Laboratory-to-Field Scale Numerical Investigation of Enhanced Oil Recovery Mechanism for Supercritical CO2-Energized Fracturing
Abstract
1. Introduction
2. Numerical Simulation
2.1. Assumption Conditions
- Three-Phase Reservoir Composition: The reservoir consists of three phases, including oil, gas, and water. It contains Nc hydrocarbon components. The water phase behavior is independent of the oil and gas phases, and hydrocarbon substances exist in the oil and gas phases.
- Darcy’s Law and Consideration of Gravity Effects: fluid flow within the reservoir follows Darcy’s law, and gravity effects are considered in the flow process.
- Compressible Fluids and Rocks: fluids and rocks are both considered to be compressible in the model.
- Inter-Phase Mass Transfer: the components exhibit inter-phase mass transfer effects.
- Constant Permeability in All Directions: the permeability at a specific point within the reservoir remains constant in all directions.
- Initial Reservoir Stability: prior to CO2 injection, the reservoir is assumed to be in a state of overall stability and is not disturbed by neighboring well operations.
- Isothermal Reservoir After CO2 Injection: following the completion of CO2 injection operations, the reservoir is assumed to remain in an isothermal state.
2.2. Mathematical Model
- (1)
- Continuity Equation
- (2)
- Constraint Conditions
- (3)
- Auxiliary Equations
- (4)
- Boundary Conditions
- (5)
- Initial Conditions
2.3. Saturation-Phase Curve
2.4. Pressure-Sensitivity Curve
2.5. CO2 EOR Mechanisms in Core Scale
2.6. CO2 EOR Mechanisms in Field Scale
- Fracture Region (Region ①): In this region, the focus was on modeling the fracture network. Different amounts of CO2 were injected to determine the fracture’s conductivity or permeability.
- Stimulated Reservoir Volume (SRV) (Region ②): This area encompassed the vicinity of the fractures. An expansion and compaction model was applied, with changes in permeability and porosity as functions of pressure variations.
- Reservoir Matrix Region (Region ③): In this region, a grid-based porous media model was established to represent the reservoir matrix. This involved considering pore-scale permeability and porosity distributions.
- The goal of this approach was to understand and simulate the processes involved in CO2 pre-fracturing energy storage and subsequent production flowback by accounting for the different characteristics and behaviors of these three distinct regions.
- In Region 1, fractures were simulated using narrower grid spacing to capture the behavior of the fractures. A permeability multiplier curve in rock was utilized to depict the expansion of fractures occurring during the hydraulic fracturing process, the elastic closure of fractures during the shut-in phase, and the formation of proppant-filled fractures (see Figure 5).
- In Region 2, locally refined grids were utilized to simulate the modified zone formed in the vicinity of the fractures. These refined grids allowed for a detailed representation of the changes in permeability and porosity resulting from the hydraulic fracturing process.
3. Results and Discussion
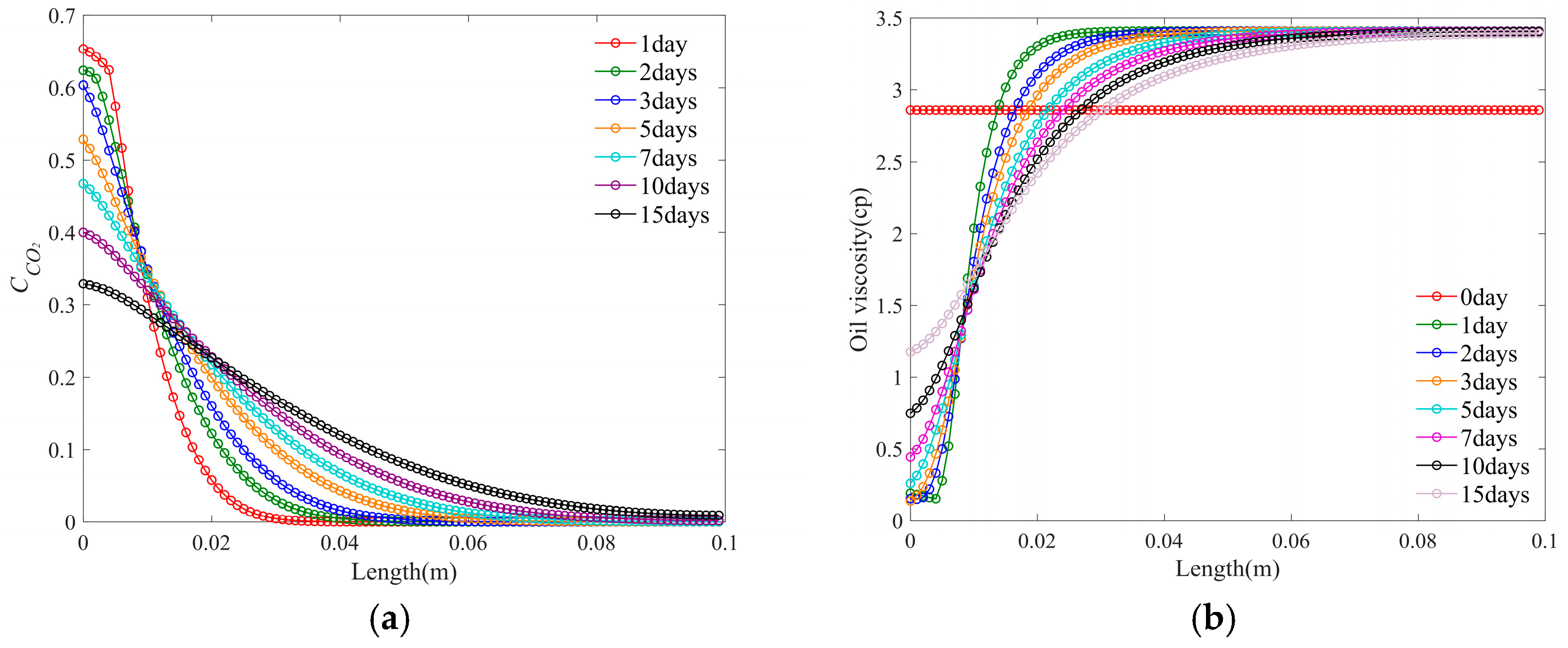
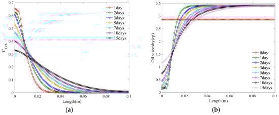
3.1. Results of Permeability and Viscosity Reduction Patterns of CO2 in the Core
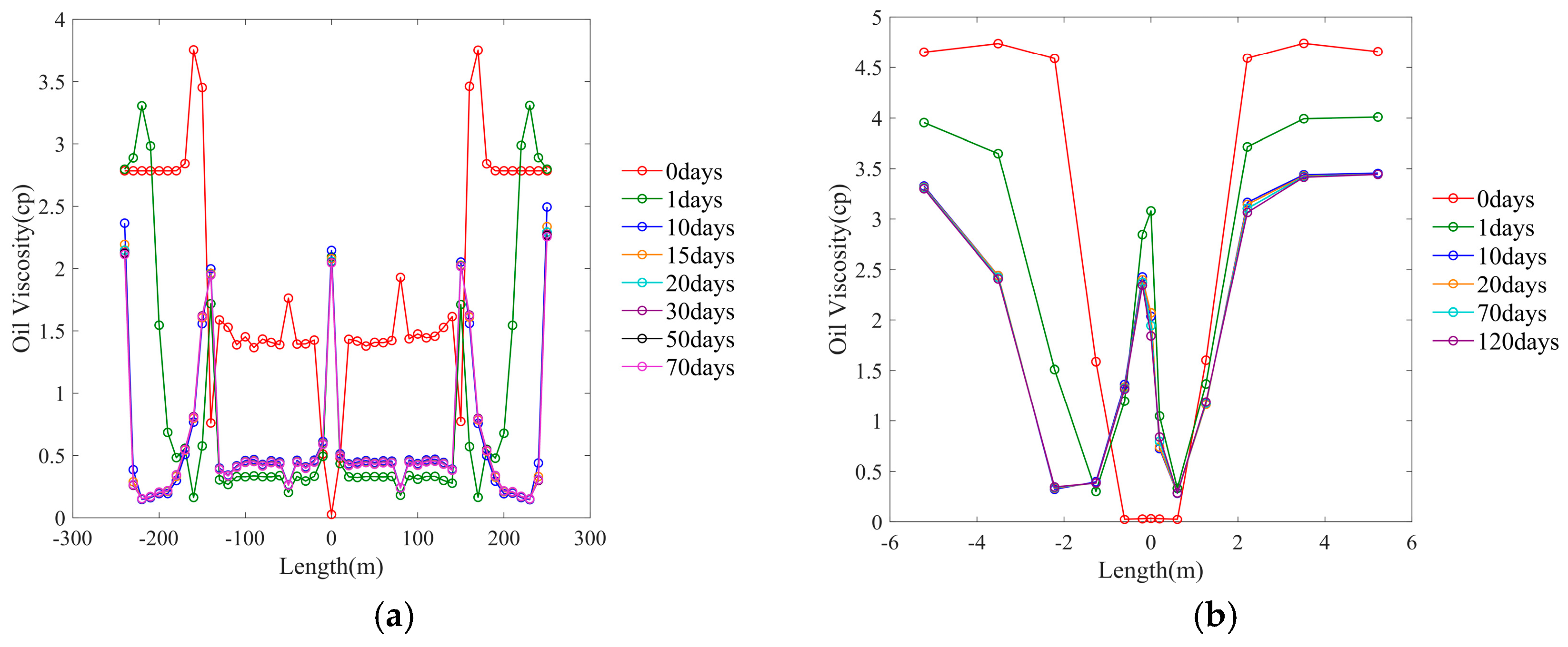
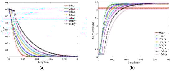
3.2. Results of CO2 EOR Mechanisms in Field Scale
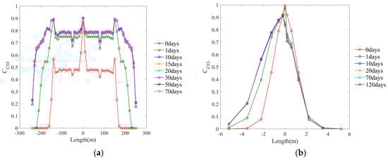
3.2.1. During Injection Stage
3.2.2. During Shut-In Stage
3.2.3. Optimal Shut-In Time
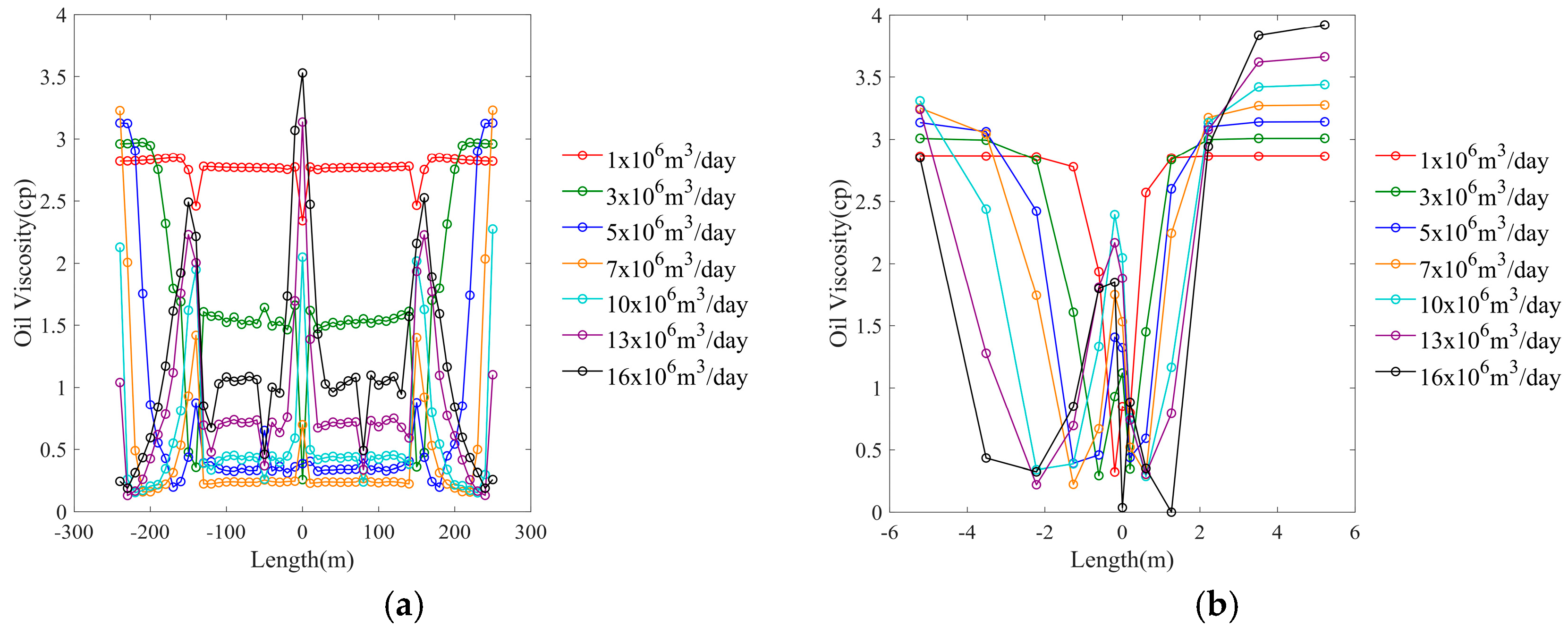
3.2.4. Optimal Gas Injection Rate
4. Conclusions
- During the simulation of hydraulic fracturing operations, CO2 diffusion reaches a maximum distance of approximately 4 cm into the core, effectively reducing the viscosity within a range of about 3.5 cm.
- Simulating hydraulic fracturing operations on a larger scale, CO2 diffusion extends to a maximum distance of approximately 4 m, significantly reducing oil viscosity within a distance of about 3.5 m.
- As the injection phase ends and the shut-in phase commences, crude oil within the matrix in the immediate vicinity of the fracture is displaced deeper into the matrix. As the shut-in phase progresses, CO2 continues to diffuse and dissolve in crude oil, ultimately leading to the re-saturation of this portion of the matrix due to the displacement effect of CO2.
- Extending the shut-in time is advantageous for improving oil recovery. In pursuit of a balance between economic value and high production, a 20-day shut-in time is recommended.
- Different injection rates result in varying reservoir pressures at the end of the injection. Higher pressures increase oil viscosity, enhancing fracture conductivity. Taking into account economic considerations, an injection rate of 1 × 106 m3/day is considered a suitable choice.
Author Contributions
Funding
Data Availability Statement
Conflicts of Interest
References
- Sheng, J.J. Evaluation of EOR potential of energized fluid fracturing-from an energy perspective. Fuel 2022, 307, 121856. [Google Scholar] [CrossRef]
- Caineng, Z.; Zhi, Y.; Jingwei, C.; Rukai, Z.; Lianhua, H.; Shizhen, T.; Xuanjun, Y.; Songtao, W.; Senhu, L.; Lan, W.; et al. Formation mechanism, geological characteristics and development strategy of nonmarine shale oil in China. Pet. Explor. Dev. 2013, 40, 15–27. [Google Scholar]
- Zhao, X.; Zhou, L.; Pu, X.; Jin, F.; Han, W.; Xiao, D.; Chen, S.; Shi, Z.; Zhang, W.; Yang, F. Geological characteristics of shale rock system and shale oil exploration breakthrough in a lacustrine basin: A case study from the paleogene 1st sub-member of Kong 2 member in Cangdong sag, Bohai bay basin, China. Pet. Explor. Dev. Online 2018, 45, 377–388. [Google Scholar] [CrossRef]
- Li, Q.; Li, Q.; Wang, F.; Wu, J.; Wang, Y. The carrying behavior of water-based fracturing fluid in shale reservoir fractures and molecular dynamics of sand-carrying mechanism. Processes 2024, 12, 2051. [Google Scholar] [CrossRef]
- Li, Q.; Li, Q.; Han, Y. A numerical investigation on kick control with the displacement kill method during a well test in a deep-water gas reservoir: A case study. Processes 2024, 12, 2090. [Google Scholar] [CrossRef]
- Qiao, R.; Li, F.; Zhang, S.; Wang, H.; Wang, F.; Zhou, T. CO2 mass transfer and oil replacement capacity in fractured shale oil reservoirs: From laboratory to field. Front. Earth Sci. 2022, 9, 794534. [Google Scholar] [CrossRef]
- Myers, T. Potential contaminant pathways from hydraulically fractured shale to aquifers. Ground Water 2012, 50, 872–882. [Google Scholar] [CrossRef] [PubMed]
- Vengosh, A.; Warner, N.; Jackson, R.; Darrah, T. The effects of shale gas exploration and hydraulic fracturing on the quality of water resources in the United States. Procedia Earth Planet. Sci. 2013, 7, 863–866. [Google Scholar] [CrossRef]
- Mukherjee, M.; Misra, S. A review of experimental research on enhanced coal bed methane (ECBM) recovery via CO2 sequestration. Earth Sci. Rev. 2018, 179, 392–410. [Google Scholar] [CrossRef]
- Han, L.; Shi, X.; Ni, H.; Zhang, W.; Gao, Q. Review of CO2 Fracturing and Carbon Storage in Shale Reservoirs. Energy Fuels 2024, 38, 15913–15934. [Google Scholar] [CrossRef]
- Schneider, S.H. The greenhouse effect: Science and policy. Science 1989, 243, 771–781. [Google Scholar] [CrossRef] [PubMed]
- Zhao, J.; Wu, T.; Pu, W.; Daijun, D.; Chen, Q.; Chen, B.; Li, J.; Huang, Y. Application status and research progress of CO2 fracturing fluid in petroleum engineering: A brief review. Petroleum 2024, 10, 1–10. [Google Scholar] [CrossRef]
- Li, L.; Wu, M.; Liu, Y.; Ding, J.; Abushaikha, A. Multiphase transient analysis of horizontal wells during CO2-EOR. J. Pet. Sci. Eng. 2022, 210, 109895. [Google Scholar] [CrossRef]
- Llies, A.T.; King, S.R. Sand fracturing with liquid carbon dioxide. In Proceedings of the SPE Production Technology Symposium, SPE-11341-MS, Hobbs, NM, USA, 8–9 November 1982. [Google Scholar]
- Meng, S.; Liu, H.; Xu, J.; Duan, Y.; Yang, Q.; Yao, Z. The evolution and control of fluid phase during liquid CO2 fracturing. In Proceedings of the SPE Asia Pacific Hydraulic Fracturing Conference, SPE-181790-MS, Beijing, China, 24–26 August 2016. [Google Scholar]
- Advance in fundamental research of supercritical CO2 fracturing technology for unconventional natural gas reservoirs. J. China Univ. Pet. Ed. Nat. Sci. 2019, 43, 82–91.
- Su, W.D.; Song, Z.Y.; Ma, D.J.; Jian, P.; Peng, B.; Tang, L. Application of CO2 fracturing technology in SULIGE gas field. Drill. Prod. Technol. 2011, 34, 39–41. [Google Scholar]
- Tudor, R.; Vozniak, C.; Peters, W.; Banks, M. Technical advances in liquid CO2 fracturing. In Proceedings of the PETSOC Annual Technical Meeting, Calgary, AB, Canada, 11–14 June 1994; pp. 36–94. [Google Scholar]
- Detournay, E. Propagation regimes of fluid-driven fractures in impermeable rocks. Int. J. Geomech. 2004, 4, 35–45. [Google Scholar] [CrossRef]
- Garagash, D.; Detournay, E. The tip region of a fluid-driven fracture in an elastic medium. J. Appl. Mech. 2000, 67, 183–192. [Google Scholar] [CrossRef]
- Ishida, T.; Aoyagi, K.; Niwa, T.; Chen, Y.; Murata, S.; Chen, Q.; Nakayama, Y. Acoustic emission monitoring of hydraulic fracturing laboratory experiment with supercritical and liquid CO2. Geophys. Res. Lett. 2012, 39. [Google Scholar] [CrossRef]
- Kizaki, A.; Tanaka, H.; Ohashi, K.; Sakaguchi, K.; Matsuki, K. Hydraulic fracturing in inada granite and ogino tuff with super critical carbon dioxide. In Proceedings of the ISRM International Symposium-Asian Rock Mechanics Symposium, ISRM–ARMS7-2012, Seoul, Republic of Korea, 15–19 October 2012. [Google Scholar]
- Alam, M.M.; Hjuler, M.L.; Christensen, H.F.; Fabricius, I.L. Petrophysical and rock-mechanics effects of CO2 injection for enhanced oil recovery: Experimental study on chalk from South Arne field, North Sea. J. Pet. Sci. Eng. 2014, 122, 468–487. [Google Scholar] [CrossRef]
- Zou, Y.; Li, N.; Ma, X.; Zhang, S.; Li, S. Experimental study on the growth behavior of supercritical CO2-induced fractures in a layered tight sandstone formation. J. Nat. Gas Sci. Eng. 2018, 49, 145–156. [Google Scholar] [CrossRef]
- Wang, K.; Chang, C. Study on the characteristics of CO2 fracturing rock damage based on fractal theory. Theor. Appl. Fract. Mech. 2024, 134, 104691. [Google Scholar] [CrossRef]
- He, Y.; Yang, Z.; Jiang, Y.; Li, X.; Zhang, Y.; Song, R. A full three-dimensional fracture propagation model for supercritical carbon dioxide fracturing. Energy Sci. Eng. 2020, 8, 2894–2906. [Google Scholar] [CrossRef]
- Siwei, M.; He, L.; Qinghai, Y. Exploration and practice of carbon sequestration realized by CO2 waterless fracturing. Energy Procedia 2019, 158, 4586–4591. [Google Scholar] [CrossRef]
- Li, S.; Zhang, D. How effective is carbon dioxide as an alternative fracturing fluid? SPE J. 2019, 24, 857–876. [Google Scholar] [CrossRef]
- Li, X.; Li, G.; Yu, W.; Wang, H.; Sepehrnoori, K.; Chen, Z.; Sun, H.; Zhang, S. Thermal effects of liquid/supercritical carbon dioxide arising from fluid expansion in fracturing. SPE J. 2018, 23, 2026–2040. [Google Scholar] [CrossRef]
- Alfarge, D.; Wei, M.; Bai, B. CO2-EOR mechanisms in huff-n-puff operations in shale oil reservoirs based on history matching results. Fuel 2018, 226, 112–120. [Google Scholar] [CrossRef]
- Alharthy, N.; Teklu, T.; Kazemi, H.; Graves, R.; Hawthorne, S.; Braunberger, J.; Kurtoglu, B. Enhanced oil recovery in liquid-rich shale reservoirs: Laboratory to field. SPE Reserv. Eval. Eng. 2018, 21, 137–159. [Google Scholar] [CrossRef]
- Hawthorne, S.B.; Gorecki, C.D.; Sorensen, J.A.; Miller, D.J.; Harju, J.A.; Melzer, L.S. Hydrocarbon mobilization mechanisms using CO2 in an unconventional oil play. Energy Procedia 2014, 63, 7717–7723. [Google Scholar] [CrossRef]
- Hawthorne, S.B.; Gorecki, C.D.; Sorensen, J.A.; Steadman, E.N.; Harju, J.A.; Melzer, S. Hydrocarbon mobilization mechanisms from upper, middle, and lower bakken reservoir rocks exposed to CO2. In Proceedings of the SPE Unconventional Resources Conference Canada, Calgary, AB, Canada, 5–7 November 2013. [Google Scholar]
- Gao, J.H.; Wang, H.Y.; Sharma, M. Research progress and prospects of CO2 fracturing for developing unconventional energy sources. Geoenergy Sci. Eng. 2024, 241, 213137. [Google Scholar] [CrossRef]
- Xiao, F.; Salimzadeh, S.; Zhang, Q.B. A 3D coupled numerical simulation of energised fracturing with CO2: Impact of CO2 phase on fracturing process. Int. J. Rock Mech. Min. Sci. 2024, 182, 105863. [Google Scholar] [CrossRef]
- Zuloaga, P.; Yu, W.; Miao, J.; Sepehrnoori, K. Performance evaluation of CO2 huff-n-puff and continuous CO2 injection in tight oil reservoirs. Energy 2017, 134, 181–192. [Google Scholar] [CrossRef]
- Ribeiro, L.H.; Li, H.; Bryant, J.E. Use of a CO2-hybrid fracturing design to enhance production from unpropped-fracture networks. SPE Prod. Oper. 2017, 32, 28–40. [Google Scholar] [CrossRef]
- Ghasemi, M.; Suicmez, V.S. Upscaling of CO2 injection in a fractured oil reservoir. J. Nat. Gas Sci. Eng. 2019, 63, 70–84. [Google Scholar] [CrossRef]
- Hoteit, H. Proper modeling of diffusion in fractured reservoirs. In Proceedings of the SPE Reservoir Simulation Symposium, The Woodlands, TX, USA, 21–23 February 2011. [Google Scholar]
- Jia, B.; Tsau, J.; Barati, R. Measurement of CO2 diffusion coefficient in the oil-saturated porous media. In Proceedings of the Abu Dhabi International Petroleum Exhibition and Conference, Abu Dhabi, United Arab Emirates, 12–15 November 2018; p. D031S089R004. [Google Scholar]
- Computer Modeling Group. GEM User Guide, Compositional & Unconventional Simulator; Computer Modeling Group: Calgary, AB, Canada, 2019. [Google Scholar]
- Zhang, T.; Li, X.; Li, J.; Feng, D.; Li, P.; Zhang, Z.; Chen, Y.; Wang, S. Numerical investigation of the well shut-in and fracture uncertainty on fluid-loss and production performance in gas-shale reservoirs. J. Nat. Gas Sci. Eng. 2017, 46, 421–435. [Google Scholar] [CrossRef]
- Xu, D.H.; Khurana, A.K. A simple and efficient approach for improving the prediction of reservoir fluid viscosity. In Proceedings of the SPE Asia Pacific Oil and Gas Conference and Exhibition, SPE-37011-MS, Adelaide, Australia, 28–31 October 1996. [Google Scholar]

























| Reservoir Region | kromax | krgmax | SgCOn | SoCOn | mo | mg |
|---|---|---|---|---|---|---|
| Region 2 in Model 1, Matrix Zone in Model 2 | 0.3 | 1 | 0.03 | 0.4 | 3 | 3 |
| Region 1 in Model 1, Fracture Zone in Model 2 | 1 | 1 | 0 | 0 | 1 | 1 |
| Region | Porosity % | Permeability mD | Compressibility Factor 10−6/kPa |
|---|---|---|---|
| Region ② | 9.26 | 0.192 | 3 |
| Region ① | 90 | 1000 | 0 |
| Thin layer | 9.26 | 0.192 | 3 |
| Component | Mole Frac (%) | Critical Pressure (atm) | Critical Temperature (K) | Acentric Factor | Molecular Weight (g/mol) |
|---|---|---|---|---|---|
| CO2 | - | 72.8 | 304.2 | 0.225 | 44.01 |
| C1 | 19.78552 | 45.4 | 190.6 | 0.008 | 16.043 |
| C2–C3 | 5.613936 | 45.00811 | 339.36685 | 0.125 | 37.0835 |
| C4–C6 | 6.770647 | 33.390805 | 480.55144 | 0.24959292 | 77.12715 |
| C7–C12 | 33.58425 | 26.947594 | 596.0906 | 0.3915838 | 120.42275 |
| C13–C34+ | 34.24564 | 14.419591 | 776.46775 | 0.84967219 | 335.75825 |
| Reservoir Parameters | Values | Fracture Parameters | Values |
|---|---|---|---|
| Initial Reservoir Pressure, MPa | 13.5 | Fracture Half-Length, m | 150 |
| Matrix Permeability, mD | 0.25 | Fracture Count | 4 |
| Reservoir Porosity | 0.02 | Horizontal Well Segment Length, m | 50 |
| Reservoir Thickness, m | 50 | Fracture Spacing, m | 12.5 |
| Fracture Zone Permeability, mD | 2500 | Fracture Width, m | 0.1 |
| Modified Zone Permeability, mD | 100 | Fracture Conductivity, D·cm | 25 |
| Reservoir temperature, °C | 46.4 | Initial water saturation | 0.45 |
| Parameter | Values |
|---|---|
| Crude oil density (kg/m3) at 13.5 MPa, 46.4 °C | 820.1 |
| Crude oil viscosity (mPa·s) at 13.5 MPa, 46.4 °C | 2.79 |
| Solution gas-oil ratio (GOR) (m3/m3) | 32.84 |
| Saturation pressure (MPa) | 7.39 |
Disclaimer/Publisher’s Note: The statements, opinions and data contained in all publications are solely those of the individual author(s) and contributor(s) and not of MDPI and/or the editor(s). MDPI and/or the editor(s) disclaim responsibility for any injury to people or property resulting from any ideas, methods, instructions or products referred to in the content. |
© 2025 by the authors. Licensee MDPI, Basel, Switzerland. This article is an open access article distributed under the terms and conditions of the Creative Commons Attribution (CC BY) license (https://creativecommons.org/licenses/by/4.0/).
Share and Cite
Yan, X.; Zuo, T.; Lan, J.; Jia, Y.; Xiao, C. Laboratory-to-Field Scale Numerical Investigation of Enhanced Oil Recovery Mechanism for Supercritical CO2-Energized Fracturing. Energies 2025, 18, 515. https://doi.org/10.3390/en18030515
Yan X, Zuo T, Lan J, Jia Y, Xiao C. Laboratory-to-Field Scale Numerical Investigation of Enhanced Oil Recovery Mechanism for Supercritical CO2-Energized Fracturing. Energies. 2025; 18(3):515. https://doi.org/10.3390/en18030515
Chicago/Turabian StyleYan, Xiaolun, Ting Zuo, Jianping Lan, Yu Jia, and Cong Xiao. 2025. "Laboratory-to-Field Scale Numerical Investigation of Enhanced Oil Recovery Mechanism for Supercritical CO2-Energized Fracturing" Energies 18, no. 3: 515. https://doi.org/10.3390/en18030515
APA StyleYan, X., Zuo, T., Lan, J., Jia, Y., & Xiao, C. (2025). Laboratory-to-Field Scale Numerical Investigation of Enhanced Oil Recovery Mechanism for Supercritical CO2-Energized Fracturing. Energies, 18(3), 515. https://doi.org/10.3390/en18030515
