Study on Efficient and Stable Energy Conversion Method of Oscillating Water Column Device Based on Energy Storage Valve Control
Abstract
1. Introduction
2. System Power Generation Principle
3. Hydrodynamic Numerical Analysis Model
3.1. Experimental Modeling
3.2. Numerical Modeling
3.3. Numerical Model Validation
4. Hydrodynamic Numerical Analysis and Discussion
4.1. Analysis of Energy Conversion Process
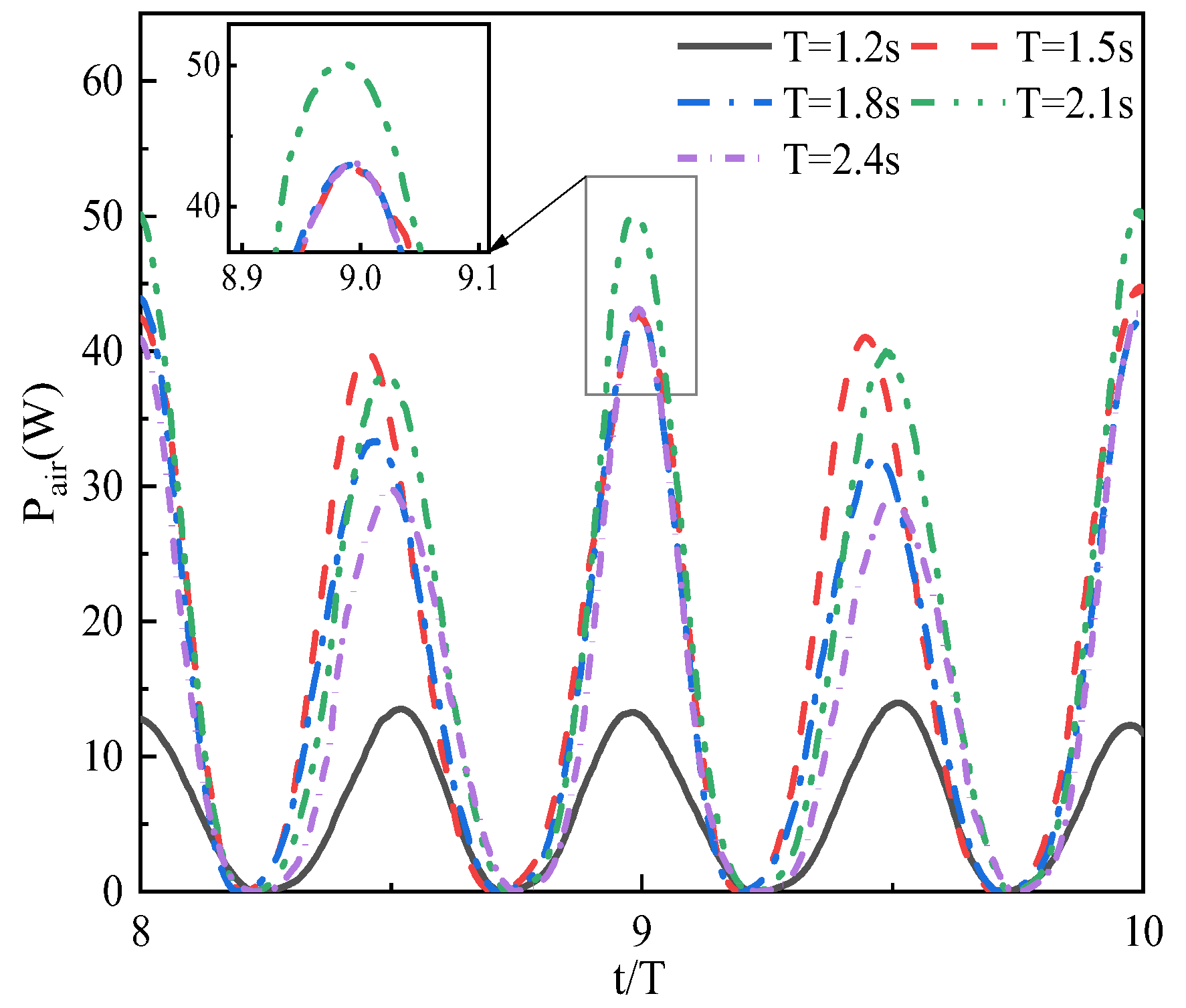
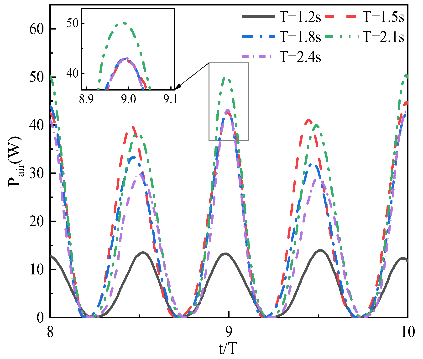
4.2. Effects of Incidence Wave Period
4.3. Effects of Opening Ratio
4.4. Effects of Incidence Wave Height
5. Pneumatic System Simulation Analysis
5.1. Mathematical Problem
5.2. Model Construction
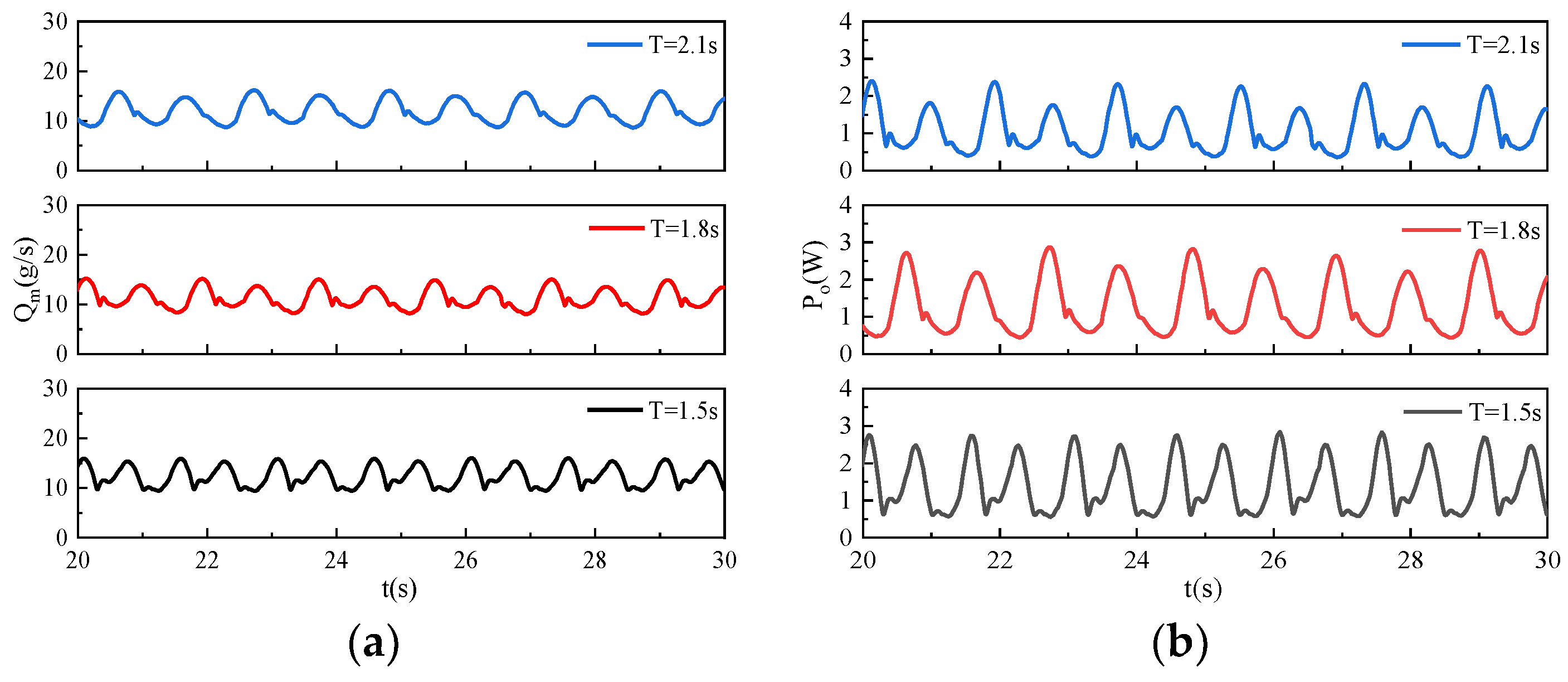
5.3. Data Analysis
6. Conclusions
- (1)
- As the period increases, the energy acquisition efficiency of the OWC device first rises, peaks at 1.5 s, and then declines. This is primarily because the device’s resonant period is near 1.5 s, resulting in water column resonance within the air chamber and enhanced hydrodynamic performance. At shorter periods, stronger wave reflection reduces energy capture, while at longer periods, greater transmission limits energy absorption, resulting in suboptimal performance.
- (2)
- The opening ratio significantly affects the hydrodynamic efficiency of the OWC device. As the opening ratio decreases, the average wave surface elevation inside the chamber drops, while the average chamber pressure and airflow velocity at the orifice increase. The optimal opening ratio varies with the incident wave period. Increasing turbine damping in long-period wave conditions can enhance the energy conversion efficiency.
- (3)
- The height of the incident wave slightly affects the device’s resonance period and hydrodynamic efficiency. The hydrodynamic efficiency initially increases and then decreases with rising wave height. The optimal wave height varies for different wave periods.
- (4)
- The novel PTO system, incorporating accumulators and switching valves, significantly improves airflow stability through the turbine, resulting in a more stable relative power output. The rational selection of the accumulator system parameters and the construction of the logic control of the switching valve can reduce the volatility of the mass flow rate via the turbine by 53.49% and the volatility of the output power by 25.46%.
Author Contributions
Funding
Data Availability Statement
Conflicts of Interest
References
- Alam, M.; Kayes, I.; Hasan, A.; Shahriar, T.; Habib, M.A. Exploring SAARC’s Ocean Energy Potential: Current Status and Future Policies. Energy Rep. 2024, 11, 754–778. [Google Scholar] [CrossRef]
- Cai, Q.; Zhu, S. Applying Double-Mass Pendulum Oscillator with Tunable Ultra-Low Frequency in Wave Energy Converters. Appl. Energy 2021, 298, 117228. [Google Scholar] [CrossRef]
- Lopez, I.; Andreu, J.; Ceballos, S.; Martinez de Alegria, I.; Kortabarria, I. Review of Wave Energy Technologies and the Necessary Power-Equipment. Renew. Sust. Energ. Rev. 2013, 27, 413–434. [Google Scholar] [CrossRef]
- Qiao, D.; Haider, R.; Yan, J.; Ning, D.; Li, B. Review of Wave Energy Converter and Design of Mooring System. Sustainability 2020, 12, 8251. [Google Scholar] [CrossRef]
- Aderinto, T.; Li, H. Review on Power Performance and Efficiency of Wave Energy Converters. Energies 2019, 12, 4329. [Google Scholar] [CrossRef]
- Handoko, C.R.; Mukhtasor. The Development of Power Take-off Technology in Wave Energy Converter Systems: A Review. IOP Conf. Ser. Earth Environ. Sci. 2021, 739, 012081. [Google Scholar] [CrossRef]
- Delauré, Y.M.C.; Lewis, A. 3D Hydrodynamic Modelling of Fixed Oscillating Water Column Wave Power Plant by a Boundary Element Methods. Ocean Eng. 2003, 30, 309–330. [Google Scholar] [CrossRef]
- Evans, D.V.; Porter, R. Hydrodynamic Characteristics of an Oscillating Water Column Device. Appl. Ocean Res. 1995, 17, 155–164. [Google Scholar] [CrossRef]
- Falcao, A.F.O.; Henriques, J.C.C. The Spring-like Air Compressibility Effect in Oscillating- Water-Column Wave Energy Converters: Review and Analyses. Renew. Sust. Energ. Rev. 2019, 112, 483–498. [Google Scholar] [CrossRef]
- Falcao, A.F.O.; Henriques, J.C.C. Oscillating-Water-Column Wave Energy Converters and Air Turbines: A Review. Renew. Energy 2016, 85, 1391–1424. [Google Scholar] [CrossRef]
- Heath, T.V. A Review of Oscillating Water Columns. Philos. Trans. R. Soc. A-Math. Phys. Eng. Sci. 2012, 370, 235–245. [Google Scholar] [CrossRef]
- Josset, C.; Clement, A.H. A Time-Domain Numerical Simulator for Oscillating Water Column Wave Power Plants. Renew. Energy 2007, 32, 1379–1402. [Google Scholar] [CrossRef]
- Nagata, S.; Toyota, K.; Imai, Y.; Setoguchi, T.; Nakagawa, H. Frequency Domain Analysis on Primary Conversion Efficiency of a Floating OWC-Type Wave Energy Converter. Part1, Two Dimensional Problems. J. Jpn. Soc. Nav. Archit. Ocean Eng. 2011, 14, 123–133. [Google Scholar]
- Iturrioz, A.; Guanche, R.; Armesto, J.A.; Alves, M.A.; Vidal, C.; Losada, I.J. Time-Domain Modeling of a Fixed Detached Oscillating Water Column towards a Floating Multi-Chamber Device. Ocean Eng. 2014, 76, 65–74. [Google Scholar] [CrossRef]
- Mavrakos, S.A.; Konispoliatis, D.N. Hydrodynamics of a Free Floating Vertical Axisymmetric Oscillating Water Column Device. J. Appl. Math. 2012, 142850. [Google Scholar] [CrossRef]
- Ning, D.; Zhou, Y.; Zhang, C. Hydrodynamic Modeling of a Novel Dual-Chamber OWC Wave Energy Converter. Appl. Ocean Res. 2018, 78, 180–191. [Google Scholar] [CrossRef]
- Ning, D.; Wang, R.; Zhang, C. Numerical Simulation of a Dual-Chamber Oscillating Water Column Wave Energy Converter. Sustainability 2017, 9, 1599. [Google Scholar] [CrossRef]
- Konispoliatis, D.N. Hydrodynamic Analysis of a Dual Chamber Floating Oscillating Water Column Device. Appl. Ocean Res. 2025, 154, 104340. [Google Scholar] [CrossRef]
- Ning, D.-Z.; Wang, R.-Q.; Zou, Q.-P.; Teng, B. An Experimental Investigation of Hydrodynamics of a Fixed OWC Wave Energy Converter. Appl. Energy 2016, 168, 636–648. [Google Scholar] [CrossRef]
- Ning, D.; Wang, R.; Chen, L.; Sun, K. Experimental Investigation of a Land-Based Dual-Chamber OWC Wave Energy Converter. Renew. Sust. Energ. Rev. 2019, 105, 48–60. [Google Scholar] [CrossRef]
- Lopez, I.; Carballo, R.; Taveira-Pinto, F.; Iglesias, G. Sensitivity of OWC Performance to Air Compressibility. Renew. Energy 2020, 145, 1334–1347. [Google Scholar] [CrossRef]
- Liu, Z.; Xu, C.; Qu, N.; Cui, Y.; Kim, K. Overall Performance Evaluation of a Model-Scale OWC Wave Energy Converter. Renew. Energy 2020, 149, 1325–1338. [Google Scholar] [CrossRef]
- Zhou, Y.; Ning, D.; Liang, D.; Cai, S. Nonlinear Hydrodynamic Analysis of an Offshore Oscillating Water Column Wave Energy Converter. Renew. Sust. Energ. Rev. 2021, 145, 111086. [Google Scholar] [CrossRef]
- Joensen, B.; Bingham, H.B.; Read, R.W.; Nielsen, K.; Trevino, J.B. Hydrodynamic Analysis of One-Way Energy Capture by an Oscillating Water Column Wave Energy Device. Energy Rep. 2023, 9, 5306–5322. [Google Scholar] [CrossRef]
- Gao, J.; Mi, C.; Song, Z.; Liu, Y. Transient Gap Resonance between Two Closely-Spaced Boxes Triggered by Nonlinear Focused Wave Groups. Ocean Eng. 2024, 305, 117938. [Google Scholar] [CrossRef]
- Gong, S.; Gao, J.; Song, Z.; Shi, H.; Liu, Y. Hydrodynamics of Fluid Resonance in a Narrow Gap between Two Boxes with Different Breadths. Ocean Eng. 2024, 311, 118986. [Google Scholar] [CrossRef]
- Mi, C.; Gao, J.; Song, Z.; Liu, Y. Hydrodynamic Wave Forces on Two Side-by-Side Barges Subjected to Nonlinear Focused Wave Groups. Ocean Eng. 2025, 317, 120056. [Google Scholar] [CrossRef]
- Liu, Z.; Xu, C.; Kim, K. A CFD-Based Wave-to-Wire Model for the Oscillating Water Column Wave Energy Convertor. Ocean Eng. 2022, 248, 110842. [Google Scholar] [CrossRef]
- Yang, C.; Xu, T.; Wan, C.; Liu, H.; Su, Z.; Zhao, L.; Chen, H.; Johanning, L. Numerical Investigation of a Dual Cylindrical OWC Hybrid System Incorporated into a Fixed Caisson Breakwater. Energy 2023, 263, 126132. [Google Scholar] [CrossRef]
- Zeng, Y.; Shi, W.; Michailides, C.; Ren, Z.; Li, X. Turbulence Model Effects on the Hydrodynamic Response of an Oscillating Water Column (OWC) with Use of a Computational Fluid Dynamics Model. Energy 2022, 261, 124926. [Google Scholar] [CrossRef]
- Fan, Q.; Zhan, J.; Hu, W.; Huang, Z. Effects of Orifice Size on the Efficiency of a Heaving Oscillating Water Column. Eng. Appl. Comp. Fluid Mech. 2022, 16, 676. [Google Scholar] [CrossRef]
- Peng, J.; Hu, C.; Yang, C. Influence of Incoming Wave Conditions on the Hysteretic Behavior of an Oscillating Water Column System for Wave Energy Conversion. Ocean Eng. 2023, 280, 114828. [Google Scholar] [CrossRef]
- Xie, G.; Zhao, T.; Ma, Y.; Ni, W.; Hu, C. Investigation on the Wave Focusing Effects and Energy Capture of Oscillating Water Column Array. Renew. Energy 2025, 238, 121901. [Google Scholar] [CrossRef]
- Vicente, M.; Benreguig, P.; Crowley, S.; Murphy, J. Tupperwave-preliminary numerical modelling of a floating OWC equipped with a unidirectional turbine. In Proceedings of the 12th European Wave and Tidal Energy Conference (EWTEC), Cork, Ireland, 27 August–1 September 2017. [Google Scholar]
- Jayashankar, V.; Anand, S.; Geetha, T.; Santhakumar, S.; Kumar, V.J.; Ravindran, M.; Setoguchi, T.; Takao, M.; Toyota, K.; Nagata, S. A Twin Unidirectional Impulse Turbine Topology for OWC Based Wave Energy Plants. Renew. Energy 2009, 34, 692–698. [Google Scholar] [CrossRef]
- Martinelli, L.; Ruol, P.; Fassina, E.; Giuliani, F.; Delmonte, N. A Wave-2-Wire Experimental Investigation of the New “Seabreath” Wave Energy Converter: The Hydraulic Response. Coast. Eng. Proc. 2014, 1, 29. [Google Scholar] [CrossRef][Green Version]
- Benreguig, P.; Vicente, M.; Dunne, A.; Murphy, J. Modelling Approaches of a Closed-Circuit OWC Wave Energy Converter. J. Mar. Sci. Eng. 2019, 7, 23. [Google Scholar] [CrossRef]
- Ning, D.; Zhou, Y.; Mayon, R.; Johanning, L. Experimental Investigation on the Hydrodynamic Performance of a Cylindrical Dual-Chamber Oscillating Water Column Device. Appl. Energy 2020, 260, 114252. [Google Scholar] [CrossRef]
- Soares, C.G. Offshore Structure Modelling. Appl. Ocean Res. 1995, 17, 391–392. [Google Scholar] [CrossRef]
- Sarmento, A.; Falcao, A. Wave Generation by an Oscillating Surface-Pressure and Its Application in Wave-Energy Extraction. J. Fluid Mech. 1985, 150, 467–485. [Google Scholar] [CrossRef]
- Song, Z.; Jiao, Z.; Gao, J.; Mi, C.; Liu, Y. Numerical Investigation on the Hydrodynamic Wave Forces on the Three Barges in Proximity. Ocean Eng. 2025, 316, 119941. [Google Scholar] [CrossRef]
- Elhanafi, A.; Fleming, A.; Macfarlane, G.; Leong, Z. Numerical Energy Balance Analysis for an Onshore Oscillating Water Column-Wave Energy Converter. Energy 2016, 116, 539–557. [Google Scholar] [CrossRef]
- Tian, S.; Wu, L. Multiscale Modelling and Simulation of Coexisting Turbulent and Rarefied Gas Flows. J. Fluid Mech. 2024, 1002, A10. [Google Scholar] [CrossRef]
- Hirt, C.; Nichols, B. Volume of Fluid (Vof) Method for the Dynamics of Free Boundaries. J. Comput. Phys. 1981, 39, 201–225. [Google Scholar] [CrossRef]
- Fu, L.; Cheng, Y. Hydrodynamic Performance of a Dual-Floater Integrated System Combining Hybrid WECs and Floating Breakwaters. China Ocean Eng. 2022, 36, 969–979. [Google Scholar] [CrossRef]
- Iturrioz, A.; Guanche, R.; Lara, J.L.; Vidal, C.; Losada, I.J. Validation of OpenFOAM® for Oscillating Water Column Three-Dimensional Modeling. Ocean Eng. 2015, 107, 222–236. [Google Scholar] [CrossRef]
- Kharkeshi, B.A.; Shafaghat, R.; Jahanian, O.; Alamian, R.; Rezanejad, K. Experimental Study of an Oscillating Water Column Converter to Optimize Nonlinear PTO Using Genetic Algorithm. Energy 2022, 260, 124925. [Google Scholar] [CrossRef]
- Zhou, Y.; Zhang, C.; Ning, D. Hydrodynamic Investigation of a Concentric Cylindrical OWC Wave Energy Converter. Energies 2018, 11, 985. [Google Scholar] [CrossRef]



























Disclaimer/Publisher’s Note: The statements, opinions and data contained in all publications are solely those of the individual author(s) and contributor(s) and not of MDPI and/or the editor(s). MDPI and/or the editor(s) disclaim responsibility for any injury to people or property resulting from any ideas, methods, instructions or products referred to in the content. |
© 2025 by the authors. Licensee MDPI, Basel, Switzerland. This article is an open access article distributed under the terms and conditions of the Creative Commons Attribution (CC BY) license (https://creativecommons.org/licenses/by/4.0/).
Share and Cite
Hai, Y.; Yuan, Z.; Wei, C.; Liu, Y.; Xue, G. Study on Efficient and Stable Energy Conversion Method of Oscillating Water Column Device Based on Energy Storage Valve Control. Energies 2025, 18, 666. https://doi.org/10.3390/en18030666
Hai Y, Yuan Z, Wei C, Liu Y, Xue G. Study on Efficient and Stable Energy Conversion Method of Oscillating Water Column Device Based on Energy Storage Valve Control. Energies. 2025; 18(3):666. https://doi.org/10.3390/en18030666
Chicago/Turabian StyleHai, Yunpeng, Zhenyu Yuan, Changdong Wei, Yanjun Liu, and Gang Xue. 2025. "Study on Efficient and Stable Energy Conversion Method of Oscillating Water Column Device Based on Energy Storage Valve Control" Energies 18, no. 3: 666. https://doi.org/10.3390/en18030666
APA StyleHai, Y., Yuan, Z., Wei, C., Liu, Y., & Xue, G. (2025). Study on Efficient and Stable Energy Conversion Method of Oscillating Water Column Device Based on Energy Storage Valve Control. Energies, 18(3), 666. https://doi.org/10.3390/en18030666

