Operational Optimization of Seasonal Ice-Storage Systems with Time-Series Aggregation
Abstract
1. Introduction
1.1. Operational Modeling of Ice Storage: Literature Review
| Source | Operational Modeling | Liquid and Frozen | Effectiveness | Variable Temperature | Time in Hours | |||||||
|---|---|---|---|---|---|---|---|---|---|---|---|---|
| Rule Based | Optimization | |||||||||||
| Simulation | MPC | DP | EA | MILP | MIQP | MINLP | Phase | Curves | Levels | Horizon | Resolution | |
| [17] | x | x | x | 24 | 30/60 | |||||||
| [25] | x | x | x | 24 | 1/60 | |||||||
| [8] | x | x | x | x | 24 | 1/60 | ||||||
| [26] | x | x | x | x | 8760 | 1 | ||||||
| [27] | x | x | x | x | 8760 | 1 | ||||||
| [21] | x | x | 8760 | 1 | ||||||||
| [28] | x | x | x | 24 | 1 | |||||||
| [29] | x | x | x | 24 | 1 | |||||||
| [30] | x | x | x | x | 24 | 1 | ||||||
| [31] | x | x | x | 24 | 5/60 | |||||||
| [9] | x | x | 8760 | 1 | ||||||||
| [34] | x | x | 24 | 15/60 | ||||||||
| [40] | x | 24 | 1 | |||||||||
| [37] | x | 24 | 1 | |||||||||
| [19] | x | x | 24 | 1 | ||||||||
| [32] | x | 24 | 1 | |||||||||
| [18] | x | 24 | 1 | |||||||||
| [38] | x | 24 | 1 | |||||||||
| [35] | x | x | 24 | 1 | ||||||||
| [41] | x | x | 24 | 1 | ||||||||
| [13] | x | x | x | 24 | 30/60 | |||||||
| [20] | x | x | 24 | 1 | ||||||||
| [33] | x | x | 48 | 5/60 | ||||||||
| [42] | x | 24 | 1 | |||||||||
| [39] | x | x | 2880 | 1 | ||||||||
| [36] | x | 8760 | 15/60 | |||||||||
| [23] | x | x | 8760 | 8 | ||||||||
| This work | x | x | x | x | 8760 | 1 | ||||||
1.2. Optimization of Seasonal Storage by Considering Aggregated Time-Series
1.3. Chosen Model Template as Optimization Framework
1.4. Research Gap and Contribution
- Variable temperature levels and phase states: Many ice-storage optimization models neglect the two-phase (ice/water) behavior and the temperature levels of both the sensible portion of the storage and the system’s heat flows. Our model couples the storage phase state and temperature levels—both in the tank and in the heat flows—capturing temperature-driven performance (e.g., the heat-pump COP) endogenously.
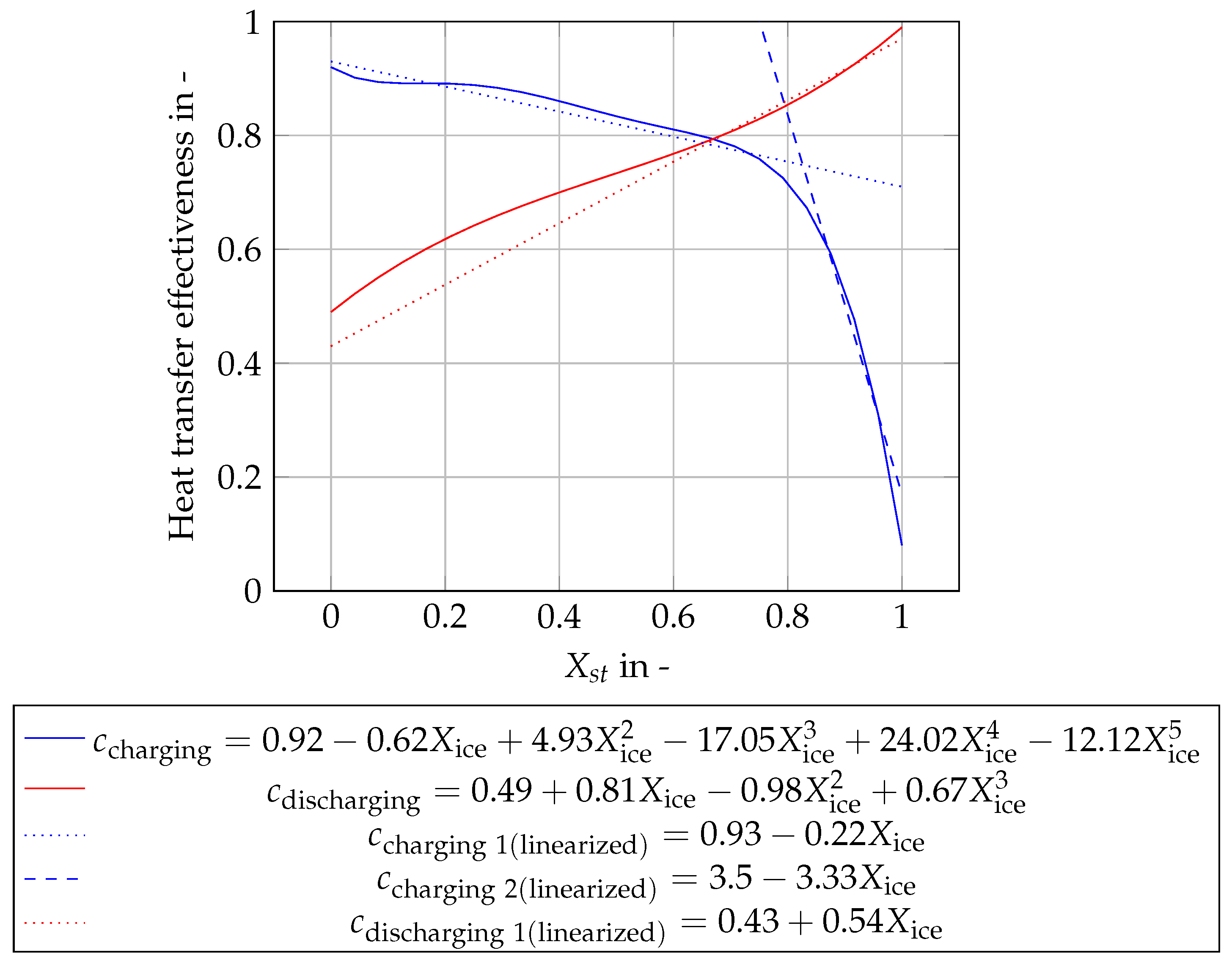
- Charge/discharge effectiveness: Existing formulations in seasonal optimization omit the state-dependent effectiveness of charging/discharging. We add effectiveness curves as functions of the ice level into the optimization model and linearize them to enhance performance realism, while explicitly analyzing the resulting impact on computational effort.
- Physics with annual horizon and fine operation: Current optimization approaches trade annual horizons for coarse time steps (or vice versa), missing phase-change dynamics and daily peaks. We preserve physical ice behavior over a yearly horizon using TSA with inter-/intra-period storage states, enabling seasonal operational optimization with sub-daily fidelity.
2. Methods
2.1. Ice-Storage Physics
2.2. Operation Constraints
2.2.1. Heat Carrier for Variable Temperature Levels
2.2.2. Ice-Storage Constraint for Discrete Temperature Levels
2.2.3. Ice-Storage Heat Pump Model for Discrete Temperature Levels
2.2.4. Effectiveness of Charging and Discharging
2.2.5. Objective Function
2.3. Time-Series Aggregation Method for Three Time Layers
- A.
- Intra-period modeling (IPM):The relevant binary variables () are modeled on the same time layer as the intra-period storage content, which allows the state variable to be calculated for each time step g within a typical period k.
- B.
- Full-resolution modeling (FRM):The relevant binary variables () are modeled on a separate time layer, representing each original time step t of the observation period.
3. Case Study: Brainergy Park Jülich
3.1. System Description
3.2. Parameters for the Operational Optimization Procedure
4. Results and Discussion
4.1. Operation of Energy System Without Time-Series Aggregation
4.2. Key Performance Indicators
4.2.1. Optimization and Performance Metrics
4.2.2. Technical Performance Indicators
4.3. Comparison of Ice-Storage Operation with and Without Time-Series Aggregation
4.3.1. Analysis of Optimization and Performance Metrics
4.3.2. Analysis of Technical Performance Indicators
5. Discussion
6. Conclusions
- (i)
- TSA substantially reduces computational effort while maintaining high accuracy, particularly when charging and discharging effectiveness is not modeled, indicating stable performance under reduced binary complexity;
- (ii)
- Once effectiveness curves are introduced, runtime stability decreases due to the additional binary constraints, emphasizing a trade-off between model realism and computational efficiency;
- (iii)
- Compared to IPM, FRM better captures liquid-phase operation and associated efficiency effects when effectiveness curves are active;
- (iv)
- The added third time layer enhances the representation of temperature- and phase-dependent behavior but introduces a runtime–accuracy balance that must be tuned to the application.
Author Contributions
Funding
Data Availability Statement
Acknowledgments
Conflicts of Interest
Abbreviations
| COP | Coefficient of Performance |
| DP | Dynamic Programming |
| EER | Energy Efficiency Ratio |
| EA | Evolutionary Algorithm |
| FRM | Full-resolution modeling |
| IPM | Intra-period modeling |
| KPI | Key Performance Indicator |
| MILP | Mixed-Integer Linear Programming |
| MINLP | Mixed-Integer Nonlinear Programming |
| MIQP | Mixed-Integer Quadratic Programming |
| MPC | Model Predictive Control |
| MTRESS | Model Template for Residential Energy Supply Systems |
| oemof | open energy modeling framework |
| PCM | Phase Change Materials |
| SEER | Seasonal Energy Efficiency Ratio |
| TES | Thermal Energy Storage |
| TSA | Time-series Aggregation |
| Nomenclature | |
| Surface area of the ice-storage tank in m2 | |
| Y-intercept of the linear segment for the charging curve at temperature level n | |
| Horizontal shifted Y-intercept of the linear segment for the charging curve at temperature level n | |
| Y-intercept of the linear segment for the discharging curve at temperature level n | |
| C | Total costs of the operation in EUR |
| Costs per unit of electricity consumed from the grid in EUR/kWh | |
| Costs per unit of electricity consumed from renewable sources in EUR/kWh | |
| Specific heat capacity of water in kJ/kg | |
| Diameter of the storage tank in m | |
| E | Energy in kJ |
| g | Time step in a period |
| Melting enthalpy of ice in kJ/kg | |
| Height of the storage tank in m | |
| i | Original candidate period |
| Binary variable indicating if charging is possible at temperature level n at time t | |
| k | Typical period |
| m | Discrete temperature levels for heating |
| Slope of the linear segment for the charging curve at temperature level n | |
| Horizontal shifted slope of the linear segment for the charging curve at temperature level n | |
| Slope of the linear segment for the discharging curve at temperature level n | |
| M | Big-M constant for binary variable constraints |
| n | Discrete temperature levels for cooling |
| Binary variable indicating if discharging is possible at temperature level n at time t | |
| Binary variable indicating if the ice-storage heat pump is operational at temperature level l at time t | |
| Electricity demand in kJ at time t | |
| p | Number of typical period |
| Storage content in kJ | |
| Thermal loss of the storage in kJ | |
| Storage content at time t in kJ | |
| Storage content at discrete temperature level n in kJ | |
| Inter-period storage content (state at the beginning of period i) in kJ | |
| Intra-period storage content for intra-period time index k and segment g in kJ | |
| Maximum storage capacity in kJ | |
| Maximum storage capacity for fully frozen in kJ | |
| Maximum storage capacity for liquid in kJ | |
| Storage-content bound for the heat pump at temperature level l in kJ | |
| Heat flow as input at the temperature level m at time t in kJ/h | |
| Heat flow as output at the temperature level m at time t in kJ/h | |
| Cooling flow as input at the temperature level n at time t in kJ/h | |
| Cooling flow as output at the temperature level n at time t in kJ/h | |
| Maximum Input flow of energy into the storage at time t in kJ/h | |
| Maximum output flow of energy from the storage at time t in kJ/h | |
| Input flow of energy into the storage at time t in kJ/h | |
| Output flow of energy from the storage at time t in kJ/h | |
| Charging power at temperature level n at time t in kJ/h | |
| Discharging power at temperature level n at time t in kJ/h | |
| Maximum output flow of the heat pump connected to ice storage in kJ/h | |
| Energy reduction factor for heating transfer between temperature levels | |
| Energy reduction factor for cooling transfer between temperature levels | |
| Binary variable indicating storage phase (1: melting, 0: liquid) at time t | |
| Discrete temperature level for heating in °C | |
| Discrete temperature level for cooling in °C | |
| External temperature of the ground in °C | |
| Melting temperature of ice in °C | |
| Storage temperature in °C | |
| Maximum storage temperature in °C | |
| t | Original time step in the full time-series |
| Heat transfer coefficient in W/(m2K) | |
| Volume of the storage tank in m3 | |
| Maximum ice level | |
| Ice level in the storage tank (range 0 to 1) | |
| Binary or continuous decision variable indexed for intra-period modeling (IPM), at time step g within typical period k | |
| Binary or continuous decision variable indexed for full-resolution modeling (FRM), at time step t | |
| Self-discharge loss rate of the storage at time t | |
| Charging efficiency of the storage at time t | |
| Discharging efficiency of the storage at time t | |
| Thermal conductivity in W/(mK) | |
| Charging efficiency of the ice storage | |
| Discharging efficiency of the ice storage | |
| Density of ice in kg/m3 | |
| Density of water in kg/m3 |
Appendix A
| in - | Abs. Error | Rel. Error in % | ||
|---|---|---|---|---|
| 0.15 | 0.897 | 0.897 | 0.000 | 0.006 |
| 0.30 | 0.872 | 0.864 | −0.008 | −0.986 |
| 0.45 | 0.834 | 0.831 | −0.003 | −0.354 |
| 0.60 | 0.808 | 0.798 | −0.010 | −1.305 |
| 0.75 | 0.731 | 0.765 | 0.034 | 4.597 |
| 0.90 | 0.531 | 0.503 | −0.028 | −5.329 |
| in - | Abs. Error | Rel. Error in % | ||
|---|---|---|---|---|
| 0.15 | 0.592 | 0.511 | −0.081 | −13.640 |
| 0.30 | 0.663 | 0.592 | −0.071 | −10.694 |
| 0.45 | 0.717 | 0.673 | −0.044 | −6.150 |
| 0.60 | 0.768 | 0.754 | −0.014 | −1.813 |
| 0.75 | 0.829 | 0.835 | 0.006 | 0.735 |
| 0.90 | 0.914 | 0.916 | 0.002 | 0.259 |
| Component | Parameter | Value | Unit |
|---|---|---|---|
| Air Heat Exchanger | Air Temperature | time series | °C |
| Battery Storage | Nominal Capacity | 1000 | kWh |
| Charging Efficiency | 98 | % | |
| Discharging Efficiency | 98 | % | |
| Charging/Discharging C-Rate | 20 | % | |
| Heat Pump (Cooling) | Thermal Power Limit | 5500 | kW |
| EER for Set Temp Interval | 4.8 | - | |
| Lorenz EER In Temp | 30 | °C | |
| Lorenz EER Out Temp | 10 | °C | |
| Heat Pump (Heating) | Thermal Power Limit | 4500 | kW |
| COP for Set Temp Interval | 4 | - | |
| Lorenz COP In Temp | 10 | °C | |
| Lorenz COP Out Temp | 45 | °C | |
| Heat Pump with Ice Storage | Thermal Power Limit | 1000 | kW |
| COP for Set Temp Interval | 4 | - | |
| EER for Set Temp Interval | 4.8 | - | |
| Lorenz COP In Temp | 2 | °C | |
| Lorenz COP Out Temp | 10 | °C | |
| Ice Storage | Max Storage Temp. | 10 | °C |
| Storage Height | 6.5 | m | |
| Diameter | variable | m | |
| Initial Ice Level | 20 | % | |
| Max Ice Level | 80 | % | |
| Inflow Efficiency | 98 | % | |
| Outflow Efficiency | 98 | % | |
| Max Charging/Discharging Rate | 1 | % of storage capcity | |
| Electrical Heater | Thermal Power Limit | 1000 | kW |
| Heat Demand | Flow Temperature | 18 | °C |
| Return Temperature | 14 | °C | |
| Cooling Demand | Flow Temperature | 12 | °C |
| Return Temperature | 16 | °C |
| Component | Parameter | Value | Unit |
|---|---|---|---|
| PV Source | Working Rate | 0.10 | EUR/kWh |
| Wind Source | Working Rate | 0.10 | EUR/kWh |
| Electricity Grid | Working Rate | 0.40 | EUR/kWh |
| System Component | Parameter | Levels | Unit |
|---|---|---|---|
| Ice Storage | Ice Storage Loss Temperature Level | [3] | °C |
| Ice Storage Heat Pump | Ice Storage Source Temperature Levels (l) | [0, 4, 7] | °C |
| Heating Circuit | Flow Temperature Levels (m) | [14, 18, 30] | °C |
| Cooling Circuit | Flow Temperature Levels (n) | [0, 4, 12, 16] | °C |


| Performance Metrics and Technical Performance Indicators | Number of Typical Periods | Effectiveness Considered | Effectiveness Not Considered | ||
|---|---|---|---|---|---|
| FRM | IPM | FRM | IPM | ||
| SEER Deviation to Ref. in % | 50 | 15.50 | 16.00 | 8.54 | 23.27 |
| 110 | 13.75 | 13.90 | 12.91 | 21.63 | |
| 170 | 10.25 | 13.12 | 18.54 | 20.54 | |
| 240 | 4.38 | 10.50 | 15.63 | 13.09 | |
| 300 | 10.31 | 10.31 | 8.90 | 19.54 | |
| Std. Dev. to Ref. in % of Storage Capacity | 50 | 17.39 | 21.30 | 18.51 | 21.06 |
| 110 | 16.30 | 16.50 | 16.38 | 17.65 | |
| 170 | 7.82 | 10.01 | 12.77 | 14.26 | |
| 240 | 6.74 | 7.60 | 14.04 | 11.91 | |
| 300 | 7.40 | 6.50 | 13.19 | 12.55 | |
| Objective Value Deviation in % | 50 | 12.60 | 13.00 | 12.56 | 12.68 |
| 110 | 2.00 | 2.01 | 2.20 | 2.68 | |
| 170 | 2.56 | 2.48 | 2.07 | 2.07 | |
| 240 | 1.63 | 1.66 | 1.47 | 1.47 | |
| 300 | 0.94 | 0.99 | 0.84 | 0.83 | |
| Computational Time in s | 50 | 4453 | 3152 | 1171 | 487 |
| 110 | 5092 | 8480 | 3283 | 1268 | |
| 170 | 7093 | 9440 | 3429 | 1707 | |
| 240 | 7146 | 7733 | 4096 | 3722 | |
| 300 | 7466 | 5813 | 5024 | 4780 | |
References
- Altuntas, M.; Erdemir, D. An investigation on potential use of ice thermal energy storage system as energy source for heat pumps. J. Energy Storage 2022, 55, 105588. [Google Scholar] [CrossRef]
- Arteconi, A.; Hewitt, N.; Polonara, F. State of the art of thermal storage for demand-side management. Appl. Energy 2012, 93, 371–389. [Google Scholar] [CrossRef]
- Cabeza, L.F.; Martorell, I.; Miró, L.; Fernández, A.I.; Barreneche, C. (Eds.) Introduction to Thermal Energy Storage (TES) Systems; Elsevier: Amsterdam, The Netherlands, 2015. [Google Scholar] [CrossRef]
- Sarbu, I.; Sebarchievici, C. A Comprehensive Review of Thermal Energy Storage. Sustainability 2018, 10, 191. [Google Scholar] [CrossRef]
- Xu, J.; Wang, R.Z.; Li, Y. A review of available technologies for seasonal thermal energy storage. Solar Energy 2014, 103, 610–638. [Google Scholar] [CrossRef]
- Dahash, A.; Ochs, F.; Janetti, M.B.; Streicher, W. Advances in seasonal thermal energy storage for solar district heating applications: A critical review on large-scale hot-water tank and pit thermal energy storage systems. Appl. Energy 2019, 239, 296–315. [Google Scholar] [CrossRef]
- Desai, F.; Prasad, J.S.; Muthukumar, P.; Rahman, M.M. Thermochemical energy storage system for cooling and process heating applications: A review. Energy Convers. Manag. 2021, 229, 113617. [Google Scholar] [CrossRef]
- Xia, T.; Ji, J.; Ke, W. Case study of variable speed photovoltaic direct-driven ice-storage air conditioning system in Wuhu. Appl. Therm. Eng. 2024, 248 Pt A, 122896. [Google Scholar] [CrossRef]
- Qiang, W.; Liao, Y.; Deng, J.; Peng, C.; Long, H.; Yang, H.; Bai, J.; Su, Y.; Wei, Q.; Xu, X.; et al. Research on systematic analysis and optimization method for ice storage cooling system based on model predictive control: A case study. Energy Build. 2025, 326, 115065. [Google Scholar] [CrossRef]
- Yang, K.S.; Chao, Y.S.; Hsieh, C.H.; Chai, M.L.; Wang, C.C. Performance of Commercially Open Refrigerated Showcases with and without Ice Storage—A Case Study. Processes 2021, 9, 683. [Google Scholar] [CrossRef]
- Ergün, E.H.; Coşkun, S. Experimental Performance and Techno-Economic Analysis of an Air Conditioning System with an Ice Storage System. Appl. Sci. 2025, 15, 10088. [Google Scholar] [CrossRef]
- Yang, T.; Liu, W.; Kramer, G.J.; Sun, Q. Seasonal thermal energy storage: A techno-economic literature review. Renew. Sustain. Energy Rev. 2021, 139, 110732. [Google Scholar] [CrossRef]
- Mazzoni, S.; Sze, J.Y.; Nastasi, B.; Ooi, S.; Desideri, U.; Romagnoli, A. A techno-economic assessment on the adoption of latent heat thermal energy storage systems for district cooling optimal dispatch & operations. Appl. Energy 2021, 289, 116646. [Google Scholar] [CrossRef]
- Hao, J.; Yang, Y.; Xu, C.; Du, X. A comprehensive review of planning, modeling, optimization, and control of distributed energy systems. Carbon Neutrality 2022, 1, 28. [Google Scholar] [CrossRef]
- Guo, X.; Xu, X.; Wang, Z.; Chang, Z.; Chang, C. Research Progress on the Performance Enhancement Technology of Ice-on-Coil Energy Storage. Energies 2025, 18, 1734. [Google Scholar] [CrossRef]
- Rahgozar, S.; Pourrajabian, A.; Dehghan, M. On the role of building use and operational strategy in integrating ice storage systems: An economic perspective. J. Energy Storage 2024, 98, 113025. [Google Scholar] [CrossRef]
- Lee, A.H.; Jones, J.W. Modeling of an ice-on-coil thermal energy storage system. Energy Convers. Manag. 1996, 37, 1493–1507. [Google Scholar] [CrossRef]
- Bahmani, R.; Karimi, H.; Jadid, S. Cooperative energy management of multi-energy hub systems considering demand response programs and ice storage. Int. J. Electr. Power Energy Syst. 2021, 130, 106904. [Google Scholar] [CrossRef]
- Chen, H.J.; Wang, D.W.; Chen, S.L. Optimization of an ice-storage air conditioning system using dynamic programming method. Appl. Therm. Eng. 2005, 25, 461–472. [Google Scholar] [CrossRef]
- Ma, T.; Wu, J.; Hao, L. Energy flow modeling and optimal operation analysis of the micro energy grid based on energy hub. Energy Convers. Manag. 2017, 133, 292–306. [Google Scholar] [CrossRef]
- Allan, J.; Croce, L.; Dott, R.; Georges, G.; Heer, P. Calculating the heat loss coefficients for performance modelling of seasonal ice thermal storage. J. Energy Storage 2022, 52, 104528. [Google Scholar] [CrossRef]
- Goeke, J. Wärmeübertragung in Eisspeichern und Energiegewinne aus dem Erdreich. Bauphysik 2019, 41, 96–103. (In German) [Google Scholar] [CrossRef]
- Vivian, J.; Heer, P.; Fiorentini, M. Optimal sizing and operation of seasonal ice thermal storage systems. Energy Build. 2023, 300, 113633. [Google Scholar] [CrossRef]
- Mancin, S.; Noro, M. Reversible Heat Pump Coupled with Ground Ice Storage for Annual Air Conditioning: An Energy Analysis. Energies 2020, 13, 6182. [Google Scholar] [CrossRef]
- Tanino, M.; Kozawa, Y. Ice-water two-phase flow behavior in ice heat storage systems. Int. J. Refrig. 2001, 24, 639–651. [Google Scholar] [CrossRef]
- Carbonell, D.; Philippen, D.; Haller, M.Y.; Brunold, S. Modeling of an ice storage buried in the ground for solar heating applications. Validations with one year of monitored data from a pilot plant. Solar Energy 2016, 125, 398–414. [Google Scholar] [CrossRef]
- Sevi, P.; Bernardin, F.; Cuer, A.; Stutz, B. Numerical and experimental study of an underground thermal energy storage system coupled with asphalt solar collector and heat pump. J. Energy Storage 2025, 114, 115769. [Google Scholar] [CrossRef]
- Candanedo, J.A.; Dehkordi, V.R.; Stylianou, M. Model-based predictive control of an ice storage device in a building cooling system. Appl. Energy 2013, 111, 1032–1045. [Google Scholar] [CrossRef]
- Zhao, J.; Liu, D.; Yuan, X.; Wang, P. Model predictive control for the ice-storage air-conditioning system coupled with multi-objective optimization. Appl. Therm. Eng. 2024, 243, 122595. [Google Scholar] [CrossRef]
- Luo, N.; Hong, T.; Li, H.; Jia, R.; Weng, W. Data analytics and optimization of an ice-based energy storage system for commercial buildings. Appl. Energy 2017, 204, 459–475. [Google Scholar] [CrossRef]
- Thiem, S.; Born, A.; Danov, V.; Vandersickel, A.; Schäfer, J.; Hamacher, T. Automated identification of a complex storage model and hardware implementation of a model-predictive controller for a cooling system with ice storage. Appl. Therm. Eng. 2017, 121, 922–940. [Google Scholar] [CrossRef]
- Hao, L.; Wei, M.; Xu, F.; Yang, X.; Meng, J.; Song, P.; Min, Y. Study of operation strategies for integrating ice-storage district cooling systems into power dispatch for large-scale hydropower utilization. Appl. Energy 2020, 261, 114477. [Google Scholar] [CrossRef]
- Vetterli, J.; Benz, M. Cost-optimal design of an ice-storage cooling system using mixed-integer linear programming techniques under various electricity tariff schemes. Energy Build. 2012, 49, 226–234. [Google Scholar] [CrossRef]
- Bschorer, S.; Kuschke, M.; Strunz, K. Object-oriented modeling for planning and control of multi-energy systems. CSEE J. Power Energy Syst. 2019, 5, 355–364. [Google Scholar] [CrossRef]
- Jia, L.; Liu, J.; Chong, A.; Dai, X. Deep learning and physics-based modeling for the optimization of ice-based thermal energy systems in cooling plants. Appl. Energy 2022, 322, 119443. [Google Scholar] [CrossRef]
- Heine, K.; Tabares-Velasco, P.C.; Deru, M. Design and dispatch optimization of packaged ice storage systems within a connected community. Appl. Energy 2021, 298, 117147. [Google Scholar] [CrossRef]
- Jalili, M.; Sedighizadeh, M.; Sheikhi Fini, A. Stochastic optimal operation of a microgrid based on energy hub including a solar-powered compressed air energy storage system and an ice storage conditioner. J. Energy Storage 2021, 33, 102089. [Google Scholar] [CrossRef]
- Heidari, A.; Mortazavi, S.S.; Bansal, R.C. Stochastic effects of ice storage on improvement of an energy hub optimal operation including demand response and renewable energies. Appl. Energy 2020, 261, 114393. [Google Scholar] [CrossRef]
- Odufuwa, O.Y.; Kusakana, K.; Numbi, B.P.; Tartibu, L.K. Optimal energy management of grid-connected PV for HVAC cooling with ice thermal storage system. J. Energy Storage 2024, 77, 109844. [Google Scholar] [CrossRef]
- Sanaye, S.; Khakpaay, N. Thermo-economic multi-objective optimization of an innovative cascaded organic Rankine cycle heat recovery and power generation system integrated with gas engine and ice thermal energy storage. J. Energy Storage 2020, 32, 101697. [Google Scholar] [CrossRef]
- Dai, W.; Xia, W.; Li, B.; Goh, H.; Zhang, Z.; Wen, F.; Ding, C. Increase the integration of renewable energy using flexibility of source-network-load-storage in district cooling system. J. Clean. Prod. 2024, 441, 140682. [Google Scholar] [CrossRef]
- Zheng, X.; Wu, G.; Qiu, Y.; Zhan, X.; Shah, N.; Li, N.; Zhao, Y. A MINLP multi-objective optimization model for operational planning of a case study CCHP system in urban China. Appl. Energy 2018, 210, 1126–1140. [Google Scholar] [CrossRef]
- Hoffmann, M.; Kotzur, L.; Stolten, D.; Robinius, M. A Review on Time Series Aggregation Methods for Energy System Models. Energies 2020, 13, 641. [Google Scholar] [CrossRef]
- Kotzura, L.; Markewitz, P.; Robinius, M.; Stolten, D. Time series aggregation for energy system design: Modeling seasonal storage. Appl. Energy 2018, 213, 123–135. [Google Scholar] [CrossRef]
- Renaldi, R.; Friedrich, D. Multiple time grids in operational optimisation of energy systems with short- and long-term thermal energy storage. Energy 2017, 133, 784–795. [Google Scholar] [CrossRef]
- Gabrielli, P.; Gazzani, M.; Martelli, E.; Mazzotti, M. Optimal design of multi-energy systems with seasonal storage. Appl. Energy 2018, 219, 408–424. [Google Scholar] [CrossRef]
- Krien, U.; Schönfeldt, P.; Launer, J.; Hilpert, S.; Kaldemeyer, C.; Pleßmann, G. oemof.solph—A model generator for linear and mixed-integer linear optimisation of energy systems. Softw. Impacts 2020, 6, 100028. [Google Scholar] [CrossRef]
- Schönfeldt, P.; Schlüters, S.; Oltmanns, K. MTRESS 3.0—Modell Template for Residential Energy Supply Systems. arXiv 2022, arXiv:2211.14080. [Google Scholar]
- Schonfeldt, P.; Grimm, A.; Neupane, B.; Torio, H.; Duranp, P.; Klement, P.; Hanke, B.; von Maydell, K.; Agert, C. Simultaneous optimization of temperature and energy in linear energy system models. In Proceedings of the 2022 Open Source Modelling and Simulation of Energy Systems (OSMSES), Aachen, Germany, 4–5 April 2022; pp. 1–6. [Google Scholar] [CrossRef]
- Viessmann Climate Solutions SE. Eis-Energiespeichersystem: Projektplanung für Vitocal Sole/Wasser-Wärmepumpen. 2022. Available online: https://www.viessmann.de/de/produkte/waermepumpe/eis-energiespeicher-systeme-grossanlagen.html (accessed on 10 November 2025). (In German).
- West, J.; Braun, J.E. Modeling Partial Charging and Discharging of Area-Constrained Ice Storage Tanks. HVAC&R Res. 1999, 5, 209–228. [Google Scholar] [CrossRef]
- Dohmann, J. Thermodynamik der Kälteanlagen und Wärmepumpen; Springer Vieweg: Berlin/Heidelberg, Germany, 2016; (In German). [Google Scholar] [CrossRef]
- Castell, A.; Belusko, M.; Bruno, F.; Cabeza, L.F. Maximisation of heat transfer in a coil in tank PCM cold storage system. Appl. Energy 2011, 88, 4120–4127. [Google Scholar] [CrossRef]
- Krien, U.; Kaldemeyer, C.; Günther, S.; Schönfeldt, P.; Simon, H.; Launer, J.; Röder, J.; Möller, C.; Kochems, J.; Huyskens, H.; et al. oemof.solph (v0.5.2). 2024. [Google Scholar] [CrossRef]

















| Diameter (m) | Height (m) | Volume (m3) |
|---|---|---|
| 6.196 | 5 | 150.8 |
Disclaimer/Publisher’s Note: The statements, opinions and data contained in all publications are solely those of the individual author(s) and contributor(s) and not of MDPI and/or the editor(s). MDPI and/or the editor(s) disclaim responsibility for any injury to people or property resulting from any ideas, methods, instructions or products referred to in the content. |
© 2025 by the authors. Licensee MDPI, Basel, Switzerland. This article is an open access article distributed under the terms and conditions of the Creative Commons Attribution (CC BY) license (https://creativecommons.org/licenses/by/4.0/).
Share and Cite
Hillen, M.; Schönfeldt, P.; Groesdonk, P.; Hoffschmidt, B. Operational Optimization of Seasonal Ice-Storage Systems with Time-Series Aggregation. Energies 2025, 18, 5988. https://doi.org/10.3390/en18225988
Hillen M, Schönfeldt P, Groesdonk P, Hoffschmidt B. Operational Optimization of Seasonal Ice-Storage Systems with Time-Series Aggregation. Energies. 2025; 18(22):5988. https://doi.org/10.3390/en18225988
Chicago/Turabian StyleHillen, Maximilian, Patrik Schönfeldt, Philip Groesdonk, and Bernhard Hoffschmidt. 2025. "Operational Optimization of Seasonal Ice-Storage Systems with Time-Series Aggregation" Energies 18, no. 22: 5988. https://doi.org/10.3390/en18225988
APA StyleHillen, M., Schönfeldt, P., Groesdonk, P., & Hoffschmidt, B. (2025). Operational Optimization of Seasonal Ice-Storage Systems with Time-Series Aggregation. Energies, 18(22), 5988. https://doi.org/10.3390/en18225988

