Abstract
Promoting a sustainable and low-carbon energy future through the integration of renewable energy is essential, yet it presents significant challenges due to the intermittent nature of resources such as solar and wind. This paper examines the technological and economic dimensions of AC, DC, and smart grids, concentrating on the optimization of costs, efficiency, stability, and scalability. Smart grids, enhanced by AI, IoT, and blockchain technologies, play a vital role in energy management optimization, predictive maintenance, and secure energy transactions. Furthermore, the incorporation of renewable energy sources, especially photovoltaics, presents challenges including intermittency, voltage fluctuations, and grid congestion. This paper emphasizes the necessity for updated grid codes and policies that guarantee system stability and the effective functioning of renewable energy systems. The implementation of these regulatory frameworks is crucial for facilitating the efficient integration of renewable energy into the grid, ensuring a reliable and secure power supply while advancing sustainability efforts.
1. Introduction
Global energy demand continues to rise steadily each year, driven largely by the world’s growing population—a trend that is expected to persist well into the foreseeable future. The World Energy Outlook by the International Energy Agency (IEA) [1] highlights that approximately 80% of global energy generation still relies on fossil fuels, despite substantial investments and efforts directed toward renewable energy research. The unsustainable nature of fossil-fuel-based energy systems is widely recognized, with emissions from these sources posing significant risks to human health and environmental integrity, impacts that are increasingly evident today. Additionally, fossil fuel reserves are finite and will eventually be exhausted as they are continuously extracted without any natural replenishment. Consequently, the pursuit of alternative, clean energy sources remains a critical research priority, as emphasized in Goal 7 of the United Nations’ Sustainable Development Goals (SDGs) for 2030 [1]. The amount of fossil fuels in the world’s energy mix has been gradually decreasing over the past ten years, from 82% in 2013 to 80% in 2023. The demand for energy has grown by 15% during this time, while clean energy—that is, nuclear, low-emissions fuels like carbon capture, utilization, and storage (CCUS), and renewables in the power and end-use sectors—has supplied 40% of this expansion. According to the Net Zero Emissions by 2050 Scenario (NZE Scenario), the most significant factor in reducing emissions until 2030 is a threefold increase in renewables capacity. With existing policies, advanced economies and China are expected to attain around 85% of the necessary renewables capacity by 2030; other developing nations require stronger policies and international assistance. Emerging technologies such as hydrogen and carbon capture, utilization, and storage (CCUS) will reduce emissions mostly after 2030. Hydrogen electrolysis capacity projects are projected to meet approximately 70% of the NZE Scenario’s requirements by 2030. Similarly, announced CCUS projects, primarily concentrated in affluent economies, are expected to account for around 40% of global demand. To accelerate the transition to a low-carbon energy system, stronger governmental policies and strategic initiatives are essential to enhance the adoption of low-emission technologies and fuels [1]. The involvement of various power generation sectors in supplying electricity to consumers over the next 25 years is illustrated in Figure 1. It shows that 65% of renewable energy production, primarily from solar and wind energy systems, will play a significant role in reducing CO2 emissions by 2050.
Figure 1.
Different power generation sectors are projected to play a key role in reducing CO2.
Furthermore, historically, power systems have been designed for unidirectional power flows, originating from a central source and transmitted downstream at reduced voltage levels. However, the growing interest among consumers in adopting distributed generation (DG) to meet part of their energy needs signals a shift in the energy market. In light of the environmental challenges posed by traditional power plants, particularly concerning CO2 emissions, there has been a broad acceptance among utilities and consumers of renewable energy-based generators (REGs). This includes technologies such as photovoltaic (PV) systems, wind turbines (WT), and fuel cells (FC), which serve as viable alternative sources of electricity [2,3]. Renewable energy generation systems (REGS) have been increasingly deployed in distribution networks to reduce fossil fuel consumption and enhance the integration of distributed generation units into the power grid [4,5,6].
Photovoltaic (PV) energy is recognized as one of the most sustainable, easily accessible, and abundant renewable energy sources. Ongoing advancements in materials and manufacturing techniques are driving down PV system costs, positioning it as one of the most affordable and scalable energy solutions for the future [7]. Furthermore, numerous governments are providing subsidies and incentives, making photovoltaic (PV) systems an appealing and flexible option for distributed power generation. By generating electricity directly from solar panels located near the load, transmission losses are significantly reduced, thereby enhancing overall energy efficiency [8,9]. Globally, 580 GW of solar photovoltaic (PV) capacity was installed in 2019, with distributed PV generation (DPVG) systems playing a significant role in the PV market. Since 2015, China has led in cumulative installation capacity, driven by governmental subsidy schemes and rapid cost reductions resulting from technological advancements. The proportion of DPVG systems relative to centralized PV farms (CPVF) has been steadily increasing, now accounting for approximately 50% of annual installation capacity [10,11]. Figure 2 illustrates the various renewable energy systems installed between 2022 and 2030.
Figure 2.
Installed renewable capacity by technology in emerging technology, 2022–2030.
The existing photovoltaic technologies have conversion efficiency below 23%, highlighting the need for enhancements to boost competitiveness [12]. Numerous aspects affect the efficiency of photovoltaic systems, and certain conditions are necessary to achieve optimal performance. Meteorological characteristics such as solar radiation, ambient temperature, dust storms, and wind velocity are the primary determinants. It is expected that solar PV facilities situated in arid locations with abundant sunlight may achieve substantial PV energy production. However, the accumulation of dust in these regions is substantial, which negatively impacts the performance of PV systems [13,14,15]. The cell temperature is a critical factor that significantly influences the performance of solar PV systems. Elevated cell temperatures often reduce the power production of photovoltaic panels. An increase in temperature directly affects the open-circuit voltage, resulting in reduced efficiency at higher temperatures. Therefore, effective heat management strategies and cooling techniques are essential for enhancing the performance of photovoltaic systems [16,17].
The world is increasingly electrified, driven largely by the growth of renewable energy sources and the expanding adoption of electric vehicles [18,19,20]. The impact of EVs and emerging EV infrastructure on grid performance is significantly shaped by the specific charging strategies employed and the capacity of utilities to meet power demands under varying load conditions [21,22,23]. These emerging EV technologies can draw energy solely from the grid or be integrated with renewable energy sources, fostering a more sustainable charging infrastructure [24,25,26]. The Integration of renewable energy sources into electric vehicle charging stations (EVCS) presents a promising strategy for reducing greenhouse gas emissions, lowering energy costs, and fostering a more sustainable future for EV charging infrastructure. In addition, renewable energy sources enable a decentralized approach to EV charging, unlike centralized traditional power plants, thereby reducing the risks associated with energy security and enhancing grid resilience. Battery electric vehicles (BEVs) are among the key contributors to CO2 emission reduction, steadily gaining traction worldwide as a cleaner transportation alternative. BEVs can be charged through several technologies at external EV charging stations, including AC, DC, and wireless charging.
Figure 3 illustrates the distribution of avoided CO2 emissions among the top 30 countries, collectively accounting for approximately 98% of global emissions avoided. It also illustrates countries based on their installed photovoltaic capacities and the carbon composition of their grid mix.
Figure 3.
CO2 emissions avoided by PV systems in different regions by 2022.
Grid-tied Renewable Energy Generation Systems (REGS) offer pollution-free operation, cost-effectiveness, and lower maintenance requirements. Consequently, their adoption is steadily increasing. However, several challenges arise in the grid integration of renewable energy generation systems (REGS), including high-impedance faults, grid synchronization issues, and power quality improvement [27]. In particular, more solar PV integration into the utility grid may result in issues with power quality and, particularly, degrading distribution power quality. The power quality difficulties related to solar PV integration include voltage sag, voltage swell, transients, flickers, harmonics, power factor variations, reactive power compensation, electrical line noise, frequency variations, blackouts, and frequency variations [3,28,29,30,31]. In recent years, the extensive use of power electronic converters for integrating distributed generation (DG) units with the grid has posed significant challenges for distribution networks, notably in terms of harmonic distortion and difficulties in maintaining frequency stability due to reduced system inertia [32,33].
According to grid operators worldwide, cascading disconnections in renewable energy distributed systems (REDs) have become increasingly common from 2021 to 2024, with one key issue being inadequacies in system models that fail to respond effectively under dynamic grid conditions. This underscores a critical global challenge: developing robust and precise control mechanisms to manage the inherent intermittency and fluctuations of renewable energy sources such as photovoltaic (PV) systems. The high penetration of photovoltaic (PV) power plants presents new challenges for their operation and integration into the power system. A key challenge stems from the intermittent nature of solar irradiation, causing fluctuations in energy output. This variability complicates grid management, requiring advanced forecasting methods, flexible energy storage solutions, and robust grid infrastructure to ensure a reliable and stable energy supply while accommodating the growing share of solar energy in the overall energy infrastructure [34].
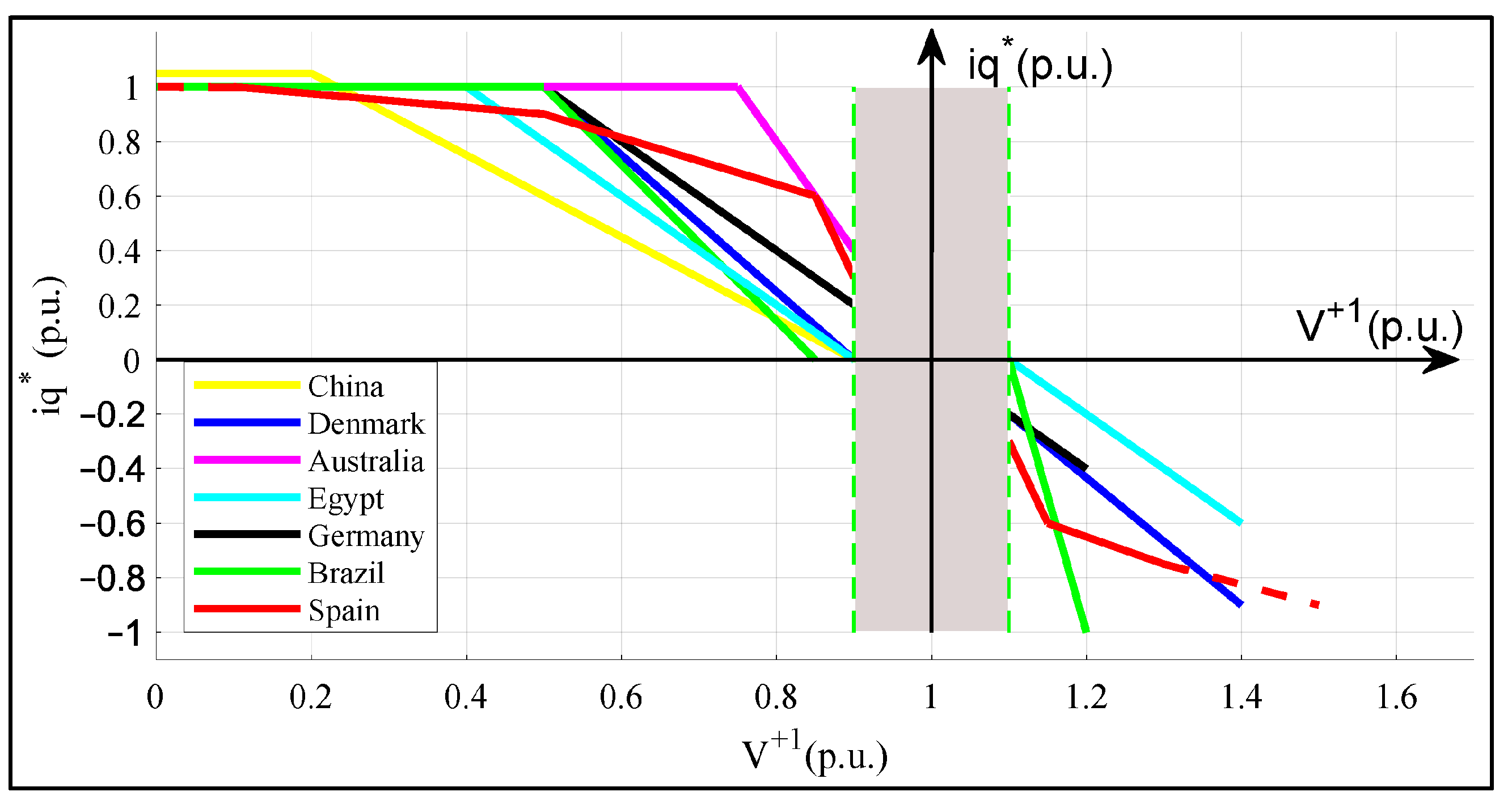
The grid codes imposed by various regulatory bodies limit the maximum fluctuations of photovoltaic (PV) power injected into the grid, establishing thresholds for allowable power injection per unit of time. These regulations are crucial for maintaining grid stability and reliability, as they help to mitigate the potential adverse effects of rapid changes in solar power generation. When PV systems experience sudden fluctuations due to variations in sunlight—caused by factors like cloud cover or shading—these limitations ensure that the electrical grid can absorb and manage these changes without risking overloading or destabilizing the system. Different grid code imposers, such as the North American Electric Reliability Corporation (NERC) in the United States, the European Network of Transmission System Operators for Electricity (ENTSO-E) in Europe, and the Australian Energy Market Operator (AEMO) in Australia, have established specific requirements tailored to their unique grid conditions and energy policies. These varying standards reflect regional approaches to integrating renewable energy sources while ensuring reliability. By setting these power injection limits, grid operators can effectively coordinate the operation of PV systems with other energy sources, fostering a balanced and stable power supply. Furthermore, these regulations encourage the development of advanced inverter technologies and smart grid solutions that can dynamically respond to grid conditions. With the increasing share of renewable energy sources such as solar power, adherence to grid codes is essential for maintaining a reliable and resilient energy infrastructure [35,36]. Figure 4 illustrates load misalignment with solar availability in Wilmington, where the lines represent annual average data for both solar energy generation and electricity demand. The colored regions depict the annual variation in solar generation and load patterns, highlighting the discrepancies between peak solar availability and periods of high electricity demand. This misalignment underscores the challenges in integrating solar energy into the grid, emphasizing the need for energy storage or alternative power sources to ensure a reliable and balanced energy supply throughout the day.
Figure 4.
Load misalignment with the sun availability in Wilmington. The lines represent annual average data, while the color regions show annual variation [37].
Multiple energy storage technologies support grid stability and energy management, each suited to different needs: Pumped Hydroelectric Storage Systems (PHESS) offer high-capacity, long-duration storage by moving water between reservoirs, while compressed air energy storage systems (CAESS) compress air for release during peak demand. Flywheels store energy systems (FESS) in a rotating mass for rapid discharge, ideal for high-power, short-duration applications, and supercapacitor energy storage systems (SCESS) provide fast charging cycles to balance momentary grid fluctuations. In addition, superconducting magnetic energy storage systems (SMESS) utilize a magnetic field generated by a superconducting coil to store energy, providing rapid energy discharge with excellent efficiency, which makes them ideal for maintaining grid stability and regulating frequency.
Batteries—such as lithium-ion, lead-acid, and solid-state types—are highly versatile, scaling from residential to utility applications with varying durations and capacities. These technologies collectively enhance flexibility, support renewable integration, and strengthen the reliability of modern power systems [38,39,40,41]. A hydrogen fuel cell energy storage system (FCESS) represents a promising approach for emission-free power generation. Using hydrogen as a clean energy carrier, an FCESS can efficiently enhance the electric power system. The applications encompass a wide array, including the provision of backup power and grid stabilization, as well as facilitating the integration of renewable energy sources by addressing intermittency challenges. The increasing emphasis on decarbonization highlights the importance of hydrogen fuel cell technology as a key element in developing sustainable and resilient energy systems [42]. Several studies have conducted comparative analyses of various energy storage system (ESS) technologies, focusing on their unique characteristics, limitations, and applications. Battery energy storage systems (BESS) have gained significant popularity in countries with high renewable energy adoption. BESS offer high energy storage capacity, rapid response times, and scalability, making them ideal for both residential and grid-scale applications. They play a crucial role in reducing power intermittency while adding flexibility and enabling new services within the electrical grid. However, the effective implementation of BESS requires advanced communication systems to ensure seamless integration, coordination, and real-time response within the grid infrastructure [43]. Despite these drawbacks, BESS remains one of the most flexible and widely adopted ESS technologies today, playing a crucial role in modern energy systems [44]. The integration of BESS significantly improves the reliability and self-sufficiency of net zero energy buildings (NZEBs). By storing excess energy generated on-site, BS systems allow NZEBs to better manage periods of high demand or low generation, reducing the frequency and volume of energy imported from or exported to the utility grid. This integration not only enhances energy stability within NZEBs but also alleviates stress on the utility grid by smoothing demand peaks and reducing dependency on external energy supplies. As a result, the overall resilience of the grid improves, as the reliance on centralized power sources is minimized. Additionally, battery storage empowers NZEBs to function autonomously during grid outages, providing a crucial layer of energy security. This capability aligns with the broader objectives of creating sustainable, grid-interactive buildings that can dynamically manage energy resources and support a more flexible, robust energy infrastructure [45,46,47]. The comparison of different energy storage systems with technical specifications is presented in Table 1. This presents a comparative analysis of various energy storage technologies based on key technical and operational parameters. The comparison includes attributes such as power and energy capacity, energy and power density, efficiency, response time (pickup time), discharge duration, storage period, lifespan, and environmental impact. Additionally, it outlines the advantages and disadvantages of each storage technology, highlighting their suitability for different applications. This analysis is particularly relevant for evaluating storage solutions in renewable energy integration, grid stabilization, electric mobility, and backup power systems. By providing a structured assessment of these parameters, Table 1 serves as a valuable reference for selecting optimal energy storage technologies based on performance, scalability, and sustainability considerations. However, the integration of second-life batteries, repurposed from electric vehicles (EVs), presents a significant opportunity for stationary energy storage. These batteries contribute to sustainability by extending their operational lifespan and reducing environmental impacts associated with disposal. The utilization of second-life batteries can serve as a complementary solution to conventional storage technologies, offering a cost-effective and environmentally sustainable approach for grid applications, thereby aligning with circular economy principles and enhancing energy system resilience.
Table 1.
Comparison of energy storage systems.
Figure 5 illustrates the block diagram of a Battery Energy Storage System (BESS) integrated with renewable energy sources to the utility grid. The diagram includes the following components:
Figure 5.
Block diagram of battery energy storage systems with renewable energy integrated into utility grid.
Renewable energy sources (e.g., solar panels or wind turbines) that generate electricity, which is then fed into the system.
Inverter/power converter that converts the DC electricity produced by renewable sources into AC electricity for grid compatibility.
Battery energy storage system (BESS), which stores excess energy generated from renewables for later use. It comprises batteries, a Battery Management System (BMS), and a charging/discharging controller to regulate energy storage and release.
DC–AC converter, which converts stored DC power from the batteries into AC power, enabling its integration into the grid or supply to the load.
Utility grid, where energy is either supplied or drawn depending on the availability of renewable generation and the demand for electricity.
Energy management system (EMS) that monitors and manages the flow of electricity between the renewable sources, storage, and the grid to ensure efficient operation, load balancing, and economic optimization.
Load, representing the demand side, which can either draw power from the grid or the battery system, based on the energy requirements.
This highlights the interconnectedness of components that enable effective integration of renewable energy, storage, and grid systems, ensuring stability, efficiency, and optimal energy use in modern power systems.
Figure 6 illustrates the dispatch strategy of the battery energy storage system (BESS) on days with solar photovoltaic (PV) generation and an inverter. The diagram shows the coordination of energy flow between the solar PV, BESS, inverter, and the grid, enabling efficient generation, storage, and distribution of energy while optimizing grid stability. The inverter converts DC energy from the solar panels and BESS into AC for seamless grid integration. During periods of high solar irradiance, the PV system generates excess electricity, which is stored in the BESS for later use. The inverter converts both the generated solar energy and the stored energy from the BESS into AC power for grid integration or local consumption. On days with high solar availability, the system prioritizes charging the battery and supplying surplus energy to the grid. In contrast, during periods of low solar generation or high energy demand, the BESS discharges stored energy to support grid stability or meet load requirements. This dispatch strategy optimizes the balance between generation, storage, and consumption, enhancing overall system efficiency and reducing dependency on the main grid. Figure 6 illustrates the proposed battery management strategy on sunny days, divided into four distinct phases. Phase I (nighttime) relies on grid import and battery discharge to meet demand due to the absence of solar generation. Phase II (morning/evening) sees low PV generation, with partial grid reliance and initial battery charging. Phase III (transition to peak) marks a rapid increase in PV power, reducing grid dependence and enabling significant battery charging. Phase IV (midday peak) maximizes PV utilization, prioritizing load supply and battery charging while minimizing grid imports. This strategy, as shown in Figure 6, optimizes energy flow, enhancing self-sufficiency and cost-effectiveness.
Figure 6.
BESS dispatch strategy on days with solar PV and inverter [37].
Recently, lithium-ion (Li-ion) batteries have been the most widely used option for residential battery energy storage. Known for their high energy density, efficiency, and relatively compact size, Li-ion batteries have become the preferred choice for homeowners seeking to store excess energy generated from renewable sources like solar power. These batteries offer advantages such as long cycle life, fast charging capabilities, and low maintenance requirements, making them ideal for integration with residential energy systems focused on sustainability and self-sufficiency [48]. However, as of today, Li-ion batteries remain relatively costly, and the release of toxic chemicals and heavy metals into the environment during manufacturing and disposal raises concerns about their sustainability. These environmental and economic challenges highlight the need for continued research into alternative materials and recycling methods to improve the long-term viability of Li-ion technology in residential and commercial energy storage [49]. Hence, second-life batteries present a promising alternative for energy storage in power grid applications, addressing both the environmental and financial drawbacks associated with traditional batteries. By repurposing batteries from electric vehicles or other uses, second-life batteries extend the useful life of battery materials and reduce waste, thereby contributing to a more sustainable energy infrastructure. This approach not only offers a cost-effective solution for grid-scale energy storage but also supports grid stability and flexibility, aligning well with the growing demand for renewable energy integration and the transition toward a circular economy [50].
Figure 7 illustrates energy sharing among different loads utilizing solar photovoltaic (PV) generation and a battery energy storage system (BESS). The solar PV system serves as the primary energy source, supplying electricity directly to the loads or storing excess energy in the BESS for later use. The battery energy storage system acts as a buffer, storing surplus energy during periods of high solar generation and discharging when solar power is insufficient. The energy management system (EMS) regulates energy flow between the PV system, BESS, and various loads, ensuring optimal power distribution, load balancing, and grid stability. This energy-sharing mechanism enhances the self-consumption of renewable energy, reduces dependence on the utility grid, and improves overall system efficiency and reliability. The figure illustrates electricity flow within the EMS. The grid supplies Load 1 and Load 2, while the PV panel and battery power Load 1, reducing grid reliance. Bidirectional energy exchange allows battery charging/discharging and grid interaction, ensuring optimal energy distribution.
Figure 7.
Energy sharing between different loads using solar PV and BESS.
The investigation indicates that hybrid energy storage systems (HESS) exhibit greater economic efficiency than single-type battery energy storage systems (BESS). Notwithstanding their considerable potential and capabilities, the energy storage system (ESS) business has substantial financial obstacles. As an emerging technology, there are few established instances of cost recovery, leading to investor apprehension owing to the inherent vulnerabilities and dangers. Moreover, power grid operators fail to fully recognize the technology’s capacity to efficiently incorporate intermittent renewable energy resources (RER) into the grid and provide critical ancillary services. To address these difficulties, further research is necessary to improve the technical maturity of ESS and bolster investor trust. In addition to budgetary constraints, it is essential to focus on the dynamic needs of different load types, such as unbalanced, nonlinear, and pulse loads, while using energy storage systems (ESS). Moreover, researchers must concentrate on the collaborative design of distributed hybrid energy storage systems (HESS) and local controllers, which is essential for the smooth integration of photovoltaic (PV) systems into the grid and for guaranteeing efficient and dependable operation.
In a distributed generation (DG) system incorporating multiple energy sources, such as renewable energy sources (RES) and other distributed generators, power electronic devices play a crucial role in ensuring efficient power conversion and seamless grid integration. These systems require careful coordination, with grid-connected inverters acting as key components to ensure smooth resource management and stable integration into the utility grid. Grid-connected inverters serve a dual function: they convert DC power generated by renewable energy sources (RES), such as photovoltaic (PV) panels, into AC power while ensuring synchronization with grid parameters. This enables efficient energy transfer, supports the grid by managing power quality, and helps to meet demand. Additionally, DC–DC converters play a critical role in regulating the DC power from PV panels. These converters maintain optimal operating points, such as maximum power point tracking (MPPT) for PV systems, ensuring reliable conditioning of the generated power before it interfaces with the grid. Together, these converters and inverters create a seamless interface between the distributed generation (DG) system and the grid, contributing to stable power flow, voltage regulation, and overall system efficiency. Well-designed power electronic systems are essential for managing multiple energy sources, enhancing system reliability, and supporting a flexible and resilient grid [51,52,53].
Wide-bandgap devices, which use materials such as silicon carbide (SiC) and gallium nitride (GaN), offer several advantages over traditional silicon (Si) in power electronics, including greater voltage breakdown capability, higher switching frequencies, and similar carrier mobility. These materials also feature a larger energy bandgap and superior thermal conductivity, making them highly suitable for high-power, high-efficiency applications. The increased voltage breakdown capability allows SiC and GaN devices to handle higher voltages, while their high switching frequencies improve efficiency and reduce component size in power systems. The larger energy bandgap and enhanced thermal properties enable these devices to operate reliably at higher temperatures, which is particularly advantageous in compact, high-density designs like those found in renewable energy and electric vehicle applications.
In power grid systems, selecting the appropriate converter type is essential for optimizing performance, efficiency, and reliability. Each converter type is evaluated based on specific performance parameters that impact energy transfer and grid integration. Efficiency is a primary consideration, as it determines how much input power is effectively converted and delivered without loss, minimizing wasted energy as heat. High efficiency reduces operational costs, extends equipment life, and maximizes energy utilization, which is especially crucial in renewable energy systems. Power density is another critical factor, reflecting the converter’s ability to handle high power within a compact form factor. Converters with high power density are advantageous in applications with limited space, like rooftop solar installations or electric vehicles, where balancing size and performance is vital. They also facilitate system scalability, allowing more power capacity without increasing the infrastructure footprint significantly. Switching and conduction losses are equally important, as they directly affect the thermal performance and overall energy efficiency of the system. Minimizing these losses reduces heat generation, which in turn lowers cooling requirements and enhances converter lifespan. Thermal management is critical as well, particularly in high-power applications, since excessive heat can degrade performance and damage components. By considering these parameters, engineers can select converter types that best meet application-specific requirements, balancing each type’s unique advantages and trade-offs to achieve reliable, efficient, and cost-effective power grid systems [54,55].
Figure 8 illustrates a grid-connected photovoltaic (PV)-based inverter system, detailing the components involved in integrating solar energy into the utility grid. The PV array generates DC electricity, which is optimized by a maximum power point tracking (MPPT) controller to maximize output. The DC–DC converter adjusts the voltage before the energy is converted by the inverter into AC power suitable for the grid. A filter circuit ensures power quality by reducing harmonic distortions. The energy management system (EMS) controls the power flow between the PV system, inverter, grid, and load to ensure stability and efficiency. This system enhances the utilization of renewable energy, supporting grid stability and efficient energy distribution. Figure 8 has two different topologies: (a) Inverter with Transformer: This topology includes a high-frequency link converter and a low-frequency transformer, providing galvanic isolation to enhance safety and reduce leakage currents. However, it increases system size, weight, and cost. (b) Transformer-less Inverter: Eliminates the transformer, resulting in a more compact, efficient, and cost-effective system. However, it requires advanced modulation techniques and clamping circuit design to mitigate leakage currents and ensure safe operation.
Figure 8.
Schematic diagram of grid-connected PV-based inverter system.
Grid-connected PV inverters have traditionally focused on maximizing active power output from PV modules, ensuring that the maximum available solar energy is converted to grid power. However, in light of evolving energy demands and grid dynamics, grid stability is increasingly supported by PV inverters offering auxiliary services—functions that go beyond power generation to assist in grid stability and operational resilience. These services can include voltage regulation, reactive power support, frequency control, and fault ride-through capabilities, which help balance grid conditions during fluctuations in power generation and load demand. In order to support these functions, international standards are now evolving to require that grid-connected PV inverters incorporate auxiliary services that enhance the stability and integrity of the utility grid. These standards are aimed at ensuring that PV inverters actively contribute to maintaining a balanced power system, particularly in grids with high penetration of renewables, where fluctuations in solar generation can be significant. Technological advancements in PV inverter design reflect these changes, with next-generation inverters offering higher efficiency, enhanced power density, and greater reliability to better support both active power generation and auxiliary grid services. High-efficiency designs not only improve energy utilization but also reduce losses, contributing to overall system longevity and reduced operational costs. By including auxiliary functions, these advanced PV inverters can play a more integrated role in modern power systems, supporting a stable, resilient, and efficient grid [56].
The contributions of this paper are indeed significant in advancing the understanding and development of grid-connected solar PV systems. By addressing both technical and economic factors, the paper provides a well-rounded view of current solar PV technologies and paves the way for future innovations. Its comprehensive analysis of PV panels, inverter topologies, energy storage impact, and regulatory frameworks offers valuable insights into enhancing grid stability, efficiency, and cost-effectiveness. Additionally, the exploration of future technologies and industrial applications highlights potential paths for sustainable growth and technological advancement in the solar energy sector. The following is a summary of the main contributions and objectives of this paper:
- (1)
- Techno-Economic Analysis of Renewable based Grid Architectures: An evaluation of AC, DC, and smart grids focuses on their costs, efficiency, stability, and scalability. Smart grids, augmented by AI and IoT, refine energy management, guaranteeing economical and sustainable integration of renewables.
- (2)
- Innovations in a Renewable-Driven World: Innovations in a renewable-driven world include advanced solar PV systems, energy storage systems, and smart grids. Technologies like digital twins, AI, machine learning, and blockchain enhance energy optimization, predictive maintenance, and secure energy transactions, driving the transition to sustainable energy.
- (3)
- Challenges in PV integration to the Grid: PV integration challenges include intermittency, voltage fluctuations, frequency instability, harmonics, reverse power flow, grid congestion, and the need for energy storage and infrastructure upgrades to ensure stable operation.
- (4)
- Role of Regulatory Bodies and Grid Codes: Reviews the involvement of both local and international regulatory bodies in establishing grid codes aimed at addressing challenges specific to grid-connected solar PV systems, such as stability and compatibility issues.
2. Modern Power Grids: Challenges and Innovations in a Renewable-Driven World
2.1. Introduction
In conventional power systems, the generation of electricity largely relies on extensive thermal power plants, such as those fueled by coal, natural gas, and nuclear energy. The significant increase in greenhouse gas emissions in recent years has resulted in numerous harmful effects on the environment. Consequently, carbon reduction is a significant topic for all countries. These energy resources are non-renewable and will not be accessible in the future. These plants generate energy at a central site, which is subsequently delivered to consumers via comprehensive, structured transmission and distribution systems. The centralized architecture of these systems facilitates the synchronized oversight of generation, transmission, and distribution, all overseen by system operators. The operators are essential for maintaining reliable and stable power delivery. They engage in various tasks, including regulating the energy market, managing real-time energy needs, committing units to satisfy demand, controlling power flow to avoid bottlenecks, and implementing protection strategies to shield the grid from faults. This conventional method has proven successful over the years, consistently supporting energy systems and ensuring operational stability. However, it now encounters significant challenges in today’s rapidly evolving energy landscape, where the integration of renewables, variable supply and demand, and technological advancements require more adaptable, efficient, and resilient approaches.
The growing incorporation of renewable energy sources, such as wind, hydro, biomass, solar, and geothermal which are inherently decentralized and variable, presents challenges for the conventional model to keep pace. The centralized framework does not possess the necessary flexibility to effectively manage these intermittent sources, resulting in challenges when attempting to respond quickly to supply fluctuations. Moreover, with the increasing energy demands fueled by technological progress and the emphasis on sustainability, there is an escalating necessity for more robust and flexible grid solutions capable of addressing current energy needs while integrating clean, renewable resources. The conversion of renewable resources into electrical energy is beneficial for the environment, highlighting the significance of carbon reduction in contemporary societies. It is essential for both the government and consumers to implement strategies to address the escalating issue of greenhouse gas emissions in our interconnected world. In pursuit of this objective, the United Nations Framework Convention on Climate Change (UNFCCC) was concluded in 2016 [57]; this framework addresses key challenges outlined in the Paris Climate Agreement, including the mitigation of greenhouse gas emissions, adaptation to climate impacts, and the mobilization of financial resources [58]. Additionally, the objective is to restrict global warming to significantly below 2 °C, ideally to 1.5 °C, in relation to pre-industrial levels [58,59,60].
In the last twenty years, many countries have integrated renewable energy sources, especially photovoltaic (PV) and wind power, into their energy infrastructures. These renewable sources offer substantial environmental benefits, such as reducing greenhouse gas emissions and dependency on fossil fuels, which are both finite and polluting. Recent advancements have made these technologies more accessible and economically viable. Installation costs have decreased significantly, thanks to technological progress and increased production scale, making renewables a competitive option for energy generation. Additionally, improvements in the efficiency of solar panels and electrical energy conversion systems have enhanced the performance and reliability of renewable energy systems. As a result, the integration of renewable energy sources is becoming a key component of global energy strategies, contributing to more sustainable, resilient, and diversified energy systems [61]. The combination of renewable generation with battery energy storage systems (BESS) integration into the electrical grid has emerged as a highly effective solution for enhancing the stability and resilience of energy supply. The drive towards achieving the “smart grid” vision has seen considerable progress in recent years, primarily fueled by policy reforms and regulatory initiatives focused on the advancement and deployment of essential technologies. These initiatives frequently emphasize improving grid reliability, minimizing environmental impacts, and incorporating renewable energy sources such as wind and solar power. Regulatory bodies globally are vigorously advocating for the adoption of smart grid technologies, including advanced metering infrastructure (AMI), grid automation, and demand response, to address increasing energy demands and enhance grid resilience. Furthermore, financial support and incentives for innovation in sectors such as energy storage, electric vehicle integration, and cybersecurity are driving the implementation of these advanced grid technologies, contributing to the establishment of a more adaptable, efficient, and sustainable energy framework [62,63,64].
2.2. Architectures of Power Grid
2.2.1. Conventional Grid
The power grid is a highly complex and essential piece of infrastructure of contemporary society, showcasing an extraordinary achievement in engineering. This system facilitates the effective transmission of electricity produced at centralized sites to a wide range of facilities, industries, and residential users across extensive distances. This intricate system, commonly known as an electrical power web, consists of a comprehensive framework of interconnected elements, such as generating facilities, transformers, high-voltage transmission lines, distribution lines, substations, and end users. A key characteristic of this system is the distinct separation between power generation locations and significant load centers, like urban areas, which can be situated hundreds of kilometers from the generation facilities. The grid effectively spans this distance by employing high-voltage transmission lines, which are designed to reduce power losses and guarantee that electricity is delivered to demand centers with reliability. Electricity travels from generation to consumption, with transformers serving an essential function by increasing voltages for effective long-distance transmission and subsequently reducing them for safe distribution to local users. The interconnection of diverse power sources, along with the balancing of supply and demand across different regions, contributes to the stability, flexibility, and resilience of the energy supply. This centralized structure facilitates economies of scale, guaranteeing that extensive populations and industries maintain reliable access to electricity, despite variations in demand [65]. Figure 9 illustrates a conventional power grid, depicting the flow of electricity from centralized generation sources through transmission lines to distribution networks, and finally to end users. The system consists of power generation plants (e.g., fossil fuel, nuclear, or hydroelectric), which produce electricity that is transmitted via high-voltage transmission lines to reduce energy losses over long distances. The electricity is then stepped down to lower voltages through transformers before being distributed to consumers via distribution lines. This grid structure relies on centralized generation and typically operates in a one-way flow of electricity, from the power plants to the consumers.
Figure 9.
Conventional power grid.
2.2.2. AC Microgrid
In recent years, microgrid (MG) research, development, and deployment have progressed rapidly, with a strong focus on enhancing control, protection, operation, and planning strategies. These advancements aim to improve the performance and resilience of MGs, especially as they integrate more renewable energy sources and distributed energy resources (DERs) [66]. Microgrids, powered by a mix of renewables and BESS, provide several key benefits. First, they improve energy independence by allowing communities and facilities to generate, store, and manage their power without relying on bulk energy grids. This autonomy is invaluable for areas where grid connectivity is costly or difficult to maintain. Second, a BESS ensures that renewable energy generated during periods of low demand can be stored and used later, smoothing out the intermittent nature of sources like solar and wind and ensuring a continuous power supply [67]. During peak hours or grid outages, microgrids can automatically isolate themselves and supply stored energy to critical loads, enhancing grid reliability and resilience. Furthermore, renewable-based microgrids with BESS support sustainability goals by minimizing reliance on fossil fuels, reducing greenhouse gas emissions, and promoting energy efficiency. In urban settings, microgrids help alleviate the load on centralized grids by providing additional capacity, which supports grid stability and may also reduce costs related to grid expansion and maintenance. As renewable technology and battery storage costs continue to decline, the potential for microgrids to become widespread solutions for both urban and rural energy challenges is growing, paving the way for a more sustainable and decentralized energy future [68]. Moreover, microgrids (MGs) are gaining increasing interest as a solution to enhance reliability and security. The integration of renewable energy sources and battery energy storage systems (BESS) within microgrids (MGs) offers a significant advantage [69]. Figure 10 illustrates the architecture of a microgrid, consisting of distributed energy resources (DERs) such as solar PV, wind turbines, and battery energy storage systems (BESS), along with a microgrid controller that manages energy flow. The system can operate in grid-connected or islanded mode, ensuring efficient energy management for local loads. This architecture highlights the microgrid’s flexibility, resilience, and ability to optimize energy use in decentralized power systems.
Figure 10.
Architecture of microgrid.
Figure 11 shows the schematic diagram of a microgrid system, integrating distributed energy resources (DERs) such as solar PV, wind turbines, and battery storage, along with electric vehicle (EV) charging stations. The system includes a microgrid controller that manages energy flow between generation, storage, and demand. It can operate in grid-connected mode, exchanging energy with the utility grid, or in islanded mode, independently. This diagram highlights the system’s ability to provide reliable, sustainable energy, including for EV charging, optimizing energy use and resilience.
Figure 11.
Schematic diagram of microgrid system.
2.2.3. DC Microgrid
DC microgrids are attracting considerable interest globally as a viable approach to improve energy efficiency and integrate renewable energy sources, especially solar photovoltaic (PV) systems. In contrast to conventional AC grids, DC microgrids present unique benefits by minimizing energy conversion losses, given that numerous renewable energy sources and storage systems, including solar PV and batteries, naturally function in DC. This alignment reduces the necessity for sophisticated conversions between AC and DC, enhancing the efficiency of DC microgrids and lowering system costs. The ability of DC microgrids to facilitate a significant integration of renewable energy sources, while ensuring enhanced stability and reliability, stands out as a primary advantage. By utilizing DC sources, these systems improve the efficiency of energy transmission and distribution in localized networks, making them particularly suitable for residential buildings, commercial facilities, and industrial applications. The integration of battery storage in DC microgrids provides significant support for load management and acts as a reliable backup during peak demand or outages, thereby enhancing energy security. Additionally, DC microgrids improve energy management by enabling seamless integration with modern DC-powered devices and appliances, such as LED lighting, electric vehicle (EV) chargers, and various digital electronics, eliminating the need for unnecessary conversions. The flexibility of DC microgrids positions them as a compelling option for sustainable urban infrastructure and smart grid applications, aligning effectively with the needs of emerging technologies and energy efficiency standards. With the increasing interest in DC microgrids, efforts are being directed toward addressing technical challenges like standardizing voltage levels, improving interoperability with existing AC systems, and ensuring operational safety. Advancements in control systems, power electronics, and energy storage position DC microgrids as essential in the transition to a resilient, low-carbon energy future, facilitating both decentralized and centralized renewable energy initiatives [70,71].
Although the existing technologies and processes provide a solid foundation, continuous innovation is essential for addressing the changing challenges associated with the integration of renewable energy sources into power systems. With the increasing prevalence of renewable energy sources such as solar and wind, their natural variability and intermittency present distinct challenges for ensuring grid stability. Variations in energy generation, influenced by weather patterns, necessitate the implementation of more sophisticated methods for handling uncertainty and forecasting energy availability. Effective power management presents a significant challenge, given that conventional grids frequently lack the capability to accommodate the decentralized and dynamic characteristics of renewable energy sources. Integrating these sources necessitates innovative strategies for energy storage, adaptable demand management, and continuous monitoring. Advanced control systems, predictive algorithms, and digital twin technology can enhance grid management through simulation scenarios and performance optimization across diverse conditions. Through advancements in these domains, the power sector has the potential to create more robust and flexible grids that effectively incorporate renewable energy sources, guaranteeing a stable, reliable, and sustainable energy supply for the future [72]. Figure 12 illustrates the DC microgrid architecture, where direct current (DC) energy is generated, stored, and distributed to local loads. The system includes DC–DC converters, solar PV arrays, and energy storage systems (ESS), all interconnected through a DC bus. The microgrid controller manages the flow of energy, optimizing system performance and load management. This architecture highlights the efficiency of DC microgrids, particularly in reducing conversion losses and supporting renewable energy integration.
Figure 12.
DC microgrid architecture.
2.2.4. Smart Grid
The smart grid concept aims to enhance the conventional electric power grid through the integration of sophisticated automatic control, communication technologies, and information systems, including internet-based approaches. This comprehensive strategy merges various processes, information pathways, energy frameworks, devices, and market dynamics, forming a synergistic system that enhances the generation, transmission, distribution, and consumption of electricity, ultimately leading to improved economic and operational efficiency. The smart grid fundamentally facilitates real-time monitoring and bidirectional control of power flows, enabling the movement of electricity and data to and from the end user. Digital monitoring facilitates the flow of data from generation points to consumer endpoints, enabling remote access and offering a comprehensive view of grid operations on a global scale. This digital connectivity reduces faults and human errors, enabling remote fault detection and prompt response to any issues that may occur, thereby enhancing reliability and decreasing downtime. The integration of communication and computer layers enhances the intelligence of the traditional generation, transmission, and distribution layers. This comprehensive strategy enhances the adaptability, efficiency, and resilience of the power grid, enabling it to respond to changing energy demands, incorporate renewable resources, and accommodate emerging technologies like electric vehicles and distributed energy systems [73,74].
The smart grid, as outlined by the IEEE [73,74], is a multifaceted “system of systems”, consisting of three essential layers within each domain.
The Energy and Power Layer: This layer encompasses the components of generation, transmission, and distribution, establishing the essential framework for the flow of electricity.
The Communication Layer: This layer connects the grid’s components, facilitating seamless data exchange between devices and systems, which enables real-time monitoring and control.
The Computer Layer: This layer enhances computing capabilities, enabling the grid to become more intelligent through data analysis, automated decision-making, and increased operational accuracy.
Figure 13 illustrates the comparison between the traditional grid and the smart grid, emphasizing differences in key aspects such as structure, energy sources, efficiency, reliability, consumer interaction, cost, and environmental impact. The traditional grid operates in a centralized manner, primarily relying on fossil fuel-based generation with limited consumer involvement and lower efficiency. In contrast, the smart grid is decentralized, facilitates the integration of renewable energy sources, and incorporates advanced technologies for real-time monitoring and control. This enables improved efficiency, reliability, and consumer engagement, while also reducing operational costs and environmental impact.
Figure 13.
Comparison of traditional grid vs. smart grid.
Table 2 provides a comparative analysis of electricity prices, the levelized cost of electricity (LCOE) for solar PV, the share of renewable energy in the total electricity generation, grid parity status, and CO2 emissions intensity across selected countries. The data highlights the economic feasibility of solar PV integration, its competitiveness with conventional grid electricity, and its potential impact on decarbonization efforts. Understanding these factors is crucial for assessing the role of solar PV in achieving sustainable and cost-effective energy transitions globally.
Table 2.
Electricity Prices, Solar PV LCOE, Renewable Energy Share, Grid Parity Status, and CO2 Emissions Intensity in different countries [11,75,76].
The swift advancement of electric vehicles, microgrids, energy storage systems, and AC/DC flexible transmission technologies is leading to a growing complexity and scale in the smart grid. These advancements present novel opportunities for enhancing efficiency and promoting sustainability, yet they also bring forth considerable challenges. In the upcoming years, power grids will be required to manage increased variability in demand, incorporate a higher proportion of decentralized and intermittent renewable energy sources, and maintain stability across a more complex network. This evolution necessitates the development of innovative solutions for grid management, the implementation of enhanced cybersecurity measures, and the strengthening of grid resilience to ensure reliable and efficient energy delivery. The integration of cloud computing, big data, the Internet of Things (IoT), mobile communication, and artificial intelligence into advanced power equipment and control systems offers a promising outlook for the smart grid (SG). These technologies provide substantial capabilities to address the complexities of modern power grids, enabling enhanced flexibility, efficiency, and responsiveness in operations. Facilitating the seamless and reliable integration of both centralized and distributed renewable energy resources plays a crucial role in maintaining grid stability and resilience. Furthermore, these developments facilitate accurate regulation and management of energy and power flows, steering the system towards improved performance, increased reliability, and the capacity to satisfy rising energy demands sustainably [77,78]. Nonetheless, when models derived from various foundational approaches are implemented throughout the smart grid (SG), challenges emerge stemming from the absence of a cohesive model system. Coordinating multiple models for seamless integration presents significant challenges, and reuse across systems becomes increasingly complex. In this context, there is an immediate need for a standardized digital expression method that can precisely depict both physical and virtual assets throughout the grid. This method would facilitate accurate digital mapping, ensuring reliable and precise representations of everything from single power devices to the complete power grid. Figure 14 illustrates the architecture of a smart grid, highlighting key components such as distributed energy resources (DERs), smart meters, and a communications network. The system enables two-way communication between consumers, utilities, and energy resources, allowing for optimized energy distribution, real-time monitoring, and automated control. The integration of renewable energy, battery storage, and demand response programs enhances energy efficiency, grid resilience, and consumer participation, promoting a more sustainable and reliable energy system.
Figure 14.
The architecture of smart grid.
Digital twin (DT) technology facilitates the seamless connection between the physical and virtual realms, offering a robust framework for the intelligent representation and interaction of products. Digital twin technology was first introduced by Michael Grieves in 2015 and gained recognition as a transformative strategic technology by 2018, noted for its extensive applications across various industries. A digital twin constructs a virtual representation that reflects a physical system, facilitating real-time observation, evaluation, and enhancement. Digital twin (DT) technology, initially developed for aerospace applications, has quickly broadened its reach into sectors such as manufacturing, petrochemicals, automotive, smart cities, and the power industry. In manufacturing, digital twins improve production efficiency and quality control, while the petrochemical and power industries use them for equipment monitoring and safety management. In the automotive sector, digital twins play a key role in vehicle testing and design optimization. In the context of smart cities, digital twins are employed to simulate and manage infrastructure and resources, supporting sustainable urban planning, enhancing decision-making, enabling predictive maintenance, and improving operational efficiency [79,80,81]. In addition, several major industrial enterprises are actively working on developing digital replicas of power grids. Companies like General Electric (GE, based in Boston, MA, USA) [82] and Siemens (headquartered in Munich, Germany) [83] are leading initiatives to create digital twins for power systems. These digital replications enable real-time monitoring, predictive analysis, and optimization of power grid operations, supporting increased efficiency, reliability, and resilience. By applying digital twin technology to the energy sector, these companies are setting the groundwork for smarter, more adaptive power grids that can better meet the demands of modern energy management and sustainability goals.
Several studies in the existing literature have initiated the exploration and development of conceptual designs and applications for digital twin technology. An example of this is the introduction of a framework that defines the key components of a general cyber–physical system in [84]. Furthermore, Gehrmann, C et.al, [85] proposes a digital twin architecture with a strong emphasis on security, aimed at industrial automation and specifically addressing the secure update process of Programmable Logic Control (PLC) software. Another example involves a proposal for a cloud-based digital twin model tailored for a cyber–physical system within the social internet of vehicles, emphasizing driving assistance applications. The findings underscore the varied and progressive uses of digital twins in multiple sectors, pointing to their promise for improved security, connectivity, and operational efficiency [86]. Figure 15 illustrates the architecture of a smart grid integrated with digital twin technology. This system combines distributed energy resources (DERs), such as solar PV and energy storage, with digital twins—virtual models of grid components that enable predictive analysis and optimization. Smart meters collect real-time data, while the communications network ensures two-way communication between physical assets, digital models, and the grid management system. This integration enhances grid efficiency, reliability, and resilience, enabling better energy distribution, fault detection, and improved renewable energy integration.
Figure 15.
Architecture of smart grid with digital twin(s).
The development of a real-time virtual replica of a physical PV system using digital twins facilitates advanced monitoring, predictive maintenance, and enhanced efficiency, greatly simplifying the integration of renewable energy into power grids. Through the replication of system performance data, digital twins facilitate the early detection of issues, allowing for proactive maintenance that reduces downtime and prolongs system longevity. Accurate energy forecasting is supported through the analysis of weather patterns and historical data, which assists grid operators in balancing supply and demand to achieve greater stability. Furthermore, digital twins enable the integration of the grid and demand response by synchronizing PV output with various energy resources, thereby improving resilience. These tools facilitate the simulation of design modifications, leading to cost reductions and enhanced strategies for system expansion. Digital twins enhance the reliability and productivity of solar energy, facilitating a more seamless transition to sustainable power [87].
Furthermore, many researchers and professionals are developing predictive models to modernize the power system, emphasizing the application of machine learning (ML) for managing large-scale data. The capability of machine learning to scrutinize large datasets and uncover concealed patterns, trends, and anomalies presents considerable benefits compared to conventional approaches. The integration of digital twin technology with machine learning facilitates real-time monitoring, analysis, and optimization of power systems, resulting in improved grid operations and energy management. By integrating both historical and real-time data, machine learning techniques enhance the efficiency of power generation, distribution, and consumption processes. A variety of machine learning methods, including supervised and unsupervised learning, neural networks, and reinforcement learning, are increasingly being applied to optimize the performance of power systems and smart grids. Table 3 represents the different types of machine learning and digital twin algorithms utilized in smart grid systems.
Table 3.
Types of machine learning/digital twin algorithms in smart grid system.
Figure 16 illustrates the relationship between cyber–physical systems (CPS) and digital twin technology. In this framework, CPS refers to the integration of physical processes with computational models, enabling real-time monitoring and control. Digital twin technology enhances CPS by creating virtual replicas of physical assets, allowing for simulation, analysis, and predictive maintenance. The interaction between CPS and digital twins facilitates improved system performance, real-time decision-making, and optimized operations by providing continuous data feedback and enabling predictive insights into the behavior of physical components.
Figure 16.
Relationship between cyber–physical system (CPS) and digital twin technology.
Digital twin (DT) technology has revolutionized the energy and transportation sectors, providing novel avenues for efficiency, sustainability, and innovation. Initially developed for aerospace applications, DT technology has progressed swiftly, facilitating the smooth incorporation of distributed energy resources, including renewable energy, into current power grids. Through the development of virtual representations of physical assets, digital twins offer utilities immediate insights, facilitating proactive management of the grid and enhancing reliability. In the realm of renewable energy, digital twins are crucial for enhancing the efficiency of photovoltaic cells and evaluating the economic feasibility of extended wind farm initiatives. This technology enables sophisticated scenario simulations, such as those for offshore wind farms and floating solar panels, thereby broadening the range of renewable energy alternatives accessible to analysts and decision-makers. DTs deliver precise predictions regarding energy production and expenses, enabling grid operators and investors to make informed, data-driven choices about resource allocation and energy distribution. In the realm of transportation, DT technology presents significant avenues for exploration, especially in enhancing electric vehicle (EV) systems. Through the development of a dynamic model of an EV, digital twins enable manufacturers and analysts to examine critical performance aspects, including battery health, charging efficiency, and overall system reliability. Digital twins are capable of forecasting battery degradation over time, managing intelligent battery systems, and simulating the impact of innovative battery materials on performance. These capabilities allow electric vehicle developers to refine designs, improve safety, extend battery life, and enhance energy efficiency. As a result, digital twin technology is playing a pivotal role in advancing the transition to more sustainable transportation by providing reliable and optimized electric vehicle solutions. Although it holds significant promise, DT technology continues to encounter various obstacles. The intricacies of managing data, ensuring secure storage, and safeguarding information are considerable, as digital transformation systems necessitate substantial amounts of data from various sources to function optimally. Moreover, creating an accurate digital replica of a physical asset and dynamically adjusting its virtual parameters to reflect real-time changes in the physical system remains a complex and challenging task. Ensuring data accuracy, synchronizing information across systems, and safeguarding cybersecurity are all vital domains that require continuous investigation and advancement. Nonetheless, the capability of DT technology to accurately model intricate systems has demonstrated its significant potential for improving the resilience, reliability, and sustainability of energy and transportation systems. The technology is currently promoting adaptability in these sectors, facilitating the development of stronger, more efficient infrastructures that contribute to a sustainable future. As digital twin technology continues to evolve, future research must focus on addressing its limitations, particularly in the areas of data integration, real-time analytics, and cybersecurity, to fully harness its transformative potential. This continuous advancement is set to propel additional discoveries in energy efficiency and sustainable urban infrastructure, establishing DT technology as a fundamental element of the contemporary, sustainable energy framework [106].
3. Challenges in Solar PV Integration with the Power Grid
3.1. Introduction
Renewable energy sources such as solar and wind are being increasingly utilized to address global energy needs, owing to their abundant availability and significant potential [107]. By 2018, the global installed capacity for photovoltaic (PV) systems had reached 488 GW, and wind turbine capacity had climbed to 564 GW [108]. The International Energy Agency (IEA) 2024 report states that the global installed capacity of solar photovoltaic (PV) systems has reached 1954.6 GW, and wind energy capacity has expanded to 1127.9 GW. The data underscore the swift growth of renewable energy sources on a global scale. Forecasts suggest that by 2030 solar photovoltaic capacity is anticipated to increase to 6101 GW, while wind energy is projected to reach 2742 GW. This significant expansion highlights the growing dependence on renewable sources to satisfy energy needs and fulfil international climate goals [1]. Solar and wind energy are categorized as variable renewable energy sources due to their intermittent characteristics and non-dispatchable nature [109]. Nonetheless, advancement in economies of scale and innovation has greatly reduced the expenses associated with variable renewable energy (VRE) components. The decrease in price, along with the increasing need to address the environmental consequences of fossil fuels, has resulted in a higher integration of VRE into the grid. The growing cost-effectiveness and ecological benefits of VRE position it as a crucial element in contemporary power systems transitioning to cleaner, more sustainable energy sources [110,111].
In conventional electric utility frameworks, power typically flows in one direction—from centralized generators to substations and subsequently to consumers. Nonetheless, the integration of solar power enables bidirectional power flow, presenting new challenges for distribution networks. The majority of electric distribution systems were not originally engineered to accommodate two-way power flow, which can result in various challenges. This is especially clear in long distribution feeder circuits that serve rural or developing regions, where even minimal photovoltaic (PV) generation can greatly influence system parameters in the event the load and PV generation are not well aligned. When photovoltaic generation surpasses local energy demand, excess energy returns through the distribution feeder and possibly the local substation, increasing the risk of damage to grid infrastructure and leading to disruptions for other utility customers on the same circuit. The identified challenges highlight the necessity for enhanced grid management strategies and protective measures to maintain system reliability and stability. Also, the fluctuations and inherent unpredictability of renewable energy sources, like solar power, present considerable obstacles for their integration into electricity grids. The challenges encompass the need to balance supply and demand, ensure grid stability, manage intermittent generation, and maintain reliable power quality. Similarly, frequency stability can be affected when the balance between supply and demand is disrupted by sudden changes in solar energy output. Furthermore, challenges such as harmonic distortion, flicker, and phase imbalances may affect power quality, impacting both the utility grid and the equipment utilized by end users. Successful integration necessitates advanced technologies, strong forecasting techniques, and flexible grid management approaches to tackle these challenges and fully utilize the capabilities of renewable energy [112]. The integration of solar grids, although it encourages the adoption of renewable energy, raises certain environmental concerns. Large-scale solar energy systems can significantly impact the environment, with variations influenced by the technology employed, geographic location, and additional factors. Utility-scale solar farms, based on their geographical placement, can lead to land degradation, habitat loss, and disturbances to local ecosystems. Furthermore, the production and disposal of solar panels entail the use of hazardous substances, which, if not handled appropriately, can present environmental dangers. Understanding these potential impacts is crucial for developing mitigation strategies, including choosing sites to steer clear of sensitive habitats, encouraging the utilization of already disturbed land, and improving recycling methods for solar panel materials [113].
Multiple strategies have been suggested to address the variability of photovoltaic (PV) generation and enhance power stability. One of the initial approaches entails deliberately decreasing PV plant output during cloudy conditions. Nonetheless, this method leads to considerable revenue decline, rendering it less appealing. The integration of energy storage systems (ESS) presents a more effective solution, as it can mitigate power fluctuations while maintaining the overall energy production of the PV plant [114,115,116]. The main technologies for storing energy from renewable sources include hydro-pumped storage, supercapacitors, and batteries. Hydro-pumped storage demonstrates effectiveness yet faces geographical constraints, while supercapacitors are notable for their rapid response capabilities but fall short in large-scale capacity. In contrast, batteries present a compelling alternative. Their design incorporates modularity, reduces costs, ensures high reliability, enhances efficiency, and promotes environmental sustainability. Lithium-ion batteries stand out due to their impressive energy density, extended lifespan, and decreasing costs, positioning them as optimal solutions for integrating renewable energy.
Solar-grid integration technology facilitates reliable and efficient interaction between solar power systems and utility grids, optimizing energy management and improving system performance. The fundamental components consist of advanced inverters that convert DC power generated by solar panels into AC for integration with the grid. The inverters available range from light-duty models (100–10,000 W) suitable for residential installations to heavy-duty options (10,000–60,000 W) designed for industrial use, incorporating features such as MPPT, grid voltage regulation, and reactive power compensation. Anti-islanding technology enhances safety by disconnecting inverters during grid outages, whereas grid-plant protection secures assets through systems designed for voltage, frequency, and fault management. Solar-grid forecasting utilizes weather and load prediction models to enhance solar energy production and maintain grid stability. Smart grids facilitate integration by enabling bidirectional energy flow, real-time monitoring, demand-response systems, and advanced metering for net metering, which allows consumers to earn credits for surplus energy contributed to the grid. This thorough integration encourages the adoption of renewable energy and facilitates sustainable power generation [117]. The interaction between solar systems and the grid necessitates that inverter include anti-islanding protection, which is an essential safety feature. This guarantees that, during a grid outage, the inverter will automatically stop the power flow to avoid supplying electricity to a de-energized grid. The implementation of this protection is crucial for ensuring the safety of utility workers, safeguarding equipment, and maintaining the integrity of the overall grid infrastructure against potential hazards that may arise from unintended energy supply during maintenance or faults [118]. Figure 17 highlights the challenges in solar PV integration into the power grid, emphasizing issues such as intermittency and variability of solar energy, which can lead to fluctuations in power generation. The diagram also identifies challenges related to grid stability due to the decentralized nature of solar generation, the need for energy storage to manage supply–demand mismatches, and the requirement for advanced grid management systems to handle the dynamic input of renewable energy. Additionally, the integration process faces technical and economic barriers, including infrastructure upgrades and the optimization of solar power forecasting. These challenges must be addressed to ensure reliable and efficient solar PV integration into the grid.
Figure 17.
Challenges in solar PV integration into the power grid.
3.2. Voltage Fluctuations
Voltage fluctuation presents a significant challenge when integrating solar PV systems into the electrical grid, as it is crucial to maintain stable voltage levels for ensuring grid reliability and safety. In traditional grid networks, voltage is meticulously regulated to stay within defined parameters. The variable nature of solar PV power generation introduces complexities, with changes in sunlight intensity resulting in rapid fluctuations in power output. Furthermore, certain solar PV inverters function with a low power factor, indicating that they either consume or supply reactive power in an inefficient way, potentially leading to further instability in grid voltage levels. The demand for reactive power in PV systems can intensify this problem, especially during times of elevated solar generation or reduced energy consumption. Voltage fluctuations caused by these factors can lead to various negative consequences, such as harm to delicate equipment, decreased operational efficiency, and possible safety risks for both the grid infrastructure and end users. For example, high voltage levels can cause equipment to overheat, whereas low voltage can negatively affect the performance of appliances and industrial machinery. To address these challenges, advanced voltage regulation strategies and technologies are utilized. Voltage regulators actively modify voltage levels in real time to align with grid demands, thereby maintaining stability. Voltage stabilizers mitigate brief fluctuations in voltage to safeguard attached equipment. Furthermore, reactive power compensators, including static VAR compensators (SVC) and static synchronous compensators (STATCOM), are employed to regulate reactive power flow, thereby improving voltage control and strengthening grid resilience. The integration of these solutions with smart grid technologies and advanced control systems facilitates improved management of voltage fluctuations, allowing for the seamless incorporation of solar PV systems into the grid while maintaining reliability and safety. Figure 18 illustrates voltage fluctuations caused by various factors within the power grid. These fluctuations can result from load variations, solar PV generation intermittency, faults or disturbances in the grid, and reactive power imbalances. The diagram highlights that these factors can lead to voltage sags, surges, or transients, potentially affecting grid stability and reliability. Managing these fluctuations requires advanced control strategies and real-time monitoring to maintain voltage stability and prevent disruptions in grid operations.
Figure 18.
Voltage fluctuations caused by various factors.
3.3. Output Power Prediction
Conventional electricity grids predominantly encounter operational uncertainties stemming from the demand side, as energy consumption patterns fluctuate due to influences such as user behavior, time of day, and economic activity. Nonetheless, the incorporation of renewable energy resources, including solar photovoltaic systems, fundamentally changes this dynamic by introducing considerable uncertainties on both the demand and generation fronts. On the generation side, climatic factors such as temperature and solar irradiation significantly influence the output of PV systems. The intensity of sunlight, the presence of cloud cover, and variations in temperature all play a crucial role in determining the energy output of solar panels, resulting in inconsistencies and unpredictability in the power supply. A sudden drop in solar irradiation caused by cloud cover can lead to a swift decrease in PV generation, posing challenges for grid operators in maintaining a balance between supply and demand. The presence of dual sources of uncertainty—demand variability and generation intermittency—necessitates the implementation of advanced forecasting tools, strong grid management strategies, and adaptable energy systems to guarantee reliable operation. Solutions include real-time monitoring, predictive algorithms for solar output, and the integration of energy storage systems to buffer fluctuations and stabilize the grid [119,120,121,122].
Irradiance denotes the energy impacting a unit horizontal area for a specific wavelength interval over a given time, playing a vital role in the performance of solar PV panels [123]. The performance of photovoltaic panels is closely associated with solar energy, or solar irradiance, which can fluctuate significantly due to various influencing factors [124]. Factors such as weather conditions, including cloud cover and atmospheric pollution, seasonal variations that influence the duration and intensity of sunlight, geographical location that dictates the amount of sunlight a region receives, and the time of day, which affects sunlight intensity due to the sun’s movement across the sky, are all significant considerations [125]. Fluctuations in solar irradiance are particularly evident at higher time resolutions, notably at the sub-second level, where swift changes can arise from transient clouds or atmospheric disturbances [126]. The position of the sun changes throughout the day as a result of variations in solar altitude and azimuth, influencing the angle of incidence and, consequently, the amount of irradiance received by the PV panel. Notably, any deviation from the direct component of solar irradiation results in an efficiency loss of approximately 0.08% per degree of deviation. This variability necessitates the implementation of effective tracking systems and energy management strategies to mitigate performance degradation and optimize the overall efficiency and reliability of solar PV systems [127]. Figure 19 presents the various factors affecting solar PV power generation, including solar irradiance, temperature, dust accumulation, tilt angle, and shading. These factors influence the efficiency and output of solar panels. Variations in solar irradiance and temperature can lead to changes in power generation, while dust and shading can further reduce the amount of energy produced. Optimizing these factors is crucial for improving the performance and reliability of solar PV systems.
Figure 19.
Various factors affecting solar PV power generation.
The efficiency of electricity generation in photovoltaic panels is greatly affected by the temperature of the modules [128]. With increasing temperatures, there is a notable decline in electrical efficiency, as photovoltaic modules are only capable of converting 20% of solar energy into electricity, while the remaining 80% is lost as heat [129]. In the absence of external cooling mechanisms, a temperature rises of 1 °C results in an efficiency loss ranging from 0.03% to 0.05%. The temperature of the module has a significant impact on the bandgap energy of the photovoltaic cell material, which diminishes in high-temperature environments. The reduction facilitates the cell’s ability to absorb longer wavelength photons and enhances the lifetime of minority carriers, resulting in a modest increase in the light-generated current ().
Figure 20 illustrates the variation in solar PV power generation due to cloud cover and temperature changes. The diagram highlights how cloud cover can cause intermittent power fluctuations by blocking sunlight, leading to rapid changes in energy output. Additionally, increased temperature leads to a decline in solar panel efficiency, further influencing the power generation. These factors emphasize the importance of accounting for weather conditions in optimizing solar PV system performance. The current-voltage (I-V) characteristics of a photovoltaic (PV) module under different levels of solar irradiance (G) and temperature (T) (refer (d)). The results demonstrate that higher irradiance increases the short-circuit current, while elevated temperatures lead to a reduction in open-circuit voltage, highlighting the impact of environmental conditions on PV module performance.
Figure 20.
Solar PV power variation by clouds and temperature [130,131].
Nonetheless, this is coupled with a decrease in the open-circuit voltage (), which ultimately leads to a reduction in the cell’s fill factor (FF) [132]. The fill factor indicates the degree of series and shunt resistance present in the solar cell and its associated circuit, rendering it an essential parameter for assessing photovoltaic performance across different temperature scenarios.
The efficiency of photovoltaic (PV) modules is greatly affected by other various environmental factors, including dust, air pollutants, humidity, shading, and wind conditions. Dust particles interact with sunlight and accumulate on photovoltaic panels, creating layers that both reflect and absorb light, which diminishes transmissibility and power output. In arid regions, the combination of high dust density and limited rainfall intensifies this problem, with research indicating efficiency losses of up to 13% within a six-week period without cleaning [133]. The accumulation of dust on the surface of PV modules significantly impacts energy extraction on daily, quarterly, seasonal, and yearly scales. A 20% reduction in glass transmittance occurs after 45 days without cleaning, leading to decreased energy conversion efficiency in photovoltaic modules. In humid conditions, dust interacts with moisture to create mud, resulting in hard shading that adversely affects performance. Extended exposure to humidity can lead to the corrosion of PV modules, enhance electrical conductivity, and result in leakage currents, which further diminishes efficiency. Under soiling conditions, photovoltaic systems can experience daily energy losses of up to 0.6%, significantly impacting overall performance and efficiency [134].
Figure 21 illustrates the effect of relative humidity on the performance of solar PV production. It shows that increased relative humidity can lead to a decrease in solar panel efficiency due to the formation of condensation on the panel surface, which reduces the amount of sunlight reaching the solar cells. This emphasizes the importance of considering environmental factors, such as humidity, in optimizing the performance and efficiency of solar PV systems. The trend line in Figure 21 represents a regression line, showing the relationship between relative humidity and average monthly electricity production. The negative slope suggests an inverse correlation, indicating that higher humidity levels are associated with lower electricity production. This decline may be influenced by factors such as increased moisture and cloud cover, which reduce solar panel efficiency by limiting sunlight exposure and increasing thermal losses.
Figure 21.
Effect of relative humidity on performance of solar PV production [135].
The conditions of the wind, encompassing both speed and direction, play a significant role in the cooling of modules. The presence of natural airflow facilitates convective heat transfer, leading to a decrease in module temperature and an enhancement in efficiency. A wind speed of 10 m/s can result in a reduction of the operating temperature by 3.5 °C when a grooved surface is utilized. Nonetheless, the surface structure influences the cooling effect, as flat surfaces tend to perform better at reduced wind speeds [136]. Obstructions from buildings, waste, or natural features impede sunlight, leading to decreased energy production. Soft shading is a result of atmospheric smog, whereas hard shading is caused by solid obstructions such as dust, snow, or leaves [137,138]. Furthermore, water droplets resulting from humidity can refract, reflect, or diffract sunlight, thereby diminishing the direct solar radiation that reaches the photovoltaic cells. Prolonged exposure to moisture can lead to the corrosion of modules and a decline in their electrical performance [139]. While the integration of solar PV systems into grid networks and standalone applications has experienced significant growth in recent years, the efficiency of photovoltaic panels is significantly affected by climatic conditions and environmental variables. The reliability and effectiveness of PV technology are influenced by these environmental variables, highlighting the importance of their management for achieving optimal performance across various applications. Future investigations may concentrate on creating sophisticated artificial intelligence (AI) models aimed at forecasting dust buildup on photovoltaic surfaces. These predictive models would support the development of effective cleaning and cooling technologies customized for particular environmental conditions. Moreover, additional investigations are required to pinpoint and create appropriate nanomaterials capable of reducing dust and soiling on PV modules, especially in arid and humid areas, where these challenges considerably impact performance. The improvements may significantly boost the performance and reliability of solar PV systems in challenging environments [140].
3.4. Frequency Variations
The integration of PV systems into power grids presents challenges resulting from their intermittent characteristics, frequently leading to a discrepancy between power generation and load demand. The growing integration of PV systems into power grids has a notable impact on the Rate of Change of Frequency (ROCOF), an essential factor for maintaining grid stability. The observed imbalance may result in frequency variations within the network, which could jeopardize the stability of the electrical grid. In contrast to conventional synchronous generators, PV systems, which are based on inverters, do not possess inherent mechanical inertia. Consequently, they exhibit a diminished ability to withstand rapid fluctuations in frequency resulting from imbalances between generation and demand. The decrease in inertia results in an accelerated rate of change of frequency, which increases the grid’s vulnerability to disturbances, particularly during natural overloads or abrupt shifts in load or generation. When frequencies surpass safe operating thresholds, protective systems might trigger load shedding or deactivate generators, thereby exacerbating the instability. Addressing this discrepancy is crucial, as failure to do so can increase instability, potentially leading to partial or total loss of electrical supply. This highlights the importance of implementing strong control and management strategies to maintain grid stability [141]. An analysis of two IEEE benchmark transmission networks revealed that solar PV penetration beyond 40% could lead to system collapse in worst-case contingency scenarios, mainly due to the loss of inertia [142]. In a similar vein, the influence of PV power plant outputs on frequency stability was clearly observed in the continental Europe synchronous zone during the solar eclipse on 20 March 2015. The eclipse underscored the difficulties in ensuring grid stability, as the rapid reduction and later restoration of solar generation caused notable frequency variations, highlighting the necessity for effective grid management approaches in situations with high photovoltaic integration [143]. Moreover, the rate at which PV output fluctuated was double that of the peak load value, which could lead to considerable disruptions in grid frequency unless pre-emptive actions were taken to alleviate the effects [144,145]. Researchers developed an advanced optimum control approach specifically designed for microgrids that include battery energy storage systems (BESS), conventional generating sources, and intermittent renewable energy resources (RERs). This approach seeks to tackle the issues related to frequency variations stemming from the ever-changing and uncertain characteristics of renewable energy production [146]. The authors employed a technique for economic dispatch that effectively reduces fuel costs while ensuring an accurate equilibrium between projected power generation and load requirements. This method enables the strategic transition between essential and non-essential loads, enhancing system efficiency and stability in response to changing conditions [141]. Alongside control strategies, a novel algorithm was introduced to calculate the optimal amount of generation reserve for photovoltaic (PV) plants. This algorithm utilizes the distinct features of frequency behavior, guaranteeing that adequate reserves are present to address the risks of significant grid damage or power outages during times of high PV penetration or abrupt changes in generation. The investigation delved into the integration of existing grid resources with energy storage systems (ESS) to improve frequency stability, showcasing their capability to assist in grid frequency response, particularly in scenarios involving large-scale PV generation. The implementation of energy storage systems offered a safeguard against the rapid fluctuations in generation and demand, consequently alleviating the pressure on the grid. As the integration of intermittent renewable energy resources progresses in future power systems, a notable decline in the natural inertia of the grid is anticipated. The decrease in inertia intensifies the difficulties associated with sustaining frequency stability, highlighting the necessity to examine the effects of these alterations and develop effective control strategies for enhancing frequency response. The authors highlight the importance of continuous investigation and advancement in this field to create effective mitigation strategies, thereby ensuring the grid’s reliability and resilience as renewable energy sources become increasingly integrated [147].
3.5. Reactive Power Compensation
Photovoltaic (PV) power is fundamentally generated as direct current (DC), which does not inherently provide reactive power capabilities. Reactive power is a critical component of the alternating current (AC) power system, essential for maintaining voltage levels and supporting power factor correction. PV systems exclusively produce real power (DC) and, as such, they do not address the reactive power requirements of the grid unless enhanced by supplementary technologies. This limitation has led to the growing importance of developing innovative technologies that enable PV systems to provide reactive power, thereby enhancing grid stability and improving power quality. A report on the reactive power capability of the North American grid emphasized the potential for variable generation plants, including wind and solar, to provide the necessary reactive power support for the grid. This is particularly crucial as the share of renewable energy sources continues to grow, which could otherwise strain the grid’s ability to maintain voltage stability. Renewable energy sources, such as PV systems and wind power, exhibit intermittency, with their output fluctuating based on weather conditions. Their ability to contribute to reactive power is crucial for stabilizing voltage, particularly during times of reduced conventional generation [148]. Researchers performed a comprehensive analysis of various methods for introducing reactive power into the grid from photovoltaic power plants. They explored techniques such as constant active current control, where the active current is maintained at a steady level while adjusting the reactive power output; constant average active power control, which stabilizes the average power output while regulating the reactive power; thermally optimized reactive power control, which accounts for thermal limitations and optimizes reactive power injection based on system temperature; and constant peak current control, which involves controlling the peak current limits to optimize reactive power support. The authors, drawing from their findings, suggested the implementation of these control strategies for future PV systems to effectively address real power demands while also improving the grid’s reactive power support capabilities. Additional studies conducted by various authors have advanced the creation of alternative approaches for managing reactive power in photovoltaic plants. For example, one study proposed a strategy based on the theory of two stationary phases, which aims to control the injection of reactive power in a more dynamic and responsive manner, adapting to grid conditions in real time. This approach may provide a more effective method for incorporating PV systems into the grid while maintaining system stability [149]. Researchers examined the centralized and decentralized approaches for managing reactive power in PV inverters that are integrated into the grid. In a centralized approach, a central controller determines the reference signals for the reactive power output based on the grid’s overall performance and needs. In contrast, decentralized control enables each PV inverter to autonomously modify its reactive power output according to local voltage readings, offering a more distributed and adaptable strategy. Both strategies focus on improving the capacity of PV systems to assist in grid voltage regulation and enhance their overall reliability when incorporated into the power system. The growing need for reactive power support from renewable sources, particularly PV plants, is becoming increasingly critical as the share of intermittent renewable energy in power grids continues to rise. The efficient management of reactive power within electricity grids plays a crucial role in improving the network’s voltage profile, enhancing system stability, and minimizing power quality issues. Grid codes mandate that power system operators ensure a stable voltage level through the active management of the grid’s reactive power output. To accomplish this, it is essential to further develop and refine various control strategies, as well as the deployment of Flexible AC Transmission Systems (FACTS) and energy storage systems (ESS) for reactive power support, to facilitate the sustainable integration of renewable energy resources (RERs) into the power grid. As these technologies continue to advance, future photovoltaic systems may not only deliver real power but also contribute significantly to reactive power compensation, thereby improving the resilience and sustainability of contemporary power grids [150,151,152].
3.6. Impacts of Harmonics/Power Quality
The integration of photovoltaic (PV) systems into electricity grids depends on power electronic converters. These converters facilitate efficient conversion and control of electrical energy, but they also introduce harmonics into the network. The presence of these harmonics can negatively impact the equipment connected to the grid, resulting in decreased operational efficiency, premature aging, and potential damage. Moreover, the accumulation of harmonics from various PV systems connected to the grid can intensify these challenges, affecting the overall stability of the grid and power quality. To address this issue, investigations have been conducted on the characteristics of harmonics generated by the integration of several PV systems, identifying their sources, frequency ranges, and potential mitigation strategies. This study is crucial for creating efficient harmonic suppression methods and guaranteeing the reliable operation of the grid and its associated equipment [153,154,155]. The IEEE published standards designed to address the widespread harmonic challenges in power systems resulting from the incorporation of power electronic devices, such as photovoltaic (PV) systems. To adhere to these standards and guarantee a high-quality power supply for consumers, it is crucial to eliminate the harmonics generated by these devices. To address harmonic distortions effectively, it is essential to implement suitable filters, which can be classified into two main categories: passive filters and active filters. Passive filters are composed of resistors, inductors, and capacitors, which serve to effectively reduce harmonics at designated frequencies. Active filters, incorporating transistors and passive components, adapt to changing harmonic conditions, providing enhanced mitigation in systems characterized by high or variable harmonics. Both filter types play a crucial role in ensuring power quality and protecting equipment [156,157,158,159]. Many authors have developed innovative methods to address harmonic issues in power systems. For example, an adaptive proportional resonant controller was designed to compensate for identified harmonics, leading to a notable decrease in total harmonic distortion within the grid current. Li et al. developed a mechanism for active power filtering that integrates a boost converter with a dual-level four-leg inverter, demonstrating effective suppression of harmonics [160]. Similarly, Pereira et al. introduced a dynamic method aimed at compensating for harmonic currents generated by nonlinear loads, employing power electronic converters within PV systems to provide ancillary services. It was also proposed that system operators provide incentives to PV owners who implement inverters for harmonic compensation, aiming to improve power quality [161]. Nonetheless, the implementation of multifunctional PV inverters may adversely affect the overall efficiency of the system. Consequently, it is imperative to conduct more in-depth studies and evaluations in this field to tackle these issues [162].
3.7. Angular Stability
The integration of solar PV into power grids poses various challenges for system operators, particularly regarding concerns related to angular stability. Mitsugi and Yokoyama conducted an analysis on the transient stability of a multi-machine electric system featuring a large PV plant during a three-phase fault condition. The findings indicate that transient stability is influenced by the ratio of constant impedance to constant power loads, where increased ratios result in more significant degradation caused by the frequent reconnections of PV systems [163]. In the same way, You et al. [164], examined the impact of extensive PV integration on inter-area oscillations within the US Eastern Interconnection. Their findings indicate that heightened PV penetration diminishes the damping of primary oscillation modes, while fluctuations in PV control strategies and parameters may lead to the emergence of new oscillation modes. Researchers in power systems have put forward a range of techniques to address these challenges; however, solutions for angular stability are still in the preliminary phases of development, necessitating additional exploration and enhancement for technological progress and real-world implementation.
3.8. Other Challenges
The integration of solar PV systems into the grid introduces other various technical, operational, and socio-economic challenges. A key concern is the necessity of fault/low- voltage ride-through (LVRT) capability to maintain grid stability during disturbances, necessitating advanced inverters that can endure transient conditions [165]. Protection systems encounter difficulties stemming from variations in fault currents and bidirectional power flows, which complicate the processes of fault detection and coordination [166,167,168,169]. Moreover, with the rise in PV penetration, transmission networks face heightened pressure and necessitate strong communication systems that are vulnerable to cybersecurity threats [170]. Fluctuations in photovoltaic output challenge conventional electricity markets, necessitating the development of innovative pricing models and strategies for balancing demand and supply [171]. Furthermore, the transition to a PV-integrated grid is complicated by environmental issues, including land use, resource extraction, and panel disposal, as well as socio-economic factors, such as workforce adaptation and equitable access to renewable energy [172]. To address these challenges effectively, it is essential to develop thorough solutions that harmonize technological advancements with ecological sustainability and social equity.
4. Global Standards and Grid Codes for Solar PV Integration into Power Grid
4.1. Introduction
The integration of photovoltaic power plants (PVPPs) has a profound impact on the functioning, stability, and security of utility grids, especially in isolated systems such as small island grids. In such environments, high load variability, often due to seasonal tourism, combined with the intermittent nature of PV generation, can result in instability and fluctuations in network parameters. To tackle these challenges, it is essential to implement effective control systems for both loads and photovoltaic sources. In response to stability and security concerns, various governments have implemented further regulations to facilitate the seamless integration of solar PV into the grid. An in-depth examination of contemporary PV grid coupling practices highlights an emphasis on modern grid codes, which differ from one country to another. The regulations are intricately connected to the architectures, topologies, and control strategies of PV systems, with recent developments highlighting enhancements in efficiency and reliability. The analysis of these methodologies, accompanied by their relevant key performance indicators, underscores the connection between grid codes and various components of PV systems [173,174,175,176]. On the other hand, grid-connected PV inverters have historically been considered as active power sources, emphasizing the optimization of power extraction from PV modules. Although this continues to be a focus, there is a growing acknowledgment that the stability of the utility grid can be greatly improved through the diverse auxiliary services offered by these inverters. It is essential for international standards to include the auxiliary functions that grid-connected PV inverters are required to perform in order to ensure grid stability and integrity. The functions are essential in resolving discrepancies between power generation and load demand, thereby enhancing overall grid reliability. The advancement of grid-connected PV inverter technology focuses on the ongoing improvement of efficiency. Innovations in the next stages of these inverters are expected to enhance efficiency, increase power density, and enhance reliability, thereby addressing the increasing requirements of modern energy systems and facilitating auxiliary services crucial for maintaining stable grid operations [177,178,179]. The international standards on energy efficiency and renewable energy sources integrated into the utility grid are presented in Table 4 and international standards on integrating energy storage systems to the utility grid are represented in Table 5. Table 4 and Table 5 provides an overview of the key standards and guidelines for integrating demand response (DR), including photovoltaic (PV) systems and energy storage systems, into power grids across various countries and regions. It summarizes internationally recognized standards, such as those established by IEEE and IEC [180,181,182], along with national and regional regulatory frameworks. These include state-level guidelines in California and Texas in the U.S [183,184], as well as national regulations in Canada [185,186], the United Kingdom [187], Germany [188,189], Spain [190], Australia [191,192,193], China [194,195,196], Taiwan [197], and South Korea [198].
Table 4.
International standards on energy efficiency and renewable energy sources [173,174,175,176,178].
Table 5.
International standards on electrical energy storage systems [177,178,179].
4.2. Grid Codes
One of the initial requirements in grid codes for conventional generation units was to maintain designated frequency and voltage ranges during standard operations and unforeseen events. Over time, these requirements have developed to respond to the behavior of variable renewable energy (VRE) plants during faults and contingencies. Recent updates to grid codes incorporate measures to address the loss of inertia, which has typically been supplied by the rotating masses of synchronous generators, as well as the heightened rate of change of frequency (RoCoF). The incorporation of variable renewable energy diminishes system inertia, leading to quicker frequency fluctuations after an event—a vital element that may trigger system protection mechanisms. As a result, modern grid codes establish boundaries, operational limitations, and novel strategies to address the difficulties arising from reduced inertia and increased non-synchronous integration. To achieve near 100% renewable energy integration in power systems over the long term, it is crucial to focus on the implementation of grid-forming inverters and the involvement of variable renewable energy sources in black-start capabilities, ensuring these elements are clearly specified in grid codes. Figure 22 demonstrates grid code formulation guidance according to grid size and VRE integration levels.
Figure 22.
Grid code formulation guidance according to grid size and VRE integration level.
Grid codes are a set of technical and operational rules that regulate the interconnection and functioning of generating, transmission, and distribution systems within an electrical power network. These regulations are essential for maintaining the dependability, stability, and safety of the electricity system throughout diverse situations. Although both transmission and distribution grid codes seek to maintain power system efficiency and resilience, they are tailored to tackle specific issues and operational needs according to the voltage levels and equipment types involved. Transmission grid codes mostly concentrate on high-voltage networks, enabling extensive power transfers across areas and maintaining the stability of linked systems. These rules enforce rigorous technical standards on big generators and connecting points to regulate frequency, voltage, and fault ride-through capabilities. On the other hand, distribution grid codes are specifically designed for medium- and low-voltage networks, which are progressively integrating distributed energy resources (DERs) such as solar photovoltaic (PV) systems, wind turbines, and battery storage. These rules are designed to guarantee the secure and dependable integration of distributed energy resources (DERs), maintain power quality, and tackle localized issues such as voltage fluctuations and harmonic distortion. Figure 23 presents the structural layout of a modern power system, including transmission and distribution networks, along with their corresponding voltage levels. The layout of a modern power system consists of three main components: generation, transmission, and distribution. Electricity is generated at power plants and transmitted over long distances through high-voltage lines, which are stepped up to reduce energy losses. At substations, the voltage is stepped down for local distribution. In a one-way direction, power flows from the generation source to the consumer. However, with the integration of distributed generation like solar panels, two-way direction is possible, allowing power to flow back from consumers to the grid. This bidirectional flow supports renewable energy and enhances grid flexibility.
Figure 23.
Layout of modern power system: transmission and distribution systems with voltage levels.
However, the rapid growth of PV power in recent years, driven by policy incentives and increased public awareness, presents obstacles to the security and stability of power systems, such as rapid power fluctuations and constrained frequency support abilities. In response to these challenges, a range of grid codes has been established to govern the steady-state and dynamic performance of PV power stations and other inverter-based energy sources. Some grid code requirements are easy to implement, while others require designs that are specifically tailored to unique system parameters, geographical conditions, and operational characteristics. At present, the issuance of PV grid codes is primarily conducted through national standards or by transmission and distribution system operators (TSOs/DSOs). Nonetheless, considering the comparatively lower adoption rates of photovoltaic power in relation to other energy sources, current grid codes frequently fail to sufficiently address the challenges associated with significant levels of PV integration. To address these gaps, it is crucial to enhance grid codes in order to ensure stability, reliability, and efficient operation as renewable energy adoption continues to rise. This study rigorously analyses the stipulations of current grid codes for photovoltaic power stations, pinpointing essential areas for enhancement to accommodate the changing demands of modern power systems [199,200,201,202]. Grid code requirements for PV power stations are essential for ensuring reliable and stable integration into utility grids, particularly as renewable penetration increases. These requirements can be broadly categorized into steady-state and transient operational parameters, addressing the behavior of PV systems under normal and disturbed conditions. Figure 24 illustrates the grid codes and innovation trends for different international standards.
Figure 24.
Grid codes and innovation trends.
4.2.1. Steady-State Requirements
Steady-state requirements ensure the smooth operation of PV power stations during normal grid conditions. They address voltage regulation, frequency support, and power quality, among other factors. Key aspects include:
- i.
- Voltage ControlPV power stations must maintain grid voltage within specified limits.
- Reactive Power Support: Advanced inverters are required to provide or absorb reactive power based on grid conditions. Grid codes often define reactive power capability curves to ensure voltage stability.
- Voltage Droop Control: This technique allows PV systems to adjust their output voltage dynamically in response to grid voltage deviations.
- ii.
- Frequency ControlAlthough PV systems lack inherent inertia like traditional generators, they must contribute to frequency regulation:
- Primary Frequency Control: PV systems can adjust active power output during frequency fluctuations, either by curtailing generation or using stored energy.
- Secondary Frequency Control: Some advanced grid codes require PV systems to participate in long-term frequency restoration processes.
- iii.
- Power Factor RegulationMaintaining a specified power factor is crucial for efficient energy transfer and reducing losses.
- Range Specification: Grid codes typically require PV systems to operate within a defined power factor range (e.g., 0.95 lagging to 0.95 leading).
- Dynamic Adjustments: Advanced inverters allow real-time adjustment of power factor based on grid conditions.
- iv.
- Harmonic Distortion MitigationPV inverters must comply with limits on Total Harmonic Distortion (THD) to avoid adversely affecting power quality.
- Filter Design: Harmonics are minimized through the use of active and passive filters integrated into inverter systems.
- Compliance with Standards: Grid codes reference standards such as IEEE 519 or IEC 61000-3 for harmonic limits.
- v.
- Active Power CurtailmentDuring scenarios of excess generation, PV systems must have the capability to reduce their output to balance grid supply and demand.
- Automatic Curtailment: Advanced grid codes require inverters to respond automatically to signals from grid operators.
- Reserve Power: Some systems are designed to reserve a portion of their capacity for grid support during disturbances.
4.2.2. Transient Requirements
Transient requirements dictate the behavior of PV power stations during disturbances, such as grid faults or dynamic changes. These requirements ensure system stability and enable the grid to recover quickly after disruptions.
- i.
- fault ride-through (FRT)FRT capabilities allow PV systems to remain connected during voltage disturbances, preventing cascading failures.
- Low-Voltage Ride-Through (LVRT): PV systems must continue operation during voltage sags, providing reactive power to support grid recovery.
- High-Voltage Ride-Through (HVRT): During temporary voltage spikes, PV systems must avoid disconnection unless safety is compromised.
- ii.
- Dynamic Frequency SupportGrid codes increasingly require PV systems to mimic the inertia provided by traditional generators:
- Synthetic Inertia: Advanced inverters can emulate inertial responses by adjusting active power output during frequency deviations.
- Fast Frequency Response (FFR): PV systems are expected to react quickly to frequency changes, stabilizing the grid before traditional resources respond.
- iii.
- Voltage Recovery SupportAfter fault clearance, PV systems must assist in restoring grid voltage levels.
- Post-Fault Reactive Power Injection: Grid codes often mandate reactive power injection during recovery to stabilize voltages.
- Active Power Ramp-Up: PV systems must ramp up their active power output in a controlled manner to avoid additional disturbances.
- iv.
- Synchronization and Islanding DetectionPV inverters must ensure seamless synchronization with the grid during reconnection and detect islanding conditions to prevent unsafe operations.
- Phase-Locked Loops (PLLs): Used for precise synchronization with grid voltage and frequency.
- Islanding Protection: Advanced algorithms detect unintentional islanding and disconnect the PV system to ensure safety and compliance.
4.2.3. Reactive Power Support
A potential imbalance between the output power of photovoltaic systems and the demands of the load presents considerable challenges for maintaining grid stability. Reverse power flow, which happens when surplus power produced by PV systems returns to the distribution network, is one prominent issue. This phenomenon may lead to an increase in voltage on distribution feeders, which could surpass the acceptable voltage limits set by grid standards. A straightforward method for tackling voltage rise challenges involves reducing the power output of photovoltaic systems when the voltage surpasses the upper limit of normal operation. A more effective solution entails outfitting PV systems with reactive power control capabilities, allowing them to observe and manage the voltage at the point of common coupling (PCC) via reactive power exchange. Many grid codes specify particular requirements for the supply of reactive power, emphasizing the quantity of reactive power needed and the control functions essential to fulfil these requirements. The requirements, however, differ across various countries and regions, primarily focusing on adherence to power factor (PF) standards. Various control strategies have been developed and implemented to align with PF requirements, including:
- Fixed Reactive Power: Maintaining a constant reactive power output.
- Fixed Power Factor: Operating at a predetermined PF regardless of active power output.
- Q-V Droop Control: Adjusting reactive power based on voltage deviations at the POC.
These functionalities were mainly required for PV systems linked to medium-voltage networks. Nevertheless, recent grid codes have begun to broaden these requirements to encompass low-voltage networks. For example, the Danish grid code outlines that:
- Photovoltaic systems with a capacity of less than 1.5 MW are required to incorporate reactive power control functions, including fixed Q, fixed PF, and automatic PF control, which adjusts based on the active power output.
- Photovoltaic plants exceeding 1.5 MW are required to implement fixed Q, fixed PF, and Q-V droop control mechanisms.
The improved control functions enable low-voltage PV systems to engage in reactive power management, thereby substantially enhancing the capacity of distribution networks to support greater levels of PV integration. Hence, the steady-state reactive power requirements play a vital role in almost all regional grid codes, requiring PV power plants to assist in voltage regulation within power systems. The outlined requirements detail the necessary reactive power capacity that photovoltaic power stations are required to uphold in order to ensure grid voltage stability. According to the Chinese national standard GB/T 19964-2012, Section 6.1 specifies that grid-connected inverters used in photovoltaic power stations must be capable of dynamically adjusting their power factors within the range of 0.95 leading to 0.95 lagging at the rated active power output. This standard highlights the necessity for PV systems to exhibit adaptability in their reactive power output, responding dynamically to varying grid conditions. The European Network of Transmission System Operators for Electricity (ENTSO-E) standards and the German Transmission Code 2007 provide further detailed specifications for reactive power control [187]. The documents detail the adjustable range of reactive power that photovoltaic power stations are required to produce at various point of common coupling (PCC) voltage levels. For example, the German grid code outlines three optional ranges for reactive power adjustments intended for Transmission System Operators (TSOs). Grid-connected photovoltaic power stations are essential, frequently incorporating reactive power compensators to actively regulate the voltage at the grid connection point and ensure it remains within specified limits. These provisions underscore the significance of PV systems in enhancing grid stability through effective voltage control and bolstering the overall functionality of the power system. The standards highlight the significance of contemporary PV inverters and compensators in addressing the changing requirements of grid integration. The voltage regulation range in different grid codes are represented in Table 6.
Table 6.
Voltage regulation range in different grid codes [203].
In grid-connected systems, it is essential to keep voltage and frequency within acceptable limits to guarantee grid stability and the reliable functioning of equipment. Standards and grid codes define precise thresholds and trip times for conditions such as overvoltage, undervoltage, over frequency, and underfrequency to address risks associated with deviations. The significance of these requirements is especially pronounced for distributed energy resources (DERs), including photovoltaic (PV) systems and battery energy storage systems, which need to function in harmony with the grid. The parameters of maximum permissible voltage variations are represented in Table 7.
Table 7.
Maximum permissible voltage variation [203].
Voltage Magnitudes and Thresholds
- Voltage thresholds are established as the permissible operating ranges for voltage at the point of common coupling (PCC). These generally encompass constraints for nominal voltage, along with elevated and reduced thresholds that necessitate corrective measures when exceeded.
- For instance, certain standards delineate typical operating ranges of ±10% of the nominal voltage, alongside supplementary thresholds for extreme conditions that necessitate immediate disconnection or other protective measures.
Frequency Magnitudes and Thresholds
- Frequency thresholds pertain to variations from the standard grid frequency (for instance, 50 Hz or 60 Hz). The frequency ranges that are considered acceptable are typically narrow to ensure synchrony between distributed energy resources and the grid.
- Grid codes can specify “narrow” and “wide” frequency bands for standard operation and emergency situations, along with the associated requirements for DER response.
Trip Times
- The duration of trips determines the speed at which distributed energy resources must detach from the grid or react to voltage and frequency fluctuations that exceed established limits.
- A prompt response is essential to avert cascading failures, whereas a delayed disconnection is frequently advocated for minor deviations to enhance grid stability during transient events.
- For instance, regulations might mandate prompt disconnection in cases of significant overvoltage (e.g., >120% of nominal voltage) or permit prolonged operation at diminished power output during moderate underfrequency occurrences.
Voltage Magnitude and Its Significance in LV PV Systems
The magnitude of voltage is a crucial parameter in power systems, acting as an essential criterion for evaluating whether the system operates under normal conditions or faces disturbances. Ensuring that voltage levels remain within defined parameters is essential for the safe and dependable functioning of grid infrastructure and associated equipment. The primary international standards governing normal voltage operation in low-voltage (LV) networks are detailed in Table 8. The established standards define acceptable voltage ranges and incorporate permitted delay times to address minor, transient disturbances within the grid. This method guarantees that low-voltage photovoltaic systems can stay connected amidst minor voltage variations, thus avoiding unnecessary disconnections and improving grid stability. The inclusion of allowed delays enables LV PV systems to withstand short voltage fluctuations, thereby preventing frequent disconnections that might disturb system equilibrium. This feature holds considerable importance as it mitigates the risk of cascading failures, enhances the integration of distributed energy resources (DERs), and reduces downtime for interconnected systems. By following these standards, PV systems can enhance grid reliability and fulfil operational requirements more effectively [204,205,206].
Table 8.
Voltage requirements for LV PV systems [203].
The connection requirements specified in EN 50438 are presented in Table 9, which outlines the permissible grid voltage ranges. The specified measurements are presented as RMS values and pertain to various connection types: a single-phase connection of 25 A at 230 V and a three-phase grid connection of 16 A at 230/400 V. In situations involving overvoltage, particular constraints are established. The Danish Grid Code (DK GC) implements a two-stage restriction system. During the initial stage, voltage measurements are calculated as an average over a duration of 10 min, adhering to the standards outlined in EN 50160. This averaging method guarantees that temporary voltage fluctuations do not prompt an immediate disconnection, facilitating more stable grid operation and improved management of distributed energy resources.
Table 9.
Voltage requirements in EU countries [203].
In countries characterized by significant PV integration, low-voltage grid codes establish stringent voltage thresholds during standard operational scenarios. The parameters outlined in Table 10 are designed to maintain grid stability and reliability, even with the growing incorporation of distributed energy resources. It is essential that the maximum permissible voltage increase resulting from PV systems does not surpass 3%. The calculation of this voltage rise is derived from the short circuit power at the point of common coupling (PCC) alongside the apparent power of the PV system [207,208,209].
Table 10.
Voltage range for low-voltage grid systems [188,190,202].
Grid-connected photovoltaic (PV) power stations are progressively expected to enhance grid stability by addressing frequency deviations, as specified in numerous grid codes. The requirements are typically divided into three segments according to the extent of frequency deviation from the nominal base frequency. The initial segment encompasses a dead band, generally established within a frequency deviation range of ±0.2 Hz to ±0.5 Hz from the base frequency. In this range, PV power stations do not need to respond, as the system frequency stays within acceptable limits, permitting minor fluctuations without changing the power output. The second segment focuses on the over frequency range, marked by positive frequency deviations that extend beyond the dead band. In this scenario, it is necessary for PV power stations to proportionally decrease their active power output as the frequency rises. This is generally executed through droop control strategies, with various grid codes outlining distinct droop coefficients that determine the rate of power reduction. The third segment relates to the low-frequency range, in which negative frequency deviations occur beyond the dead band. In these instances, PV power stations are required to maintain their active power output at or above a designated percentage of the maximum achievable value, typically ranging from 90% to 100%. This requirement guarantees that PV systems play a role in grid stability by sustaining power generation during low-frequency occurrences. It is crucial to recognize that these frequency response requirements are mainly designed for emergency frequency support, rather than for regular primary frequency regulation, since the dead band usually surpasses the typical frequency variation range of the local power system. The parameters demonstrated in Table 11 are the different grid codes related to the frequency limits in various countries.
Table 11.
The frequency limits in different international grid codes [210,211,212,213].
In several countries, grid codes require particular frequency regulation protocols for photovoltaic power plants (PVPPs) to maintain grid stability during frequency fluctuations. In the case of over frequency events, the grid codes established in Germany, Spain, China, the USA (PREPA), Japan, Malaysia, and Romania mandate that PVPPs execute a rapid shutdown when the upper frequency limit is surpassed. Nonetheless, there are differences in the speed at which this disconnection needs to take place. For example, the grid codes established by the US North American Electric Reliability Corporation (NERC), Australia, and South Africa allow photovoltaic power plants to stay connected for a short duration of 0.16, 2, and 4 s, respectively, prior to disconnection if the frequency exceeds the upper limit. On the other hand, in situations of underfrequency where the frequency falls below acceptable thresholds, the majority of grid codes require an immediate disconnection of PVPPs to prevent additional instability. A few notable exceptions are found in the grid codes of NERC, Australia, China, and South Africa, which permit PVPPs to stay connected for a specified period prior to disconnection. This delay aims to offer essential assistance to the grid in situations of underfrequency, reducing the possibility of cascading failures and providing an opportunity for additional stability measures to be implemented. The varying methodologies highlight the regional differences in grid code requirements and their alignment with local power system characteristics.
Independent systems operating synchronously, like those found in Great Britain, Guyana, Ireland, Java–Bali (Indonesia), Lebanon, and Seychelles, frequently include extended time-limited frequency ranges within their grid codes, as demonstrated in Figure 25. The outlined provisions address the heightened frequency sensitivity typical of smaller or isolated systems, which are more susceptible to frequency excursion events because of their restricted inertia and generation capacity. The Lebanese system, having functioned under a generation deficit for decades, often faces significant underfrequency conditions. This requires generators to endure these conditions for a minimum of several seconds until the load-shedding schemes are able to respond. Lebanon possesses specific grid codes tailored for wind and solar energy, with withstand ranges for non-variable renewable energy sources potentially varying to address the system’s unique challenges. In the same way, the Java–Bali system in Indonesia encounters regular underfrequency occurrences alongside minor load shedding activities. The frequency withstand range has been broadened to enhance system stability and resilience in response to these events. In Australia, the grid code defines a specific narrow range for continuous (unlimited) operation while also incorporating extended time-limited ranges. This modification tackles the tendency of the Australian power system to undergo system splits, which may result in considerable short-term frequency fluctuations. By accommodating these deviations, the grid code seeks to improve system reliability during transient conditions. Table 12 represents grid codes and limitations of various magnitudes, thresholds, and trip times for voltage and frequency on the utility grid.
Figure 25.
Frequency ranges required in grid codes in different synchronous areas of different sizes [11].
Table 12.
Magnitudes, thresholds, and trip times for voltage and frequency [177,178,179].
4.2.4. Power Quality Requirement
Harmonic distortion denotes the deviation of voltage and current waveforms from their optimal sinusoidal forms, frequently resulting in a notable power quality concern. Harmonics in photovoltaic (PV) systems generally originate from the functioning of inverters, converters, and various power electronic devices integrated into the system. In photovoltaic power plants (PVPPs), these devices play a significant role in causing waveform distortion, which leads to elevated harmonic amplitudes in both current and voltage. This distortion leads to increased energy losses in the power grid and can result in malfunctions of grid-side protection devices, which may jeopardize the reliability of the system [214]. In response to these challenges, stringent rules have been implemented to ensure that harmonic distortion levels remain within acceptable limits at the point of common coupling (PCC). The total harmonic distortion (THD) metric is commonly used to quantify harmonic distortion, applicable to both voltage and current, as outlined in pertinent standards [215]. The ongoing integration of PV systems into power grids has led to the development of various standards aimed at regulating harmonic distortion levels. Most standards impose similar requirements; however, there are notable exceptions, such as EREC G83 and VDE-AR-N4105, which enforce more stringent limits, and are presented in Table 13. The regulations specify that the total harmonic distortion for photovoltaic integration should not exceed 3%, establishing a more stringent standard for power quality and adherence to grid requirements. These rigorous measures guarantee that PV systems can merge effortlessly with the grid, maintaining its stability and performance without negative effects [182]. The current harmonics distortion limits for PV systems, including voltage ranges between 120 V and 69 kV, 69 kV and 161 kV and above 161 kV, are presented in Table 14, Table 15, and Table 16, respectively. Furthermore, the voltage harmonics distortion limits for the PV systems are presented in Table 17.
Table 13.
Current harmonics distortion limits of the PV systems [11].
Table 14.
Current distortion limits for systems rated between 120 V and 69 kV [75].
Table 15.
Current distortion limits for systems rated between 69 kV and 161 kV [75].
Table 16.
Current distortion limits for systems rated >161 kV [75].
Table 17.
Voltage harmonics distortion limits of the PV systems [75].
4.2.5. Transient Requirements in Grid Code
Fault Ride Through (FRT)
Several countries have taken the initiative to create or revise grid codes, integrating rigorous standards for reactive power control by photovoltaic (PV) systems. This shift highlights the increasing necessity for PV plants to replicate the operational functionalities of traditional power generation systems. The revised grid codes highlight the critical need to maintain grid stability and reliability as renewable energy sources continue to grow in prevalence. Among these requirements, the capability for FRT emerges as a crucial characteristic that all grid-connected PV systems are required to fulfil. FRT allows PV systems to stay connected to the grid and offer assistance during disturbances, thus avoiding disconnections that might worsen grid instability. In the event of system disturbances, essential operating characteristics of the grid, including voltage and frequency, frequently experience considerable effects. The variations in voltage at the point of common coupling (PCC) are directly affected by the intensity and characteristics of the disturbance. The fluctuations may interfere with the standard functioning of PV systems, resulting in possible system instability if not addressed properly. To maintain grid stability, it is essential that PV systems are engineered to stay connected and operational throughout these occurrences. Current regulations require that photovoltaic systems be controlled and maintain functionality for a designated period during disturbances, in accordance with the stipulations set forth by grid operators. This functionality not only aids in preventing cascading failures but also guarantees a seamless recovery of the grid once the fault has been resolved. By following these requirements, PV systems can play a significant role in stabilizing grid parameters, including voltage and frequency, during disturbances. The capability of PV systems to withstand faults and deliver reactive power support underscores their essential function in contemporary energy systems, facilitating smooth integration with the grid and upholding operational reliability. This development in grid codes marks a crucial advancement in establishing a more robust, sustainable, and dependable electricity grid, equipped to facilitate the shift to renewable energy sources [216,217]. The generalized limits for FRT, which include LVRT and HVRT requirements, are illustrated in Figure 26.
Figure 26.
Generalized limits for FRT requirements [218].
Various categories of FRT are accessible, determined by the magnitude of voltage disturbances and the necessary system reaction. Low-voltage ride-through (LVRT) is a mechanism that maintains system functionality during voltage dips by supplying reactive power to stabilize voltage levels. This is typically necessary for medium- and low-voltage connected distributed energy resources, including photovoltaic systems and batteries. On the other hand, zero voltage ride-through (ZVRT) represents a critical scenario of LVRT, necessitating those systems to stay connected and supply reactive current during zero-voltage situations, thereby supporting grid stability and recovery. Advanced inverters and strong grid-support mechanisms are essential for ZVRT. High voltage ride-through (HVRT) addresses the management of temporary overvoltage occurrences resulting from load shedding, fault clearance, or switching operations, thereby ensuring the system remains connected to maintain grid reliability. Furthermore, dynamic voltage ride-through (DVRT) addresses dynamic voltage fluctuations, such as sags and swells, necessitating systems to adapt their reactive power injection in real-time. Lastly, FRT broadens the concept to encompass frequency disturbances, wherein systems modify their active and reactive power output to stabilize frequency deviations. The integration of these capabilities ensures that renewable energy systems play a vital role in maintaining grid stability, aligning with modern grid code requirements for reliable operation.
Low-Voltage Ride-Through (LVRT) Requirement for Distribution Grids
Grid-connected renewable energy sources, especially solar PV systems, operate in a system that follows grid voltage, ensuring synchronization with the grid through the use of phase-locked loops (PLLs) [219]. However, they typically disconnect during faults to prevent instability. In contrast, conventional power plants have adequate turbine inertia, allowing them to endure faults and maintain grid stability during disturbances [220,221]. The growing integration of renewable energy sources, particularly non-inertial solar photovoltaic systems, presents a challenge in maintaining grid stability during fault conditions. The abrupt disconnection of solar PV systems during faults can cause considerable power withdrawal from the grid, which may ultimately result in grid failure. In response to this challenge, updated grid codes require that grid-connected renewable energy sources possess fault ride-through (FRT) capabilities [222]. FRT enables RES inverters to stay connected to the grid and provide power even amidst grid faults, thereby improving system reliability. In solar PV systems, the capability for fault ride-through is attained by controlling the voltage of the DC link capacitor within the inverter. This regulation establishes equilibrium between the solar PV system and the grid, facilitating ongoing functionality. Low-voltage ride-through (LVRT) is an aimed method for fault ride-through (FRT) that facilitates the continued connection of renewable energy sources (RES) to the grid during low-voltage occurrences resulting from faults. LVRT for solar PV systems entails the provision of reactive power to the grid via the inverter’s DC link. The injection of reactive power plays a crucial role in stabilizing grid voltage, ensuring the operational reliability of the solar PV system during faults, and ultimately assisting the grid while preventing cascading failures [223].
Until recently, the requirements for low-voltage ride-through (LVRT) in grid codes were mainly focused on distributed energy resources (DER) connected at medium- or higher voltage levels. Nonetheless, the most recent iteration of grid codes now requires LVRT capabilities for all distributed energy resources, including those connected to low-voltage distribution networks. This feature is crucial as the majority of distributed energy resources at the low-voltage level are comprised of solar photovoltaic systems and other inverter-based technologies such as batteries, which can easily incorporate low-voltage ride-through functionality. Disconnecting a significant amount of these resources during undervoltage occurrences presents risks to system reliability, highlighting the critical nature of this requirement. Despite similarities, the requirements for low-voltage connections regarding LVRT vary from those applicable to medium- and high-voltage systems. For example, LVRT envelopes at the low-voltage level typically do not consider situations where residual voltage levels fall to zero. The German low-voltage grid code indicates that synchronous machines are exempt from riding through voltage dips that fall below 30% of the nominal voltage, whereas non-synchronous generation has a threshold of 15%. In 2016, the Japanese grid code for residential PV applications lowered the residual voltage threshold from 0.30 per unit to 0.20 per unit for a duration of 1 s. Furthermore, photovoltaic systems in Japan are required to regain a minimum of 80% of their power output within a timeframe of 0.2 s. A notable difference is the absence of a mandate for low-voltage distributed energy resources to offer voltage support during low-voltage ride-through events by supplying reactive or active current. The German standard stipulates that non-synchronous generation and storage units must stop injecting current when residual voltages fall below 80% of the nominal voltage. The IEEE 1547-2018 standard [224] adopts a unique perspective by treating LVRT requirements uniformly, irrespective of connection voltage levels. Instead, it enables the relevant authorities overseeing interconnection requirements—such as operators, utilities, or regulators—to choose from three established LVRT profiles that differ in their levels of strictness. This adaptability allows governing bodies to synchronize performance benchmarks with the particular distributed energy resource technology employed and the stability requirements of their electrical systems [165]. In general, LVRT requirements are represented by a voltage vs. time graph, as illustrated in Figure 27, which indicates a generalized LVRT criterion for grid-connected PV systems.
Figure 27.
Generalized limits for LVRT requirements [225].
Photovoltaic (PV) power plants must maintain continuous operation as long as the voltage at the point of common coupling (PCC) remains within the specified parameters of Area 1. However, during a fault that leads to a voltage drop at time , the operational condition of the PV system is affected by both the duration and the severity of the voltage sag. If the voltage is maintained at or above the minimum threshold defined for Area 2, the PV system is required to remain connected to the grid. This allows for the provision of additional services, including reactive power support, which aids in maintaining grid stability and assists in returning to normal operations after a fault has been resolved. The fundamental parameters governing grid stability, including the minimum and maximum voltage thresholds ( and ), as well as the maximum permissible fault duration () and recovery duration (), vary according to the grid codes established by each country. These parameters play a critical role in ensuring reliable system operation and compliance with national grid standards. The values are customized to meet the particular grid standards and operating conditions of the respective region, guaranteeing that PV systems can efficiently enhance grid resilience during disturbances. Table 18 represents the different parameters of LVRT in various countries. Also, Figure 28 illustrates the parameters of the LVRT limitations in various countries.
Table 18.
Parameters of the LVRT in various countries.
Figure 28.
LVRT requirements in various countries [225].
Zero Voltage Ride-Through (ZVRT)
Zero voltage ride-through (ZVRT) represents a significant advancement over low-voltage ride-through (LVRT), aimed at addressing the most extreme grid disturbances, particularly situations where the voltage at the point of common coupling (PCC) falls to zero [226]. In these situations, it is essential for Renewable Energy Source Power Plants (RESPP) to stay connected to the grid for a specified duration, delivering reactive current to aid in voltage recovery and stabilize the power system. ZVRT is essential for maintaining the reliability and strength of contemporary power grids, particularly as renewable energy sources become more prevalent [227]. In comparison with conventional power plants that possess considerable inertia, renewable energy systems based on inverters do not have built-in properties for stabilizing the grid. Consequently, grid codes globally have implemented zero voltage ride-through requirements to guarantee that renewable energy sources can maintain operation during significant voltage drops, thereby enhancing grid stability. The requirements for ZVRT encompass defined thresholds for voltage recovery () and the maximum duration () permitted for the system to regain stability following a fault. The parameters exhibit considerable variation among countries to address local grid characteristics and stability requirements:
- 1.
- Italy
The Italian grid code requires that RESPP must withstand faults and stay connected for a duration of up to 200 ms when the voltage at the PCC falls to zero. After the fault has been cleared, the system should remain operational without disconnection if the PCC voltage returns to a minimum of 85% of the rated value within 1.5 s. This requirement guarantees that PV systems are capable of aiding in grid recovery, thereby minimizing the potential for cascading failures [228].
- 2.
- Germany
The grid code in Germany outlines ZVRT requirements, allowing for a duration of zero voltage at the PCC for up to 150 ms. Subsequently, the voltage is required to return to a minimum of 90% of the nominal PCC voltage within a timeframe of 1.5 s. The established thresholds aim to achieve a harmonious balance between grid stability and the operational practicality of renewable energy systems. The German GC highlights a quicker and more resilient grid recovery by necessitating a higher recovery voltage than Italy [202,229,230].
- 3.
- Spain
The Spanish grid code encompasses detailed ZVRT standards, requiring that RESPP must withstand any voltage disturbance at the PCC. This encompasses disruptions resulting from three-phase faults, two-phase-to-ground faults, single-phase faults, and various other contingencies. The Spanish GC outlines specific criteria regarding the magnitude and duration of faults, ensuring that RESPP is capable of withstanding and contributing to grid stability across various fault scenarios [225,231].
- 4.
- Australia
The Australian grid code ranks as one of the most rigorous in the world. It is necessary for RESPP to maintain connectivity even if the PCC voltage, after falling to zero, stays below 80% of the nominal value for a duration of up to 450 ms. The prolonged timeframe highlights the unique requirements of the Australian grid, especially its dependence on renewable energy sources in isolated regions that have restricted grid assistance. The enhanced requirements guarantee that RESPP is equipped to manage extended disruptions and persist in aiding the grid’s restoration [218].
Significance of ZVRT Requirements
The requirements for ZVRT tackle a significant issue in contemporary power grids: the deficiency of inertia in renewable energy systems. In traditional power systems, synchronous generators equipped with substantial rotating masses contribute inertia, allowing them to stabilize the grid during faults by counteracting swift fluctuations in frequency and voltage. Renewable energy systems, especially solar PV and wind, lack inherent inertia, which renders them more vulnerable to disconnection during significant disturbances. The parameters of the ZVRT limitations in various countries are presented in Table 19.
Table 19.
Parameters of the ZVRT in various countries.
The implementation of Zero Voltage Ride-Through (ZVRT) guarantees that renewable energy systems contribute to grid stability and reliability during faults by supplying reactive power support through the injection of reactive current into the grid. This assistance ensures voltage levels remain stable and aids in the recovery process. Ensuring system connectivity amid voltage fluctuations is crucial for minimizing the potential for extensive outages. Additionally, renewable energy systems are essential for enhancing system stability by aiding the grid in returning to normal operations following fault resolution, thus guaranteeing a dependable and steady electricity supply. Figure 29 illustrates the parameters of the ZVRT limitations in various countries. This presents a comparative analysis of low-voltage ride-through (LVRT) and zero-voltage ride-through (ZVRT) requirements for grid-connected systems across different countries. In (a) illustrates the voltage recovery profiles for Germany, China, and Denmark, highlighting variations in the allowable duration of voltage dips and recovery timeframes. These requirements ensure grid stability by preventing premature disconnection of renewable energy systems during transient faults. In (b) compares ZVRT implementations in various national grid codes, including Malaysia, South Africa, Germany, Australia, the USA, Canada, Spain, and Italy, demonstrating differences in voltage restoration strategies. These regulatory frameworks play a crucial role in maintaining power system reliability and facilitating the integration of renewable energy sources.
Figure 29.
Zero voltage ride-through requirements implemented in various grid codes [225].
High-Voltage Ride-Through (HVRT)
Modern grid codes highlight the necessity for photovoltaic (PV) power plants to maintain their connection to the grid in the event of overvoltage disturbances. This is essential for mitigating significant instability resulting from voltage swells and for maintaining overall grid voltage reliability [232]. This capability, referred to as high-voltage ride-through (HVRT), serves as an alternative mechanism to low voltage ride-through (LVRT), which focuses on addressing voltage sags. Voltage sags, often resulting from faults or disturbances, are more prevalent; however, voltage swells, despite their lower frequency, can pose considerable challenges for the operation of power systems if not addressed properly. HVRT is developed to address these challenges by allowing PV systems to withstand temporary overvoltage situations without disconnecting from the grid. The HVRT requirements set up by MGCs vary considerably across nations, showcasing the differences in operational approaches, power generation capabilities, and the necessities for grid stability [233,234]. For instance, the grid codes in Australia and Spain enforce rigorous HVRT standards, mandating that PV systems endure voltage increases of up to 130% of the rated voltage at the point of common coupling (PCC) [235]. This threshold aligns with numerous international grid codes; however, certain standards establish even higher thresholds. In the United States, the PREPA (Puerto Rico Electric Power Authority) standard permits PV systems to withstand overvoltage reaching 140% of the rated voltage for a duration of 1 s. The observed differences underscore the customization of HVRT requirements to align with the unique attributes of regional power systems and grid configurations [236]. Managing voltage swells is essential for the successful integration of renewable energy sources such as photovoltaic systems into the grid. By mandating HVRT capabilities, MGCs facilitate the active contribution of PV plants to grid stability during overvoltage situations, thereby minimizing the risk of cascading failures and ensuring a dependable electricity supply. Figure 30 presents a comparative analysis of HVRT requirements among countries such as South Africa, Malaysia, Australia, the United States, Italy, Spain, and Germany, highlighting the differences in regulatory stringency. The observed variations highlight the necessity of tailoring HVRT standards to address the specific challenges and operational needs of diverse power systems. The parameters of the HVRT limitations in different countries are presented in Table 20.
Figure 30.
HVRT requirements imposed by different grid codes [237,238,239].
Table 20.
Parameters of the HVRT in various countries [240].
4.3. Frequency Support
Grid frequency deviations occur due to multiple factors, such as power generation loss, aging power generation systems, and the increasing reliance on renewable energy sources (RES) that frequently do not provide built-in grid support capabilities. Additional factors involve abrupt disruptions in renewable energy source productivity caused by significant fluctuations in solar irradiance and wind speed, along with load variability, which has consistently been a defining feature of power systems, whether traditional or modern [241,242]. The noticed deviations, characterized by fluctuations in voltage and frequency, signify an imbalance between the generation and consumption of power. To address these imbalances, grid codes specify that during over frequency conditions there is a need to decrease active power generation, whereas underfrequency conditions call for an increase in active power generation—assuming that energy reserves are accessible. Frequency support mechanisms are essential for maintaining grid stability during imbalances. An advanced approach involves Fast Frequency Support (FFS), which improves the frequency stability of inertia-less generation units during the initial seconds after a substantial power imbalance occurs. FFS is divided into inertial response (IR), primary frequency response (PFR), and secondary frequency response (SFR), with each component targeting specific phases of frequency recovery:
Inertial response (IR): It is characterized by its immediate occurrence following a frequency disturbance, where alterations in frequency directly influence the rotational speed and kinetic energy of generation units. In traditional power systems, inertia is a fundamental characteristic of synchronous generators because of their rotating masses. Nonetheless, FFS replicates this behavior in RES units by implementing controlled responses during the crucial 0.5-s interval when load-generation imbalance takes place. IR effectively constrains the rate of change of frequency (ROCOF) by harnessing the stored kinetic energy within the system.
Primary frequency response (PFR): Following an inertial response, PFR modifies active power generation via the governor action of synchronous generators to stabilize system frequency by achieving a balance between generation and consumption. This response generally engages within 5 to 30 s following the disturbance and is essential for preserving grid stability throughout the transient phase.
Secondary frequency response (SFR): Once PFR stabilizes the frequency, SFR works to restore the system frequency to its nominal value through automatic generation control (AGC). This response functions over an extended period, delivering a continuous adjustment to maintain grid stability [243,244,245].
The evaluation of FFR’s dynamic performance is conducted through three essential indices [243,246]:
- The rate of change of frequency (ROCOF): The time derivative of the system frequency (df/dt), serving to quantify the initial rate of frequency deviation that occurs after a disturbance.
- Frequency nadir: The lowest frequency value attained during the transient phase, affected by system inertia and primary frequency response [247].
- Steady-state frequency deviation: The peak frequency variation at which the system reaches stability following a notable power imbalance, defined by the quantity of PFR provided within a designated timeframe.
The time frames involved in the system frequency response and network frequency divided among various problems and stabilizing features are demonstrated in Figure 31 and Figure 32, respectively.
Figure 31.
Time frames involved in the system frequency response [243,248].
Figure 32.
Network frequency divided among problems and stabilizing features [242].
Recent advancements in grid-supporting technologies have led to the development of controllers that can offer both voltage and frequency support, exemplified by the proposal in [148]. These controllers employ adjustable gradients to manage active and reactive power flows, enabling smooth transitions between grid-feeding and grid-loading modes. The integration of innovative solutions in modern grid codes aims to improve the stability and reliability of power systems, particularly as renewable energy sources become more prevalent and grid conditions evolve dynamically.
Figure 33 illustrates the incorporation of synchronous generators alongside renewable energy sources, including photovoltaic (PV) and wind power systems, into the grid to provide frequency support. The synchronous generator establishes a connection to the grid through an electromagnetic (physical) link, imparting inherent inertia to the system. Conversely, renewable energy sources like photovoltaic and wind systems utilize a control-based grid connection to enable fast frequency response (FFR). FFR-enabled PV systems and wind turbines engage in frequency regulation by dynamically modifying their power output in reaction to frequency variations. This integration guarantees a stable and reliable grid by utilizing the synergistic advantages of conventional synchronous generation alongside the sophisticated control capabilities of renewable energy systems.
Figure 33.
Renewable energy providing frequency response [248].
4.4. Dynamic Voltage Support
The fault level serves as a crucial parameter in the functioning of power grids, significantly affecting voltage stability and the grid’s capacity to adapt to changes in power generation and demand. The sensitivity of grid voltage to variations in active and reactive power is determined, typically expressed as dV/dP and dV/dQ [249]. A low fault level, which suggests a weak grid, results in high sensitivity, meaning that even small variations in active or reactive power can lead to considerable voltage deviations. On the other hand, a high fault level, characteristic of a robust grid, leads to low sensitivity, thereby guaranteeing minimal voltage fluctuations in response to power changes. This parameter serves as a measure of the grid’s ability to maintain stability during short-circuit scenarios by enabling the injection of reactive current [250]. The capacity to maintain system stability during faults is essential for guaranteeing uninterrupted operation and preventing voltage collapses. In grids characterized by low fault levels, various challenges emerge, including instability, oscillations, and the risk of voltage collapse, particularly during fault conditions or abrupt shifts in power flow. Voltage sags, typical disturbances in weak grids, can significantly affect grid operation and equipment performance. To address this issue, it is crucial to inject extra reactive current during the sag to stabilize and maintain grid voltage [251]. The characteristics of voltage profiles during sags are affected by the severity and length of the disturbance. Studies show that, for effective voltage support, power converters need to stay connected even in extreme conditions. In the case of very deep sags, it is anticipated that converters will remain connected for a minimum of 0.15 s, a timeframe regarded as relatively short [252]. In a similar manner, during moderate voltage sags, it is essential for converters to maintain operational status for a duration of up to 2 s, which is classified as a long-duration event. This requirement guarantees that the system can withstand transient faults and achieve stabilization prior to the need for disconnection [252]. Furthermore, the relationship between reactive and active power injection is crucial for fulfilling voltage support needs. In situations of significant voltage sags, solely reactive power is introduced to maintain voltage levels, whereas in less severe sags, both active and reactive power are necessary to ensure sufficient voltage support.
Dynamic voltage support plays a crucial role during faults, necessitating that converter-based renewable energy systems (RESs) contribute to stability through the injection of reactive current. The current injection is directly proportional to the difference observed between pre-fault and faulted voltage conditions, applicable to both positive and negative sequence systems. Dynamic voltage support plays a crucial role in stabilizing the grid while enhancing several performance metrics, including current quality, DC-link voltage ripple, and the stability of instantaneous active and reactive power. The enhancements are essential for guaranteeing smooth functionality, particularly in grids that include a significant proportion of renewable energy sources. The effectiveness of dynamic voltage support is fully associated with the fault level or system strength. In weak grids characterized by low fault levels, the injection of reactive current assumes greater importance due to the system’s increased vulnerability to instability and voltage fluctuations [253]. In response to these challenges, numerous advanced approaches have been suggested in the existing literature. The strategies emphasize enhancing existing quality, minimizing DC-link voltage fluctuations, and refining the control of instantaneous active and reactive power in the event of faults. Implementing these measures is crucial for reducing the negative impacts of low fault levels and maintaining grid stability [254,255]. Hence, the fault level plays a vital role in assessing the stability and resilience of a power grid. Low fault levels pose considerable challenges, such as increased sensitivity to power fluctuations, a greater risk of instability, and problems related to voltage sags. The injection of reactive current for dynamic voltage support is crucial in addressing these challenges, especially in weak grids. Ongoing developments in converter technology and control strategies are aimed at improving the grid’s ability to endure and recover from disturbances, thereby ensuring a reliable and resilient power supply, particularly with the growing integration of renewable energy sources [255].
4.5. Dynamic Reactive Current Injection
Grid-connected PV power plants must increase their reactive current production in order to recover grid voltage more quickly during voltage drops at the point of common coupling (PCC). The implementation of this reactive current injection facilitates rapid stabilization and recovery of the voltage levels. Furthermore, grid codes implemented in countries like Spain [202] and Germany [256] require that photovoltaic power stations withdraw reactive current when faced with overvoltage conditions. The outlined requirements are essential for preserving voltage stability and guaranteeing the grid’s reliability amidst fluctuating operating conditions. The grid codes in Spain and Germany establish a “dead zone” for the voltage at the point of common coupling (PCC), generally ranging from 0.9 p.u. to 1.1 p.u., with no changes to the reactive current being necessary within this range. When the PCC voltage falls below 0.9 p.u., it is required that PV power stations inject reactive current in proportion to the voltage deviation. For example, the Chinese national standard determines that the injected reactive current (IT) must adhere to particular formulas that are determined by the PCC voltage magnitude (UT) in per unit (p.u.) and the rated output current of the PV power station [257]. The application of these formulas guarantees that the PV system reacts effectively to voltage fluctuations, aiding in the prompt recovery of grid voltage. The response time is a crucial factor in the requirements for reactive current injection, as any delays in the delivery of reactive current can worsen voltage instability. Grid codes typically outline the maximum permissible response times to guarantee timely action. The national standard in China stipulates that the response time for dynamic reactive current injection should not surpass 30 ms [257]. The German grid code establishes more rigorous standards, mandating a response time of under 20 ms. The stringent timeframes guarantee that PV systems respond promptly to voltage dips, thereby preventing extended instability [256]. The dynamic reactive current injection curves for different grid codes involved in various countries are shown in Figure 34. In Figure 34, the notation (*) in and signifies per-unit (p.u.) values, a standard approach in power system analysis to normalize quantities relative to their nominal values. This normalization facilitates a uniform comparison of reactive current injection () and voltage deviation () across different grid codes. By employing per-unit representation, it enables a consistent evaluation of grid compliance strategies across multiple countries, ensuring scalability and comparability in the analysis of voltage support and reactive power control mechanisms in renewable energy.
Figure 34.
Dynamic reactive current injection curves as established in different grid codes [225].
4.5.1. Power Factor Capabilities
Solar photovoltaic (PV) systems play a vital role in modern power grids, especially as renewable energy sources become more integrated. To maintain grid stability and reliability, solar PV systems are required to actively manage various variables, such as active power, reactive power, and power factor. The functionalities of PV systems enable them to maintain voltage levels within acceptable limits and support the specific conditions established in grid codes or standards.
4.5.2. Power Factor Requirements Across Standards
Solar PV systems are often required to function within a defined power factor range, as specified by several grid codes. Among the standards examined, nine specifically incorporate this requirement, as outlined in Table 21. The specified standards outline the acceptable ranges for power factor, generally allowing for both leading and lagging conditions, which reflect whether the PV system is providing or consuming reactive power. The thresholds for power factor differ across various standards [255]:
Table 21.
Power factor thresholds [255].
- The International Standard IEEE 929 and the Indian standard “Gazette of India: Part III—Sec.4” establish a wider range of ±0.85 for the power factor, providing greater flexibility in the operation of PV systems.
- Many other standards impose more stringent thresholds, generally within a ±0.95 range. This facilitates improved management of reactive power contributions from photovoltaic systems, thereby strengthening grid stability and reducing voltage fluctuations.
Certain standards provide additional clarification on power factor requirements, based on specific factors [255]:
- Rated Active or Apparent Power: The German standard VDE-AR-N 4105 modifies power factor requirements according to the rated capacity of the photovoltaic system. Larger systems are compelled to comply with more stringent regulations because of their considerable influence on the grid.
- Location and Commissioning Date: The Indian standard “Gazette of India: Part III—Sec.4” takes into account the geographical location of the PV system as well as the year it commenced operation, focusing on regional grid conditions and the development of technical standards over time.
4.5.3. Injection and Absorption of Reactive Power
The capability of solar PV systems to modulate reactive power in relation to active power output underscores their significance in dynamic grid operations. For example:
- The German standard BDEW requires that PV systems deliver reactive power at all active power output levels, thereby guaranteeing consistent voltage support under varying operating conditions.
- The British standards G59 and G83 stipulate that reactive power support is necessary solely when the PV system functions at its rated power. This more flexible approach streamlines the criteria for smaller systems or those with restricted reactive power capabilities.
4.5.4. Active Power Dependency and Operational Flexibility
The capability of solar PV systems to modulate reactive power in relation to active power output underscores their significance in dynamic grid operations. For example:
- In Germany, regulations permit reactive power injection at any active power level, allowing PV systems to assist the grid even when operating at partial load or in idle mode.
- In the UK, standards emphasize reactive power support solely during peak active power output. This approach simplifies operations but may restrict contributions to voltage stabilization in low-load situations.
4.5.5. Dynamic Capabilities of Solar PV Systems
The active management of power factor and reactive power output allows solar PV systems to adapt to real-time grid conditions, offering essential support for voltage and frequency stability. The significance of these capabilities becomes especially evident in grids characterized by substantial renewable energy integration, where variations in power generation and demand are notably more pronounced. By adhering to grid code requirements, PV systems can:
- Address voltage fluctuations resulting from changes in active and reactive power flows.
- Mitigate voltage fluctuations that may jeopardize grid stability or lead to disconnections.
- Improve the robustness of the grid in the face of disruptions, including faults or voltage sags.
4.5.6. Global Relevance
The incorporation of solar PV systems into power grids necessitates well-defined and uniform standards to guarantee compatibility and reliability. Although many standards provide comprehensive requirements for reactive current injection, several do not offer explicit guidance on active current injection or its limitations. For example:
- In the event of faults, the majority of grid codes permit photovoltaic systems to function with no active power output, as long as the reactive current injection criteria are satisfied. Nonetheless, as long as the nominal power of the inverters remains within limits, photovoltaic systems can persist in supplying active power to the grid, thereby enhancing stability.
- The inconsistencies in grid codes underscore the necessity for unified and thorough guidelines that encompass both reactive and active power contributions from photovoltaic systems.
Adhering to these guidelines and diligently managing their power output, solar PV systems can play a crucial role in maintaining grid stability, improving power quality, and supporting the transition to sustainable energy systems. The increasing prevalence of renewable energy sources will heighten the significance of these capabilities, necessitating advanced grid management strategies and continuous technological advancements.
4.6. Synchronization and Islanding Capabilities
Islanding in grid-connected photovoltaic (PV) systems takes place when the PV inverter persists in supplying power to local loads following disconnection from the grid. This situation can result in problems like re-tripping of the line or damage to connected equipment caused by out-of-phase reconnections, along with safety risks for utility line workers who might believe the lines are de-energized. To mitigate these risks, several standards established in requirements for anti-islanding (AI) guarantee that photovoltaic systems can swiftly identify islanding conditions and halt their operation. For instance, IEEE 1547 requires that photovoltaic systems below 10 MVA must identify and cease power generation within 2 s of islanding. Testing requires the integration of an adjustable RLC load in parallel with the inverter, followed by tuning it to achieve resonance at the grid frequency. This process ensures that both active and reactive power remain balanced until the grid current drops below 2% of the rated value. In the same way, IEC 62116 outlines similar requirements for AI, evaluating PV systems across three power levels: 100–105%, 50–66%, and 25–33% of their output capacity. The testing procedure entails adjusting reactive loads in 5% increments, ensuring a maximum trip time of 2 s. While IEC 61727 does not contain specific AI requirements, it points to IEC 62116 for further guidance. In the US, UL 1741 is consistent with IEEE 1547 regarding its AI provisions, whereas Germany’s VDE-AR-N 4105 permits compliance through various methods, including impedance measurement, disconnection detection using an RLC resonant load, or voltage monitoring. The established standards mandate that PV inverters must disconnect within a 5-s timeframe during islanding, specifically under balanced power conditions at power levels of 25%, 50%, and 100%. Reconnection and the initiation of electrical power supply are not allowed until the voltage magnitude and frequency are sustained within the limits defined by the interface protection settings for a minimum duration, as specified in Table 22. The differences in these limits across various standards can reach up to 93%.
Table 22.
Interface protection settings for a minimum duration for island capability [256].
Grid codes represent the technical standards and regulations set forth by grid operators, aimed at guaranteeing the safe, stable, and efficient functioning of power systems. For PV power stations, these grid codes outline the steady-state and transient requirements that the systems must fulfil to integrate effectively into modern grids. The requirements for steady-state conditions specified in grid codes emphasize the importance of ensuring dependable functionality during standard operational scenarios. For example, grid codes outline voltage control parameters, necessitating that PV systems implement reactive power support and voltage droop methods to maintain grid voltage stability. They outline obligations for frequency control, encompassing primary responses for swift adjustments to frequency deviations and secondary responses aimed at long-term frequency restoration. Furthermore, grid codes stipulate a defined power factor range (for instance, 0.95 lagging to 0.95 leading) to facilitate efficient energy transfer, alongside stringent restrictions on harmonic distortion, citing standards like IEEE 519 [256] and IEC 61000-3 [256] to maintain power quality. In terms of transient requirements, grid codes outline the necessary responses of PV power stations to grid disturbances. Fault ride-through (FRT) capabilities, including low-voltage ride-through (LVRT) and high-voltage ride-through (HVRT), are essential for maintaining the operational reliability of PV systems during voltage sags or spikes, thereby preventing cascading failures. Grid codes additionally encourage dynamic frequency support, necessitating sophisticated inverters to deliver synthetic inertia and rapid frequency response for grid stabilization. Voltage recovery support is an essential requirement, necessitating post-fault reactive power injection and a controlled active power ramp-up to ensure a smooth restoration of normal operating conditions. Grid codes highlight the importance of synchronization and islanding detection, crucial elements for ensuring safety and adherence to regulations. Phase-locked loops (PLLs) serve the critical function of ensuring accurate synchronization of photovoltaic systems with grid voltage and frequency. Meanwhile, sophisticated algorithms are employed to identify unintentional islanding, enabling the disconnection of the PV system to prevent potentially dangerous operations. In summary, grid codes provide a detailed framework for the integration of PV power stations into the grid. By outlining both steady-state and transient requirements, they promote grid stability, improve operational safety, and support the widespread integration of renewable energy technologies.
5. Conclusions
In conclusion, integrating renewable energy into power grids represents a crucial advancement in promoting sustainability and addressing the pressing global problems related to climate change and energy security. Renewable energy sources like solar, wind, and hydropower play a vital role in decreasing greenhouse gas emissions and facilitating a shift towards a low-carbon energy future. Nonetheless, intrinsic variability and intermittency present considerable technical and economic challenges that need to be addressed to guarantee stable and reliable grid operations. The integration of renewables into existing grid infrastructure presents a range of challenges, including voltage instability, frequency fluctuations, grid congestion, reverse power flow, and the necessity for advanced energy storage systems, underscoring the complexity of this endeavor.
The assessment of AC, DC, and smart grid frameworks highlights the importance of implementing economical, efficient, and scalable solutions to address these challenges proficiently. AC grids are prevalent in traditional power systems; however, DC grids present advantages such as lower transmission losses and improved integration with renewable energy sources. This makes them especially advantageous for long-distance power transmission and scenarios with high levels of renewable energy integration. Smart grids, bolstered by advanced technologies like artificial intelligence (AI), the Internet of Things (IoT), and blockchain, offer innovative solutions through real-time energy management, predictive maintenance, demand response optimization, and secure energy transactions. These advancements guarantee the effective functioning of renewable energy systems while also promoting their enduring scalability and robustness.
Furthermore, the integration of renewable energy systems necessitates strong regulatory frameworks and revised grid codes to address compatibility, safety, and stability challenges. Grid codes need to advance in order to establish operational standards, oversee energy flow, and enable smooth integration between renewable energy sources and conventional power systems. Regulatory bodies are essential in supervising the creation and execution of grid codes, guaranteeing alignment between international and local frameworks, and addressing specific challenges associated with solar PV and other renewable energy sources. Policies that provide support and financial incentives enhance investment in grid modernization, energy storage, and advanced technologies, paving the way for widespread adoption of renewable energy.
This study highlights the essential importance of combining technological innovations with regulatory structures to ensure successful integration of renewable energy sources. Innovations in energy storage, smart grid technologies, and supportive policies are emphasized as crucial instruments for addressing integration challenges and improving grid efficiency. However, the large-scale deployment and commissioning of solar PV integration with smart grids must consider its potential impact on the stability of the centralized energy system, particularly in countries relying on nuclear and hydroelectric power plants. The total capacity of all connected PV microgrids to the network—both collectively and individually—must be carefully regulated to prevent excessive stress on the grid and ensure system stability. Establishing upper limits on PV microgrid penetration, implementing grid balancing measures, and enhancing coordination between renewable energy sources and traditional power generation assets will be critical in maintaining a resilient, efficient, and low-carbon energy system.
Additionally, strategies such as dynamic grid management, energy forecasting, and demand-side response mechanisms should be adopted to mitigate potential disruptions. Grid modernization efforts should incorporate advanced energy storage systems, flexible transmission infrastructure, and enhanced real-time monitoring capabilities to support the seamless integration of variable renewable energy sources. Moreover, collaboration between policymakers, utility providers, and industry stakeholders is essential to develop adaptive regulatory policies that align with evolving technological advancements and grid requirements. By considering these factors comprehensively, renewable energy systems can be effectively integrated into existing grids, maximizing their potential to drive a sustainable energy transition while safeguarding grid stability and energy security.
Author Contributions
Conceptualisation, G.R., R.R. and C.C.; methodology, G.R., R.R. and C.C.; validation, G.R., R.R. and C.C.; formal analysis, G.R., R.R. and C.C.; investigation, G.R., R.R. and C.C.; resources, G.R., R.R. and C.C.; data curation, G.R., R.R. and C.C.; writing—original draft preparation, G.R., R.R. and C.C.; writing—review and editing, G.R., R.R. and C.C.; visualisation, G.R., R.R. and C.C. All authors have read and agreed to the published version of the manuscript.
Funding
Project financed by Xjenza Malta through the FUSION: R&I Research Excellence Programme.
Conflicts of Interest
The authors declare no conflict of interest.
References
- IEA. Intenational Energy Agency 2024. 2024. Available online: https://www.iea.org/reports/world-energy-outlook-2024 (accessed on 22 October 2024).
- Kroposki, B.; Martin, G. Hybrid renewable energy and microgrid research work at NREL. In Proceedings of the IEEE PES General Meeting, Minneapolis, MN, USA, 25–29 July 2010. [Google Scholar]
- Farhoodnea, M.; Mohamed, A.; Shareef, H.; Zayandehroodi, H. Power quality impacts of high-penetration electric vehicle stations and renewable energy-based generators on power distribution systems. Measurement 2013, 46, 2423–2434. [Google Scholar]
- Babu, N. Adaptive grid-connected inverter control schemes for power quality enrichment in microgrid systems: Past, present, and future perspectives. Electr. Power Syst. Res. 2024, 230, 110288. [Google Scholar]
- Badwawi, R.A.; Abusara, M.; Mallick, T. A review of hybrid solar PV and wind energy system. Smart Sci. 2015, 3, 127–138. [Google Scholar]
- Oyekale, J.; Petrollese, M.; Tola, V.; Cau, G. Impacts of Renewable Energy Resources on Effectiveness of Grid-Integrated Systems: Succinct Review of Current Challenges and Potential Solution Strategies. Energies 2020, 13, 4856. [Google Scholar] [CrossRef]
- Kjaer, S.B.; Pedersen, J.K.; Blaabjerg, F. A review of single-phase grid-connected inverters for photovoltaic modules. IEEE Trans. Ind. Appl. 2005, 41, 1292–1306. [Google Scholar]
- Villalva, M.G.; Siqueira, T.G.d.; Ruppert, E. Voltage regulation of photovoltaic arrays: Small-signal analysis and control design. IET Power Electron. 2010, 3, 869–880. [Google Scholar] [CrossRef]
- Dogga, R.; Pathak, M. Recent trends in solar PV inverter topologies. Sol. Energy 2019, 183, 57–73. [Google Scholar]
- Xiao, H. Overview of transformerless photovoltaic grid-connected inverters. IEEE Trans. Power Electron. 2020, 36, 533–548. [Google Scholar]
- International Renewable Energy Agency IRENA. Renewable Capacity Statistics 2022; International Renewable Energy Agency IRENA: Abu Dhabi, United Arab Emirates, 2022. [Google Scholar]
- Alami, A.H.; Rabaia, M.K.H.; Sayed, E.T.; Ramadan, M.; Abdelkareem, M.A.; Alasad, S.; Olabi, A.-G. Management of potential challenges of PV technology proliferation. Sustain. Energy Technol. Assess. 2022, 51, 101942. [Google Scholar]
- Gupta, V.; Sharma, M.; Pachauri, R.K.; Babu, K.D. Comprehensive review on effect of dust on solar photovoltaic system and mitigation techniques. Sol. Energy 2019, 191, 596–622. [Google Scholar]
- Darwish, Z.A.; Kazem, H.A.; Sopian, K.; Al-Goul, M.; Alawadhi, H. Effect of dust pollutant type on photovoltaic performance. Renew. Sustain. Energy Rev. 2015, 41, 735–744. [Google Scholar]
- Costa, S.C.; Diniz, A.S.A.; Kazmerski, L.L. Dust and soiling issues and impacts relating to solar energy systems: Literature review update for 2012–2015. Renew. Sustain. Energy Rev. 2016, 63, 33–61. [Google Scholar]
- Hasanuzzaman, M.; Malek, A.; Islam, M.; Pandey, A.; Rahim, N. Global advancement of cooling technologies for PV systems: A review. Sol. Energy 2016, 137, 25–45. [Google Scholar]
- Reddy, S.R.; Ebadian, M.A.; Lin, C.-X. A review of PV–T systems: Thermal management and efficiency with single phase cooling. Int. J. Heat Mass Transf. 2015, 91, 861–871. [Google Scholar]
- Fang, S.; Wang, Y.; Gou, B.; Xu, Y. Toward Future Green Maritime Transportation: An Overview of Seaport Microgrids and All-Electric Ships. IEEE Trans. Veh. Technol. 2020, 69, 207–219. [Google Scholar] [CrossRef]
- Scolaro, E.; Beligoj, M.; Estevez, M.P.; Alberti, L.; Renzi, M.; Mattetti, M. Electrification of Agricultural Machinery: A Review. IEEE Access 2021, 9, 164520–164541. [Google Scholar] [CrossRef]
- Jones, R.; Haley, B.; Kwok, G.; Hargreaves, J.; Williams, J. Electrification and the Future of Electricity Markets: Transitioning to a Low-Carbon Energy System. IEEE Power Energy Mag. 2018, 16, 79–89. [Google Scholar] [CrossRef]
- Deng, B.; Wang, Z. Research on electric-vehicle charging station technologies based on smart grid. In Proceedings of the Asia-Pacific Power and Energy Engineering Conference, Wuhan, China, 25–28 March 2011. [Google Scholar]
- Xie, F.; Huang, M.; Zhang, W.; Li, J. Research on electric vehicle charging station load forecasting. In Proceedings of the 2011 International Conference on Advanced Power System Automation and Protection, Beijing, China, 16–20 October 2011. [Google Scholar]
- Shen, X.; Zhao, H.; Xiang, Y.; Lan, P.; Liu, J. Short-term electric vehicles charging load forecasting based on deep learning in low-quality data environments. Electr. Power Syst. Res. 2022, 212, 108247. [Google Scholar] [CrossRef]
- Khan, F.N.U.; Rasul, M.G.; Sayem, A.; Mandal, N.K. Design and optimization of lithium-ion battery as an efficient energy storage device for electric vehicles: A comprehensive review. J. Energy Storage 2023, 71, 108033. [Google Scholar]
- Liu, X.; Bie, Z. Optimal allocation planning for public EV charging station considering AC and DC integrated chargers. Energy Procedia 2019, 159, 382–387. [Google Scholar]
- Campaña, M.; Inga, E. Optimal Planning of Electric Vehicle Charging Stations Considering Traffic Load for Smart Cities. World Electr. Veh. J. 2023, 14, 104. [Google Scholar] [CrossRef]
- Bajaj, M.; Singh, A.K. Grid integrated renewable DG systems: A review of power quality challenges and state-of-the-art mitigation techniques. Int. J. Energy Res. 2020, 44, 26–69. [Google Scholar]
- Hossain, E.; Tür, M.R.; Padmanaban, S.; Ay, S.; Khan, I. Analysis and mitigation of power quality issues in distributed generation systems using custom power devices. IEEE Access 2018, 6, 16816–16833. [Google Scholar]
- Mahela, O.P.; Shaik, A.G. A review of distribution static compensator. Renew. Sustain. Energy Rev. 2015, 50, 531–546. [Google Scholar]
- Akagi, H. Active harmonic filters. Proc. IEEE 2005, 93, 2128–2141. [Google Scholar]
- Sreenivasarao, D.; Agarwal, P.; Das, B. Neutral current compensation in three-phase, four-wire systems: A review. Electr. Power Syst. Res. 2012, 86, 170–180. [Google Scholar]
- Ulbig, A.; Borsche, T.S.; Andersson, G. Impact of low rotational inertia on power system stability and operation. IFAC Proc. Vol. 2014, 47, 7290–7297. [Google Scholar]
- Jiang, Y.; Pates, R.; Mallada, E. Performance tradeoffs of dynamically controlled grid-connected inverters in low inertia power systems. In Proceedings of the 2017 IEEE 56th Annual Conference on Decision and Control (CDC), Melbourne, Australia, 12–15 December 2017. [Google Scholar]
- Nwaigwe, K.; Mutabilwa, P.; Dintwa, E. An overview of solar power (PV systems) integration into electricity grids. Mater. Sci. Energy Technol. 2019, 2, 629–633. [Google Scholar]
- Tran, V.T.; Islam, M.R.; Sutanto, D.; Muttaqi, K.M. Mitigation of solar PV intermittency using ramp-rate control of energy buffer unit. IEEE Trans. Energy Convers. 2018, 34, 435–445. [Google Scholar]
- Batalla-Bejerano, J.; Trujillo-Baute, E. Impacts of intermittent renewable generation on electricity system costs. Energy Policy 2016, 94, 411–420. [Google Scholar]
- Kaewnukultorn, T.; Sepúlveda-Mora, S.B.; Hegedus, S. The impacts of DC/AC ratio, battery dispatch, and degradation on financial evaluation of bifacial PV+BESS systems. Renew. Energy 2024, 236, 121402. [Google Scholar] [CrossRef]
- Tan, K.M.; Babu, T.S.; Ramachandaramurthy, V.K.; Kasinathan, P.; Solanki, S.G.; Raveendran, S.K. Empowering smart grid: A comprehensive review of energy storage technology and application with renewable energy integration. J. Energy Storage 2021, 39, 102591. [Google Scholar]
- Mitali, J.; Dhinakaran, S.; Mohamad, A. Energy storage systems: A review. Energy Storage Sav. 2022, 1, 166–216. [Google Scholar]
- Hannan, M.A.; Wali, S.; Ker, P.J.; Abd Rahman, M.S.; Mansor, M.; Ramachandaramurthy, V.; Muttaqi, K.; Mahlia, T.M.I.; Dong, Z.Y. Battery energy-storage system: A review of technologies, optimization objectives, constraints, approaches, and outstanding issues. J. Energy Storage 2021, 42, 103023. [Google Scholar]
- Nadeem, F.; Hussain, S.S.; Tiwari, P.K.; Goswami, A.K.; Ustun, T.S. Comparative review of energy storage systems, their roles, and impacts on future power systems. IEEE Access 2018, 7, 4555–4585. [Google Scholar]
- Niaz, S.; Manzoor, T.; Pandith, A.H. Hydrogen storage: Materials, methods and perspectives. Renew. Sustain. Energy Rev. 2015, 50, 457–469. [Google Scholar] [CrossRef]
- Zhong, C.; Zhou, Y.; Yan, G. A Novel Frequency Regulation Strategy for a PV System Based on the Curtailment Power-Current Curve Tracking Algorithm. IEEE Access 2020, 8, 77701–77715. [Google Scholar] [CrossRef]
- Deguenon, L.; Yamegueu, D.; Moussa kadri, S.; Gomna, A. Overcoming the challenges of integrating variable renewable energy to the grid: A comprehensive review of electrochemical battery storage systems. J. Power Sources 2023, 580, 233343. [Google Scholar] [CrossRef]
- Guarino, F.; Cassarà, P.; Longo, S.; Cellura, M.; Ferro, E. Load match optimisation of a residential building case study: A cross-entropy based electricity storage sizing algorithm. Appl. Energy 2015, 154, 380–391. [Google Scholar]
- Singaravel, M.R.; Daniel, S.A. Studies on battery storage requirement of PV fed wind-driven induction generators. Energy Convers. Manag. 2013, 67, 34–43. [Google Scholar]
- ur Rehman, H.; Reda, F.; Paiho, S.; Hasan, A. Towards positive energy communities at high latitudes. Energy Convers. Manag. 2019, 196, 175–195. [Google Scholar] [CrossRef]
- Syed, M.M.; Hansen, P.; Morrison, G.M. Performance of a shared solar and battery storage system in an Australian apartment building. Energy Build. 2020, 225, 110321. [Google Scholar] [CrossRef]
- Kalghatgi, G. Is it really the end of internal combustion engines and petroleum in transport? Appl. Energy 2018, 225, 965–974. [Google Scholar] [CrossRef]
- Bhatt, A.; Ongsakul, W. Optimal techno-economic feasibility study of net-zero carbon emission microgrid integrating second-life battery energy storage system. Energy Convers. Manag. 2022, 266, 115825. [Google Scholar] [CrossRef]
- Kabalci, E. A smart monitoring infrastructure design for distributed renewable energy systems. Energy Convers. Manag. 2015, 90, 336–346. [Google Scholar] [CrossRef]
- Kabalci, E.; Kabalci, Y. A wireless metering and monitoring system for solar string inverters. Int. J. Electr. Power Energy Syst. 2018, 96, 282–295. [Google Scholar] [CrossRef]
- Kabalci, Y.; Kabalci, E. Modeling and analysis of a smart grid monitoring system for renewable energy sources. Sol. Energy 2017, 153, 262–275. [Google Scholar] [CrossRef]
- Bughneda, A.; Salem, M.; Richelli, A.; Ishak, D.; Alatai, S. Review of Multilevel Inverters for PV Energy System Applications. Energies 2021, 14, 1585. [Google Scholar] [CrossRef]
- Zeb, K.; Khan, I.; Uddin, W.; Khan, M.A.; Sathishkumar, P.; Busarello, T.D.C.; Ahmad, I.; Kim, H.J. A Review on Recent Advances and Future Trends of Transformerless Inverter Structures for Single-Phase Grid-Connected Photovoltaic Systems. Energies 2018, 11, 1968. [Google Scholar] [CrossRef]
- Boscaino, V.; Ditta, V.; Marsala, G.; Panzavecchia, N.; Tine, G.; Cosentino, V.; Cataliotti, A.; Di Cara, D. Grid-connected photovoltaic inverters: Grid codes, topologies and control techniques. Renew. Sustain. Energy Rev. 2024, 189, 113903. [Google Scholar] [CrossRef]
- Kuyper, J.; Schroeder, H.; Linnér, B.-O. The Evolution of the UNFCCC. Annu. Rev. Environ. Resour. 2018, 43, 343–368. [Google Scholar] [CrossRef]
- Savaresi, A. The Paris Agreement: A new beginning? J. Energy Nat. Resour. Law 2016, 34, 16–26. [Google Scholar]
- Haghighi, R.; Yektamoghadam, H.; Dehghani, M.; Nikoofard, A. Generation expansion planning using game theory approach to reduce carbon emission: A case study of Iran. Comput. Ind. Eng. 2021, 162, 107713. [Google Scholar] [CrossRef]
- Jalalzad, S.H.; Yektamoghadam, H.; Haghighi, R.; Dehghani, M.; Nikoofard, A.; Khosravy, M.; Senjyu, T. A game theory approach using the TLBO algorithm for generation expansion planning by applying carbon curtailment policy. Energies 2022, 15, 1172. [Google Scholar] [CrossRef]
- Schiochet, A.F.; Duailibe Monteiro, P.R.; Borges, T.T.; Passos Filho, J.A.; de Oliveira, J.G. Photovoltaic Power Intermittency Mitigating with Battery Storage Using Improved WEEC Generic Models. Energies 2024, 17, 5166. [Google Scholar] [CrossRef]
- Brown, M.A.; Zhou, S. Smart-grid policies: An international review. In Advances in Energy Systems: The Large-Scale Renewable Energy Integration Challenge; John Wiley & Sons: Hoboken, NJ, USA, 2019; pp. 127–147. [Google Scholar]
- Zame, K.K.; Brehm, C.A.; Nitica, A.T.; Richard, C.L.; Schweitzer Iii, G.D. Smart grid and energy storage: Policy recommendations. Renew. Sustain. Energy Rev. 2018, 82, 1646–1654. [Google Scholar] [CrossRef]
- Hledik, R. How green is the smart grid? Electr. J. 2009, 22, 29–41. [Google Scholar] [CrossRef]
- Kalkal, P.; Garg, V.K. Transition from conventional to modern grids: Modern grid include microgrid and smartgrid. In Proceedings of the 2017 4th International Conference on Signal Processing, Computing and Control (ISPCC), Solan, India, 21–23 September 2017. [Google Scholar]
- Che, L.; Zhang, X.; Shahidehpour, M.; Alabdulwahab, A.; Al-Turki, Y. Optimal planning of loop-based microgrid topology. IEEE Trans. Smart Grid 2016, 8, 1771–1781. [Google Scholar] [CrossRef]
- Mohamad, F.; Teh, J. Impacts of energy storage system on power system reliability: A systematic review. Energies 2018, 11, 1749. [Google Scholar] [CrossRef]
- Li, C.; Chen, D.; Li, Y.; Li, F.; Li, R.; Wu, Q.; Liu, X.; Wei, J.; He, S.; Zhou, B. Exploring the interaction between renewables and energy storage for zero-carbon electricity systems. Energy 2022, 261, 125247. [Google Scholar] [CrossRef]
- Awadallah, S.K.E.; Milanović, J.V.; Jarman, P.N. The Influence of Modeling Transformer Age Related Failures on System Reliability. IEEE Trans. Power Syst. 2015, 30, 970–979. [Google Scholar] [CrossRef]
- Chacko, R.; Eapen, R.R.; Lakaparampil, Z.V.; Thomas, J. Techno-economic analysis of low voltage DC (LVDC) for Net Zero Energy (NZE) realisation in buildings with lead acid battery storage: Tropical monsoon climate. J. Energy Storage 2023, 70, 107794. [Google Scholar] [CrossRef]
- Gao, F.; Kang, R.; Cao, J.; Yang, T. Primary and secondary control in DC microgrids: A review. J. Mod. Power Syst. Clean Energy 2019, 7, 227–242. [Google Scholar] [CrossRef]
- Alam, M.S.; Hossain, M.A.; Shafiullah, M.; Islam, A.; Choudhury, M.S.H.; Faruque, M.O.; Abido, M.A. Renewable energy integration with DC microgrids: Challenges and opportunities. Electr. Power Syst. Res. 2024, 234, 110548. [Google Scholar] [CrossRef]
- Jin, A.J.; Peng, W. Chapter 6—Development Partnership of Renewable Energies Technology and Smart Grid in China. In Sustainable Cities and Communities Design Handbook, 2nd ed.; Clark, W.W., Ed.; Butterworth-Heinemann: Oxford, UK, 2018; pp. 111–128. [Google Scholar]
- Tuballa, M.L.; Abundo, M.L. A review of the development of Smart Grid technologies. Renew. Sustain. Energy Rev. 2016, 59, 710–725. [Google Scholar] [CrossRef]
- International Renewable Energy Agency IRENA. Renewable Power Generation Costs in 2023; International Renewable Energy Agency IRENA: Abu Dhabi, United Arab Emirates, 2023. [Google Scholar]
- Review, W.P. Cost of Electricity by Country 2025. Available online: https://worldpopulationreview.com/country-rankings/cost-of-electricity-by-country (accessed on 17 March 2025).
- Wang, J.; Zhang, G.; Song, Z.; Geng, Y. Internet of things, big data, intelligent electrical apparatus-the future development of power equipment. High Volt. Appar. 2018, 54, 19. [Google Scholar]
- Zhang, D.; Miao, X.; Liu, L.; Zhang, Y.; Liu, K. Research on development strategy for smart grid big data. Proc. CSEE 2015, 35, 2–12. [Google Scholar]
- Schroeder, G.N.; Steinmetz, C.; Pereira, C.E.; Espindola, D.B. Digital Twin Data Modeling with AutomationML and a Communication Methodology for Data Exchange. IFAC-PapersOnLine 2016, 49, 12–17. [Google Scholar] [CrossRef]
- Zhou, Y.; Wu, C.; Sun, J.; Liu, F.; Li, H. Function model construction method based on digital twin for intelligent products. Comput. Integr. Manuf. Syst. 2019, 25, 1392–1404. [Google Scholar]
- Carrión, E.; Pastor, Ó.; Valderas, P. Conceptual Modelling Method for Digital Twins. In Conceptual Modeling, Proceedings of the 43rd International Conference, ER 2024, Pittsburgh, PA, USA, 28–31 October 2024; Springer: Pittsburg, PA, USA, 2024; pp. 417–435. [Google Scholar]
- DigitalTwin. GE Digital. 2019. Available online: https://www.ge.com/digital/applications/digital-twin (accessed on 20 December 2024).
- Digital-Twin. Siemens, Siemens Digital Industries Software. 2019. Available online: https://www.sw.siemens.com/en-US/technology/digital-twin/ (accessed on 28 December 2024).
- Josifovska, K.; Yigitbas, E.; Engels, G. Reference Framework for Digital Twins within Cyber-Physical Systems. In Proceedings of the 2019 IEEE/ACM 5th International Workshop on Software Engineering for Smart Cyber-Physical Systems (SEsCPS), Montréal, QC, Canada, 28–28 May 2019. [Google Scholar]
- Gehrmann, C.; Gunnarsson, M. A Digital Twin Based Industrial Automation and Control System Security Architecture. IEEE Trans. Ind. Inform. 2020, 16, 669–680. [Google Scholar] [CrossRef]
- Alam, K.M.; Saddik, A.E. C2PS: A Digital Twin Architecture Reference Model for the Cloud-Based Cyber-Physical Systems. IEEE Access 2017, 5, 2050–2062. [Google Scholar] [CrossRef]
- Xu, G.; Yu, W.; Griffith, D.; Golmie, N.; Moulema, P. Toward Integrating Distributed Energy Resources and Storage Devices in Smart Grid. IEEE Internet Things J. 2017, 4, 192–204. [Google Scholar] [CrossRef]
- Vanfretti, L.; Arava, V.S.N. Decision tree-based classification of multiple operating conditions for power system voltage stability assessment. Int. J. Electr. Power Energy Syst. 2020, 123, 106251. [Google Scholar] [CrossRef]
- Samuel, O.; Alzahrani, F.A.; Hussen Khan, R.J.U.; Farooq, H.; Shafiq, M.; Afzal, M.K.; Javaid, N. Towards Modified Entropy Mutual Information Feature Selection to Forecast Medium-Term Load Using a Deep Learning Model in Smart Homes. Entropy 2020, 22, 68. [Google Scholar] [CrossRef] [PubMed]
- Mocanu, E.; Nguyen, P.H.; Gibescu, M.; Larsen, E.M.; Pinson, P. Demand forecasting at low aggregation levels using Factored Conditional Restricted Boltzmann Machine. In Proceedings of the 2016 Power Systems Computation Conference (PSCC), Genoa, Italy, 20–24 June 2016. [Google Scholar]
- Ginzburg-Ganz, E.; Segev, I.; Balabanov, A.; Segev, E.; Kaully Naveh, S.; Machlev, R.; Belikov, J.; Katzir, L.; Keren, S.; Levron, Y. Reinforcement Learning Model-Based and Model-Free Paradigms for Optimal Control Problems in Power Systems: Comprehensive Review and Future Directions. Energies 2024, 17, 5307. [Google Scholar] [CrossRef]
- Maresch, K.; Marchesan, G.; Cardoso, G. A logistic regression approach for improved safety of the under-frequency load shedding scheme owing to feeder machine inertia. Electr. Power Syst. Res. 2023, 218, 109189. [Google Scholar] [CrossRef]
- Chen, Y.; Tan, P.; Li, M.; Yin, H.; Tang, R. K-means clustering method based on nearest-neighbor density matrix for customer electricity behavior analysis. Int. J. Electr. Power Energy Syst. 2024, 161, 110165. [Google Scholar] [CrossRef]
- Shabanpour-Haghighi, A.; Seifi, A.R.; Niknam, T. A modified teaching–learning based optimization for multi-objective optimal power flow problem. Energy Convers. Manag. 2014, 77, 597–607. [Google Scholar] [CrossRef]
- Song, S.; Jung, Y.; Jang, G.; Jung, S. Proximal policy optimization through a deep reinforcement learning framework for remedial action schemes of VSC-HVDC. Int. J. Electr. Power Energy Syst. 2023, 150, 109117. [Google Scholar] [CrossRef]
- Venkata, P.; Pandya, V.; Vala, K.; Sant, A.V. Support vector machine for fast fault detection and classification in modern power systems using quarter cycle data. Energy Rep. 2022, 8, 92–98. [Google Scholar] [CrossRef]
- Yu, W.; Sheblé, G.B. Modeling electricity markets with hidden Markov model. Electr. Power Syst. Res. 2006, 76, 445–451. [Google Scholar] [CrossRef]
- Lara-Benítez, P.; Carranza-García, M.; Luna-Romera, J.M.; Riquelme, J.C. Temporal Convolutional Networks Applied to Energy-Related Time Series Forecasting. Appl. Sci. 2020, 10, 2322. [Google Scholar] [CrossRef]
- Zhang, C.; Hoes, P.-J.; Wang, S.; Zhao, Y. Intrinsically interpretable machine learning-based building energy load prediction method with high accuracy and strong interpretability. Energy Built Environ. 2024. [Google Scholar] [CrossRef]
- Joyokusumo, I.; Fatchurrahman, R.; Putra, H.; Maulana, R. Performance Evaluation of Naïve-Bayes Classifier in Predicting the Energy Not Served (ENS) Class of Electric Power Distribution System. In Proceedings of the 2020 International Conference on Technology and Policy in Energy and Electric Power (ICT-PEP), Bandung, Indonesia, 23–24 September 2020. [Google Scholar]
- Sinha, A.K.; Kranthi Kiran, C. Power system fault detection classification based on PCA and PNN. In Proceedings of the 2011 International Conference on Emerging Trends in Electrical and Computer Technology, Nagercoil, India, 23–24 March 2011. [Google Scholar]
- Abbass, M.J.; Lis, R.; Rebizant, W. A Predictive Model Using Long Short-Time Memory (LSTM) Technique for Power System Voltage Stability. Appl. Sci. 2024, 14, 7279. [Google Scholar] [CrossRef]
- Gangwar, A.K.; Shaik, A.G. k-Nearest neighbour based approach for the protection of distribution network with renewable energy integration. Electr. Power Syst. Res. 2023, 220, 109301. [Google Scholar] [CrossRef]
- Kunac, A.; Sarajcev, P. Ensemble Learning Approach to Power System Transient Stability Assessment. In Proceedings of the 2020 5th International Conference on Smart and Sustainable Technologies (SpliTech), Split, Croatia, 23–26 September 2020. [Google Scholar]
- Zhang, B.; Hou, K.; Dong, Z.; Liu, Z.; Wang, X. Stacked-denoising-auto-encoder-based reliability assessment method for power system operation. Energy Rep. 2023, 9, 505–511. [Google Scholar] [CrossRef]
- Das, O.; Zafar, M.H.; Sanfilippo, F.; Rudra, S.; Kolhe, M.L. Advancements in digital twin technology and machine learning for energy systems: A comprehensive review of applications in smart grids, renewable energy, and electric vehicle optimisation. Energy Convers. Manag. X 2024, 24, 100715. [Google Scholar] [CrossRef]
- Das, U.K.; Tey, K.S.; Seyedmahmoudian, M.; Mekhilef, S.; Idris, M.Y.I.; Van Deventer, W.; Horan, B.; Stojcevski, A. Forecasting of photovoltaic power generation and model optimization: A review. Renew. Sustain. Energy Rev. 2018, 81, 912–928. [Google Scholar] [CrossRef]
- Yao, X.; Yi, B.; Yu, Y.; Fan, Y.; Zhu, L. Economic analysis of grid integration of variable solar and wind power with conventional power system. Appl. Energy 2020, 264, 114706. [Google Scholar] [CrossRef]
- Bollen, M.; Moreno-Munoz, A. The power grid as part of a 100% renewable energy system. Large Scale Grid Integr. Renew. Energy Sources 2017, 1–27. [Google Scholar] [CrossRef]
- Karimi, E.; Kazerani, M. Impact of demand response management on improving social welfare of remote communities through integrating renewable energy resources. In Proceedings of the 2017 IEEE 30th Canadian Conference on Electrical and Computer Engineering (CCECE), Windsor, ON, Canada, 30 April 30–3 May 2017. [Google Scholar]
- Chatuanramtharnghaka, B.; Deb, S.; Singh, K.R.; Ustun, T.S.; Kalam, A. Reviewing Demand Response for Energy Management with Consideration of Renewable Energy Sources and Electric Vehicles. World Electr. Veh. J. 2024, 15, 412. [Google Scholar] [CrossRef]
- Coddington, M.; Miller, M.; Katz, J. Grid-Integrated Distributed Solar: Addressing Challenges for Operations and Planning, Greening the Grid; National Renewable Energy Lab. (NREL): Golden, CO, USA, 2016. [Google Scholar]
- How Solar Pannel Works. 2015. Available online: https://www.ucsusa.org/resources/how-solar-panels-work#.WrJAN3tuJZQ (accessed on 10 January 2025).
- Lei, M.; Yang, Z.; Wang, Y.; Xu, H.; Meng, L.; Vasquez, J.C.; Guerrero, J.M. An MPC-Based ESS Control Method for PV Power Smoothing Applications. IEEE Trans. Power Electron. 2018, 33, 2136–2144. [Google Scholar] [CrossRef]
- Van Haaren, R. Utility Scale Photovoltaic Plant Variability Studies and Energy Storage Optimization for Ramp Rate Control; Columbia University: New York, NY, USA, 2014. [Google Scholar]
- Makibar, A.; Narvarte, L.; Lorenzo, E. On the relation between battery size and PV power ramp rate limitation. Sol. Energy 2017, 142, 182–193. [Google Scholar] [CrossRef]
- Wenham, S.R.; Green, M.A.; Watt, M.E.; Corkish, R.; Sproul, A. Applied Photovoltaics; Routledge: London, UK, 2013. [Google Scholar] [CrossRef]
- Hoke, A.; Nelson, A.; Miller, B.; Chakraborty, S.; Bell, F.; McCarty, M. Experimental Evaluation of PV Inverter Anti-Islanding with Grid Support Functions in Multi-Inverter Island Scenarios; National Renewable Energy Lab. (NREL): Golden, CO, USA, 2016.
- Al-Subhi, A. Parameters estimation of photovoltaic cells using simple and efficient mathematical models. Sol. Energy 2020, 209, 245–257. [Google Scholar] [CrossRef]
- Shafiullah, M.; Haque, M.E.; Al-Ismail, F.S.; Islam, A.; Alam, M.S.; Ali, A.; Rahman, S.M. Backtracking Search Algorithm for PV Module Electrical Parameter Estimation. In Proceedings of the 2021 1st International Conference on Artificial Intelligence and Data Analytics (CAIDA), Riyadh, Saudi Arabia, 6–7 April 2021. [Google Scholar]
- Yousri, D.; Shaker, Y.; Mirjalili, S.; Allam, D. An efficient photovoltaic modeling using an Adaptive Fractional-order Archimedes Optimization Algorithm: Validation with partial shading conditions. Sol. Energy 2022, 236, 26–50. [Google Scholar] [CrossRef]
- Zhang, F.; Wang, X.; Wu, M.; Hou, X.; Han, C.; Liu, Z. Optimization design of uncertain parameters for improving the stability of photovoltaic system. J. Power Sources 2022, 521, 230959. [Google Scholar] [CrossRef]
- Santbergen, R.; Muthukumar, V.A.; Valckenborg, R.M.E.; van de Wall, W.J.A.; Smets, A.H.M.; Zeman, M. Calculation of irradiance distribution on PV modules by combining sky and sensitivity maps. Sol. Energy 2017, 150, 49–54. [Google Scholar] [CrossRef]
- Mondol, J.D.; Yohanis, Y.G.; Norton, B. The impact of array inclination and orientation on the performance of a grid-connected photovoltaic system. Renew. Energy 2007, 32, 118–140. [Google Scholar] [CrossRef]
- Bright, J.M.; Babacan, O.; Kleissl, J.; Taylor, P.G.; Crook, R. A synthetic, spatially decorrelating solar irradiance generator and application to a LV grid model with high PV penetration. Sol. Energy 2017, 147, 83–98. [Google Scholar] [CrossRef]
- Prema, V.; Rao, K.U. Development of statistical time series models for solar power prediction. Renew. Energy 2015, 83, 100–109. [Google Scholar] [CrossRef]
- Fouad, M.M.; Shihata, L.A.; Morgan, E.I. An integrated review of factors influencing the perfomance of photovoltaic panels. Renew. Sustain. Energy Rev. 2017, 80, 1499–1511. [Google Scholar] [CrossRef]
- Coskun, C.; Toygar, U.; Sarpdag, O.; Oktay, Z. Sensitivity analysis of implicit correlations for photovoltaic module temperature: A review. J. Clean. Prod. 2017, 164, 1474–1485. [Google Scholar] [CrossRef]
- Rahman, M.M.; Hasanuzzaman, M.; Rahim, N.A. Effects of operational conditions on the energy efficiency of photovoltaic modules operating in Malaysia. J. Clean. Prod. 2017, 143, 912–924. [Google Scholar] [CrossRef]
- Wang, F.; Xuan, Z.; Zhen, Z.; Li, Y.; Li, K.; Zhao, L.; Shafie-khah, M.; Catalão, J.P.S. A minutely solar irradiance forecasting method based on real-time sky image-irradiance mapping model. Energy Convers. Manag. 2020, 220, 113075. [Google Scholar] [CrossRef]
- Katkar, A.; Shinde, N.; Patil, P. Performance & evaluation of industrial solar cell wrt temperature and humidity. Int. J. Res. Mech. Eng. Technol. 2011, 1, 69–73. [Google Scholar]
- Meyer, E.L.; Dyk, E.E.v. Assessing the reliability and degradation of photovoltaic module performance parameters. IEEE Trans. Reliab. 2004, 53, 83–92. [Google Scholar] [CrossRef]
- Said, S.A.M.; Al-Aqeeli, N.; Walwil, H.M. The potential of using textured and anti-reflective coated glasses in minimizing dust fouling. Sol. Energy 2015, 113, 295–302. [Google Scholar] [CrossRef]
- Jathar, L.D.; Ganesan, S.; Awasarmol, U.; Nikam, K.; Shahapurkar, K.; Soudagar, M.E.M.; Fayaz, H.; El-Shafay, A.S.; Kalam, M.A.; Bouadila, S.; et al. Comprehensive review of environmental factors influencing the performance of photovoltaic panels: Concern over emissions at various phases throughout the lifecycle. Environ. Pollut. 2023, 326, 121474. [Google Scholar] [CrossRef]
- Ghazi, S.; Ip, K. The effect of weather conditions on the efficiency of PV panels in the southeast of UK. Renew. Energy 2014, 69, 50–59. [Google Scholar] [CrossRef]
- Vasel, A.; Iakovidis, F. The effect of wind direction on the performance of solar PV plants. Energy Convers. Manag. 2017, 153, 455–461. [Google Scholar] [CrossRef]
- Das, S.K.; Verma, D.; Nema, S.; Nema, R.K. Shading mitigation techniques: State-of-the-art in photovoltaic applications. Renew. Sustain. Energy Rev. 2017, 78, 369–390. [Google Scholar] [CrossRef]
- Zhang, W.; Lu, L.; Peng, J. Evaluation of potential benefits of solar photovoltaic shadings in Hong Kong. Energy 2017, 137, 1152–1158. [Google Scholar] [CrossRef]
- Mekhilef, S.; Saidur, R.; Kamalisarvestani, M. Effect of dust, humidity and air velocity on efficiency of photovoltaic cells. Renew. Sustain. Energy Rev. 2012, 16, 2920–2925. [Google Scholar] [CrossRef]
- Hasan, K.; Yousuf, S.B.; Tushar, M.S.H.K.; Das, B.K.; Das, P.; Islam, M.S. Effects of different environmental and operational factors on the PV performance: A comprehensive review. Energy Sci. Eng. 2022, 10, 656–675. [Google Scholar] [CrossRef]
- Rahouma, A.; El-Azab, R.; Salib, A.; Amin, A.M.A. Frequency response of a large-scale grid-connected solar photovoltaic plant. In Proceedings of the SoutheastCon 2015, Fort Lauderdale, FL, USA, 9–12 April 2015. [Google Scholar]
- Qaid, K.A.; Gan, C.K.; Salim, N.B.; Shamshiri, M. Impacts of large-scale solar photovoltaic generation on power system frequency response. In Proceedings of the 5th IET International Conference on Clean Energy and Technology (CEAT2018), Kuala Lumpur, Malaysia, 5–6 September 2018. [Google Scholar]
- Máslo, K. Impact of Photovoltaics on Frequency Stability of Power System During Solar Eclipse. IEEE Trans. Power Syst. 2016, 31, 3648–3655. [Google Scholar] [CrossRef]
- Limsakul, C.; Songprakorp, R.; Sangswang, A.; Parinya, P. Impact of photovoltaic grid-connected power fluctuation on system frequency deviation in contiguous power systems. In Proceedings of the IECON 2015—41st Annual Conference of the IEEE Industrial Electronics Society, Yokohama, Japan, 9–12 November 2015. [Google Scholar]
- Guo, H.; Zheng, S.; Zhang, D.; Gao, P.; Miao, W.; Zuo, Z. Effects on Frequency Stability of Power System for Photovoltaic High-Penetration Ratio Grid-Connected Power Generation. Energies 2023, 16, 1308. [Google Scholar] [CrossRef]
- Madiba, T.; Bansal, R.C.; Justo, J.J.; Kusakana, K. Optimal Control System of Under Frequency Load Shedding in Microgrid System with Renewable Energy Resources. In Smart Energy Grid Design for Island Countries: Challenges and Opportunities; Islam, F.M.R., Mamun, K.A., Amanullah, M.T.O., Eds.; Springer International Publishing: Cham, Switzerland, 2017; pp. 71–96. [Google Scholar]
- You, S.; Liu, Y.; Tan, J.; Gonzalez, M.T.; Zhang, X.; Zhang, Y.; Liu, Y. Comparative Assessment of Tactics to Improve Primary Frequency Response Without Curtailing Solar Output in High Photovoltaic Interconnection Grids. IEEE Trans. Sustain. Energy 2019, 10, 718–728. [Google Scholar] [CrossRef]
- McDowell, J.; Walling, R.; Peter, W.; Von Engeln, E.; Seymour, E.; Nelson, R.; Casey, L.; Ellis, A.; Barker, C. Reactive Power Interconnection Requirements for PV and Wind Plants: Recommendations to NERC; Sandia National Laboratories (SNL): Albuquerque, NM, USA; Livermore, CA, USA, 2012.
- Yang, Y.; Wang, H.; Blaabjerg, F. Reactive Power Injection Strategies for Single-Phase Photovoltaic Systems Considering Grid Requirements. IEEE Trans. Ind. Appl. 2014, 50, 4065–4076. [Google Scholar] [CrossRef]
- Zhou, L.; Chao, Y. The research of reactive power control strategy for grid-connected photovoltaic plants. In Proceedings of the 2013 World Congress on Sustainable Technologies (WCST), London, UK, 9–12 December 2013. [Google Scholar]
- Jafarian, H.; Cox, R.; Enslin, J.H.; Bhowmik, S.; Parkhideh, B. Decentralized Active and Reactive Power Control for an AC-Stacked PV Inverter With Single Member Phase Compensation. IEEE Trans. Ind. Appl. 2018, 54, 345–355. [Google Scholar] [CrossRef]
- Tina, G.M.; Garozzo, D.; Siano, P. Scheduling of PV inverter reactive power set-point and battery charge/discharge profile for voltage regulation in low voltage networks. Int. J. Electr. Power Energy Syst. 2019, 107, 131–139. [Google Scholar] [CrossRef]
- Khan, H.A.; Zuhaib, M.; Rihan, M. Analysis of varying PV penetration level on harmonic content of active distribution system with a utility scale grid integrated solar farm. Aust. J. Electr. Electron. Eng. 2022, 19, 283–293. [Google Scholar] [CrossRef]
- Salem, W.A.A.; Gabr Ibrahim, W.; Abdelsadek, A.M.; Nafeh, A.A. Grid connected photovoltaic system impression on power quality of low voltage distribution system. Cogent. Eng. 2022, 9, 2044576. [Google Scholar] [CrossRef]
- Chidurala, A.; Saha, T.; Mithulananthan, N. Harmonic characterization of grid connected PV systems & validation with field measurements. In Proceedings of the 2015 IEEE Power & Energy Society General Meeting, Denver, CO, USA, 26–30 July 2015. [Google Scholar]
- Bishop, O. Understand Electronic Filters; Newnes: Oxford, UK, 1996. [Google Scholar]
- Torquato, R.; Freitas, W.; Hax, G.R.T.; Donadon, A.R.; Moya, R. High frequency harmonic distortions measured in a Brazilian solar farm. In Proceedings of the 2016 17th International Conference on Harmonics and Quality of Power (ICHQP), Belo Horizonte, Brazil, 16–19 October 2016. [Google Scholar]
- Ayub, M.; Gan, C.K.; Kadir, A.F.A. The impact of grid-connected PV systems on Harmonic Distortion. In Proceedings of the 2014 IEEE Innovative Smart Grid Technologies—Asia (ISGT ASIA), Kuala Lumpur, Malaysia, 20–23 May 2014. [Google Scholar]
- Langella, R.; Testa, A.; Alii, E. IEEE Recommended Practice and Requirements for Harmonic Control in Electric Power Systems; IEEE: Piscataway, NJ, USA, 2014. [Google Scholar]
- Li, J.; Zhuo, F.; Liu, J.; Wang, X.; Wen, B.; Wang, L.; Ni, S. Study on unified control of grid-connected generation and harmonic compensation in dual-stage high-capacity PV system. In Proceedings of the 2009 IEEE Energy Conversion Congress and Exposition, San Jose, CA, USA, 20–24 September 2009. [Google Scholar]
- Pereira, H.A.; da Mata, G.L.E.; Xavier, L.S.; Cupertino, A.F. Flexible harmonic current compensation strategy applied in single and three-phase photovoltaic inverters. Int. J. Electr. Power Energy Syst. 2019, 104, 358–369. [Google Scholar] [CrossRef]
- Mata, G.L.E.; Barros, R.C.d.; Ribeiro, W.V.; Xavier, L.S.; Cupertino, A.F.; Pereira, H.A. LCL filter losses due to harmonic compensation in a photovoltaic system. In Proceedings of the 2017 IEEE 8th International Symposium on Power Electronics for Distributed Generation Systems (PEDG), Florianopolis, Brazil, 17–20 April 2017. [Google Scholar]
- Mitsugi, Y.; Yokoyama, A. Phase angle and voltage stability assessment in multi-machine power system with massive integration of PV considering PV’s FRT requirements and dynamic load characteristics. In Proceedings of the 2014 International Conference on Power System Technology, Chengdu, China, 20–22 October 2014. [Google Scholar]
- You, S.; Kou, G.; Liu, Y.; Zhang, X.; Cui, Y.; Till, M.J.; Yao, W.; Liu, Y. Impact of High PV Penetration on the Inter-Area Oscillations in the U.S. Eastern Interconnection. IEEE Access 2017, 5, 4361–4369. [Google Scholar] [CrossRef]
- IEEE Std 1547-2018 (Revision of IEEE Std 1547-2003)—Redline; IEEE Standard for Interconnection and Interoperability of Distributed Energy Resources with Associated Electric Power Systems Interfaces—Redline. IEEE: Piscataway, NJ, USA, 2018; pp. 1–227.
- Zhao, Y.; Lehman, B.; Palma, J.F.d.; Mosesian, J.; Lyons, R. Fault analysis in solar PV arrays under: Low irradiance conditions and reverse connections. In Proceedings of the 2011 37th IEEE Photovoltaic Specialists Conference, Seattle, WA, USA, 19–24 June 2011. [Google Scholar]
- Alam, M.K.; Khan, F.H.; Johnson, J.; Flicker, J. PV faults: Overview, modeling, prevention and detection techniques. In Proceedings of the 2013 IEEE 14th Workshop on Control and Modeling for Power Electronics (COMPEL), Lake City, UT, USA 23–26 June 2013. [Google Scholar]
- Albers, M.J.; Ball, G. Comparative Evaluation of DC Fault-Mitigation Techniques in Large PV Systems. IEEE J. Photovolt. 2015, 5, 1169–1174. [Google Scholar] [CrossRef]
- Amiri, A.F.; Oudira, H.; Chouder, A.; Kichou, S. Faults detection and diagnosis of PV systems based on machine learning approach using random forest classifier. Energy Convers. Manag. 2024, 301, 118076. [Google Scholar] [CrossRef]
- Tévar, G.; Gómez-Expósito, A.; Arcos-Vargas, A.; Rodríguez-Montañés, M. Influence of rooftop PV generation on net demand, losses and network congestions: A case study. Int. J. Electr. Power Energy Syst. 2019, 106, 68–86. [Google Scholar] [CrossRef]
- Abhinav, R.; Pindoriya, N.M. Opportunities and key challenges for wind energy trading with high penetration in Indian power market. Energy Sustain. Dev. 2018, 47, 53–61. [Google Scholar] [CrossRef]
- Deng, R.; Chang, N.L.; Ouyang, Z.; Chong, C.M. A techno-economic review of silicon photovoltaic module recycling. Renew. Sustain. Energy Rev. 2019, 109, 532–550. [Google Scholar] [CrossRef]
- Panagopoulos, A.; Giannika, V. Decarbonized and circular brine management/valorization for water & valuable resource recovery via minimal/zero liquid discharge (MLD/ZLD) strategies. J. Environ. Manag. 2022, 324, 116239. [Google Scholar] [CrossRef]
- Panagopoulos, A.; Giannika, V. Study on the water resources and the opportunities for sustainable desalination & minimal/zero liquid discharge (MLD/ZLD) practices in Greece (Eastern Mediterranean). Sustain. Water Resour. Manag. 2023, 9, 106. [Google Scholar] [CrossRef]
- Panagopoulos, A.; Giannika, V. Comparative techno-economic and environmental analysis of minimal liquid discharge (MLD) and zero liquid discharge (ZLD) desalination systems for seawater brine treatment and valorization. Sustain. Energy Technol. Assess. 2022, 53, 102477. [Google Scholar] [CrossRef]
- Artale, G.; Caravello, G.; Cataliotti, A.; Cosentino, V.; Di Cara, D.; Guaiana, S.; Nguyen Quang, N.; Palmeri, M.; Panzavecchia, N.; Tinè, G. A Virtual Tool for Load Flow Analysis in a Micro-Grid. Energies 2020, 13, 3173. [Google Scholar] [CrossRef]
- Rangarajan, S.S.; Collins, E.R.; Fox, J.C.; Kothari, D.P. A survey on global PV interconnection standards. In Proceedings of the 2017 IEEE Power and Energy Conference at Illinois (PECI), Champaign, IL, USA, 23–24 February 2017. [Google Scholar]
- Wu, Y.K.; Lin, J.H.; Lin, H.J. Standards and Guidelines for Grid-Connected Photovoltaic Generation Systems: A Review and Comparison. IEEE Trans. Ind. Appl. 2017, 53, 3205–3216. [Google Scholar] [CrossRef]
- Poyyamani Sunddararaj, S.; Rangarajan, S.S.; Nallusamy, S.; Collins, E.R.; Senjyu, T. A Brief Survey on Important Interconnection Standards for Photovoltaic Systems and Electric Vehicles. World Electr. Veh. J. 2021, 12, 117. [Google Scholar] [CrossRef]
- International Electrotechnical Commission. Photovoltaic (PV) Systems-Characteristics of the Utily Interface; International Electrotechnical Commission: Geneva, Switzerland, 2004. [Google Scholar]
- IEEE Standards Board. IEEE Standard for Interconnecting Distributed Resources with Electric Power Systems: 1547-2003; IEEE: Piscataway, NJ, USA, 2003. [Google Scholar]
- IEEE Standard. 929-2000—IEEE Recommended Practice for Utility Interface of Photovoltaic (PV) Systems; IEEE: Piscataway, NJ, USA, 2000. [Google Scholar]
- California Public Utilities Commission. Rule 21 Generating Facility Interconnections; California Public Utilities Commission: San Francisco, CA, USA, 2014. [Google Scholar]
- Sheaffer, P.; Schwartz, L. Interconnection of Distributed Generation to Utility Systems; The Regulatory Assistance Project–RAP: Beijing, China, 2011. [Google Scholar]
- Henville, M. Interconnecting Inverter-Based Micro-Distributed Resources to Distribution Systems: CAN/CSA-C22. 2 No. 257-06 a National Standard of Canada; CSA Group: Toronto, ON, Canada, 2006. [Google Scholar]
- Martel, S.; Turcotte, D. Review of distributed generation product and interconnection standards for Canada. In Proceedings of the 2007 IEEE Canada Electrical Power Conference, Montreal, QC, Canada, 25–26 October 2007; IEEE: Piscataway, NJ, USA, 2007; pp. 242–247. [Google Scholar] [CrossRef]
- Abdulhadi, I.; Dysko, A. Hardware testing of photovoltaic inverter loss of mains protection performance. In Proceedings of the 13th International Conference on Development in Power System Protection 2016 (DPSP), Edinburgh, UK, 7–10 March 2016; IET: Stevenage, UK, 2016; pp. 1–6. [Google Scholar] [CrossRef]
- Rebollal, D.; Carpintero-Rentería, M.; Santos-Martín, D.; Chinchilla, M. Microgrid and distributed energy resources standards and guidelines review: Grid connection and operation technical requirements. Energies 2021, 14, 523. [Google Scholar] [CrossRef]
- Cataliotti, A.; Cosentino, V.; Di Cara, D.; Guaiana, S.; Panzavecchia, N.; Tine, G. A new solution for low-voltage distributed generation interface protection system. IEEE Trans. Instrum. Meas. 2015, 64, 2086–2095. [Google Scholar] [CrossRef]
- De la Hoz, J.; Boix, O.; Martín, H.; Martins, B.; Graells, M. Promotion of grid-connected photovoltaic systems in Spain: Performance analysis of the period 1998–2008. Renew. Sustain. Energy Rev. 2010, 14, 2547–2563. [Google Scholar] [CrossRef]
- Australia Standard. Grid Connection of Energy Systems via Inverters—Part 1: Installation Requirements; Proc. Grid Protection Requirements; Australia Standard: Sydney, Australia, 2005; p. 7. [Google Scholar]
- Australia Standard. Grid Connection of Energy Systems via Inverters Part 2: Inverter Requirements; Proc. Grid Protection Requirements; Australia Standard: Sydney, Australia, 2005; p. 7. [Google Scholar]
- Australia Standard. Grid Connection of Energy Systems via Inverters—Part 3; Proc. Grid Protection Requirements; Australia Standard: Sydney, Australia, 2005; p. 7. [Google Scholar]
- Eltawil, M.A.; Zhao, Z. Grid-connected photovoltaic power systems: Technical and potential problems—A review. Renew. Sustain. Energy Rev. 2010, 14, 112–129. [Google Scholar] [CrossRef]
- Elnozahy, M.S.; Salama, M.M. Technical impacts of grid-connected photovoltaic systems on electrical networks—A review. J. Renew. Sustain. Energy 2013, 5, 032702. [Google Scholar] [CrossRef]
- Ruhang, X. Characteristics and prospective of China’s PV development route: Based on data of world PV industry 2000–2010. Renew. Sustain. Energy Rev. 2016, 56, 1032–1043. [Google Scholar] [CrossRef]
- Whitaker, C.M.; Timothy, U. PV systems. In Handbook of Photovoltaic Science and Engineering; Wiley: Hoboken, NJ, USA, 2011; pp. 841–895. [Google Scholar] [CrossRef]
- Madangombe, T.; Folly, K.; Pillay, P. Standards and technical guidelines for the interconnection of renewable energy sources into the grid (distribution networks). In Proceedings of the 2007 IEEE Power Engineering Society Conference and Exposition in Africa-PowerAfrica, Johannesburg, South Africa, 16–20 July 2007; IEEE: Piscataway, NJ, USA, 2007; pp. 1–7. [Google Scholar] [CrossRef]
- Wang, W.; Xv, W.; Liu, C. Technical Requirements for Connecting Photovoltaic Power Station to Power System; State Grid Corporation of China: Beijing, China, 2013. [Google Scholar]
- Rodrigues, E.M.G.; Osório, G.J.; Godina, R.; Bizuayehu, A.W.; Lujano-Rojas, J.M.; Catalão, J.P.S. Grid code reinforcements for deeper renewable generation in insular energy systems. Renew. Sustain. Energy Rev. 2016, 53, 163–177. [Google Scholar] [CrossRef]
- ENTSO-E. European Network of Transmission System Operators for Electricity. In TYNDP 2018–Europe’s Network Development Plan to 2025, 2030 and 2040; ENTSO-E: Brussels, Belgium, 2018. [Google Scholar]
- Crăciun, B.I.; Kerekes, T.; Séra, D.; Teodorescu, R. Overview of recent Grid Codes for PV power integration. In Proceedings of the 2012 13th International Conference on Optimization of Electrical and Electronic Equipment (OPTIM), Brasov, Romania, 24–26 May 2012; pp. 959–965. [Google Scholar] [CrossRef]
- EN 50438:2007; Requirements for the Connection of Micro-Generators in Parallel with Public Low-Voltage Distribution Networks. British Standards Institution: London, UK, 2007.
- IEEE Std 1547.2-2008; IEEE Standards Coordinating Committee 21, IEEE Application Guide for IEEE Std 1547(TM), IEEE Standard for Interconnecting Distributed Resources with Electric Power Systems. IEEE: Piscataway, NJ, USA, 2009; pp. 1–217.
- Lee, J.H.; Yoon, Y.H.; Kim, J.M. Analysis of IEC 61727 Photovoltaic (PV) systems Characteristics of the utility interface. Int. J. Internet Broadcast. Commun. 2015, 7, 90–95. [Google Scholar]
- Elektrotechniker Verband Deutscher. Technical Minimum Requirements for the Connection to and Parallel Operation with Low-Voltage Distribution Networks; Vde Verlag Gmbh: Berlin, Germany, 2011. [Google Scholar]
- Jacobs, D. Renewable Energy Policy Convergence in the EU: The Evolution of Feed-in Tariffs in Germany, Spain and France; Routledge: London, UK, 2016. [Google Scholar] [CrossRef]
- Xiao, H.; Fang, Z.; Xu, D.; Wu, B.; Venkatesh, B.; Singh, B.N. A testing platform for distribution grid with multiple grid-connected converters. In Proceedings of the 2016 IEEE 8th International Power Electronics and Motion Control Conference (IPEMC-ECCE Asia), Hefei, China, 22–26 May 2016; IEEE: Piscataway, NJ, USA, 2016; pp. 3621–3626. [Google Scholar] [CrossRef]
- Pires, V.F.; Cordeiro, A.; Foito, D.; Martins, J.F.; Pires, A.; Chen, H. Testing System for PV Grid-Connected Power Condition Systems with Support for Ancillary Services. Designs 2023, 7, 40. [Google Scholar] [CrossRef]
- Bae, Y.; Vu, T.K.; Kim, R.Y. Implemental Control Strategy for Grid Stabilization of Grid-Connected PV System Based on German Grid Code in Symmetrical Low-to-Medium Voltage Network. IEEE Trans. Energy Convers. 2013, 28, 619–631. [Google Scholar] [CrossRef]
- Troester, E. New German grid codes for connecting PV systems to the medium voltage power grid. In Proceedings of the 2nd International Workshop on Concentrating Photovoltaic Power Plants: Optical Design, Production, Grid Connection, Darmstadt, Germany, 9–10 March 2009; pp. 9–10. [Google Scholar]
- Cabrera-Tobar, A.; Bullich-Massagué, E.; Aragüés-Peñalba, M.; Gomis-Bellmunt, O. Review of advanced grid requirements for the integration of large scale photovoltaic power plants in the transmission system. Renew. Sustain. Energy Rev. 2016, 62, 971–987. [Google Scholar] [CrossRef]
- Alharbi, M. Control Approach of Grid-Connected PV Inverter under Unbalanced Grid Conditions. Processes 2024, 12, 212. [Google Scholar] [CrossRef]
- Colque, J.C.; Azcue, J.L.; Ruppert, E. Photovoltaic system grid-connected with active power filter functions for mitigate current harmonics feeding nonlinear loads. In Proceedings of the 13th IEEE International Conference on Industry Applications (INDUSCON), Sao Paulo, Brazil, 12–14 November 2018; pp. 208–214. [Google Scholar] [CrossRef]
- Memon, M.A.; Mekhilef, S.; Mubin, M.; Aamir, M. Selective harmonic elimination in inverters using bio-inspired intelligent algorithms for renewable energy conversion applications: A review. Renew. Sustain. Energy Rev. 2018, 82, 2235–2253. [Google Scholar] [CrossRef]
- El Moursi, M.S.; Xiao, W.; Kirtley, J.L., Jr. Fault ride through capability for grid interfacing large scale PV power plants. IET Gener. Transm. Distrib. 2013, 7, 1027–1036. [Google Scholar] [CrossRef]
- Bai, K.; Sindhu, V.; Haque, A. Fault Ride Through approach for Grid-Connected Photovoltaic System. e-Prime Adv. Electr. Eng. Electron. Energy 2023, 5, 100232. [Google Scholar] [CrossRef]
- Al-Shetwi, A.Q.; Sujod, M.Z.; Ramli, N.L. A review of the fault ride through requirements in different grid codes concerning penetration of PV system to the electric power network. ARPN J. Eng. Appl. Sci. 2015, 10, 9906–9912. [Google Scholar]
- Chatzinikolaou, E.; Rogers, D.J. A Comparison of Grid-Connected Battery Energy Storage System Designs. IEEE Trans. Power Electron. 2017, 32, 6913–6923. [Google Scholar] [CrossRef]
- Pires, V.F.; Romero-Cadaval, E.; Vinnikov, D.; Roasto, I.; Martins, J.F. Power converter interfaces for electrochemical energy storage systems—A review. Energy Convers. Manag. 2014, 86, 453–475. [Google Scholar] [CrossRef]
- Galkin, I.A.; Blinov, A.; Vorobyov, M.; Bubovich, A.; Saltanovs, R.; Peftitsis, D. Interface Converters for Residential Battery Energy Storage Systems: Practices, Difficulties and Prospects. Energies 2021, 14, 3365. [Google Scholar] [CrossRef]
- McKeon, B.B.; Furukawa, J.; Fenstermacher, S. Advanced Lead–Acid Batteries and the Development of Grid-Scale Energy Storage Systems. Proc. IEEE 2014, 102, 951–963. [Google Scholar] [CrossRef]
- Eletrico, O.d.S. Requisitos Técnicos Mínimos Para a Conexão às Instalações de Transmissão, Procedimentos de Rede-Submódulo 2.10; Operador Nacional do Sistema Elétrico (ONS): Rio de Janeiro, Brazil, 2021. [Google Scholar]
- Basso, T.S.; Deblasio, R.D. IEEE P1547-series of standards for interconnection. In Proceedings of the 2003 IEEE PES Transmission and Distribution Conference and Exposition (IEEE Cat. No. 03CH37495), Dallas, TX, USA, 7–12 September 2003; IEEE: Piscataway, NJ, USA, 2003. [Google Scholar]
- Landera, Y.G.; Zevallos, O.C.; Neto, R.C.; Castro, J.F.D.C.; Neves, F.A. A Review of Grid Connection Requirements for Photovoltaic Power Plants. Energies 2023, 16, 2093. [Google Scholar] [CrossRef]
- Zhang, Z.; Yang, Y.; Ma, R.; Blaabjerg, F. Zero-Voltage Ride-Through Capability of Single-Phase Grid-Connected Photovoltaic Systems. Appl. Sci. 2017, 7, 315. [Google Scholar] [CrossRef]
- Sutherland, P.E. Ensuring Stable Operation with Grid Codes: A Look at Canadian Wind Farm Interconnections. IEEE Ind. Appl. Mag. 2016, 22, 60–67. [Google Scholar] [CrossRef]
- Italian Electrotechnical Committee CEI 0-16: Reference Technical Rules for the Connection of Active and Passive Consumers to the HV and MV Electrical Networks of Distribution Company. 2019. Available online: https://standards.globalspec.com/std/145056 (accessed on 2 February 2025).
- Neumann, T.; Erlich, I. Modelling and control of photovoltaic inverter systems with respect to German grid code requirements. In Proceedings of the 2012 IEEE Power and Energy Society General Meeting, San Diego, CA, USA, 22–26 July 2012; pp. 1–8. [Google Scholar] [CrossRef]
- Chmielowiec, K.; Topolski, Ł.; Piszczek, A.; Hanzelka, Z. Photovoltaic Inverter Profiles in Relation to the European Network Code NC RfG and the Requirements of Polish Distribution System Operators. Energies 2021, 14, 1486. [Google Scholar] [CrossRef]
- Electrica, R. Technical Requirements for Wind Power and Photovoltaic Installations and Any Generating Facilities Whose Technology Does Not Consist of a Synchronous Generator Directly Connected to the Grid; Red Electrica: Madrid, Spain, 2008. [Google Scholar]
- Langstädtler, J.; Schowe-Von der Brelie, B.; Schellschmidt, M.; Schrobsdorff, S.; Scheffer, J.; Kahlen, C. Relevance of high-voltage-ride-through capability and testing. In Proceedings of the 23rd Intemational Conference on Electricity Distribution (CIRED), Lyon, Italy, 15–18 June 2015. [Google Scholar]
- Gevorkian, P. Grid-Connected Photovoltaic Power Generation; Cambridge University Press: Cambridge, UK, 2017. [Google Scholar]
- Li, R.; Geng, H.; Yang, G. Asymmetrical high voltage ride through control strategy of grid-side converter for grid-connected renewable energy equipment. In Proceedings of the 2014 International Power Electronics and Application Conference and Exposition, Shanghai, China, 5–8 November 2014; pp. 496–501. [Google Scholar] [CrossRef]
- Ghosh, S.; Rahman, S. Global deployment of solar photovoltaics: Its opportunities and challenges. In Proceedings of the 2016 IEEE PES Innovative Smart Grid Technologies Conference Europe (ISGT-Europe), Ljubljana, Slovenia, 9–12 October 2016; pp. 1–6. [Google Scholar] [CrossRef]
- Gevorgian, V.; Booth, S. Review of PREPA Technical Requirements for Interconnecting Wind and Solar Generation; National Renewable Energy Lab. (NREL): Golden, CO, USA, 2013.
- Marinopoulos, A.; Papandrea, F.; Reza, M.; Norrga, S.; Spertino, F.; Napoli, R. Grid integration aspects of large solar PV installations: LVRT capability and reactive power/voltage support requirements. In Proceedings of the 2011 IEEE Trondheim PowerTech, Trondheim, Norway, 19–23 June 2011; pp. 1–8. [Google Scholar] [CrossRef]
- Zeb, K.; Islam, S.U.; Khan, I.; Uddin, W.; Ishfaq, M.; Busarello, T.D.C.; Muyeen, S.M.; Ahmad, I.; Kim, H.J. Faults and Fault Ride Through strategies for grid-connected photovoltaic system: A comprehensive review. Renew. Sustain. Energy Rev. 2022, 158, 112125. [Google Scholar] [CrossRef]
- Alrumayh, O.; Sayed, K.; Almutairi, A. LVRT and Reactive Power/Voltage Support of Utility-Scale PV Power Plants during Disturbance Conditions. Energies 2023, 16, 3245. [Google Scholar] [CrossRef]
- Liu, G.; Hu, J.; Tian, G.; Xu, L.; Wang, S. Study on high voltage ride through control strategy of PMSG-based wind turbine generation system with SCESU. J. Eng. 2019, 2019, 4257–4260. [Google Scholar] [CrossRef]
- Serban, E.; Ordonez, M.; Pondiche, C. Voltage and Frequency Grid Support Strategies Beyond Standards. IEEE Trans. Power Electron. 2017, 32, 298–309. [Google Scholar] [CrossRef]
- Crăciun, B.I.; Kerekes, T.; Séra, D.; Teodorescu, R. Frequency Support Functions in Large PV Power Plants with Active Power Reserves. IEEE J. Emerg. Sel. Top. Power Electron. 2014, 2, 849–858. [Google Scholar] [CrossRef]
- Rahmann, C.; Castillo, A. Fast Frequency Response Capability of Photovoltaic Power Plants: The Necessity of New Grid Requirements and Definitions. Energies 2014, 7, 6306–6322. [Google Scholar] [CrossRef]
- Fu, Y.; Wang, Y.; Zhang, X. Integrated wind turbine controller with virtual inertia and primary frequency responses for grid dynamic frequency support. IET Renew. Power Gener. 2017, 11, 1129–1137. [Google Scholar] [CrossRef]
- Weckx, S.; Hulst, R.D.; Driesen, J. Primary and Secondary Frequency Support by a Multi-Agent Demand Control System. IEEE Trans. Power Syst. 2015, 30, 1394–1404. [Google Scholar] [CrossRef]
- Teng, F.; Strbac, G. Assessment of the Role and Value of Frequency Response Support From Wind Plants. IEEE Trans. Sustain. Energy 2016, 7, 586–595. [Google Scholar] [CrossRef]
- Denholm, P.; Mai, T.; Kenyon, R.W.; Kroposki, B.; O’Malley, M. Inertia and the Power Grid: A Guide Without the Spin; National Renewable Energy Lab. (NREL): Golden, CO, USA, 2020.
- Teng, F.; Aunedi, M.; Pudjianto, D.; Strbac, G. Benefits of demand-side response in providing frequency response service in the future GB power system. Front. Energy Res. 2015, 3, 36. [Google Scholar] [CrossRef]
- Aljarrah, R.; Marzooghi, H.; Terzija, V. Mitigating the impact of fault level shortfall in future power systems with high penetration of converter-interfaced renewable energy sources. Int. J. Electr. Power Energy Syst. 2023, 149, 109058. [Google Scholar] [CrossRef]
- Cifuentes, N.; Rahmann, C.; Valencia, F.; Alvarez, R. Network allocation of BESS with voltage support capability for improving the stability of power systems. IET Gener. Transm. Distrib. 2019, 13, 939–949. [Google Scholar] [CrossRef]
- Camacho, A.; Castilla, M.; Miret, J.; Vasquez, J.C.; Alarcon-Gallo, E. Flexible Voltage Support Control for Three-Phase Distributed Generation Inverters Under Grid Fault. IEEE Trans. Ind. Electron. 2013, 60, 1429–1441. [Google Scholar] [CrossRef]
- Altın, M.; Göksu, Ö.; Teodorescu, R.; Rodriguez, P.; Jensen, B.B.; Helle, L. Overview of recent grid codes for wind power integration. In Proceedings of the 2010 12th International Conference on Optimization of Electrical and Electronic Equipment, Brasov, Romania, 20–22 May 2010; pp. 1152–1160. [Google Scholar] [CrossRef]
- Marchgraber, J.; Gawlik, W. Dynamic Voltage Support of Converters during Grid Faults in Accordance with National Grid Code Requirements. Energies 2020, 13, 2484. [Google Scholar] [CrossRef]
- Mortazavian, S.; Shabestary, M.M.; Mohamed, Y.A.R.I. Analysis and Dynamic Performance Improvement of Grid-Connected Voltage–Source Converters Under Unbalanced Network Conditions. IEEE Trans. Power Electron. 2017, 32, 8134–8149. [Google Scholar] [CrossRef]
- Camacho, A.; Castilla, M.; Miret, J.; Borrell, A.; de Vicuña, L.G. Active and Reactive Power Strategies with Peak Current Limitation for Distributed Generation Inverters During Unbalanced Grid Faults. IEEE Trans. Ind. Electron. 2015, 62, 1515–1525. [Google Scholar] [CrossRef]
- Holger, B.; Hermann, M.; Kreye, H.D.; Reinisch, R.; Scherer, U.; Vanzetta, J. Transmission_Code_2007: Network and System Rules of the German Transmission System Operators; VDN: Berlin, Germany, 2007. [Google Scholar]
- GB/T 19964-2012; Technical Requirements for Connecting Photovoltaic Power Station to Power System. Standardization Administration of the Peoples Republic of China: Beijing, China, 2012.
Disclaimer/Publisher’s Note: The statements, opinions and data contained in all publications are solely those of the individual author(s) and contributor(s) and not of MDPI and/or the editor(s). MDPI and/or the editor(s) disclaim responsibility for any injury to people or property resulting from any ideas, methods, instructions or products referred to in the content. |
© 2025 by the authors. Licensee MDPI, Basel, Switzerland. This article is an open access article distributed under the terms and conditions of the Creative Commons Attribution (CC BY) license (https://creativecommons.org/licenses/by/4.0/).

































