, while a two-dimensional (2D) axisymmetric electromagnetic field model was employed to derive the equations. The model was implemented in proprietary software based on the edge-element finite element method (FEM) using the AV formulation. The AV formulation combines the magnetic vector potential A and the electric scalar potential V, enabling simultaneous representation of magnetic field distribution and current flow in conducting regions. The eddy currents in the conductors were considered in the electromagnetic field analysis. Simulations were carried out for two operating states: short-circuit and idle. The results were used to determine the parameters of the horizontal and magnetizing branches of the equivalent circuit of considered system and to analyze the frequency dependence of the resistances and inductances of the coupled coil system. The proposed modeling approach provides an effective and energy-oriented tool for the design of wireless power transfer systems with improved efficiency and reduced computational cost. The proposed method reproduces impedance characteristics with an accuracy of 0.2 × 10−3% in the idle state and 1.4 × 10−3% in the short-circuit state compared to the full FEM model, while significantly reducing the computation time.

1. Introduction

Magnetically coupled coil systems constitute a fundamental technology used in numerous electrical and energy-conversion applications, including transformers, actuators, and electromechanical transducers [1,2,3]. In recent years, their modern implementations have gained increasing importance in advanced power-electronics and wireless-power-transfer systems. In most conventional systems, the coils share a common ferromagnetic core that guides the magnetic flux and enhances coupling. However, when the coils are placed in air, the system operates as an air-core transformer, which is particularly relevant in wireless power transfer (WPT) and contactless energy transmission applications [4,5]. Air-core transformers are often used in modern WPT systems due to their reduced core losses and suitability for high-frequency operation [6,7]. In such systems, the coils may differ in geometry, winding structure, and conductor type (e.g., solid or Litz wire). Accurate modeling of these structures requires considering frequency-dependent resistance and inductance, which can impact the system’s quality factor [8,9,10]. Recent developments demonstrate that coil geometry plays a crucial role in achieving high efficiency and misalignment tolerance in modern WPT systems. For example, star-shaped transmitter arrays have been introduced to enhance rotation tolerance of freely moving receivers [4], while integrated receiving coils placed within drone landing gear structures allow reliable charging despite imperfect positioning during landing [6]. In underwater applications, coaxial antipodal dual-DD coils have been proposed as highly misalignment-tolerant structures for autonomous underwater vehicles (AUVs) [7]. Additional components, such as ferromagnetic flux concentrators or conductive shielding plates, are frequently employed to enhance magnetic coupling and minimize leakage flux. These design variations significantly affect energy transfer efficiency and distribution of electromagnetic field within the system. Because of the relatively weak magnetic coupling and the absence of a ferromagnetic core, air-core coil systems are typically supplied by power electronic converters operating at high frequencies. The analysis and design of such systems are complex and highly frequency-dependent. As a result, engineers and researchers continuously seek efficient and fast-converging modeling techniques that maintain high computational accuracy while reducing simulation time and computational cost. Depending on the purpose of analysis, circuit, field, or equivalent models are used. For steady-state investigations, simplified circuit models are commonly applied due to their low computational requirements. Recent studies have shown that such models are particularly useful for analyzing the influence of component mistuning in compensated WPT systems. For instance, mistuned Series–Series topologies in electric vehicle charging applications have been extensively investigated to assess their sensitivity to parameter deviations and resonance shifts [5]. However, these models may fail to accurately represent the electromagnetic behavior of air-core transformers, particularly when frequency-dependent effects become significant. On the other hand, 2D and 3D field models provide excellent accuracy but are computationally expensive, especially when multiple frequency points must be analyzed. Equivalent circuit models, such as Cauer or Foster-type circuits [11,12,13,14], offer a balance between accuracy and computational efficiency. These ladder networks are particularly effective in synthesizing frequency-dependent characteristics of magnetic components [15]. They enable wideband frequency analysis by mapping the system’s field behavior into a set of lumped parameters that vary smoothly with frequency. The key challenge in constructing such models lies in accurately determining the equivalent circuit parameters from field data. Various techniques have been proposed for this purpose, including model order reduction methods and rational function fitting approaches [16,17,18]. In this study, the Padé via Lanczos method (PvL), one of the most effective model reduction techniques, is employed. This approach is based on the eigenvalue decomposition of the finite element method (FEM) matrices and allows for an efficient extraction of frequency-dependent parameters.
In this paper, a magnetically coupled air-core coil system (Figure 1) is analyzed. The equivalent circuit parameters are determined using a combination of short-circuit and no-load (idle) simulations. Proprietary FEM-based software developed by the authors is used to derive the system matrices and to implement the Padé via Lanczos reduction procedure. The obtained self and mutual inductances, as well as resistances, are compared with results from a full-field FEM model. The comparison confirms that the proposed approach enables fast and accurate modeling of wireless energy transfer systems, making it a valuable tool for the design and optimization of energy-efficient WPT devices. The main motivation for this work was the need for a fast and accurate algorithm capable of determining equivalent circuit parameters—particularly those of Cauer and Foster structures—directly from electromagnetic field data while minimizing computational cost. Moreover, the proposed approach aims to deliver wide-band, high-fidelity results significantly faster than classical FEM-based procedures. The analyzed coil configuration corresponds to solutions commonly employed in laboratory and prototype wireless power transfer systems, where wideband impedance models are essential for the design, control, and optimization of power electronic converters.
The main contributions of our paper can be summarized as follows:
  • proposal of a novel, fast, and accurate wideband modeling approach for magnetically coupled air-core WPT coils,
  • successful application of the Padé via Lanczos method for model order reduction (MOR) to synthesize the Cauer ladder network equivalent circuit,
  • development of a robust methodology that links the Finite Element Method field results with the lumped-element circuit model across a broad frequency range,
  • provision of a detailed analysis and interpretation of the derived circuit parameters.

2. Model of a Magnetically Coupled Air-Core Coil System

For the design, analysis, and synthesis of systems with electromagnetic fields, including magnetically coupled air-core coils, numerical methods based on spatial discretization are commonly used [19]. The most frequently employed method is the Finite Element Method (FEM). In this method, the field equations can be solved using two approaches: (a) approaches based on field formulations [19], and (b) approaches utilizing electric and magnetic potentials. Field formulation methods are currently mainly used for the analysis of problems related to electromagnetic wave propagation and radiation. For solving electromagnetic field problems, methods based on potentials are widely employed [19,20].
Among the potentials used, scalar potentials, i.e., the magnetic potential Ω and the electric potential V [21,22], as well as vector potentials, i.e., the magnetic vector potential A [19,23] and the electric vector potentials T and T0 [24,25], are most applied. In electromagnetic systems, the equations for the magnetic and electric fields must be solved together, as they are mutually coupled fields [14]. To analyze such systems, methods employing both magnetic and electric potentials are combined. In this study, due to the nature of the electromagnetic field analysis undertaken, the authors chose to implement the approach using potentials.
To determine the matrix equations for the multi-stage approach of FEM, necessary for calculating the parameters of Foster and/or Cauer equivalent circuits, a field model was developed. This model was implemented in proprietary software using a 2D edge-based FEM approach and the AV formulation. The chosen method allowed for the consideration of the induced and eddy current effect in the conductors. In the developed software, the magnetic field distribution was determined using the magnetic vector potential A, while the description of current flow field employed the electric scalar potential V.
It should be noted that in the applied multi-stage approach of FEM the magnetic field distribution was not calculated directly from the vector potential A, but from its edge values φ, i.e., the integrals calculated along the edges of the finite elements. Reference [19] demonstrated that the edge values φ of the vector potential A can be identified with the loop fluxes of the magnetic reluctance network, while the FEM equations for the V formulation correspond to the nodal equations of the electric edge network, i.e., the conductance network [19].
In this study, the authors considered a system of magnetically coupled air-core coils (Figure 1) characterized by axial symmetry, for which a system of matrix equations was formed for the coupled reluctance and conductance networks as follows:
R μ + j ω G e   G e z s 0 j ω z s T G e z s T G e z s k s 0 k s T 0 · φ _ u _ p i _ c =   0 0 u _ c
where j is the imaginary unit, ω is the electrical angular frequency, Rμ is the matrix of loop reluctances, Ge is the conductance matrix in the region with conductors of windings, zS is the matrix describing the coil distribution in the region with windings, and kS is the matrix transforming the currents flowing in individual solid wires (turns) into the currents flowing in the coils of the considered system.
The unknowns in (1) are: (a) the vector φ, representing the complex values of loop fluxes, i.e., the edge values of the vector potential A, (b) the vector u _ p , representing voltage drops across individual turns, and (c) the vector i _ c , representing the currents in the coils of the system. The excitation for this system is taking place the vector of voltages u _ c applied to the windings of the studied object.
The above system of equations was used by the authors to determine the equivalent parameters of the Cauer circuits. The equivalent circuit of the magnetically coupled air-core coils using Cauer circuits, as applied in this study, is shown in Figure 2.

3. Equivalent Model of Magnetically Coupled Air-Core Coils Using Cauer Circuits

In the analysis of the magnetically coupled coil system, the authors employed an equivalent model, i.e., a field-circuit model using Cauer equivalent circuits. To determine the parameters of the equivalent circuits, the Pade via Lanczos approach was applied, which first requires formulating the system of matrix equations describing the studied system, as presented in Section 2 of this article. This system of equations was obtained based on the field model implemented in the author’s custom FEM software. In this study, the coupled coils were modeled perfectly coaxial components, which is consistent with the axisymmetric formulation of the electromagnetic field model. Consequently, the analysis does not include effects related to lateral misalignment, angular deviation, or other non-coaxial configurations. Such directionality-related phenomena, although highly relevant in many wireless power transfer applications, were intentionally excluded from the scope of this work, whose primary objective was to determine the equivalent circuit parameters for a defined reference geometry. Extending the methodology to systems with misaligned coils constitutes a natural direction for future research.
The model reduction method using the Pade via Lanczos approach was divided into seven steps. The starting point of the applied method is the FEM equations describing the studied system (1). In the Pade via Lanczos method, these Equation (2) are expressed in a simpler form:
S + j ω G X _ = b U _ ,
where b is a unit vector defined in [26], U is a vector representing the complex voltage values at the terminals of the considered system (here, the air-core transformer), S and G are coefficient matrices representing the real and imaginary components of the FEM equations, respectively; and X is a vector representing the sought complex values of magnetic fluxes and currents in the windings.
In the applied method, Equation (3) must be supplemented with an equation representing the response of the studied system, namely:
κ _ = l T X _
where l is a unit vector [11,26].
Next, by applying Laplace transform, the FEM equation system of (2) and (3) is converted into an operator form in the s-domain:
        S + s G X s = b U s κ _ s = l T X ( s )
Next, the system’s transfer function H(s) is determined. The function H(s) represents the frequency response of the considered circuit and is expressed as:
H s = κ ( s ) U ( s ) = l T b S + s G
To determine the final form of the function H(s), it is necessary to define the expansion point s 0 ( s 0 = 2πfmax), which specifies the boundary value of the considered frequency range (0, fmax), and the sigma point σ ( σ = s s 0 )   , i.e., the point indicating the current search region. Taking into account the dependence between s 0 and σ , the function H(s) takes the following form:
H s = l T d I + σ A
where A = G / ( S + s 0 G ) 1 , d = ( S + s 0 G ) 1 b and I is the identity matrix.
Because matrix A is a large M × M matrix, computing all its eigenvalues and eigenvectors can be very time-consuming due to the potentially millions of FEM equations. To reduce computation time and still obtain the system’s frequency response, the Padé approximation combined with the Lanczos algorithm is used. After applying this approach, the function H(s0 + σ) is transformed into the form:
H q s 0 + σ = H s 0 + σ + O σ q + 1 = l T d ( I + σ e T T q   e )
where e = 1 , 0 , 0 , , 0 T R q .
In the proposed approach, the matrix A of size M × M is transformed into a tridiagonal Lanczos matrix Tq of much smaller dimension q × q (where q << M). In this work, the modified Lanczos algorithm proposed by Y. Sato [11,26] was used to calculate the values of the matrix Tq. Subsequently, in order to diagonalize the matrix Tq, the QR algorithm was applied, after which the Lanczos matrix takes the form: T q = S q Λ q S q T , and the function H q s 0 + σ assumes the form:
H q s 0 + σ = l T e T S q μ T I + σ Λ q 1 S q 1 e · r v = j = 1 q μ j ν j 1 + σ λ j
where Λ q = d i a g λ 1 , λ 2 , , λ q contains the q eigenvalues of the matrix Tq, while the values μj and νj are components of the vectors µ and ν; the matrix Sq represents the eigenvectors of the Lanczos matrix Tq. The function H q s 0 + σ obtained above is a function of the variable s in the Laplace domain. In order to transform the Function (8) from the operator domain to the frequency domain, the substitution s =   s 0 + σ = j ω should be applied. Then, the relation describing the system’s transfer function reduces to the following form:
H _ q j ω = i = 1 q 1 1 μ i ν i + j ω λ i μ i ν i = Y _ ( j ω )
The algorithm presented above enables a direct transformation of the FEM equations into a relationship describing the system admittance Y(). However, the parameters of the Cauer circuit are determined based on the known system impedance Z(), i.e.,
Z _ j ω = 1 H _ q ( j ω ) = 1 Y _ ( j ω ) = 1   i = 1 q 1 1 μ i ν i + j ω λ i μ i ν i
However, to obtain the final form of the impedance, one more transformation must be performed with respect to Formula (10), using the Euclidean Algorithm (EA) [11]. To carry out this transformation, the impedance Z(jω) should first be transferred into the Laplace domain, i.e., Z(jω)→Z(s), and then Formula (10) should be converted into a rational function form, in which the numerator and denominator are polynomials of the form P(s) and Q(s) of orders q and q − 1, respectively, i.e.,:
Z s = P ( s ) Q ( s ) = d 0 + d 1 s + + d q s q     c 0 + c 1 s + + c q 1 s q 1
The final stage of the transformation is the division of the polynomial P(s) by Q(s), resulting in one of the relationships describing the impedance and the parameters of the Cauer circuit, corresponding to: (a) a first-order, or (b) a second-order circuit.
The main objective of this study is to inform researchers involved in the modeling and analysis of magnetically coupled coils used in wireless power transfer systems about the method proposed by the authors for developing a broadband equivalent circuit of an air-core transformer using Cauer circuits.
To determine the lumped parameters (resistances and inductances) of the equivalent circuit of the system shown in Figure 1, a classical approach was applied, in which their values were derived based on two operating states of the air-core transformer, namely: (a) the short-circuit state, and (b) the idle (i.e., open-circuit) state.
For the first of these states, the function Z0() was determined, representing the impedance of the system as seen from the input terminals of the air-core transformer under the assumption that the current on the secondary side of the transformer is ic2 = 0, i.e.,:
Z _ 0 j ω = 1 H _ q j ω i c 2 = 0
In turn, for the short-circuit analysis of the air-core transformer, the function Z _ z j ω was determined, representing the impedance of the system as seen from the input terminals of the air-core transformer, while assuming in this case that the voltage on the secondary side of the transformer is uc2 = 0, i.e.,:
Z _ z j ω = 1 H _ q j ω u c 2 = 0
The previously obtained functions Z _ 0 j ω and Z _ z j ω were then used to determine the parameters of the individual branches of the equivalent circuit. In this work, the relationship describing the impedance Z _ H   for the horizontal branches of the equivalent circuit was calculated from:
Z _ H j ω = 0.5 · Z _ z j ω
while the impedance Z _ M , describing the parameters of the magnetizing branch of the applied equivalent circuit of the air-core transformer, was determined from:
Z _ M j ω = Z _ 0 j ω 0.5 · Z _ z j ω
The final stage involves determining the real and imaginary parts of the impedances Z _ H and Z _ M , which serve as the basis for calculating the actual parameter values of the Cauer circuits.
To provide a clear overview of the computational methodology and to enhance the reproducibility of the results, the complete workflow—linking the electromagnetic field analysis with the circuit synthesis—is illustrated in Figure 3. This block diagram summarizes the transition from the FEM-based formulation to the final wideband equivalent circuit parameters derived using the Padé via Lanczos method.

4. Results

In this study, a system consisting of two identical flat circular planar coils forming an air-core transformer was analyzed. The dimensions of the coils are provided in Table 1. In the analysis, it was assumed that the distance between the primary and secondary coils would be 5 mm. The windings of the coils were constructed from copper wire. A schematic view of the analyzed system is illustrated in Figure 1.
For analyzing the system of magnetically coupled air-core coils, the authors have developed a custom field model. The number of elements in the discretization mesh of the studied system exceeded 100,000. The FEM model was discretized using second-order triangular elements to enhance solution accuracy. To ensure the reliability of the computed parameters, a mesh convergence study was performed. The analysis showed that refining the mesh beyond 100 thousand elements resulted in parameter changes of less than 1%. This level of discretization was therefore stable and sufficient, as further mesh refinement led to increased computational cost without noticeable accuracy improvement. The model accounted for the effect of induced and eddy current in the conductors of the studied coils. Using the author’s own software, a system of FEM matrix equations was formed, based on which, after applying the Pade via Lanczos method, the relationships describing the variation in the system’s resistance and inductance as a function of the supply frequency were plotted.
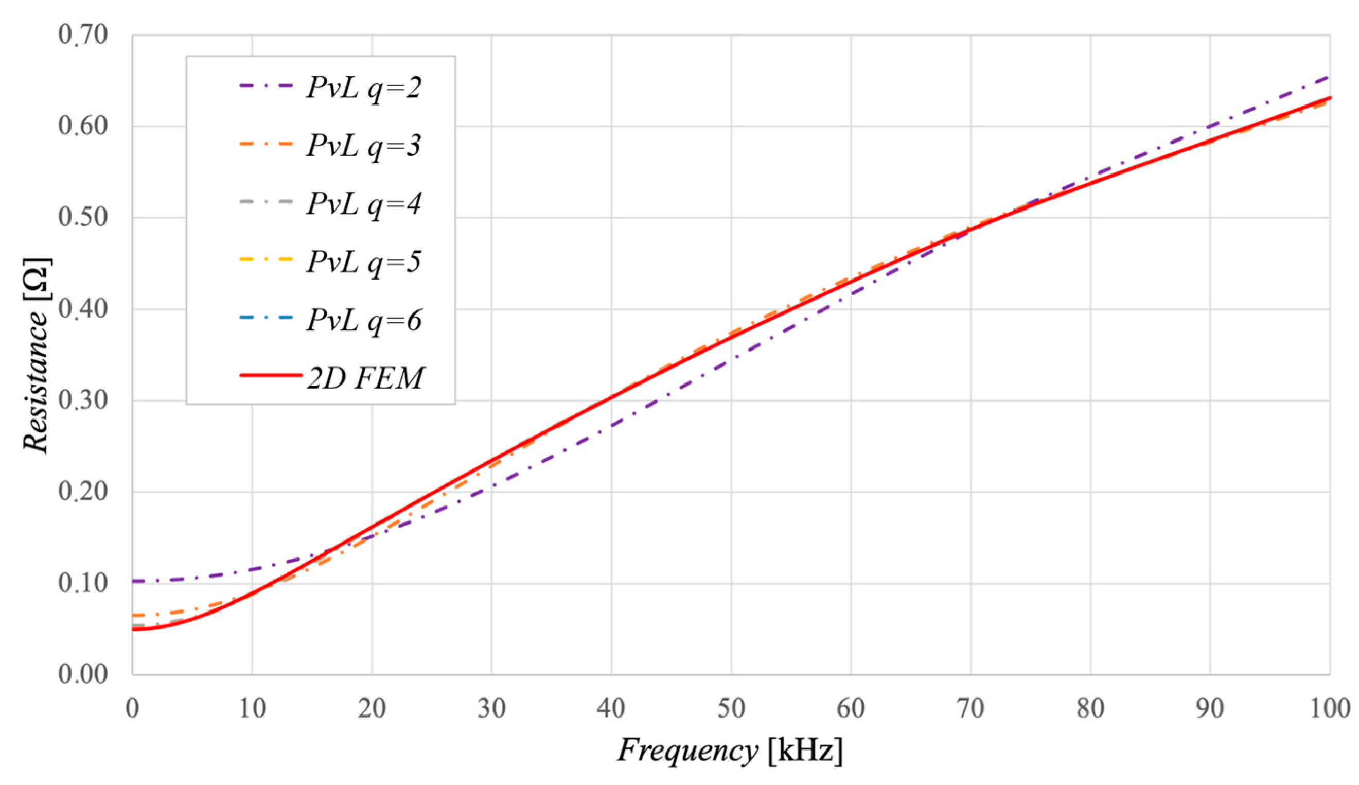
Calculations were performed using the classical approach for determining the parameters of the transformer equivalent circuit, i.e., for no-load and short-circuit conditions. The parameters of the horizontal branches were determined based on the short-circuit test of the magnetically coupled coils, while the parameters of the magnetizing branch were determined using the no-load and short-circuit tests. The numerical simulations were performed over a frequency sweep domain ranging from 10 Hz to 100 kHz. This specific bandwidth was selected to accurately characterize the wideband behavior of the laboratory test system developed by the authors, which is designed to operate at fundamental frequencies ranging from several kHz to 100 kHz. Furthermore, this domain encompasses the typical operating frequencies utilized in many medium-power inductive power transfer applications, ensuring that the proposed model is relevant for both the experimental verification and the design of real-world WPT systems. The system was powered by a sinusoidal AC source. The obtained resistance and inductance dependencies for the no-load and short-circuit conditions are illustrated in Figure 4, Figure 5, Figure 6 and Figure 7. The relationships describing resistances and inductances were defined based on the values of the functions representing the system impedance Z0(f) for the no-load condition and Zz(f) for the short-circuit condition, i.e., the impedances seen from the terminals of the transmitting coil.
In the calculations, the functions describing Z0(f) and Zz(f) were determined based on Relations (12) and (13) for different values of q, i.e., numbers representing the order of the dimensionless functions describing the given circuit.
Before proceeding to determine the parameter values of the Cauer equivalent circuits for horizontal and magnetizing branches of the magnetically coupled coils, to verification of the accuracy of reproducing the Z0(f) and Zz(f) dependencies as a function of q–parameter, the relative difference between the results obtained from the full field model and the proposed Pade via Lanczos method was calculated. For this purpose, Relation (16) was used.
ε z = s = 1 k Z _ M P f Z _ M E f 2 s = 1 k Z _ M P f 2 · 100 %
where k denotes the number of samples in the frequency domain, and ZMP(f) and ZME(f) represent the values of the impedances Z0(f) and ZZ(f) obtained from the FEM model and the Pade via Lanczos method, respectively. The results are summarized in Table 2.
The study noted (after conducting numerous numerical tests) that the optimal fit of the equivalent model occurs when the coefficient ε z < 10 2 [12]. From Table 2, it follows that the minimum number of branches in the equivalent circuit is q = 6. Further increasing the number of branches leads to greater complexity in the calculation of the Lanczos matrix, and consequently, to an increase in the computation time. The average time required to determine the characteristics in this study was approximately 10 min. In addition to this quantitative assessment, further numerical experiments were conducted to evaluate the numerical stability of the PvL-based Cauer model with respect to the number of branches q. These tests showed that for q < 6, the reconstructed impedance characteristics exhibit noticeable deviations from the reference FEM solution, and the resulting equivalent circuit parameters are sensitive to small numerical perturbations in the Lanczos matrix decomposition. For q ≥ 6, both the magnitude and phase of the impedances stabilize, and the reconstructed Z0(f) and ZZ(f) curves closely follow the full-field FEM model across the entire frequency range. Increasing q beyond this value does not provide meaningful improvement in accuracy and may even reduce numerical robustness due to the growth of the Hessenberg matrix and accumulation of round-off errors during the Lanczos iterations. Therefore, q = 6 represents the optimal and numerically stable choice, providing a reliable compromise between accuracy, convergence of the PvL algorithm, and computational efficiency. This observation is consistent with earlier studies reported in [27], where similar convergence behavior was observed for magnetically coupled inductive components.
In the subsequent step, the fitting functions of the impedances Z _ H ( f )   for the horizontal branches and Z _ M f for the magnetizing branch were determined in the frequency domain using (14) and (15). The frequency-dependence of resistance and inductance characteristics derived from the functions Z _ H ( f )   and Z _ M f are presented in Figure 8, Figure 9, Figure 10 and Figure 11.
Using the obtained relationships describing the system’s impedances, the values of the equivalent parameters of the Cauer circuits were calculated, enabling the construction of lumped-parameter models of magnetically coupled air-core coils. The resulting values of the equivalent inductance parameters LH and LM as well as the resistances RH and RM of the Cauer circuits for the longitudinal and transverse branches, are summarized in Table 3.
The authors, analyzing the parameters of the equivalent circuit, noted that the additional resistance R0 should be considered. The value of R0 is the difference between the real parts of the impedances Z0 and 0.5 · Z _ z , according to Relation (15). Neglecting R0 in the equivalent circuit can lead to discrepancies between the results obtained from the field model and the equivalent models. Due to the presence of R0, the equivalent circuit of the system (Figure 2) had to be modified to the form shown in Figure 12 where additional resistance was included in the magnetizing branch. It should be noted that in the analyzed system, the resistance R0 does not represent a physical loss component (such as hysteresis or shield losses) but is a result of the mathematical synthesis procedure necessary to minimize the approximation error of the equivalent circuit.

5. Conclusions

The article presents a method for determining the parameters of an equivalent circuit using Cauer ladder networks for an air-coupled coil system. The procedure for formulating the system of equations, based on a two-dimensional axisymmetric field model implemented in proprietary FEM software employing an edge-based AV formulation, was discussed. The field solutions were utilized to determine the equivalent circuit parameters through the PvL model reduction method. The inductance and resistance characteristics derived from the classical short-circuit and no-load tests were successful compared with those obtained from the full FEM reference model. The analysis, performed for different numbers of branches in the Cauer network, demonstrated that increasing the number of branches improves the accuracy of reproducing the impedance characteristics. It was found that six branches are sufficient to achieve a low error, specifically 0.2 × 10−3% in the no-load condition and 1.4 × 10−3% in the short-circuit condition. A modification of the circuit was proposed, introducing an additional resistance corresponding to the difference between the real parts of the impedances obtained from both tests. A substantial reduction in computation time was also achieved. This efficiency stems from the PvL method requiring only a solution of the large FEM system matrix for basis generation, unlike the standard approach which requires solving the full system repeatedly for every frequency point. While a single-frequency FEM simulation required several hours, the PVL-based approach provided results for the entire frequency band within approximately 10–12 min. This study focused on the numerical verification of the proposed algorithm against a full FEM reference. Future work will involve the experimental validation of the synthesized circuit models in a laboratory prototype of the WPT system. Ultimately, the study provides valuable insights into the design of modern wireless power transfer systems and power electronic devices, where magnetic coupling effects play a crucial role, and confirms that the proposed methodology offers a fast, accurate, and computationally efficient tool for modeling and optimizing high-efficiency power-conversion structures.

Author Contributions

Conceptualization, R.M.W. and M.K.; methodology, R.M.W. and M.K.; software, R.M.W. and M.K.; validation, R.M.W. and M.K.; formal analysis, R.M.W.; investigation, M.K.; resources, R.M.W. and M.K.; data curation, R.M.W. and M.K.; writing—original draft preparation, M.K.; writing—review and editing, R.M.W. and M.K.; visualization, M.K. All authors have read and agreed to the published version of the manuscript.

Funding

This work was carried out as part of the research project no. 2020/37/N/ST7/02579, funded by the National Science Centre, Poland.

Data Availability Statement

The data presented in this study are available on request from the corresponding author. The data is not publicly available due to intellectual property restrictions and the use of proprietary software developed by the authors.

Conflicts of Interest

The authors declare no conflicts of interest.

References

  1. Ferdous, D.; Saha, S.; Ray, R. A Resonance Based Inductive Wireless Power Transfer System for Charging Autonomous Underwater Vehicle (AUV) Batteries. In Proceedings of the 2024 International Conference on Electrical Electronics and Computing Technologies (ICEECT), Greater Noida, India, 29–31 August 2024; pp. 1–6. [Google Scholar]
  2. Detka, K.; Górecki, K. Wireless Power Transfer—A Review. Energies 2022, 15, 7236. [Google Scholar] [CrossRef]
  3. Al-Dweikat, M.; Cui, J.; Sun, S.; Yang, M.; Zhang, G.; Geng, Y. A Review on Thomson Coil Actuators in Fast Mechanical Switching. Actuators 2022, 11, 154. [Google Scholar] [CrossRef]
  4. Pahlavan, S.; Shooshtari, M.; Jafarabadi Ashtiani, S. Star-Shaped Coils in the Transmitter Array for Receiver Rotation Tolerance in Free-Moving Wireless Power Transfer Applications. Energies 2022, 15, 8643. [Google Scholar] [CrossRef]
  5. Li, W.; Han, Y.; Li, C. Modeling and Characteristic Analysis of Mistuned Series–Series-Compensated Wireless Charging System for EVs. Energies 2025, 18, 4091. [Google Scholar] [CrossRef]
  6. Boumerdassi, W.; Campi, T.; Cruciani, S.; Maradei, F.; Feliziani, M. Transmitting Double-D Coil to Wirelessly Recharge the Battery of a Drone with a Receiving Coil Integrated in the Landing Gear. Energies 2025, 18, 2587. [Google Scholar] [CrossRef]
  7. Liu, Y.; Xiong, M.; Zhang, Q.; Yang, F.; Lan, Y.; Jiang, J.; Song, K. Reconfigurable Wireless Power Transfer System with High Misalignment Tolerance Using Coaxial Antipodal Dual DD Coils for AUV Charging Applications. Energies 2025, 18, 4148. [Google Scholar] [CrossRef]
  8. Deng, Q.; Liu, J.; Czarkowski, D.; Kazimierczuk, M.K.; Bojarski, M.; Zhou, H.; Hu, W. Frequency-Dependent Resistance of Litz-Wire Square Solenoid Coils and Quality Factor Optimization for Wireless Power Transfer. IEEE Trans. Ind. Electron. 2016, 63, 2825–2837. [Google Scholar] [CrossRef]
  9. Detka, K.; Górecki, K.; Ptak, P. Model of an Air Transformer for Analyses of Wireless Power Transfer Systems. Energies 2023, 16, 1391. [Google Scholar] [CrossRef]
  10. Geng, S.; Geng, S.; Chu, M.; Wang, W.; Wan, P.; Peng, X.; Lu, H.; Li, P. Modelling and optimization of winding resistance for Litz wire inductors. IET Power Electron. 2021, 14, 1834–1843. [Google Scholar] [CrossRef]
  11. Sato, Y.; Shimotani, T.; Igarashi, H. Synthesis of Cauer equivalent circuit based on Model Order Reduction considering nonlinear magnetic property. IEEE Trans. Magn. 2017, 53, 6–14. [Google Scholar] [CrossRef]
  12. Kurzawa, M.; Wojciechowski, R.M. Wyznaczanie wartości parametrów schematu zastępczego transformatora impulsowego z wykorzystaniem obwodów równoważnych Cauera. Przegląd Elektrotech. 2022, 98, 277–281. (In Polish) [Google Scholar] [CrossRef]
  13. Wojciechowski, R.M.; Kurzawa, M.; Jedryczka, C. Application of evolution strategy to determine parameters of the multi-branch Foster and Cauer equivalent circuit of system with eddy current. Int. J. Appl. Electromagn. Mech. 2020, 63, 649–659. [Google Scholar] [CrossRef]
  14. Sato, Y.; Kawano, K.; Hou, D.; Morroni, J.; Igarashi, H. Cauer-equivalent circuit for inductors considering hysteresis magnetic properties for spice simulation. IEEE Trans. Power Electron. 2020, 35, 9661–9668. [Google Scholar] [CrossRef]
  15. Hurley, W.; Wolfle, W.; Breslin, J. Optimized transformer design: Inclusive of high-frequency effects. IEEE Trans. Power Electron. 1998, 13, 651–659. [Google Scholar] [CrossRef]
  16. Knypiński, Ł.; Nowak, L.; Demenko, A. Optimization of the synchronous motor with hybrid permanent magnet excitation system. COMPEL 2015, 34, 448–455. [Google Scholar] [CrossRef]
  17. Schilders, W.H.A.; Van Der Vorst, H.A.; Rommes, J. Model Order Reduction: Theory, Research Aspects and Applications; Springer: Berlin/Heidelberg, Germany, 2000. [Google Scholar]
  18. Kiss, K.L.; Orosz, T. Model Order Reduction methods for rotating electrical machines: A review. Energies 2024, 17, 5145. [Google Scholar] [CrossRef]
  19. Demenko, A. Obwodowe Modele Układów z Polem Elektromagnetycznym; Wydawnictwo Politechniki Poznańskiej: Poznań, Poland, 2004. (In Polish) [Google Scholar]
  20. Demenko, A.; Sykulski, J.K. Network models of three-dimensional electromagnetic fields. ICS Newsl. 2006, 13, 3–13. [Google Scholar]
  21. Kladas, A.G.; Tegopoulos, J.A. A new scalar potential formulation for 3D magnetostatics necessitating no source field calculation. IEEE Trans. Magn. 1992, 28, 1103–1106. [Google Scholar] [CrossRef]
  22. Zeng, A.; Liu, X.; Deng, Y.; Udpa, L. Reduced magnetic vector potential and electric scalar potential formulation for eddy current modelling. Electr. Rev. 2007, 83, 35–37. [Google Scholar]
  23. Biro, O.; Richter, K. CAD in electromagnetism. Adv. Electron. Electron Phys. 1991, 82, 1–96. [Google Scholar]
  24. Demenko, A.; Sykulski, J.K.; Wojciechowski, R.M. Network representation of conducting regions in 3D finite element description of electrical machines. IEEE Trans. Magn. 2008, 43, 714–717. [Google Scholar] [CrossRef]
  25. Wojciechowski, R.M.; Jędryczka, C. A comparative analysis between classical and modified approach of description of the electrical machine windings by means of T0 method. Open Phys. 2017, 15, 918–923. [Google Scholar] [CrossRef][Green Version]
  26. Sato, Y.; Igarashi, H. Model reduction of three-dimensional eddy current problems based on the method of snapshots. IEEE Trans. Magn. 2013, 49, 1697–1700. [Google Scholar] [CrossRef]
  27. Kurzawa, M. Application of the Lanczos via Pade algorithm to determine the values of the parameters of the equivalent circuit of an inductor. Przegląd Elektrotech. 2022, 98, 243–247. (In Polish) [Google Scholar]
Figure 1. CAD model of the magnetically coupled air-core coil system.
Figure 1. CAD model of the magnetically coupled air-core coil system.
Energies 19 00188 g001
Figure 2. Equivalent circuit of magnetically coupled coils using Cauer circuits.
Figure 2. Equivalent circuit of magnetically coupled coils using Cauer circuits.
Energies 19 00188 g002
Figure 3. Flow diagram of the computational procedure for determining wideband equivalent circuit parameters from the FEM field model using the Padé via Lanczos (PvL) method.
Figure 3. Flow diagram of the computational procedure for determining wideband equivalent circuit parameters from the FEM field model using the Padé via Lanczos (PvL) method.
Energies 19 00188 g003
Figure 4. Comparison of the resistance versus frequency f obtained from the field model and the Pade via Lanczos method for the no-load operation of the coil system.
Figure 4. Comparison of the resistance versus frequency f obtained from the field model and the Pade via Lanczos method for the no-load operation of the coil system.
Energies 19 00188 g004
Figure 5. Comparison of the inductance versus frequency f obtained from the field model and the Pade via Lanczos method for the no-load operation of the coil system.
Figure 5. Comparison of the inductance versus frequency f obtained from the field model and the Pade via Lanczos method for the no-load operation of the coil system.
Energies 19 00188 g005
Figure 6. Comparison of the resistance versus frequency f obtained from the field model and the Pade via Lanczos method for the short-circuit operation of the coil system.
Figure 6. Comparison of the resistance versus frequency f obtained from the field model and the Pade via Lanczos method for the short-circuit operation of the coil system.
Energies 19 00188 g006
Figure 7. Comparison of the inductance versus frequency f obtained from the field model and the Pade via Lanczos method for the short-circuit operation of the coil system.
Figure 7. Comparison of the inductance versus frequency f obtained from the field model and the Pade via Lanczos method for the short-circuit operation of the coil system.
Energies 19 00188 g007
Figure 8. Frequency characteristics of resistance for the horizontal branches.
Figure 8. Frequency characteristics of resistance for the horizontal branches.
Energies 19 00188 g008
Figure 9. Frequency characteristics of inductance for the horizontal branches.
Figure 9. Frequency characteristics of inductance for the horizontal branches.
Energies 19 00188 g009
Figure 10. Frequency characteristics of resistance for the magnetizing branch.
Figure 10. Frequency characteristics of resistance for the magnetizing branch.
Energies 19 00188 g010
Figure 11. Frequency characteristics of inductance for the magnetizing branch.
Figure 11. Frequency characteristics of inductance for the magnetizing branch.
Energies 19 00188 g011
Figure 12. Modified equivalent circuit of the magnetically coupled coil system incorporating Cauer networks.
Figure 12. Modified equivalent circuit of the magnetically coupled coil system incorporating Cauer networks.
Energies 19 00188 g012
Table 1. Summary of the dimensions and parameters of the analyzed coils.
Table 1. Summary of the dimensions and parameters of the analyzed coils.
ParameterDimension
Outer diameter of the coil95 mm
Inner diameter of the coil50 mm
Number of turns10
Distance between turns4.5 mm
Diameter of winding wire1.5 mm
Table 2. Values of the relative difference ε z .
Table 2. Values of the relative difference ε z .
Conditionq = 2q = 3q = 4q = 5q = 6
ε z –no load5.8600%0.4800%0.0286%0.0019%0.0002%
ε z –short circuit0.3830%0.3610%0.3250%0.3030%0.0014%
Table 3. Values of resistances and inductances for the horizontal and magnetizing branches of the equivalent circuit.
Table 3. Values of resistances and inductances for the horizontal and magnetizing branches of the equivalent circuit.
nRH [Ω]LH [μH]RM [Ω]LM [μH]
10.0259.7110.03910.137
20.0364.93429.66626.243
34.65115.691197.649203.179
424.70734.415207.628580.461
5101.00669.194175.145938.043
6321.004171.00613.193116.625
0--0.025-
Disclaimer/Publisher’s Note: The statements, opinions and data contained in all publications are solely those of the individual author(s) and contributor(s) and not of MDPI and/or the editor(s). MDPI and/or the editor(s) disclaim responsibility for any injury to people or property resulting from any ideas, methods, instructions or products referred to in the content.

Share and Cite

MDPI and ACS Style

Kurzawa, M.; Wojciechowski, R.M. Application of the Padé via Lanczos Method for Efficient Modeling of Magnetically Coupled Coils in Wireless Power Transfer Systems. Energies 2026, 19, 188. https://doi.org/10.3390/en19010188

AMA Style

Kurzawa M, Wojciechowski RM. Application of the Padé via Lanczos Method for Efficient Modeling of Magnetically Coupled Coils in Wireless Power Transfer Systems. Energies. 2026; 19(1):188. https://doi.org/10.3390/en19010188

Chicago/Turabian Style

Kurzawa, Milena, and Rafał M. Wojciechowski. 2026. "Application of the Padé via Lanczos Method for Efficient Modeling of Magnetically Coupled Coils in Wireless Power Transfer Systems" Energies 19, no. 1: 188. https://doi.org/10.3390/en19010188

APA Style

Kurzawa, M., & Wojciechowski, R. M. (2026). Application of the Padé via Lanczos Method for Efficient Modeling of Magnetically Coupled Coils in Wireless Power Transfer Systems. Energies, 19(1), 188. https://doi.org/10.3390/en19010188

Note that from the first issue of 2016, this journal uses article numbers instead of page numbers. See further details here.

Article Metrics

Back to TopTop