Next Article in Journal
Application of the Padé via Lanczos Method for Efficient Modeling of Magnetically Coupled Coils in Wireless Power Transfer Systems
Next Article in Special Issue
Design and Experimental Evaluation of Polyimide Film Heater for Enhanced Output Characteristics Through Temperature Control in All-Solid-State Batteries
Previous Article in Journal
Wind Power Forecast Using Multilevel Adaptive Graph Convolution Neural Network
Previous Article in Special Issue
Thermodynamic Performance Optimization of Adiabatic Compressed Air Energy Storage Systems Through Multi-Parameter Coupling Analysis
 
 
Font Type:
Arial Georgia Verdana
Font Size:
Aa Aa Aa
Line Spacing:
Column Width:
Background:
Article

Electrochemical Tracking of Lithium Metal Anode Surface Evolution via Voltage Relaxation Analysis

School of Materials Science and Engineering, Pusan National University, Busandaehak-ro 63 beon-gil, Geumjeong-gu, Busan 46241, Republic of Korea
*
Author to whom correspondence should be addressed.
Energies 2026, 19(1), 187; https://doi.org/10.3390/en19010187
Submission received: 8 December 2025 / Revised: 26 December 2025 / Accepted: 29 December 2025 / Published: 29 December 2025

Abstract

The surface morphology of lithium metal electrodes evolves markedly during cycling, modulating interfacial kinetics and increasing the risk of dendrite-driven internal short circuits. Here, we infer this morphological evolution from direct-current (DC) signals by analyzing open-circuit voltage (OCV) transients after constant current interruptions. The OCV exhibits a rapid initial decay followed by a transition to a slower long-time decay. With repeated plating, this transition shifts to earlier times, thereby increasing the contribution of long-term relaxation. We quantitatively analyze this behavior using an equivalent circuit with a transmission-line model (TLM) representing the electrolyte-accessible interfacial region of the electrode, discretized into ten depth-direction segments. Tracking segment-wise changes in resistances and capacitances with cycling enables morphology estimation. Repeated plating strongly increases the double-layer area near the current collector, while the charge-transfer-active surface shifts toward the separator side, showing progressively smaller and eventually negative changes toward the current-collector side. Together with the segment-resolved time constants, these trends indicate that lithium deposition becomes increasingly localized near the separator-facing surface, while the interior becomes more tortuous, consistent with post-mortem observations. Overall, the results demonstrate that DC voltage-relaxation analysis combined with a TLM framework provides a practical route to track lithium metal electrode surface evolution in Li-metal-based cells.

1. Introduction

Meeting growing energy demands requires the urgent development and commercialization of high-energy-density rechargeable batteries. Lithium metal electrodes, characterized by their high theoretical capacity (3860 mAh g−1) and low redox potential (−3.04 V vs. SHE), are widely regarded as promising anode materials for these systems [1,2,3]. However, several obstacles hinder the practical use of lithium metal in rechargeable batteries. In particular, changes in surface morphology during electrochemical plating/stripping cause interfacial instability and accelerate electrolyte decomposition, potentially leading to internal short circuits due to dendrite growth [2,3,4,5,6,7,8,9].
To elucidate how such morphological changes evolve during cycling, direct observation of lithium morphology within the cell is often attempted using advanced imaging and spectroscopic techniques. Unfortunately, many of these approaches are not fully representative of practical batteries because they require specialized cell configurations that differ substantially from commercial cells. Furthermore, advanced equipment has limited accessibility and often involves complex measurement conditions and challenging data interpretation [10,11,12,13]. Post-mortem destructive analyses also struggle with surface preservation owing to the air sensitivity and ductility of lithium, as well as the need for specialized sampling, which limits reproducibility and reliability.
Complementary to such post-mortem or operando imaging approaches, electrochemical measurements offer a non-destructive way to probe lithium metal behavior under realistic operating conditions. Because surface morphology and the adjacent porous network directly govern Li+-transport pathways, these structural features are necessarily reflected in measurable electrochemical quantities such as interfacial impedance, overpotential, and voltage relaxation. A prominent example is electrochemical impedance spectroscopy (EIS), which has been widely used to quantify the interfacial impedance of lithium metal electrodes [4,5,6,7,8,9,14,15,16]. To describe the unconventional shapes of lithium metal impedance spectra, which complicate straightforward electrochemical characterization, researchers have often employed transmission line models (TLMs) originally developed for porous electrode analysis [4,5,8]. However, EIS is highly sensitive to the measurement environment (e.g., temperature, cell configuration) and, in practical systems, may not reflect operating conditions as directly as direct-current (DC) measurements.
In this context, DC-based analyses are attractive because they probe the electrode response under conditions closer to real operation. Yet the broader use of DC methods has been limited by the difficulty of deconvolving the individual electrode contributions from two-electrode cell data. Our previous study addressed this issue by demonstrating that the kinetic contributions of each electrode are embedded in the open-circuit voltage (OCV) relaxation following a galvanostatic pulse and can be quantitatively extracted using an equivalent-circuit modeling framework [17].
The surface evolution of lithium metal electrodes has primarily been studied with a focus on solid electrolyte interphase (SEI) formation and plating/stripping uniformity. Previous studies indicate that large overpotentials arise at the initial stage of cycling owing to the native oxide film and initial SEI formation; as cycling progresses, however, the effective surface area increases because of surface roughening and SEI cracking/reformation, which rapidly reduces interfacial resistance and the corresponding overpotential [4,5,6,7,8,9,14,15,16]. With further cycling, the accumulation of dead lithium and structural changes in the interface-adjacent porous layer (e.g., increased tortuosity) complicate Li+-transport pathways [14,15,18]. This substantially increases the concentration overpotential under current application and slows the OCV relaxation after current interruption, which is governed by Li+ redistribution within the electrolyte–porous layer region [15,19].
In combination with our earlier findings [17], these observations imply that changes in surface morphology and the adjacent porous network are consistently encoded in the overall voltage response, with OCV relaxation in particular expected to capture the depth-wise ion-transport characteristics of porous lithium metal electrodes. In principle, therefore, lithium surface morphology could be quantitatively inferred from a careful analysis of voltage transients. Nevertheless, while previous studies have successfully quantified electrode resistance or interfacial properties, the extraction of morphological information, which ultimately governs Li+-transport pathways, has largely remained qualitative, relying on indirect schematic interpretation rather than rigorously quantified metrics.
This study proposes a method for quantitatively estimating surface morphology changes of lithium metal electrodes using only OCV data derived from simple DC measurements. The key idea is that the OCV transients after galvanostatic phases sensitively reflect changes in Li+ transport paths within the electrolyte in the porous region of the lithium metal electrode surface [15,19]. We employ a simplified TLM that discretizes the electrode surface into ten segments in the depth direction, and use this TLM to estimate the resistance and capacitance of each segment from OCV traces. The segment-wise parameters are then converted into a relative area index and interpreted in conjunction with the associated time constants, thereby providing a depth-resolved area profile as a function of pulse number. The proposed approach offers a quantitative framework for tracking changes in Li+ pathways in the interface-adjacent porous layer via DC voltage signals to derive morphological indices, thereby diminishing reliance on complex operando apparatus. Consequently, it provides a methodological foundation for establishing systems that monitor and diagnose the degradation of lithium metal electrodes.

2. Methods

2.1. Experimental Procedures

2.1.1. Materials and Cell Preparation

Lithium symmetric cells (Li-SCs) using Li foil (99.9%, 0.1 mm thick, 16 mm diameter, MTI Korea, Seoul, Republic of Korea) as both electrodes were assembled in coin cell housings (CR2032, Hohsen Corp., Osaka, Japan), along with two separators (Celgard 2400, Celgard, Charlotte, NC, USA) and 1 M lithium hexafluorophosphate (LiPF6) in 3:7 v/v ethylene carbonate/ethyl methyl carbonate (EC/EMC) with 3 wt.% fluoroethylene carbonate (FEC) (Soulbrain Co., Ltd., Seongnam, Republic of Korea), in both two-electrode and three-electrode configurations. The reference electrode for the three-electrode configuration was fabricated by attaching Li metal to the exposed stainless-steel tip of a Teflon-coated stainless-steel wire (type 316, 0.076 mm diameter, Nilaco, Chuo City, Japan), positioned between two separators. The detailed fabrication process of the reference electrode is described in our prior work [17]. All electrode and electrolyte storage, preparation, and cell assembly were carried out in an Ar-filled glove box (MBraun, Garching, Germany).

2.1.2. Electrochemical Measurements

The fabricated cells were rested to ensure stabilization at the experimental temperature and sufficient electrolyte soaking of the cell components before the measurements. The experimental protocol consisted of applying a 1 mA pulse (current density of 0.5 mA cm−2) for 30 s, followed by an open-circuit relaxation for 30 s. The voltage responses were recorded during both the pulse and relaxation periods. EIS measurements were performed before the 1st pulse and after the relaxation periods following the 10th, 20th, 30th, 40th, and 50th pulses of the two-electrode Li-SC. In the three-electrode Li-SC, EIS was first measured before the 1st pulse, and then the same pulse-relaxation sequence was repeated 100 times, followed by EIS measurement. The EIS measurements used an AC amplitude of 10 mVrms in the frequency range of 5 × 105–10−1 Hz. A multichannel potentiostat with a frequency response analyzer (VSP-300, BioLogic, Seyssinet-Pariset, France) was employed for all electrochemical measurements.

2.2. Modeling and Parameter Estimation

Figure 1 shows a schematic illustration of the one-dimensional TLM used in this study. Region A represents the porous dendrite layer on the lithium surface (pore region), through which Li+ migrates from the separator toward the current collector. To reduce computational load, this pore region is discretized into ten segments along its depth. Each ith segment comprises an ion-migration resistance Rion,i, representing the electrolyte channel, and a parallel combination of a charge-transfer resistance Rct,i and a double-layer capacitance Cdl,i. The Rion,i elements are connected in series along the depth direction, with Rct,i//Cdl,i branches attached at each node. Region B denotes the boundary region at the base of the porous layer, where slow Li+ transport and interfacial heterogeneity give rise to dispersive capacitance. This boundary region is modeled by multiple Rb//Cb sub-elements connected in series to emulate slow diffusion behavior [20]. The combined response of A + B corresponds to the overall electrode response measured experimentally.
Numerical implementation was performed in MATLAB R2025a using the Simulink Design Optimization Toolbox together with the Parallel Computing Toolbox. The circuit in Figure 1 was built using components from the Simscape Electrical library and driven with the same current pulse as in the experiments (1 mA for 30 s, followed by 0 mA for 30 s), with the voltage response taken as the output. The circuit parameters were estimated by nonlinear least-squares fitting so that the simulated voltage trace of the entire circuit, starting at the moment of current interruption, reproduced the experimental voltage curve measured over the same interval. The goodness of fit was evaluated using the root-mean-square error (RMSE) between the simulated and experimental voltage traces over the fitted time window. Given the relatively large number of parameters, the extracted values should be interpreted as effective depth-resolved trends rather than unique microscopic parameters. Accordingly, we focus on relative changes and segment-wise contrasts, which were found to be robust against variations in the initial parameter values used for fitting.
To select the number of depth segments N, we considered the trade-off between depth resolution and fitting identifiability. As shown in the discretization-sensitivity test (Figure A1 in Appendix A), N = 5 yields appreciable deviations at short times, whereas N = 10 and 15 provide nearly indistinguishable fits with similarly small residuals. We therefore chose N = 10 as a practical compromise that captures the depth-wise trends without introducing unnecessary degrees of freedom. Because the absolute thickness of the evolving porous/deposit layer is not directly measured, the depth coordinate is treated in a normalized manner, and each segment represents a fraction (1/N) of the effective porous-layer depth rather than a fixed physical thickness.

3. Results

Figure 2 shows the response of the two-electrode Li-SC to repeated galvanostatic pulses at 1 mA followed by relaxation periods. The closed-circuit voltage (CCV) during the pulse and the OCV during the subsequent rest are plotted in Figure 2a and Figure 2b, respectively, on a linear time scale with the start of each phase set to zero. In the 1st and 2nd pulses, the CCV (Figure 2a) exhibits an initial sharp rise, followed by a peak (marked with ●) and then a gradual decrease. As the pulse sequence continues, the initial overpotential and peak are suppressed, and the CCV evolves into a monotonically increasing profile. In contrast, the OCV (Figure 2b) decays monotonically after every pulse, with a rapid initial drop followed by a slower tail. With increasing pulse number, the magnitude of the initial drop diminishes, whereas the long-time relaxation becomes slower.
To resolve the evolution of relaxation behavior more clearly, the OCV traces are replotted on a logarithmic time axis in Figure 2c. A transition time can be identified from the intersection of an early, fast-relaxation regime and a later, slow-relaxation regime (see the inset for the determination procedure and the resulting values). As the number of pulses increases, both the initial OCV level and the short-time decay (before the transition time) are reduced, whereas the voltage associated with the long-time relaxation (after the transition time) increases. The relative weight of the slow component thus grows at the expense of the fast component. At the same time, the transition time shifts to earlier times (see the inset), indicating a decrease in the characteristic time constant of the fast-relaxing contribution. The reduction in the initial CCV rise and OCV decay with repeated pulses indicates a decrease in the interfacial reaction overpotential, consistent with previous findings [4,5,6,7,8,9,14,15,16]. The mid-to-late stages of the CCV are difficult to interpret simply by analyzing the voltage curve because the ongoing interfacial reaction causes the surface morphology and effective area to change over time, and an electrolyte concentration gradient forms simultaneously. However, given that the shape changes during OCV are negligible, the entire relaxation curve following the initial rapid decrease (interfacial reaction overpotential relaxation) can be analyzed in terms of Li+ redistribution.
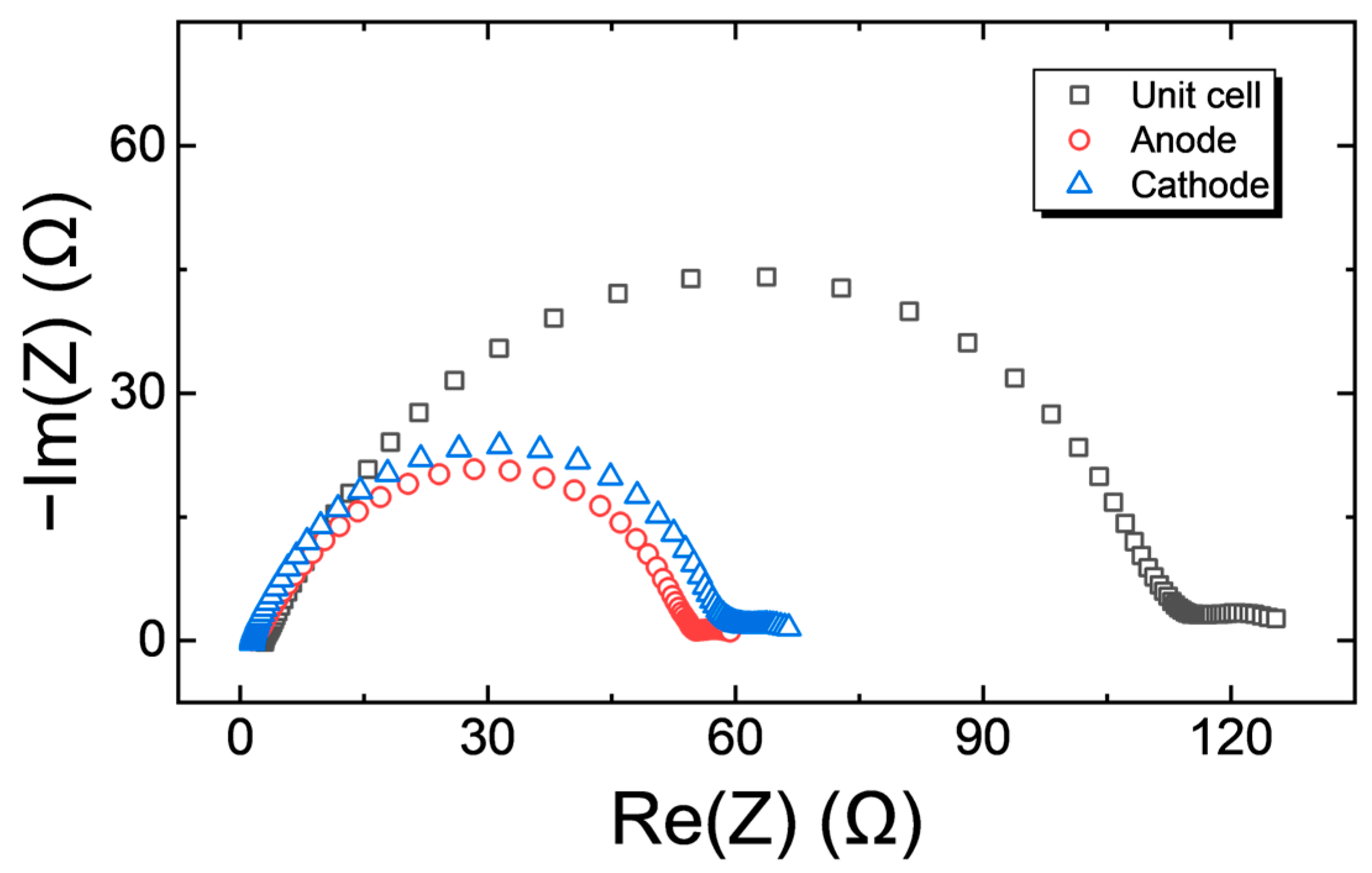
These trends are consistent with the evolution of interfacial resistance derived from EIS. As shown in Figure 2d, the semicircle diameter in the impedance spectra decreases with cycling, evidencing a reduction in interfacial resistance. This reduction coincides with the suppression of the initial CCV overshoot (Figure 2a) and the attenuation of the short-time OCV decay (Figure 2c), implying an increase in effective surface area with repeated plating/stripping, in agreement with previous reports on lithium metal electrodes [4,5,6,7,8,9,14,15,16].
To identify which electrode governs these changes, the pulse–relaxation experiment was repeated in three-electrode Li-SCs while recording the individual potentials of the stripping electrode (anode) and plating electrode (cathode). Both electrodes are made of identical lithium foil, as confirmed by the impedance spectra of the as-prepared cell before the 1st pulse (Figure A2 in Appendix A), which show no significant difference in interfacial impedance. Nevertheless, clear differences emerge between the anode and cathode responses during the pulse (Figure 3(a-1) and Figure 3(a-2), respectively) and during relaxation (Figure 3(b-1,b-2)), and these differences become increasingly pronounced with cycling. In Figure 3(a-1,a-2), the voltage overshoot, i.e., an initial sharp increase followed by a local maximum (marked with ●) and gradual decay, appears at both electrodes during the early pulses but remains clearly visible at the anode even after many cycles. Although not the main focus of this work, this behavior can be rationalized by differences in the spatial non-uniformity of the kinetics. At the cathode, continuous formation of fresh lithium deposits rapidly smooths out the initial heterogeneities, whereas at the anode, repeated stripping limits the growth of effective surface area and allows the original non-uniform reactivity of the Li foil to persist for a longer period. In the OCV traces (Figure 3(b-1,b-2)), the progressive slowing of voltage relaxation with pulse number is mainly observed at the cathode, while the anode continues to reach its equilibrium potential (0 V vs. Li+/Li) rapidly, even after later pulses.
The OCV traces for anode and cathode are also replotted on a logarithmic time axis in Figure 3(c-1) and Figure 3(c-2), respectively. Both electrodes demonstrate that the transition time between short-time decay and long-time relaxation shifts to earlier times with an increasing number of pulses. Notably, the cathode (Figure 3(c-2)) exhibits behavior similar to that observed in Figure 2c, while the anode (Figure 3(c-1)) lacks a distinct trend in the transition shift. Taken together, these observations indicate that the changes in the cell-level OCV behavior in the two-electrode configuration are predominantly governed by morphological evolution at the Li plating electrode, i.e., by the accumulation and restructuring of deposits.
Motivated by this result, the subsequent analysis focuses on the cathode OCV relaxation curves, which exhibit the most pronounced cycle dependence. These transients were decomposed and quantified using the TLM-based circuit in Figure 1. The circuit parameters were obtained by nonlinear least-squares fitting so that the simulated voltage trace reproduced the experimental OCV relaxation over the fitted time window (Table 1a–d). To assess the quality of the fits, we evaluated the RMSE between the simulated and experimental voltage traces (Table 1e). The resulting RMSE values were typically below 0.1 mV, corresponding to less than 1% of the total OCV change during the fitted interval, indicating excellent agreement between the model and the data. The fitted circuit parameters were used to simulate the voltage responses of the pore region (A; TLM ladder), the boundary region (B; dispersive capacitance), and the full circuit (A + B) under the same pulse–rest conditions. Figure 4a–c present representative relaxation curves following the 1st, 20th, and 100th pulses. In all cases, the response of region A dominates the early-time relaxation, whereas region B governs the long-time tail. As the pulse number increases, the contribution of region B to the overall voltage response becomes more pronounced, reflecting the expanding influence of the slowly responding boundary region. Consistent with Figure 2c, the crossover from A-dominated to B-dominated behavior shifts to earlier times as the pulse number increases: initially, the contribution of the boundary region is confined to long times, but with continued cycling it progressively extends toward shorter time scales.
The same procedure was applied to the anode OCV relaxation curves (Figure A3a–c in Appendix A). In contrast to the cathode, the contribution of region B to the anode voltage is small and does not show a systematic increase with pulse number; instead, it fluctuates without a clear trend. This lack of progressive depth-wise evolution is consistent with the absence of a growing dendritic domain at the anode, where repeated stripping does not create new Li deposits that would extend the active region deeper into the TLM domain. Overall, these findings support an interpretation in which the TLM ladder (region A) primarily represents the domain occupied by active Li dendrites, including Li+ transport in pores and charge transfer at pore walls, whereas region B predominantly reflects Li+ transport in regions filled with dead Li and other slowly responding components.
To examine the morphological evolution more closely, the fitted parameters of each segment constituting region A were analyzed. Using the segment-wise Cdl,i and Rct,i values obtained from fitting the cathode OCV relaxation curves (Table 1), the interfacial area in each segment was estimated under the assumption that it is proportional to Cdl,i and inversely proportional to Rct,i. In both metrics, the total interfacial area, taken to be proportional to the sum of all parallel Cdl,i values or, alternatively, to the inverse of the overall parallel Rct, increases with pulse number (last columns in Table 1b,c). However, the Cdl-based total area increases by nearly forty-fold after 100 pulses, whereas the Rct-based total area increases by only ~1.2-fold over the same range. If the Cdl-based area is interpreted as the entire surface accessible for double-layer formation, and the Rct-based area as the surface that is electrochemically active for charge-transfer reactions, these results suggest that the growth of charge-transfer-active area is modest compared with the expansion of electrochemically accessible surface. The fraction of truly active area within the total surface therefore decreases with cycling.
Figure 5 summarizes how this area is distributed over depth as a function of pulse number. Figure 5a and Figure 5b display heatmaps of the relative area fractions constructed from Cdl,i and Rct,i, respectively. For each pulse, the Cdl-based area fraction of segment i is defined as Cdl,i divided by the sum of Cdl over all segments in region A, whereas the Rct-based area fraction is given by (1/Rct,i) normalized by the sum of (1/Rct) over all segments. Here, Cdl- and Rct-based areas should be regarded as effective metrics, since both parameters can also be influenced by local SEI properties and non-ideal double-layer behavior. Accordingly, we focus on relative, depth-wise trends and the associated time constants, rather than attributing the absolute changes in Cdl or Rct to morphology or SEI evolution alone.
In the Cdl-based map (Figure 5a), segment 10 (i = 10) carries the largest area fraction (above ~60%) for all pulses. The fractions of segments i = 8–10 increase with cycling, while those of segments i = 1–3 decrease. Thus, the relative contribution of the inner, current-collector-side region increases at the expense of the separator-side region. This trend is consistent with dendrites that grow deeper into the electrode and progressively fill the inner pore volume, forming a dense dendritic domain. By contrast, the Rct-based map (Figure 5b) shows a different evolution. At low pulse numbers (up to ~10 pulses), segment 10 still has the highest area fraction (around 30%), but its dominance diminishes at later cycles. As the pulse count increases, the Rct-based fractions of the shallow segments (i = 1–5) increase markedly, whereas those of the deeper segments (i = 8–10) decrease. Beyond roughly the 50th pulse, the separator-side segments collectively account for the majority of the Rct-based area. In other words, the charge-transfer-active surface progressively shifts toward the electrode side facing the separator. For clarity, Figure 5b is annotated with an arrow to highlight this progressive shift in the charge-transfer-active surface toward the separator side with cycling.
This picture agrees qualitatively with operando depth-resolved measurements reported in the literature. Lv et al. used operando neutron depth profiling during galvanostatic Li plating to map Li density and plating activity across the electrode thickness, showing that Li density in the deeper region near the current collector grows more strongly with time, while the most active region shifts toward the electrolyte side [10]. In addition, the well-known observation that Li+ depletion in the electrolyte near the electrode surface promotes the growth of thin, needle-like deposits [14,21] supports our finding that the Cdl-based area fraction on the current-collector side increases as dendritic branches extend into and occupy inner pores.
In fact, to clarify the apparently opposing trends in the Cdl-based and Rct-based area fractions, it is important to distinguish between (i) the electrochemically accessible surface that contributes to double-layer charging and (ii) the charge-transfer-active surface that participates in Faradaic reactions. With repeated plating, dendritic growth and the formation of an increasingly tortuous porous/deposit network can markedly increase the electrolyte-accessible interfacial area, particularly in deeper regions where deposits progressively fill the pore space; this tendency is reflected in the Cdl-based area fraction. In contrast, a substantial portion of this newly created surface can be partially blocked or rendered less active for charge transfer due to dead-Li accumulation, electronically/ionically isolated domains, and local SEI thickening/inhomogeneity, so the Rct-based “active” fraction does not necessarily follow the same depth trend. Meanwhile, near the separator-facing side, freshly formed deposits and shorter ion-transport paths can sustain a relatively larger fraction of charge-transfer-active surface, leading to the observed progressive shift in the Rct-based area fraction toward shallow segments despite the continued growth of the Cdl-accessible area in deeper segments. Thus, the divergence between the two metrics is consistent with a morphology in which the interior becomes increasingly “accessible but less active,” whereas the separator-side region remains comparatively more active for charge transfer.
During the pulse, most of the applied current drives Li plating/stripping, whereas a smaller portion is associated with charging of the interfacial double layer and related capacitive processes. The charge accumulated in each segment during current application subsequently relaxes during the rest period; its evolution is shown in Figure 6. The charge over the relaxation time is calculated as C d l , i V i ( t ) , where Vi(t) is the local potential measured from the circuit simulation at each Cdl,i node. After the 1st pulse (Figure 6a), the total charge stored across all segments at the moment of current interruption is as small as 4.2 × 10−6 C and decays almost completely within several tens of milliseconds, with particularly rapid relaxation centered around segments i = 4–6. After the 20th pulse, the total stored charge increases to 4.2 × 10−5 C, about 10 times larger than after the 1st pulse, and the relaxation time extends to the order of seconds. After 100 pulses, the total charge reaches 1.9 × 10−4 C (a ~45-fold increase relative to the 1st pulse), and relaxation becomes even slower. Despite this marked increase in total charge, segments i = 4–6 consistently exhibit comparatively fast decay, suggesting that the ion-transport pathways in the mid-depth region remain relatively short or low-resistance even as the overall amount of deposited material grows.
Viewed as depth profiles at representative times, the mid-depth segments (i = 4−6) consistently exhibit faster charge decay than the deeper segments (i = 8−10), while the separator-side segments (i = 1−3) retain relatively short effective time constants even at later cycles. This qualitative ‘cross-sectional’ contrast supports the emergence of a sluggish interior domain that increasingly governs the long-time tail.
Figure 7 presents the evolution of the segment-wise time constants of the cathode as a function of pulse count. Whereas the changes in area (proportional to Cdl,i) show somewhat ambiguous dependencies across segments and cycles, the time constant τi, reflecting both Rion,i and Rct,i, exhibits much clearer segment-wise contrasts and cycling trends. By the physical definition of a time constant for first-order relaxation, τi is taken as the time at which the pulse-induced charge stored in each segment decays to 1/e ≈ 36.8% of its initial value. In practice, τi is obtained by interpolating the time when the segment-wise stored charge relaxes to 36.8%. Initially, all segments display τi values on the order of 10−3–10−2 s, indicating broadly similar relaxation behavior throughout the porous layer. As the pulses are repeated, the time constants of all segments generally increase, reflecting the combined effect of enlarged interfacial area (increased Cdl) and the accompanying changes in Rion,i and Rct,i. After 100 pulses, the time constants of the separator-side segments (i = 1–3) increased by a factor of approximately 1.4, those of the middle segments (i = 4–7) by roughly one order of magnitude, and those of the current-collector-side segments (i = 8–10) by as much as two orders of magnitude. This implies that the active lithium surface area grows preferentially in the separator-side region, simultaneously reducing the local transport and charge-transfer resistances and thus accelerating relaxation in those segments. In other words, a surface that initially exhibits comparable activity over most depths evolves, through morphological changes and porous-layer formation during repeated plating, into a state where the dominant active surface is shifted toward the outer region adjacent to the separator.
A closer look at the deeper segments (approximately i = 8–10) reveals that their time constants, which are initially comparable to those of the other segments (~10−3–10−2 s), increase by up to one–two orders of magnitude with cycling. In contrast, the separator-side segments (i ≈ 1–3) remain close to their initial values, and the mid-depth segments (i ≈ 4–7) take intermediate values. Together with the charge-relaxation behavior in Figure 6, where segments around i = 4–6 consistently exhibit the fastest decay, this trend suggests that the near-separator and mid-depth regions retain relatively low-resistance pathways, whereas the innermost region near the current collector becomes increasingly sluggish. The progressive increase of τi in the deeper segments can be attributed to the accumulation of dead Li and the growing complexity of the pore structure, which lengthen ion-transport pathways and increase tortuosity in those regions. Consequently, the distribution of time constants evolves from being relatively uniform at early cycles to a clear gradient in which τi is smallest near the separator and becomes progressively larger toward the current-collector side. This is consistent with the behavior observed in Figure 2 and Figure 4, where the transition in OCV relaxation shifts to earlier times while the slow relaxation component at longer times becomes more prominent.
In summary, the segment-wise analysis of time constants reveals that (i) as Li dendrites grow with repeated plating, the charge-transfer-active surface area in the separator-side segments increases, so that their local voltage relaxation remains comparatively fast, and (ii) the accumulation of largely inactive deposits in the interior segments complicates the Li+-transport pathways, leading to slower local voltage relaxation and an increasing contribution of these interior regions to the long-time OCV tail. As a result, the overall OCV relaxation evolves from being dominated by the surface-adjacent region in the early cycles to reflecting an increasing contribution from the interior region at later stages. This picture is qualitatively consistent with post-mortem observations reported in the literature [1,9,10,11,12,13,18,21]. Furthermore, these results demonstrate that simple DC voltage-relaxation signals, combined with TLM-based parameter analysis, can serve as an effective tool for tracking changes in the surface morphology of lithium metal electrodes associated with dendritic growth and dead-Li accumulation.
To provide a complementary perspective on resistance evolution, we include a distribution of relaxation times (DRT) analysis of the measured EIS data (Figure A4 in Appendix A). The prominent short-time feature observed in the pristine state is strongly suppressed after initial cycling, consistent with the overall reduction in interfacial impedance and the attenuation of the short-time voltage-relaxation component discussed above. Although a direct one-to-one mapping between DRT peaks and the depth-resolved time constants extracted from the DC transient fitting is limited, the overall evolution of the DRT features is qualitatively consistent with the interpretation developed here.
Finally, it should be noted that the present analysis intentionally adopts a simplified, depth-resolved TLM to enable quantitative interpretation of OCV relaxation using a minimal DC dataset. This simplification entails several limitations. First, the model assumes a one-dimensional depth discretization and assigns uniform effective properties (e.g., Rion,i, Rct,i, and Cdl,i) within each segment, whereas the actual lithium morphology and the SEI/porous network are heterogeneous and evolve in a spatially complex manner. Second, the choice of ten segments represents a practical compromise, as shown by the discretization-sensitivity analysis in Figure A1: fewer segments reduce depth resolution and can obscure systematic depth-wise trends, whereas increasing the number of segments substantially increases the number of fitted parameters and can aggravate parameter correlation and non-uniqueness without providing proportionate gains in interpretability. Third, as with many inverse problems, fitting voltage transients with a multi-parameter circuit model can admit correlated parameter sets (e.g., trade-offs among Rion, Rct, and Cdl) that yield similarly low fitting errors; therefore, the obtained parameters should be regarded as effective values constrained by the model structure and the fitted time window. Accordingly, in this work, we primarily interpret the relative, segment-wise evolution (e.g., depth-dependent trends in effective area indices and time constants) rather than claiming a unique microstructural reconstruction. More rigorous uniqueness/uncertainty quantification and stronger physical constraints, potentially supported by complementary operando and post-mortem characterization, remain important directions for future work.
In addition, while this study focuses on Li symmetric cells under moderate current pulses to establish a depth-resolved DC diagnostic, the proposed OCV-relaxation/TLM framework can be extended to more demanding operating conditions. At higher current densities and/or after longer cycling, larger concentration polarization and stronger spatial inhomogeneity are expected, which may increase nonlinearity and broaden the distribution of relaxation times. Accordingly, the pulse amplitude and rest duration should be selected such that the measured OCV relaxation is primarily governed by electrolyte/porous-layer redistribution rather than by ongoing far-from-equilibrium reactions. Nonetheless, the key observables used in this work, namely, changes in the relative weight of short- vs. long-time relaxation and the depth-dependent evolution of effective time constants, should remain informative as long as voltage transients can be captured reliably with sufficient time resolution and signal-to-noise ratio. Extension to lithium metal full cells is also feasible, provided that the dominant electrode governing the relaxation response can be identified or constrained (e.g., via three-electrode validation, reference-electrode calibration, or complementary half-cell/diagnostic measurements). These considerations suggest that the proposed method can serve as a practical DC-based diagnostic in realistic cells, although systematic validation across higher rates, extended cycling, and full-cell chemistries warrants further study. Additionally, several related studies have reported complementary perspectives on lithium metal interfacial and morphological evolution, including impedance/TLM-based interpretations and materials/electrolyte strategies to regulate plating/stripping and suppress dendrite growth [4,22,23]. Considering the insights from these works, the present DC OCV-relaxation/TLM framework may be further extended and validated under broader, more practical cell conditions.

4. Conclusions

By combining DC voltage-relaxation analysis with a depth-resolved transmission-line framework, this study establishes a quantitative link between the OCV response of lithium metal electrodes and the underlying morphology and transport pathways. The key implications can be summarized as follows:
(1)
In lithium symmetric cells, OCV relaxation following galvanostatic pulses evolves from a response dominated by a fast, early-time component to one in which the slow, long-time component gains weight as plating/stripping proceeds. The transition between these regimes shifts to earlier times with increasing pulse number, in line with the decrease in interfacial resistance observed by EIS and the concomitant increase in the effective reactive area of the lithium metal electrode.
(2)
Three-electrode measurements revealed that the progressive slowing of OCV relaxation and the growth of long-time components are primarily associated with the plating electrode, whereas the stripping electrode rapidly returns to its equilibrium potential even after extended cycling. By fitting the plating-electrode OCV transients with a 10-segment TLM, we obtained depth-resolved resistances, capacitances, stored charge, and time constants (τ). Analysis of Cdl- and Rct-based area fractions, charge relaxation, and τ-distributions shows that repeated plating promotes growth of reactive area and fast relaxation near the separator side, while in the interior region dead-Li accumulation and increased tortuosity slow relaxation and reduce the local electrochemical activity. As a result, the overall OCV relaxation evolves from being dominated by surface-adjacent regions to exhibiting a progressively larger contribution from the electrode interior at longer times.
(3)
The results and interpretations in this work are qualitatively consistent with previously reported mechanisms of dendritic growth and dead-Li accumulation from advanced operando and post-mortem studies. Accordingly, our findings demonstrate that combining simple DC OCV-relaxation measurements with TLM-based parameter analysis provides a practical, electrode- and depth-resolved diagnostic for tracking morphology evolution and Li+-transport pathways in lithium metal electrodes, and, in principle, is applicable in two-electrode configurations without reference electrodes once the dominant electrode has been identified.

Author Contributions

Conceptualization, Y.-J.M. and H.-C.S.; Methodology, Y.-J.M.; Validation, Y.-J.M. and H.-C.S.; Formal analysis, Y.-J.M.; Investigation, Y.-J.M.; Data curation, Y.-J.M.; Writing—original draft, Y.-J.M.; Writing—review & editing, H.-C.S.; Supervision, H.-C.S.; Project administration, H.-C.S.; Funding acquisition, H.-C.S. All authors have read and agreed to the published version of the manuscript.

Funding

This work was supported by the National Research Foundation of the Ministry of Science and ICT (RS-2025-00512708) and by the Ministry of Trade, Industry & Energy (MOTIE, Korea) (20007045, RS2023-00254457).

Data Availability Statement

The original contributions presented in this study are included in the article. Further inquiries can be directed to the corresponding author.

Conflicts of Interest

The authors declare no conflicts of interest.

Appendix A

Figure A1. Discretization-sensitivity test for the depth-resolved TLM fitting (N = 5, 10, 15 segments). Experimental OCV relaxation (“Exp.”) and simulated curves (top) and the corresponding residuals (bottom) on a logarithmic time axis.
Figure A1. Discretization-sensitivity test for the depth-resolved TLM fitting (N = 5, 10, 15 segments). Experimental OCV relaxation (“Exp.”) and simulated curves (top) and the corresponding residuals (bottom) on a logarithmic time axis.
Energies 19 00187 g0a1
Figure A2. Impedance spectra of the three-electrode Li-SC before the 1st pulse.
Figure A2. Impedance spectra of the three-electrode Li-SC before the 1st pulse.
Energies 19 00187 g0a2
Figure A3. The anode potential relaxation after (a) 1st, (b) 20th, and (c) 100th pulses. The simulated potential (solid lines) obtained through fitting the measured potential (dashed line) are plotted together, with the simulated potential presented separately for region A, B, and A + B. The cross symbol (×) marks the crossover time at which the contributions from regions A and B to the total relaxation become equal.
Figure A3. The anode potential relaxation after (a) 1st, (b) 20th, and (c) 100th pulses. The simulated potential (solid lines) obtained through fitting the measured potential (dashed line) are plotted together, with the simulated potential presented separately for region A, B, and A + B. The cross symbol (×) marks the crossover time at which the contributions from regions A and B to the total relaxation become equal.
Energies 19 00187 g0a3
Figure A4. Distribution of relaxation times (DRT) spectra calculated from the EIS data shown in Figure 2d at representative pulse numbers.
Figure A4. Distribution of relaxation times (DRT) spectra calculated from the EIS data shown in Figure 2d at representative pulse numbers.
Energies 19 00187 g0a4

References

  1. Jo, Y.; Jin, D.; Lim, M.; Lee, H.; An, H.; Seo, J.; Kim, G.; Ren, X.; Lee, Y.M.; Lee, H. Structural and Chemical Evolutions of Li/Electrolyte Interfaces in Li-Metal Batteries: Tracing Compositional Changes of Electrolytes under Practical Conditions. Adv. Sci. 2023, 10, 2204812. [Google Scholar] [CrossRef]
  2. Tarascon, J.-M.; Armand, M. Issues and challenges facing rechargeable lithium batteries. Nature 2001, 414, 359–367. [Google Scholar] [CrossRef] [PubMed]
  3. Winter, M. The solid electrolyte interphase–the most important and the least understood solid electrolyte in rechargeable Li batteries. Z. Phys. Chem. 2009, 223, 1395–1406. [Google Scholar] [CrossRef]
  4. Drvarič Talian, S.; Bobnar, J.; Sinigoj, A.R.; Humar, I.; Gaberšček, M. Transmission Line Model for Description of the Impedance Response of Li Electrodes with Dendritic Growth. J. Phys. Chem. C 2019, 123, 27997–28007. [Google Scholar] [CrossRef]
  5. Drvarič Talian, S.; Kapun, G.; Moškon, J.; Dominko, R.; Gaberšček, M. Operando impedance spectroscopy with combined dynamic measurements and overvoltage analysis in lithium metal batteries. Nat. Commun. 2025, 16, 2030. [Google Scholar] [CrossRef]
  6. Heubner, C.; Maletti, S.; Lohrberg, O.; Lein, T.; Liebmann, T.; Nickol, A.; Schneider, M.; Michaelis, A. Electrochemical Characterization of Battery Materials in 2-Electrode Half-Cell Configuration: A Balancing Act Between Simplicity and Pitfalls. Batter. Supercaps 2021, 4, 1310–1322. [Google Scholar] [CrossRef]
  7. Sabet, P.S.; Sauer, D.U. Separation of predominant processes in electrochemical impedance spectra of lithium-ion batteries with nickel-manganese-cobalt cathodes. J. Power Sources 2019, 425, 121–129. [Google Scholar] [CrossRef]
  8. Srout, M.; Carboni, M.; Gonzalez, J.-A.; Trabesinger, S. Insights into the Importance of Native Passivation Layer and Interface Reactivity of Metallic Lithium by Electrochemical Impedance Spectroscopy. Small 2023, 19, 2206252. [Google Scholar] [CrossRef] [PubMed]
  9. Liu, H.; Cheng, X.B.; Xu, R.; Zhang, X.Q.; Yan, C.; Huang, J.Q.; Zhang, Q. Plating/stripping behavior of actual lithium metal anode. Adv. Energy Mater. 2019, 9, 1902254. [Google Scholar] [CrossRef]
  10. Lv, S.; Verhallen, T.; Vasileiadis, A.; Ooms, F.; Xu, Y.; Li, Z.; Li, Z.; Wagemaker, M. Operando monitoring the lithium spatial distribution of lithium metal anodes. Nat. Commun. 2018, 9, 2152. [Google Scholar] [CrossRef]
  11. Park, H.; Tamwattana, O.; Kim, J.; Buakeaw, S.; Hongtong, R.; Kim, B.; Khomein, P.; Liu, G.; Meethong, N.; Kang, K. Probing lithium metals in batteries by advanced characterization and analysis tools. Adv. Energy Mater. 2021, 11, 2003039. [Google Scholar] [CrossRef]
  12. Sandoval, S.E.; Cortes, F.J.Q.; Klein, E.J.; Lewis, J.A.; Shetty, P.P.; Yeh, D.; McDowell, M.T. Understanding the Effects of Alloy Films on the Electrochemical Behavior of Lithium Metal Anodes with Operando Optical Microscopy. J. Electrochem. Soc. 2021, 168, 100517. [Google Scholar] [CrossRef]
  13. Wood, K.N.; Kazyak, E.; Chadwick, A.F.; Chen, K.-H.; Zhang, J.-G.; Thornton, K.; Dasgupta, N.P. Dendrites and Pits: Untangling the Complex Behavior of Lithium Metal Anodes through Operando Video Microscopy. ACS Cent. Sci. 2016, 2, 790–801. [Google Scholar] [CrossRef]
  14. Wood, K.N.; Noked, M.; Dasgupta, N.P. Lithium metal anodes: Toward an improved understanding of coupled morphological, electrochemical, and mechanical behavior. ACS Energy Lett. 2017, 2, 664–672. [Google Scholar] [CrossRef]
  15. Chen, K.-H.; Wood, K.N.; Kazyak, E.; LePage, W.S.; Davis, A.L.; Sanchez, A.J.; Dasgupta, N.P. Dead lithium: Mass transport effects on voltage, capacity, and failure of lithium metal anodes. J. Mater. Chem. A 2017, 5, 11671–11681. [Google Scholar] [CrossRef]
  16. Bieker, G.; Winter, M.; Bieker, P. Electrochemical in situ investigations of SEI and dendrite formation on the lithium metal anode. Phys. Chem. Chem. Phys. 2015, 17, 8670–8679. [Google Scholar] [CrossRef]
  17. Min, Y.-J.; Shin, H.-C. Electrode-Resolved Analysis of Lithium Full Cells via OCV-Relaxation Deconvolution. Batteries 2025, 11, 415. [Google Scholar] [CrossRef]
  18. Aleshin, A.; Bravo, S.; Redquest, K.; Wood, K.N. Rapid Oxidation and Reduction of Lithium for Improved Cycling Performance and Increased Homogeneity. ACS Appl. Mater. Interfaces 2021, 13, 2654–2661. [Google Scholar] [CrossRef]
  19. Lee, J.; Choi, S.H.; Qutaish, H.; Hyeon, Y.; Han, S.A.; Heo, Y.-U.; Whang, D.; Lee, J.-W.; Moon, J.; Park, M.-S.; et al. Structurally stabilized lithium-metal anode via surface chemistry engineering. Energy Storage Mater. 2021, 37, 315–324. [Google Scholar] [CrossRef]
  20. Lee, J.; Lee, J.; Nam, O.; Kim, J.; Cho, B.H.; Yun, H.-S.; Choi, S.-S.; Kim, K.; Kim, J.; Jun, S. Modeling and real time estimation of lumped equivalent circuit model of a lithium ion battery. In Proceedings of the 2006 12th International Power Electronics and Motion Control Conference, Portoroz, Slovenia, 30 August–1 September 2006; IEEE: Piscataway, NJ, USA, 2006; pp. 1536–1540. [Google Scholar]
  21. Xu, X.; Jiao, X.; Kapitanova, O.O.; Wang, J.; Volkov, V.S.; Liu, Y.; Xiong, S. Diffusion Limited Current Density: A Watershed in Electrodeposition of Lithium Metal Anode. Adv. Energy Mater. 2022, 12, 2200244. [Google Scholar] [CrossRef]
  22. Liu, H.; Ji, Y.; Li, Y.; Zheng, S.; Dong, Z.; Yang, K.; Cao, A.; Huang, Y.; Wang, Y.; Shen, H.; et al. Regulating Lithium Affinity of Hosts for Reversible Lithium Metal Batteries. Interdiscip. Mater. 2024, 3, 297–305. [Google Scholar] [CrossRef]
  23. Shen, M.; Wei, Y.; Ge, M.; Yu, S.; Dou, R.; Chen, L.; Wang, F.; Huang, Y.; Xu, H. Oxygenated Carbon Nitride-Based High-Energy-Density Lithium-Metal Batteries. Interdiscip. Mater. 2024, 3, 791–800. [Google Scholar] [CrossRef]
Figure 1. Schematic illustration of the equivalent circuit comprising (A) a one-dimensional TLM ladder that depicts the plated porous Li layer (pore region) and (B) a dispersive capacitance that represents the boundary region. In region A, each segment i consists of an ion-migration resistance Rion,i describing the pore-filled electrolyte channel, in parallel with a charge-transfer resistance Rct,i and a double-layer capacitance Cdl,i describing the dendrite (pore-wall)–electrolyte interface. Region B is modeled by multiple Rb//Cb elements connected in series to emulate slowly responding, dispersive behavior. The combined response of A + B corresponds to the overall electrode response measured experimentally.
Figure 1. Schematic illustration of the equivalent circuit comprising (A) a one-dimensional TLM ladder that depicts the plated porous Li layer (pore region) and (B) a dispersive capacitance that represents the boundary region. In region A, each segment i consists of an ion-migration resistance Rion,i describing the pore-filled electrolyte channel, in parallel with a charge-transfer resistance Rct,i and a double-layer capacitance Cdl,i describing the dendrite (pore-wall)–electrolyte interface. Region B is modeled by multiple Rb//Cb elements connected in series to emulate slowly responding, dispersive behavior. The combined response of A + B corresponds to the overall electrode response measured experimentally.
Energies 19 00187 g001
Figure 2. (a) Closed-circuit voltage (CCV) during 1 mA galvanostatic pulses in the two-electrode Li-SC, with the initial peak marked (●). (b) Corresponding open-circuit voltage (OCV) during the rest periods on a linear time axis. (c) OCV plotted versus logarithmic time. The inset shows the determination of the transition time. (d) Impedance spectra for selected pulse numbers.
Figure 2. (a) Closed-circuit voltage (CCV) during 1 mA galvanostatic pulses in the two-electrode Li-SC, with the initial peak marked (●). (b) Corresponding open-circuit voltage (OCV) during the rest periods on a linear time axis. (c) OCV plotted versus logarithmic time. The inset shows the determination of the transition time. (d) Impedance spectra for selected pulse numbers.
Energies 19 00187 g002
Figure 3. Electrode-resolved potentials of the three-electrode Li-SC under the same pulse–rest protocol as in Figure 2. (a-1,a-2) Anode and cathode CCVs during the current pulses, with the initial peak marked (●). (b-1,b-2) Anode and cathode OCV relaxations plotted versus time on a linear scale. (c-1,c-2) Same OCV relaxations plotted versus time on a logarithmic scale.
Figure 3. Electrode-resolved potentials of the three-electrode Li-SC under the same pulse–rest protocol as in Figure 2. (a-1,a-2) Anode and cathode CCVs during the current pulses, with the initial peak marked (●). (b-1,b-2) Anode and cathode OCV relaxations plotted versus time on a linear scale. (c-1,c-2) Same OCV relaxations plotted versus time on a logarithmic scale.
Energies 19 00187 g003
Figure 4. Cathode potential relaxation after the (a) 1st, (b) 20th, and (c) 100th pulses. The measured OCV relaxation (dashed black line) is fitted using the TLM-based circuit, and the simulated potentials are shown separately for the porous cathode region (region A, red), the boundary region (region B, blue), and their sum (A + B, solid black). The cross symbol (×) marks the crossover time at which the contributions from regions A and B to the total relaxation become equal.
Figure 4. Cathode potential relaxation after the (a) 1st, (b) 20th, and (c) 100th pulses. The measured OCV relaxation (dashed black line) is fitted using the TLM-based circuit, and the simulated potentials are shown separately for the porous cathode region (region A, red), the boundary region (region B, blue), and their sum (A + B, solid black). The cross symbol (×) marks the crossover time at which the contributions from regions A and B to the total relaxation become equal.
Energies 19 00187 g004
Figure 5. Segment-wise area fractions constructed from (a) Cdl and (b) Rct for the cathode, represented as heatmaps with the pulse count on the vertical axis and segment index i on the horizontal axis. i ascends from the separator side toward the current collector side. An arrow in panel (b) is added to emphasize the inferred shift in the charge-transfer-active surface toward the separator side with increasing pulse number.
Figure 5. Segment-wise area fractions constructed from (a) Cdl and (b) Rct for the cathode, represented as heatmaps with the pulse count on the vertical axis and segment index i on the horizontal axis. i ascends from the separator side toward the current collector side. An arrow in panel (b) is added to emphasize the inferred shift in the charge-transfer-active surface toward the separator side with increasing pulse number.
Energies 19 00187 g005
Figure 6. Segment-wise stored charge (Cdl,iVi(t)) within the cathode over the relaxation time after (a) the 1st, (b) the 20th, and (c) the 100th pulse, represented as heatmaps with logarithmic time on the vertical axis and segment index i on the horizontal axis. i ascends from the separator side toward the current collector side. The charge at the end of pulse period is shown in the bottom (relaxation time = 0) of each heatmap. The color scale represents the absolute stored charge in each segment. The total stored charge at the current interruption increases from 4.2 × 10−6 (1st pulse) to 4.2 × 10−5 C (20th pulse) and 1.9 × 10−4 C (100th pulse), providing the magnitude scale for the maps.
Figure 6. Segment-wise stored charge (Cdl,iVi(t)) within the cathode over the relaxation time after (a) the 1st, (b) the 20th, and (c) the 100th pulse, represented as heatmaps with logarithmic time on the vertical axis and segment index i on the horizontal axis. i ascends from the separator side toward the current collector side. The charge at the end of pulse period is shown in the bottom (relaxation time = 0) of each heatmap. The color scale represents the absolute stored charge in each segment. The total stored charge at the current interruption increases from 4.2 × 10−6 (1st pulse) to 4.2 × 10−5 C (20th pulse) and 1.9 × 10−4 C (100th pulse), providing the magnitude scale for the maps.
Energies 19 00187 g006
Figure 7. Segment-wise time constants evolution over the pulse count for the cathode. The heatmap plots τi, the time at which the pulse-induced charge stored in each segment decays to 1/e, versus pulse count on the vertical axis and segment index i on the horizontal axis. i ascends from the separator side toward the current collector side.
Figure 7. Segment-wise time constants evolution over the pulse count for the cathode. The heatmap plots τi, the time at which the pulse-induced charge stored in each segment decays to 1/e, versus pulse count on the vertical axis and segment index i on the horizontal axis. i ascends from the separator side toward the current collector side.
Energies 19 00187 g007
Table 1. Fitted electrical parameters of the TLM-based circuit for the cathode OCV relaxation. (a) Segment-wise ionic resistances Rion,i in region A; (b) segment-wise charge-transfer resistances Rct,i in region A; (c) segment-wise double-layer capacitances Cdl,i in region A; (d) boundary parameters in region B; (e) root-mean-square error (RMSE) between the simulated and experimental OCV-relaxation traces, evaluated over the fitted time window for the full ladder (regions A + B).
Table 1. Fitted electrical parameters of the TLM-based circuit for the cathode OCV relaxation. (a) Segment-wise ionic resistances Rion,i in region A; (b) segment-wise charge-transfer resistances Rct,i in region A; (c) segment-wise double-layer capacitances Cdl,i in region A; (d) boundary parameters in region B; (e) root-mean-square error (RMSE) between the simulated and experimental OCV-relaxation traces, evaluated over the fitted time window for the full ladder (regions A + B).
(a) Segment-Wise Ionic Resistances Rion,i in Region A
Pulse numberRion,i (Ω)Rion,tot (Ω)
i = 12345678910
11.1 × 10−41.2 × 10−32.8 × 10−18.617.217.021.325.634.836.1160.9
33.7 × 10−51.8 × 10−31.7 × 10−28.717.317.220.821.437.436.9159.8
53.3 × 10−53.6 × 10−31.3 × 10−27.815.616.920.419.848.032.5161.1
103.4 × 10−59.8 × 10−31.5 × 10−28.116.916.522.317.655.434.2171.0
203.7 × 10−64.7 × 10−31.3 × 10−26.016.419.318.424.839.459.9184.3
405.9 × 10−83.5 × 10−33.1 × 10−25.415.817.019.820.638.459.5176.5
501.4 × 10−72.7 × 10−34.0 × 10−24.915.216.719.825.034.047.0162.7
801.3 × 10−83.9 × 10−33.4 × 10−24.612.613.618.222.728.641.1141.5
1002.8 × 10−95.7 × 10−31.1 × 10−23.511.013.417.124.224.339.8133.2
(b) Segment-wise charge-transfer resistances Rct,i in region A
Pulse numberRct,i (Ω)Rct,tot (Ω)
i = 12345678910
1738.2641.2587.9500.6392.7307.5246.5216.2106.780.623.3
3710.5640.0583.8445.7385.6294.6227.2190.6104.070.121.5
5698.8614.8552.5445.6371.3285.4221.5179.695.870.620.8
10638.4592.9478.9433.5351.2242.9255.1206.594.771.020.8
20471.6433.2351.8332.2299.3170.2217.2188.3106.0112.921.0
40298.0249.0246.7256.8248.1176.3202.9213.0141.5164.320.9
50265.0221.0220.9180.1246.9201.8253.2265.8206.5216.422.4
80155.3125.7125.0180.1242.0288.0352.7394.6263.1299.120.8
100130.2104.7108.9137.7219.1277.6410.1486.9381.0368.419.4
(c) Segment-wise double-layer capacitances Cdl,i in region A
Pulse numberCdl,i (F)Cdl,tot (F)
i = 12345678910
11.0 × 10−64.8 × 10−66.1 × 10−67.2 × 10−87.6 × 10−81.6 × 10−71.3 × 10−63.3 × 10−51.8 × 10−53.8 × 10−44.5 × 10−4
31.1 × 10−64.8 × 10−65.7 × 10−66.6 × 10−83.9 × 10−78.5 × 10−81.1 × 10−63.5 × 10−51.4 × 10−53.9 × 10−44.5 × 10−4
51.5 × 10−64.3 × 10−65.8 × 10−69.1 × 10−83.5 × 10−78.1 × 10−76.8 × 10−73.2 × 10−51.6 × 10−47.2 × 10−49.3 × 10−4
101.7 × 10−64.4 × 10−65.8 × 10−69.4 × 10−83.4 × 10−83.4 × 10−74.5 × 10−62.9 × 10−52.4 × 10−47.0 × 10−49.9 × 10−4
202.3 × 10−65.2 × 10−65.7 × 10−68.2 × 10−82.0 × 10−75.2 × 10−72.1 × 10−56.1 × 10−51.2 × 10−35.3 × 10−36.6 × 10−3
402.7 × 10−66.8 × 10−65.4 × 10−61.2 × 10−72.1 × 10−73.6 × 10−62.2 × 10−57.8 × 10−51.9 × 10−39.6 × 10−31.2 × 10−2
503.1 × 10−65.5 × 10−65.3 × 10−62.5 × 10−71.4 × 10−74.2 × 10−62.6 × 10−59.1 × 10−52.0 × 10−31.2 × 10−21.4 × 10−2
803.4 × 10−65.4 × 10−65.4 × 10−61.3 × 10−73.0 × 10−88.3 × 10−61.5 × 10−51.1 × 10−42.0 × 10−31.4 × 10−21.6 × 10−2
1003.5 × 10−65.6 × 10−65.4 × 10−61.9 × 10−74.9 × 10−87.6 × 10−62.4 × 10−51.8 × 10−41.9 × 10−31.7 × 10−21.9 × 10−2
(d) Boundary parameters in region B
Pulse numberRb,k (Ω)Cb,k (F)
k = 123k = 123
11.41.92.11.1 × 10−16.3 × 10−16.3
31.41.82.21.0 × 10−16.8 × 10−17.4
51.22.12.21.6 × 10−17.5 × 10−18.8
101.22.02.21.6 × 10−17.4 × 10−18.2
201.22.63.01.6 × 10−19.7 × 10−16.8
401.23.54.32.8 × 10−19.6 × 10−16.4
501.33.54.42.0 × 10−11.26.6
801.23.55.12.4 × 10−11.66.8
1001.13.25.52.8 × 10−11.97.2
(e) Root-mean-square error (RMSE)
Pulse number1351020405080100
RMSE (mV)5.0 × 10−24.6 × 10−24.8 × 10−24.3 × 10−11.9 × 10−17.0 × 10−29.7 × 10−23.7 × 10−22.3 × 10−2
Disclaimer/Publisher’s Note: The statements, opinions and data contained in all publications are solely those of the individual author(s) and contributor(s) and not of MDPI and/or the editor(s). MDPI and/or the editor(s) disclaim responsibility for any injury to people or property resulting from any ideas, methods, instructions or products referred to in the content.

Share and Cite

MDPI and ACS Style

Min, Y.-J.; Shin, H.-C. Electrochemical Tracking of Lithium Metal Anode Surface Evolution via Voltage Relaxation Analysis. Energies 2026, 19, 187. https://doi.org/10.3390/en19010187

AMA Style

Min Y-J, Shin H-C. Electrochemical Tracking of Lithium Metal Anode Surface Evolution via Voltage Relaxation Analysis. Energies. 2026; 19(1):187. https://doi.org/10.3390/en19010187

Chicago/Turabian Style

Min, Yu-Jeong, and Heon-Cheol Shin. 2026. "Electrochemical Tracking of Lithium Metal Anode Surface Evolution via Voltage Relaxation Analysis" Energies 19, no. 1: 187. https://doi.org/10.3390/en19010187

APA Style

Min, Y.-J., & Shin, H.-C. (2026). Electrochemical Tracking of Lithium Metal Anode Surface Evolution via Voltage Relaxation Analysis. Energies, 19(1), 187. https://doi.org/10.3390/en19010187

Note that from the first issue of 2016, this journal uses article numbers instead of page numbers. See further details here.

Article Metrics

Back to TopTop