Abstract
This study investigates the aerodynamic performance of a fourth-generation normal shockwave inlet system, with a primary focus on minimizing pressure losses and ensuring uniform airflow distribution. A computational model was developed, incorporating a section of the fuselage along with the complete inlet duct. The model was discretized using a hybrid mesh approach to enhance numerical accuracy. The analysis was conducted at a flight altitude of 8000 m, encompassing 370 distinct cases defined by varying angles of attack and Mach numbers. This comprehensive parametric study yielded a dataset of 10,800 total pressure measurements across predefined sampling locations. Based on the obtained results, flow distortion coefficients in both circumferential (CDI) and radial directions (RDI) were systematically determined for each test case. The interdependencies between CDI, RDI, Mach number, and angle of attack (α) were analyzed and presented in a consolidated manner. In the second phase of the study, an artificial neural network (ANN) utilizing a Feed-Forward architecture was implemented to predict pressure distributions for intermediate flight conditions. The ANN was trained using the CFG algorithm, and the predictive accuracy was assessed through the determination coefficients computed by comparing ANN-based estimates with numerical simulation results. The findings demonstrate the efficacy of ANN-based modeling in enhancing the predictive capabilities of inlet flow dynamics, offering valuable insights for optimizing next-generation supersonic air intake systems.
1. Introduction
The task of individual aircraft components and systems is to ensure their integrity and optimization for the changing nature of the missions performed by the aircraft. As a result of the evolution of these requirements, further concepts have emerged and developed in the design of individual components and systems, including the propulsion systems and their components. All aviation turbine engines are turbomachines that require the air supply necessary for their operation, up to 1200 kg/s. The basic task of the inlet system is to pre-compress and, above all, to supply a sufficient, stable, uniform airflow to the engine compressor. Given the complexity of the problem, determining the appropriate design criterion for the inlet system design and the inlet system control solution must consider the following basis:
- flight speed and altitude;
- angles at which the flight is performed;
- shape of the inlet cross-section;
- inlet location in the fuselage;
- length of flow duct;
- mechanization system;
- stealth technology.
The final compromise in the design of the inlet system is based on the criterion between the parameters determining pressure loss and the aerodynamic drag. The pressure loss coefficient relates to the internal efficiency of the inlet duct and significantly affects the engine thrust through the mass flow rate. It is estimated that for every 1% increase in pressure loss, the engine thrust decreases by the same or greater amount. The phenomenon is intensifying and is non-linear, especially for high Mach numbers, where for example, for Mach number = 2.0 with a pressure loss of 8%, the engine thrust decreases by 13% while fuel consumption increases by 5% [1]. The design, and the operation of the inlet system, which is a simple component, involves many decisions that affect not only the performance of the engine but also the overall functionality of the entire aircraft.
In the area of turbine engine inlet systems, some studies are being conducted on the criteria mentioned. The analysis of inlet operation at high angles of attack [2,3,4,5] is of great interest. For example, the study [2] examined the inlet of an F/A-18A supersonic aircraft. The calculations dealt with pressure field distribution and inlet vortices. Static pressure distributions on the front part of the fuselage surface were studied. The results from the flight tests were comparable to the numerical results. The problem of vortex migration was presented. It has been proved that vortices generated along the inlet edge can be less intense. The effects of the inlet edge were found to have a significant impact on the development of the secondary flow field in the inlet duct.
Another problem may be the shape of the inlet duct [3,6]. A study of the flow in an S-type duct was performed in the article [3]. Reference aerodynamic data for compressible flow through the S-type duct were presented. The results of measurements of the three-dimensional velocity field, total pressure, and static pressure were presented. Thin turbulent boundary layers were achieved at the inlet. The results present that an area of flow separation occurred in the duct. Measurements indicate that the curvature of the duct induced strong secondary flows, which may be amplified by pressure. The analyses performed showed that these vortices moved low-momentum fluid from the boundary layer toward the center of the duct, degrading both the uniformity and magnitude of the overall pressure profile.
The issue of the pressure loss coefficient and the distortion of the total inlet pressure as a function of flight maneuverability is included in the article [7]. A study of the recovery (pressure loss coefficient) of the inlet pressure and distortion effects observed under varying maneuverability conditions of the F-16 aircraft was conducted. The maneuverability of the F-16 was defined using three parameters: Mach number, angle of attack, and angle of bank. Pressure recovery and distortion values were measured at the aerodynamic interface plane (AIP). Two simulations were performed: one to compare flight conditions at sea level and 10 km altitude. The results of the flight level comparison showed a slightly higher pressure loss coefficient of 0.985 at 10 km altitude compared to a value of 0.983 at sea level. The obtained values of the distortion coefficient of the impact pressure fields for both conditions were similar and amounted to 0.120.
Analyses of the performance of the fuselage-integrated Diverterless Supersonic Inlet (DSI) are being carried out for the most maneuverable aircraft. The study [8] presents the results of an experimental study to investigate the effect of the angle of attack on the performance of the DSI. Experiments were conducted using a typical front part of the fuselage, including an elliptical nose, to consider the effect of fuselage geometry on the incoming flow. Tests were conducted at a constant Mach number of free stream, M∞ = 1.65, zero bank angle, and various angles of attack ranging from −2 to 6 degrees. Consequently, for a positive angle of attack, the DSI yield point moves towards subcritical conditions, and for a negative angle, it deviates towards supercritical conditions.
The use of neural networks in this area is proving to be an important element of modern aircraft engine research. The application of ANN in the aviation industry is rapidly evolving and plays a significant role in engineering research. Dong et al. [9] present a review of current studies in this field. Five deep learning methods are introduced, and their applications in aviation are discussed. The authors observed that the current use of artificial neural networks is expanding in the areas of aircraft design, dynamics and control, and aircraft operations monitoring. Examples of this kind of work can be found in the articles [10,11,12,13,14,15,16]. These studies focus on optimizing the structure of the components [10,11], diagnosing the powerplant system [12,13], and investigating detailed aerodynamic behaviors under various flight conditions [14]. The application of ANN is also widely utilized in operational aspects, such as fuel consumption prediction [15] and the improvement of radionavigation systems [16]. Published studies have not examined the potential use of ANN for detailed aerodynamic analyses of flow disturbances in the inlet systems of combat aircraft. The introduction of ANN in this area could enable significantly faster and more efficient analyses of fuselage–intake interactions, as well as the patterns and distributions of disturbances under various flight conditions. This is particularly relevant in cases where analysis requires the consideration of a large number of computational scenarios, such as varying flight speeds, angles, and altitudes. The application of more efficient and faster methods for characterizing the performance of inlet systems could also potentially be utilized in aircraft or engine control systems.
The authors of this article discuss issues related to the study of inlet systems in terms of flow issues regarding the influence of various factors on vortex formation and the stability of the operation of this component. The accumulated experience and development of numerical models for individual intake systems are discussed in articles [17,18,19]. The new tool of neural networks is also used in the analyses [20,21].
This study combines two areas of scientific activity. As a first stage, the analysis was performed and thus, the effects of changes in the angle of attack and Mach number on the distributions of flow non-uniformity expressed by dimensionless pressure coefficients were presented. In the second stage, using the obtained database, calculations were performed based on neural networks.
This study investigates the impact of flight speed and angle of attack on flow parameter non-uniformity in a turbofan engine inlet duct, focusing on flow distortion and pressure loss. By integrating numerical simulations with artificial neural networks (ANN), the research enhances predictive capabilities for aerodynamic performance assessment. The first stage involves high-fidelity numerical simulations analyzing circumferential and radial distortion indices (CDI and RDI) under 370 flight conditions, covering the Mach number and angle of attack variations. This yields a dataset of 10,800 total pressure measurements. The study examines how these parameters influence inlet flow stability and uniformity, which are critical for efficient engine operation. In the second stage, a Feed-Forward ANN trained with the CFG algorithm predicts pressure distributions for intermediate flight conditions, reducing computational costs compared to traditional simulations. The ANN model’s accuracy is evaluated through determination coefficients comparing predicted CDI and RDI values with numerical results. This research contributes to optimizing turbofan inlet design by demonstrating the effectiveness of ANN-based modeling in aerodynamic flow analysis. The findings support future advancements in supersonic and highly maneuverable aircraft propulsion systems, improving efficiency and performance under diverse operational conditions.
2. Computational Fluid Dynamics (CFD) Modeling Approach
A so-called fourth-generation normal shockwave inlet system was used for the study. This type of inlet is characterized by a cross-sectional, ellipse-type shape and a relatively short inlet duct. The requirements for this construction solution are high efficiency (performance) over a wide range of mean Mach numbers (0.60 ÷ 1.20) and a simple design with no changing geometries, which also ensures a lower mass. Therefore, this type of inlet has been referred to as a ‘normal shockwave’ and is placed centrally under the fuselage, which is the optimum solution for a high-maneuverability aircraft. As for the disadvantages of this type of inlet, these include increased aerodynamic drag and greater distortion generated at high flight speeds. In addition, there is an increased risk associated with the FOD phenomenon when the engine is running on the ground.
A hybrid mesh, which is a combination of structured and unstructured elements, was used to digitize the inlet system model. Hybrid mesh allowed us to accurately reproduce the complex geometry of the aircraft fuselage. In principle, the fluid domain consists of tetrahedral cells. Five layers of prismatic mesh were applied to the structural mesh on the fuselage and in the inlet duct to increase the accuracy of the results in the near-wall layer body. The final dimensions of the computational domain were 40.0 [m] × 22.0 [m] × 22.0 [m]. To improve the calculation results, a Body of Influence was added around the object. By applying this approach, it is possible to maintain a high accuracy of results in an area where changes in fluid parameters are expected to be large, while at the same time having a smaller total number of elements. The dimensions of the BOI are 7.16 [m] × 4.0 [m] × 3.746 [m]. The final mesh consisted of over 8 million elements, with an average skewness of 0.22649 and an average orthogonality of 0.77254. The lowest mesh quality was observed at the sharp upper edge of the inlet, which caused significant stretching of the triangular surface mesh, resulting in elements with skewness higher than average. Prior to conducting the main computations, a mesh dependency analysis was performed using three different grid resolutions: 6 million, 8 million, and 10 million elements with and without BOI. The criterion selected for this analysis was the average outlet pressure of the inlet system. The final mesh was chosen based on the best trade-off between computational cost and result quality, given the available hardware resources. The applied mesh has been presented in Figure 1.
Figure 1.
Mesh in the plane of symmetry of the intake duct.
A pressure far-field boundary condition was used for the external surfaces, which corresponds to the undisturbed flow under flight conditions. The plane located at the end of the inlet duct, downstream of which the engine fan is located, is assigned a pressure outlet boundary condition with atmospheric pressure value that allows the vacuum at the outlet of the fluid domain to be altered to match the natural operating conditions of the inlet system. Calculations were conducted with the k-ω SST turbulence model due to its effective representation of flows in both wall-adjacent areas and free-stream regions.
The analysis was performed for a flight altitude of 8000 m. The atmospheric parameters at the analyzed altitude were assumed according to the ISA model. A distribution of measuring points was introduced for further analysis and determination of coefficients (Figure 2). The Ansys Fluent software (2023 R2) allows the definition of fixed points or lines (Rake/Line function), which can be used to read parameter values or visualizations. The function allows a specified number of points to be positioned at fixed distances relative to defined geometric parameters. This resulted in a consistent distribution of points, irrespective of the changing shape of the channel (transition from an ellipse section to a circular section).
Figure 2.
Applied distribution of measuring points in the inlet duct.
Figure 3 shows the distribution of design points on the final cross-section (AIP) of the inlet duct. The points were distributed in five rings, every 45°, using a slight density towards the inlet duct wall. Determining the coefficients based on the selected points allows a quantitative description of the uniformity of the pressure field at the outlet of the inlet system. Total pressure values were taken from the designated points, and the cross-sectional area-weighted average total pressure was determined. This resulted in 40 total pressure values for each of the ten angles of attack cases. In total, 370 cases (combinations of angle of attack and Mach number) were analyzed, resulting in a total of read 10,800 total pressure values for the adopted number of measuring points.
Figure 3.
Applied distribution of design points in the AIP cross-section of the inlet duct.
For the operation of the inlet system, the most critical factor is the uniformity of the pressure distribution. In the literature, two coefficients are commonly used to describe the intensity of disturbances along the circumferential and radial directions of the inlet cross-section. Based on the obtained results, two coefficients describing the intensity of the flow distortion in the inlet system were determined:
- Circumferential distortion index CDI, presents the relative value of the deviation, minimum pressure to the mean value in a given circle:where—average pressure for the i-th ring [Pa],—minimal average pressure for the i-th ring [Pa].
- Radial distortion index (RDI) presents the relative value of the pressure deviation for a given circle relative to the average pressure of the entire cross-section:where—average pressure for the i-th ring [Pa],—average pressure for the entire cross-section [Pa].
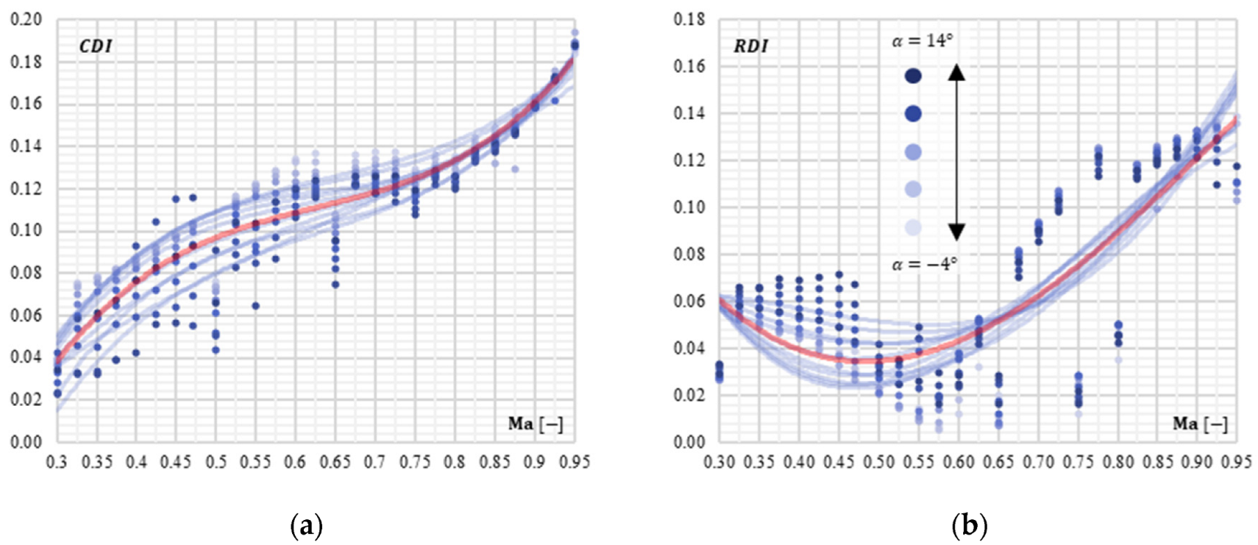
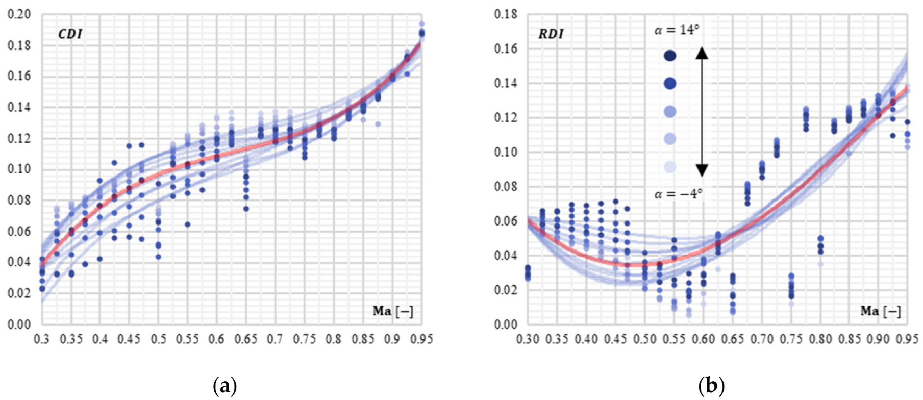
The characteristics of the CDI and RDI coefficients as a function of flight speed and angle of attack for the inlet system are presented in Figure 4. The determined values for specific Mach numbers and angles of attack were presented as points for which approximation curves were then determined for each angle of attack using a third-degree polynomial. The curve highlighted in red, according to the mean values, comes from the entire range of angles of attack. As the observed distortion has an obvious single-lobe pattern, the RDI coefficient values are an order of magnitude smaller than CDI. An increased angle of attack does not result in an increased distortion of the total pressure field at the AIP cross-section in every case. Some combinations of flight speed and angle of attack will cause the area of reduced pressure to shift toward the center of the duct cross-section. As a general rule, however, the distortion of the inlet flow increases as the Mach number increases. The intensity of the distortion generated in the circumferential direction is several times greater than the radial element for all the angles of attack that are being studied in this article. For low Mach numbers, in the range Ma = 0.30 ÷ 0.65, there are strong dependencies of the observed distortion as a function of the angle of attack. The spread of coefficient values is significant in this respect. Higher flight speeds result in greater stability of the distortion against changes in the angle of attack, even though the distortion itself generally increases as the Mach number increases.
Figure 4.
Characteristics regarding the effect of Mach number and angle of attack (α) on the variation of: (a) CDI; and (b) RDI coefficients.
Figure 5 presents a generalization of the CDI coefficient as a function of the Mach number and angle of attack . Regarding the circumferential distortion generated by the inlet system, there is a strong relationship concerning flight speed and thus Mach number. As such, it should be regarded as the most significant parameter affecting the distortion, in contrast to the angle of attack, which does not affect the obtained values of the CDI parameter to such a significant extent. Nevertheless, the distortion values for negative angles of attack are higher than for positive angles of attack. The underlying cause of this phenomenon is mainly the nature of the shockwave entering the inlet, which naturally increases in strength with the increasing flight speed.
Figure 5.
Characteristics of the CDI coefficient as a function of Mach number and angle of attack.
Figure 6 presents an analogous generalization of the RDI coefficient in terms of the Mach number and angle of attack α. The radial distortion presents the lowest values for all angles of attack in the range of numbers Ma = 0.55 ÷ 0.60. Thus, for low Mach numbers, below Ma = 0.50, the occurring radial distortions are several times higher for positive angles of attack than for negative angles of attack, with a completely inverse relationship occurring for high Mach numbers above Ma = 0.65. Nevertheless, again, the main factor on which RDI values depend is the Mach number. It is important to note the cyclic operation of the inlet system concerning the decreasing value of the RDI coefficient for the areas in the range Ma = 0.60, through Ma = 0.70, 0.78, and 0.85. In these fields, there are large gradients of change in the RDI coefficient, reaching up to six times the value. Analyzing the behavior of the CDI coefficient value from this angle (Figure 5), no such large changes were obtained in the circumferential direction. For the inlet system being studied, the intensity of both the radial and circumferential distortion, it is to be believed, will depend mainly on the wave phenomena occurring in the inlet duct. For high flight speeds, and therefore high Mach numbers, the non-uniformity of the pressure field will be significant, due to the occurrence of a separation zone in the upper part and center of the fan inlet cross-section.
Figure 6.
Characteristics of the RDI coefficient as a function of Mach number and angle of attack.
The geometry of the investigated inlet duct results in a characteristic single-lobe distortion pattern in the upper part of the initial cross-section. The separation occurs as a result of the curvature of the channel and originates at the edge of the diverter. An increase in the angle of attack of the aircraft for a given Mach number increases the separation zone observed on the last cross-section of the inlet duct (AIP). The increase in Mach number also increases the intensity of distortion generated in the inlet system, with the increases being much greater than when the angle of attack is increased. The most intense distortions occur for flights and maneuvers performed with a Mach number of Ma = 0.95.
3. Artificial Neural Network
The second part of the study used a Feed-Forward neural network to predict the pressure distribution in the inlet for intermediate values of angles of attack (α) and Mach numbers (). The input parameters required to train the ANN are the angle of attack of the selected aircraft α ∈ ⟨−10; 16⟩°, i.e., 2°, and the Mach number ∈ ⟨0.3; 0.925⟩, i.e., 0.025. The output parameters from the network are the total pressure . The same six sections as in the first part were used for the study. Forty landmarks, numbered according to the scheme on each cross-section, have been identified in Figure 7.
Figure 7.
Example of the applied distribution of measuring points for cross-section six.
The distribution of points was normalized along lines defined at angles of 45° from the angle 0°, corresponding to the positive part of the y-axis. Using the Ansys Fluent solver, 10,400 combinations of input data were analyzed to obtain the pressures necessary to teach the neural networks at the standardized 240 points. The 10,400 cases are the values of pressure readings for individual points in selected sections for all possible combinations of Reynolds number and angle of attack in the range: and . The learning data were divided into training, validation, and testing sets according to a ratio.
240 Artificial Neural Networks (ANNs) were prepared, 40 for each cross-section. A single neural network predicted the dynamic pressure for a single, selected point. The MATLAB (MATLAB 2024a, Deep Learning Toolbox) Neural Network Toolbox was used as the environment for the neural networks. The ANN architecture was defined as a Feed-Forward neural network (2-50-20-2-1), and they were trained using the CFG algorithm (Conjugate gradient backpropagation with Fletcher–Reeves update). The structure of the neural networks stems from an earlier, unsuccessful attempt to predict RDI and CDI coefficients in between selected characteristic points. The analysis started with a network with more hidden layers, which was not able to learn with sufficient accuracy. The network learned quickly and accurately enough, so the process of optimizing its structure was abandoned. In future publications, where the authors will try to use ANN to predict the pressure distribution between selected points, the optimization of the network’s hyperparameters will be carried out. However, our experience shows that the applied activation functions (linear for output layer and sigmoidal for rest of them) and learning rate equal 0.01 are working correctly.
The training aimed to minimize the mean squared error (MSE) of the data fitting. The training was repeated until the maximum relative error of the impact pressure prediction was no greater than 4%. Of the 240 networks, 71 had an error greater than 1%, with 31 greater than 2% and 17 greater than 3%. The training error histogram of all 240 networks is shown in Figure 8. The error histogram and MSE for one of each randomly chosen neural network are shown in Figure 9. The high value of errors (absolute error) is not a major problem, because relatively speaking, most of these errors do not exceed 5%.
Figure 8.
Histogram of ANN relative training error.
Figure 9.
Error histogram (a) and MSE (b) for one of each randomly chosen neural network. Where green circle is point of best performance.
Figure 10 presents the coefficient of determination of the artificial neural networks used, trained for all angles of attack and numbers about the data achieved based on hard calculations (CFD), is presented.
Figure 10.
The
coefficient of determination for impact pressure, achieved by numerical studies () and ANN () (a), and divided into angles, which is consistent with Figure 7 (b).
The resulting data fitting distribution and the coefficient of determination was . This demonstrates that the neural networks are well-trained for pressure distribution prediction. Figure 11 presents the coefficient of determination for the impact pressure achieved by numerical studies () and ANN () for individual position vectors, which is consistent with Figure 7.

Figure 11.
The coefficient of determination for the impact pressure achieved by numerical studies () and ANN () for individual position vectors. The division was made by Figure 7.
The network achieved the worst coefficient of determination on the vertical line from the axis of rotation (0°), which was equal to . The higher coefficient of determination corresponds to the angular position for which, according to Figure 11, there is a lower pressure gradient.
Figure 12 presents the coefficients of determination for the CDI and RDI coefficients calculated based on the prediction of ANN pressures and numerical calculations.
Figure 12.
coefficient of determination for CDI (a) and RDI (b) coefficients were determined by numerical analyses and ANN.
As presented in Figure 12, the coefficients of determination for the CDI and RDI coefficients are, respectively, and . The prediction accuracy of the CDI and RDI coefficients is sufficiently high to conclude that the developed neural metamodel enables the prediction of the aforementioned coefficients for predicting the nature of the pressure variations in the inlet duct to the turbine engine.
4. Conclusions
The analysis of the fourth-generation inlet system highlights its critical role in ensuring both propulsion efficiency and overall aircraft performance. Through a comprehensive evaluation of flow distortion indices, it was determined that the radial distortion index (RDI) is an order of magnitude smaller than the circumferential distortion index (CDI). Notably, an increase in the angle of attack does not consistently lead to higher total pressure distortion at the aerodynamic interface plane (AIP).
For low Mach numbers (Ma = 0.30–0.65), a strong dependence between flow distortion and angle of attack was observed. The CDI coefficient exhibited higher distortion values for negative angles of attack compared to positive angles, primarily due to the influence of shockwave behavior. A similar trend was noted for RDI at higher Mach numbers, whereas at lower Mach numbers, the relationship was reversed. Additionally, cyclic behavior in inlet flow was identified, with RDI coefficients exhibiting significant gradients—up to sixfold variations—across specific Mach number ranges.
The application of artificial neural networks (ANN) demonstrated high predictive accuracy in modeling CDI and RDI coefficients. The trained ANN exhibited strong data fitting capabilities, with determination coefficients indicating robust predictive performance. These results confirm the viability of neural networks as an effective tool for analyzing turbine engine inlet dynamics, providing a computationally efficient approach to predicting pressure distribution patterns.
The proposed method enables its application in various aspects related to turbine engines as well as other turbomachines. The first area of application concerns the design of new intake systems, while the second focuses on the improvement of existing designs. The potential utilization of neural networks in this context can be of significant importance in turbine engine control systems due to their speed and accuracy. This is particularly relevant for engines installed on highly maneuverable aircraft as well as those used for commercial or transport applications.
A disturbance in the system induces an off-design operating state for the subsequent component, the fan or compressor. Exceeding critical thresholds under such conditions introduces the risk of surge phenomena, potentially leading to engine shutdown. The ability to determine instability ranges using neural networks and subsequently convert these into control signals for stabilizing components, including variable guide vanes, handling bleed systems, and rotor speed adjustments, can effectively protect the engine from thrust or power loss.
Control systems based on such solutions can address various challenges arising from flight operations in turbulent atmospheric conditions under different flight parameters (e.g., speed, altitude, and angles). This is achieved by generating predictive models of possible behavior for individual components, including the intake system.
This study enhances the understanding of fourth-generation inlet system behavior under varying flight conditions, contributing to improved engine control strategies for mitigating stall and surge risks. The findings support ongoing advancements in turbine engine inlet system research, reinforcing the importance of data-driven modeling in modern aerospace engineering.
Author Contributions
Conceptualization, A.K.; methodology, A.K., M.A. and R.K.; software, M.A., R.K.; validation, A.K., M.A. and R.K.; formal analysis, A.K., M.A. and R.K.; investigation, A.K., M.A. and R.K.; resources, A.K., M.A. and R.K.; data curation, A.K., M.A. and R.K.; writing—original draft preparation, M.A. and R.K.; writing—review and editing, A.K., M.A. and R.K.; visualization, M.A. and R.K.; supervision, A.K.; project administration, A.K. and R.K.; funding acquisition, A.K. All authors have read and agreed to the published version of the manuscript.
Funding
This research was funded by the Military University of Technology, Warsaw, Poland, under research project No. UGB Nr 531-000039-W200-22 dated 28 January 2025.
Data Availability Statement
Data is contained within the article.
Conflicts of Interest
The authors declare no conflicts of interest.
References
- Whitford, R. Design for Air Combat; Jane’s: London, UK, 1987. [Google Scholar]
- Smith, F.C.; Podleskit, S.D. Installed F/A-18A Inlet Flow Calculations: A Grid Study. J. Propuls. Power 1995, 11, 1250–1256. [Google Scholar] [CrossRef]
- Wellborn, S.R.; Reichertt, B.A.; Okiishiij, T.H. Study of the Compressible Flow in a Diffusing S-Duct. J. Propuls. Power 1994, 10, 668–675. [Google Scholar] [CrossRef]
- Bruns, J.E.; Smitht, F.C. Installed F/A-18 Inlet Flow Calculations at a High Angle of Attack. J. Propuls. Power 1994, 10, 110–115. [Google Scholar] [CrossRef]
- Mohankumar, B.; Hall, C.A.; Wilson, M.J. Fan Aerodynamics With a Short Intake at High Angle of Attack. J. Turbomach. 2021, 143, 051003. [Google Scholar] [CrossRef]
- Sudasinghe, A.; Rajakareyar, P.; Matida, E.; Abo El Ella, H.; El Sayed, M.S.A. Aerodynamic Shape Optimization of an Aircraft Propulsor Air Intake with Boundary Layer Ingestion. Appl. Mech. 2022, 3, 1123–1144. [Google Scholar] [CrossRef]
- Ibrahim, I.H.; Ng, E.Y.K.; Wong, K. Flight Maneuverability Characteristics of the F-16 CFD and Correlation with its Intake Total Pressure Recovery and Distortion. Eng. Appl. Comput. Fluid Mech. 2011, 5, 223–234. [Google Scholar] [CrossRef][Green Version]
- Askari, R.; Soltani, M.R.; Mostoufi, K.; Khajeh Fard, A.; Abedi, M. Angle of Attack Investigations on the Performance of a Diverterless Supersonic Inlet. J. Appl. Fluid Mech. 2019, 12, 2017–2030. [Google Scholar] [CrossRef]
- Dong, Y.; Tao, J.; Zhang, Y.; Lin, W.; Ai, J. Deep Learning in Aircraft Design, Dynamics, and Control: Review and Prospects. IEEE Trans. Aerosp. Electron. Syst. 2021, 57, 2346–2368. [Google Scholar] [CrossRef]
- Li, Z.; Chen, C.; Pei, H.; Kong, B. Structural Optimization of the Aircraft NACA Inlet Based on BP Neural Networks and Genetic Algorithms. Int. J. Aerosp. Eng. 2020, 2020, 8857821. [Google Scholar] [CrossRef]
- Rai, M.M.; Madavan, N.K. Application of Articial Neural Networks to the Design of Turbomachinery Airfoils. J. Propuls. Power 2001, 17, 176–183. [Google Scholar] [CrossRef]
- Lu, P.J.; Zhang, M.C.; Hsu, T.C.; Zhang, J. An Evaluation of Engine Faults Diagnostics Using Artificial Neural Networks. J. Eng. Gas Turbines Power 2001, 2001, 340–346. [Google Scholar] [CrossRef]
- Kobayashi, T.; Simon, D.L. Hybrid Neural-Network Genetic-Algorithm Technique for Aircraft Engine Performance Diagnostics. J. Propuls. Power 2005, 21, 751–758. [Google Scholar] [CrossRef]
- Mirmohammadi, A.; Taheri, A.; Mohammadi-Amin, M. Numerical Framework to Investigate Intake Aerodynamics Behavior in Icing Conditions, World Academy of Science. Eng. Technol. Int. J. Mech. Mechatron. Eng. 2009, 3, 717–722. Available online: https://zenodo.org/record/1084598/files/15208.pdf (accessed on 1 March 2025).
- Baklacioglu, T. Predicting the fuel flow rate of commercial aircraft via multilayer perceptron, radial basis function and ANFIS artificial neural networks. Aeronaut. J. 2020, 125, 453–471. [Google Scholar] [CrossRef]
- Julian, K.D.; Kochenderfer, M.J.; Owen, M.P. Deep Neural Network Compression for Aircraft Collision Avoidance Systems. J. Guid. Control. Dyn. 2018, 42, 598–608. [Google Scholar] [CrossRef]
- Kozakiewicz, A.; Kachel, S.; Frant, M.; Majcher, M. Intake-System-Performance Stability as a Function of Flow Throttling. Energies 2022, 15, 6291. [Google Scholar] [CrossRef]
- Kozakiewicz, A.; Adamczyk, M.; Wróblewski, M. Areas of Investigation into Air Intake Systems for the Impact on Compressor Performance Stability in Aircraft Turbine Engines. Adv. Sci. Technol. Res. J. 2022, 16, 62–64. [Google Scholar] [CrossRef]
- Kozakiewicz, A.; Frant, M.; Majcher, M.; Adamczyk, M. Analysis of the Impact of Aircraft Manoeuvring on Intake Disturbance. Int. Rev. Aerosp. Eng. (IREASE) 2023, 1, 159–168. [Google Scholar] [CrossRef]
- Kieszek, R.; Kachel, S.; Kozakiewicz, A. Modification of Genetic Algorithm Based on Extinction Events and Migration. Appl. Sci. 2023, 13, 5584. [Google Scholar] [CrossRef]
- Kozakiewicz, A.; Kieszek, R. Artificial Neural Network Structure Optimisation in the Pareto Approach on the Example of Stress Prediction in the Disk-Drum Structure of an Axial Compressor. Materials 2022, 15, 4451. [Google Scholar] [CrossRef] [PubMed]
Disclaimer/Publisher’s Note: The statements, opinions and data contained in all publications are solely those of the individual author(s) and contributor(s) and not of MDPI and/or the editor(s). MDPI and/or the editor(s) disclaim responsibility for any injury to people or property resulting from any ideas, methods, instructions or products referred to in the content. |
© 2025 by the authors. Licensee MDPI, Basel, Switzerland. This article is an open access article distributed under the terms and conditions of the Creative Commons Attribution (CC BY) license (https://creativecommons.org/licenses/by/4.0/).












