Investigation of a System Combining Separate Hydrolysis and Fermentation of Biomass with a Direct-Ethanol Solid Oxide Fuel Cell: Thermodynamic and Reaction Kinetic Studies
Abstract
1. Introduction
- (1)
- The conceptualization of a system combining SHF with direct-ethanol SOFC is devised.
- (2)
- The combined system’s performance is evaluated using thermodynamic methods in terms of exergy destruction and exergy efficiency, revealing matching characteristics and overall system efficiency. And the exergy values of streams in the proposed system and equipment are calculated.
- (3)
- Detailed investigation of the activation energy and thermodynamic parameters to assess the effects of reaction time and temperature on the conversion of xylose to ethanol is introduced through developing the typical reaction kinetic models [29].
2. Materials and Methods
2.1. System Design
2.1.1. System Description
2.1.2. System Integration Scheme
2.2. System Modeling
2.2.1. The Assumptions
- (1)
- (2)
- (3)
- Heat losses from equipment to the environment are neglected [25].
- (4)
- Arabinan, mannan, and galactan are assumed to have the same reactions and conversions as xylan [2].
- (5)
- The treated water is assumed to be clean and fully reusable [2].
2.2.2. SHF Route
2.2.3. Direct-Ethanol SOFC
2.2.4. Exergy Analysis
2.2.5. Development of Reaction Kinetics
3. Results and Discussion
3.1. System Performance Calculation and Parameters Settings
3.2. Thermodynamic Analysis
3.3. Base Case Analysis
3.3.1. Effects of Reaction Time and Concentration on the SHF Route
3.3.2. Effects of Voltage and Current Curves on the Direct-Ethanol SOFC
3.3.3. Effects of Concentration of Bioethanol and Current Curves on the Direct-Ethanol SOFC
3.4. Reaction Kinetic Analysis
4. Conclusions
- (1)
- Exergy analysis reveals that the major source of exergy occurs in the high-solids hydrolysis unit, in which Rstoic 3 and Continuous reactor have the relatively low exergy efficiency, reaching 0.21 and 0.51, respectively, due to a chemical reaction in the larger vessels. The other main exergy destruction occurs in the conditioning unit, which generates high irreversible losses due to the chemical reactions, in which the exergy efficiency of Rstoic 1 and Rstoic 2 reach 0.24 and 0.29, respectively.
- (2)
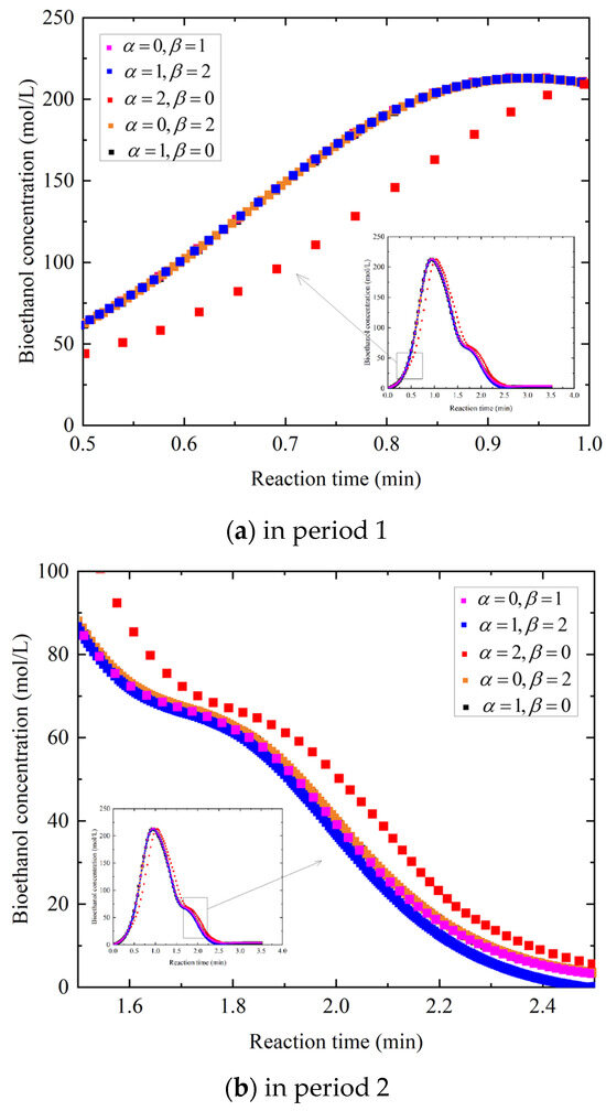
- The bioethanol concentration increased with the reaction time due to gradual hydrolysis of lignocellulosic biomass slurry. The reactants introduce a limited overall influence on the reaction rate within RStoic 1 and RStoic 2. Given the excess acid in these reactions, the effect of declining acid concentration on the increase in bioethanol concentration appears to be negligible.
Supplementary Materials
Author Contributions
Funding
Data Availability Statement
Conflicts of Interest
Nomenclature
| Symbols | |
| c | concentration of reactants |
| E | open-circuit potential |
| EXD | exergy destruction |
| EXI | input exergy |
| EXO | output exergy |
| EX | exergy |
| F | Faraday constant |
| fc | final molar concentration |
| h | enthalpy |
| ic | initial molar concentration |
| k | reaction rate constant |
| m | mass flow rate |
| N | number of SOFCs |
| P | partial pressure |
| r | reaction rate |
| R | exergy destruction ratio |
| RC | ideal gas constant |
| s | entropy |
| T | temperature |
| U | glucose utilization |
| Y | bioethanol productivity |
| z | molar amount |
| inlet molar flux | |
| lower heating value | |
| multiplication factor | |
| mass fraction | |
| exergy efficiency | |
| reaction order | |
| reaction order | |
| initial molar ratio of reactants | |
| SOFC | solid oxide fuel cell |
| SHF | separate hydrolysis and fermentation |
References
- Naveed, M.H.; Khan, M.N.A.; Mukarram, M.; Naqvi, S.R.; Abdullah, A.; Haq, Z.U.; Ullah, H.H.; Mohamadi, A. Cellulosic biomass fermentation for biofuel production: Review of artificial intelligence approaches. Renew. Sustain. Energy Rev. 2024, 189, 113906. [Google Scholar] [CrossRef]
- Humbird, D.; Davis, R.; Tao, L.; Kinchin, C.; Hsu, D.; Aden, A. Process Design and Economics for Biochemical Conversion of Lignocellulosic Biomass to Ethanol: Dilute-Acid Pretreatment and Enzymatic Hydrolysis of Corn Stover; Technical Report NREL/TP-5100-47764; National Renewable Energy Lab. (NREL): Golden, CO, USA, 2011. [Google Scholar]
- Valles, A.; Álvarez-Hornos, F.J.; Martínez-Soria, V.; Marzal, P.; Gabaldón, C. Comparison of simultaneous saccharification and fermentation and separate hydrolysis and fermentation processes for butanol production from rice straw. Fuel 2020, 282, 118831. [Google Scholar] [CrossRef]
- Ma, S.; Dong, C.; Hu, X.; Xue, J.; Zhao, Y.; Wang, X. Techno-economic evaluation of a combined biomass gasification-solid oxide fuel cell system for ethanol production via syngas fermentation. Fuel 2022, 324, 124395. [Google Scholar] [CrossRef]
- Kallel, F.; Neifar, M.; Kacem, I.; Chaabouni, S.E. Optimization of enzymatic hydrolysis and fermentation of bleached garlic straw for bioethanol production. J. Mater. Cycles Waste Manag. 2024, 26, 2880–2895. [Google Scholar] [CrossRef]
- Albahri, T.A.; Khor, C.S.; Elsholkami, M.; Elkamel, A. A mixed integer nonlinear programming approach for petroleum refinery topology optimisation. Chem. Eng. Res. Des. 2019, 143, 24–35. [Google Scholar] [CrossRef]
- Sankoju, A.S.; Shastri, Y. Regional sustainability of food–energy–water nexus considering water stress using multi-objective modeling and optimization. Comput. Chem. Eng. 2025, 205, 109433. [Google Scholar] [CrossRef]
- Liñán, D.A.; McCormick-Mantilla, J.A.; Ricardez-Sandoval, L.A. Economic nonlinear model predictive control and scheduling of multiple fed-batch fermenters in a lignocellulosic biorefinery. Comput. Chem. Eng. 2025, 201, 109223. [Google Scholar] [CrossRef]
- Ramos, M.; Testa, R.L.; Ramos, F.D.; Estrada, V.; Diaz, M.S. Process Systems Engineering Approach for the Sustainable Design of Cyanobacteria-Based Integrated Biorefineries and Their Heat Exchanger Network. ACS Sustain. Chem. Eng. 2024, 12, 3538–3553. [Google Scholar] [CrossRef]
- Pedrozo, H.A.; Casoni, A.I.; Ramos, F.D.; Estrada, V.; Diaz, M.S. Simultaneous design of macroalgae-based integrated biorefineries and their heat exchanger network. Comput. Chem. Eng. 2022, 164, 107885. [Google Scholar] [CrossRef]
- Qian, Q.; Luo, Z.; Sun, H.; Wei, Q.; Shi, J.; Li, L.; Wang, K.; Zhou, J. Process evaluation of simulated novel cellulosic ethanol biorefineries coupled with lignin thermochemical conversion. Renew. Energy 2024, 231, 120965. [Google Scholar] [CrossRef]
- Ge, Y.; Li, L.; Yun, L. Modeling and economic optimization of cellulosic biofuel supply chain considering multiple conversion pathways. Appl. Energy 2021, 281, 116059. [Google Scholar] [CrossRef]
- Ortiz, P.S.; Oliveira, S., Jr. Exergy analysis of pretreatment processes of bioethanol production based on sugarcane bagasse. Energy 2014, 76, 130–138. [Google Scholar] [CrossRef]
- Pratto, B.; Santos-Rocha, M.S.R.; Longati, A.A.; Júnior, R.S.; Cruz, A.J.G. Experimental optimization and techno-economic analysis of bioethanol production by simultaneous saccharification and fermentation process using sugarcane straw. Bioresource Technol. 2020, 297, 122494. [Google Scholar] [CrossRef] [PubMed]
- Benalcázar, E.A.; Noorman, H.; Filho, R.M.; Posada, J.A. Decarbonizing ethanol production via gas fermentation: Impact of the CO/H2/CO2 mix source on greenhouse gas emissions and production costs. Comput. Chem. Eng. 2022, 159, 107670. [Google Scholar] [CrossRef]
- Fenila, F.; Shastri, Y. Stochastic optimization of enzymatic hydrolysis of lignocellulosic biomass. Comput. Chem. Eng. 2020, 135, 106776. [Google Scholar] [CrossRef]
- Li, X.; Lu, S.; Li, Z.; Wang, Y.; Zhu, L. Modeling and optimization of bioethanol production planning under hybrid uncertainty: A heuristic multi-stage stochastic programming approach. Energy 2022, 245, 123285. [Google Scholar] [CrossRef]
- Jabbarzadeh, A.; Shamsi, M. Designing a resilient and sustainable multi-feedstock bioethanol supply chain: Integration of mathematical modeling and machine learning. Appl. Energy 2025, 377, 123794. [Google Scholar] [CrossRef]
- Liu, Y.; Zheng, X.; Tao, S.; Hu, L.; Zhang, X.; Lin, X. Process optimization for deep eutectic solvent pretreatment and enzymatic hydrolysis of sugar cane bagasse for cellulosic ethanol fermentation. Renew. Energy 2021, 177, 259–267. [Google Scholar] [CrossRef]
- Huang, X.; Ji, L.; Yin, J.; Huang, G. Optimal design and robust operational management of regional bioethanol supply chain with various technological choices and uncertainty fusions. Comput. Chem. Eng. 2024, 182, 108565. [Google Scholar] [CrossRef]
- Petersen, A.M.; Okoro, O.V.; Chireshe, F.; Moonsamy, T.; Görgens, J.F. Systematic cost evaluations of biological and thermochemical processes for ethanol production from biomass residues and industrial off-gases. Energy Convers. Manag. 2021, 243, 114398. [Google Scholar] [CrossRef]
- Alherbawi, M.; McKay, G.; Al-Ansari, T. Development of a hybrid biorefinery for jet biofuel production. Energy Convers. Manag. 2023, 276, 116569. [Google Scholar] [CrossRef]
- Asadabadi, M.J.R.; Balali, A.; Moghimi, M.; Ahmadi, R. Comparative analysis of a biomass-fueled plant coupled with solid oxide fuel cell, cascaded organic Rankine cycle and liquid hydrogen production system: Machine learning approach using multi-objective grey wolf optimizer. Fuel 2025, 380, 133269. [Google Scholar] [CrossRef]
- Wang, D.; Dahan, F.; Chaturvedi, R.; Almojil, S.F.; Almohana, A.I.; Alali, A.F.; Almoalimi, K.T.; Alyousuf, F.Q.A. Thermodynamic performance optimization and environmental analysis of a solid oxide fuel cell powered with biomass energy and excess hydrogen injection. Int. J. Hydrogen Energy 2024, 51, 1142–1155. [Google Scholar] [CrossRef]
- Liang, W.; Yu, Z.; Liu, W.; Ji, S. Investigation of a novel near-zero emission poly-generation system based on biomass gasification and SOFC: A thermodynamic and exergoeconomic evaluation. Energy 2023, 282, 128822. [Google Scholar] [CrossRef]
- Roy, D.; Samanta, S.; Roy, S.; Smallbone, A.; Roskilly, A.P. Fuel cell integrated carbon negative power generation from biomass. Appl. Energy 2023, 331, 120449. [Google Scholar] [CrossRef]
- Wang, J.; Al-attab, K.A.; Heng, T.Y. Optimization of solid oxide fuel cell system integrated with biomass gasification, solar-assisted carbon capture and methane production. J. Clean Prod. 2024, 449, 141712. [Google Scholar] [CrossRef]
- Hatef, M.; Gholamian, E.; Mahmoudi, S.M.S.; Mehr, A.S. Enhancing efficiency and reduced CO2 emission in hybrid biomass gasification with integrated SOFC-MCFC system based on CO2 recycle. Energy Convers. Manag. 2024, 313, 118611. [Google Scholar] [CrossRef]
- Nguyen, T.T.; Lam, M.K.; Cheng, Y.W.; Uemura, Y.; Mansor, N.; Lim, J.W.; Show, P.L.; Tan, I.S.; Lim, S. Reaction kinetic and thermodynamics studies for in-situ transesterification of wet microalgae paste to biodiesel. Chem. Eng. Res. Des. 2021, 169, 250–264. [Google Scholar] [CrossRef]
- Zoghi, M.; Gharaie, S.; Hosseinzadeh, N.; Zare, A. 4E analysis and optimization comparison of solar, biomass, geothermal, and wind power systems for green hydrogen-fueled SOFCs. Energy 2024, 313, 133740. [Google Scholar] [CrossRef]
- Abada, S.; Tebbouche, L.; Bessah, R.; Kechkar, M.; Berrached, A.; Saber, M.; Aziza, M.; Amrane, A. Experimental study and kinetic modelling of bioethanol production from industrial potato waste. Biomass Convers. Bior. 2022, 14, 7735–7741. [Google Scholar] [CrossRef]
- Li, N.; Liu, B.; Jia, L.; Yan, D.; Li, J. Liquid biofuels for solid oxide fuel cells: A review. J. Power Sources 2023, 556, 232437. [Google Scholar] [CrossRef]
- Zhen, W.; Zhu, P.; Yao, J.; Zhang, S.; Ren, J.; Yang, F.; Zhang, Z. Combined biomass gasification, SOFC, IC engine, and waste heat recovery system for power and heat generation: Energy, exergy, exergoeconomic, environmental (4E) evaluations. Appl. Energy 2020, 279, 115794. [Google Scholar] [CrossRef]
- Zhu, P.; Wu, Z.; Guo, L.; Yao, J.; Dai, M.; Ren, J.; Kurko, S.; Yan, H.; Yang, F.; Zhang, Z. Achieving high-efficiency conversion and poly-generation of cooling, heating, and power based on biomass-fueled SOFC hybrid system: Performance assessment and multi-objective optimization. Energy Convers. Manag. 2021, 240, 114245. [Google Scholar] [CrossRef]
- The Exergy Calculator. Online Tool Available Exergoecology Portal. Available online: http://www.exergoecology.com (accessed on 1 May 2018).
- Wooley, R.; Putsche, V. Development of an ASPEN PLUS Physical Property Database for Biofuels Components; National Renewable Energy Lab.: Golden, CO, USA, 1996; Volume 38. [Google Scholar]
- Lewis, S.R.J. Hawley’s Condensed Chemical Dictionary, 15th ed.; John Wiley & Sons: New York, NY, USA, 2007; pp. 30–56. [Google Scholar]
- Jeoh, T.; Cardona, M.J.; Karuna, N.; Mudinoor, A.R.; Nill, J. Mechanistic Kinetic Models of Enzymatic Cellulose Hydrolysis—A Review. Biotechnol. Bioeng. 2017, 114, 1369–1385. [Google Scholar] [CrossRef]
- Zhao, Y.; Ou, C.; Chen, J. A new analytical approach to model and evaluate the performance of a class of irreversible fuel cells. Int. J. Hydrog. Energy 2008, 33, 4161–4170. [Google Scholar] [CrossRef]
- Chen, B.; Xu, H.; Tan, P.; Zhang, Y.; Xu, X.; Cai, W.; Chen, M.; Ni, M. Thermal modelling of ethanol-fuelled Solid Oxide Fuel Cells. Appl. Energy 2019, 237, 476–486. [Google Scholar] [CrossRef]
- Zhou, Z.; Peng, S.; Jing, Y.; Wei, S.; Zhang, Q.; Ding, H.; Li, H. Exploration of separate hydrolysis and fermentation and simultaneous saccharification and co-fermentation for acetone, butanol, and ethanol production from combined diluted acid with laccase pretreated Puerariae Slag in Clostridium beijerinckii ART44. Energy 2023, 279, 128063. [Google Scholar] [CrossRef]









| Component | Exergy Balance |
|---|---|
| Pump 1 | EX10 + EX2 = EX18 + EXDP1 |
| Heater | EX18 + EX12 = EX19 + EXDH |
| Pretreatment Reactor | EX17 + EX19 + EX37 + EX40 = EX20 + EXDPR |
| Flash 1 | EX20 + W1 = EX21 + EXDF1 |
| Pump 2 | EX21 = EX22 + EXDP2 |
| Flash 2 | EX22 + W2 = EX23 + EXDF2 |
| Pump 3 | EX14 = EX37 + EXDP3 |
| Pump 4 | EX23 = EX24 + EXDP4 |
| RStoic 1 | EX24 + EX13 + EX15 + EX4 = EX25 + EXDR1 |
| RStoic 2 | EX25 + EX16 = EX26 + EXDR2 |
| Pump 8 | EX48 + EX26 + EX5 = EX27 + EXDP8 |
| Continuous Reactor | EX27 = EX18 + EXDCR |
| Pump 5 | EX28 = EX29 + EXDP5 |
| Seed fermenters | EX34 + EX32 + EX33 + W3 = EX35 + EXDSF |
| Flash 3 | EX35 = EX36 + EXDF3 |
| Pump 6 | EX36 = EX38 + EXDP6 |
| RStoic 3 | EX49 + EX38 + EX39 + EX30 = EX42 + EXDR3 |
| Flash 4 | EX42 = EX43 + EXDF4 |
| Pump 7 | EX43 + EX41 = EX44 + EXDP7 |
| Flash 5 | EX44 + W4 = EX45 + EXDF5 |
| SOFC | EX45 = EX47 + WSOFC |
| Equipment | EXD (kW) | EXO (kW) | EXI (kW) | |
|---|---|---|---|---|
| Pump 1 | 45.48 | 583.60 | 629.08 | 0.93 |
| Heater | 7.64 | 588.57 | 596.21 | 0.99 |
| Pretreatment Reactor | 436.38 | 812.71 | 1249.09 | 0.65 |
| Pump 3 | 336.47 | 228.03 | 564.50 | 0.40 |
| Flash 1 | 7.31 | 814.46 | 821.78 | 0.99 |
| Pump 2 | 0.23 | 746.98 | 747.21 | 0.99 |
| Flash 2 | 3.59 | 767.76 | 771.36 | 0.99 |
| Pump 4 | 1.36 | 720.93 | 767.76 | 0.99 |
| RStoic 1 | 736.44 | 232.16 | 968.60 | 0.24 |
| RStoic 2 | 564.45 | 232.15 | 796.60 | 0.29 |
| Pump 8 | 0.22 | 237.75 | 237.97 | 0.99 |
| Continuous Reactor | 227.54 | 237.26 | 464.80 | 0.51 |
| Pump 5 | 9.67 | 247.59 | 257.26 | 0.96 |
| RStoic 3 | 902.21 | 241.07 | 1143.28 | 0.21 |
| Seed fermenters | 664.32 | 241.12 | 905.44 | 0.27 |
| Flash 3 | 3.23 | 237.89 | 241.12 | 0.98 |
| Pump 6 | 0.05 | 237.84 | 237.89 | 0.99 |
| Flash 4 | 3.29 | 237.78 | 241.07 | 0.98 |
| Pump 7 | 223.51 | 237.69 | 461.20 | 0.52 |
| Flash 5 | 43.24 | 389.41 | 432.65 | 0.90 |
| SOFC | 11.79 | 4.69 | 16.49 | 0.29 |
Disclaimer/Publisher’s Note: The statements, opinions and data contained in all publications are solely those of the individual author(s) and contributor(s) and not of MDPI and/or the editor(s). MDPI and/or the editor(s) disclaim responsibility for any injury to people or property resulting from any ideas, methods, instructions or products referred to in the content. |
© 2025 by the authors. Licensee MDPI, Basel, Switzerland. This article is an open access article distributed under the terms and conditions of the Creative Commons Attribution (CC BY) license (https://creativecommons.org/licenses/by/4.0/).
Share and Cite
Gu, S.; Lu, Y.; Zhuang, Y. Investigation of a System Combining Separate Hydrolysis and Fermentation of Biomass with a Direct-Ethanol Solid Oxide Fuel Cell: Thermodynamic and Reaction Kinetic Studies. Energies 2025, 18, 6456. https://doi.org/10.3390/en18246456
Gu S, Lu Y, Zhuang Y. Investigation of a System Combining Separate Hydrolysis and Fermentation of Biomass with a Direct-Ethanol Solid Oxide Fuel Cell: Thermodynamic and Reaction Kinetic Studies. Energies. 2025; 18(24):6456. https://doi.org/10.3390/en18246456
Chicago/Turabian StyleGu, Siwen, Yuhao Lu, and Yu Zhuang. 2025. "Investigation of a System Combining Separate Hydrolysis and Fermentation of Biomass with a Direct-Ethanol Solid Oxide Fuel Cell: Thermodynamic and Reaction Kinetic Studies" Energies 18, no. 24: 6456. https://doi.org/10.3390/en18246456
APA StyleGu, S., Lu, Y., & Zhuang, Y. (2025). Investigation of a System Combining Separate Hydrolysis and Fermentation of Biomass with a Direct-Ethanol Solid Oxide Fuel Cell: Thermodynamic and Reaction Kinetic Studies. Energies, 18(24), 6456. https://doi.org/10.3390/en18246456
