Real-Time Reconfiguration of PV Arrays and Control Strategy Using Minimum Number of Sensors and Switches
Abstract
1. Introduction
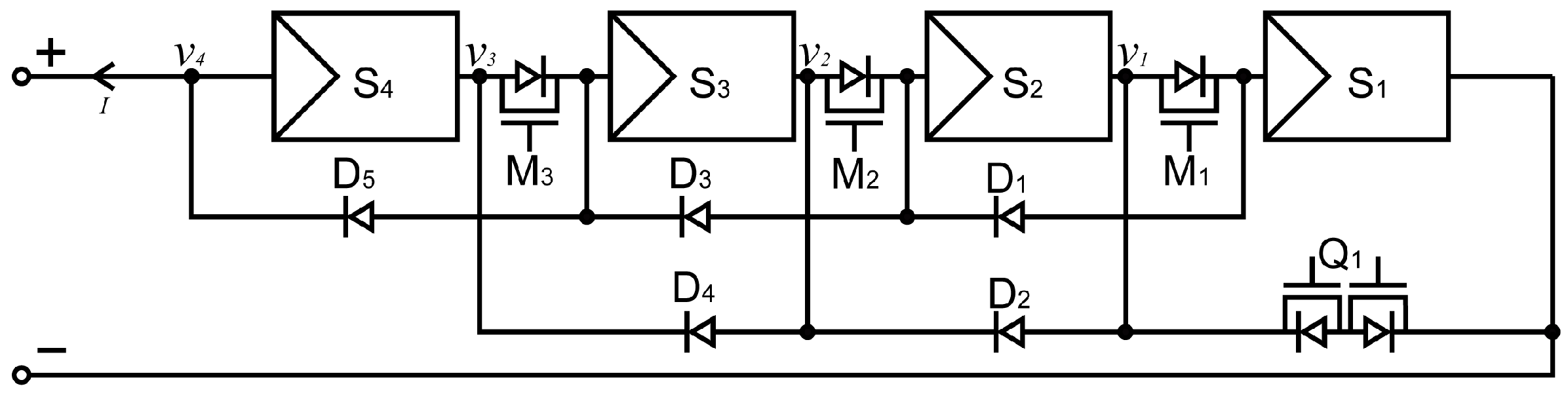
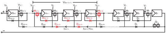
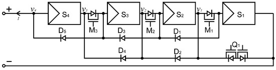
2. Switching Circuit Topology
3. Control of Switching Network for Reconfiguration
3.1. Series-to-Parallel Reconfiguration
3.2. Parallel-to-Series Reconfiguration
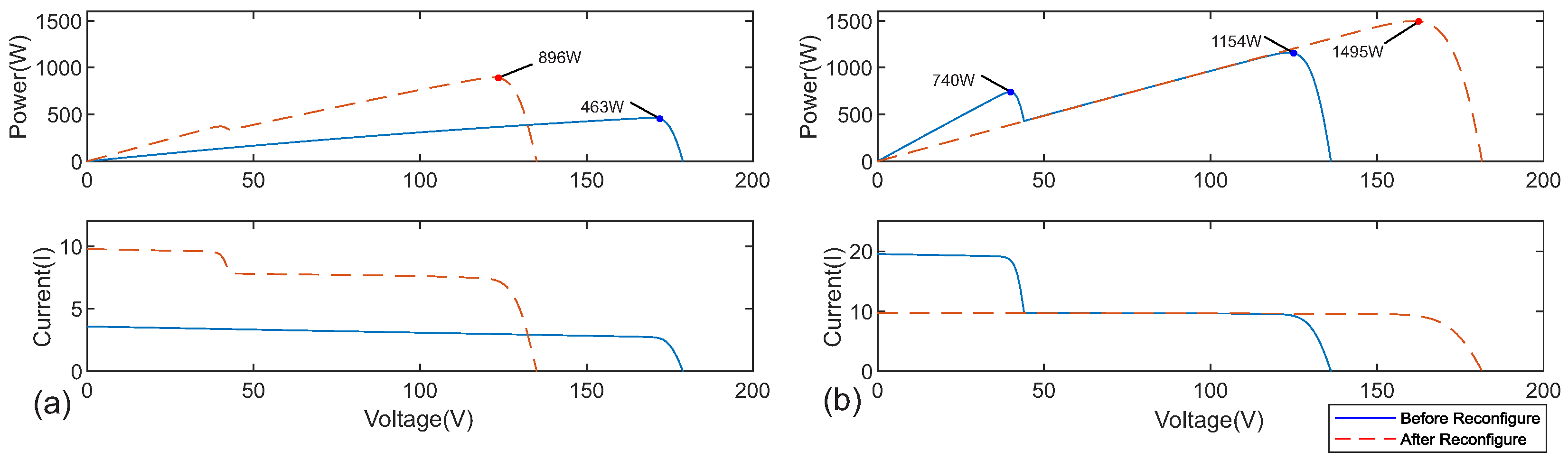
4. Simulation Study to Demonstrate Reconfiguration Method
5. Experiential Result
6. Conclusions
Author Contributions
Funding
Data Availability Statement
Conflicts of Interest
Abbreviations
| PV | Photovoltaic |
| MPPT | Maximum Power Point Tracking |
| TCT | Total-Cross-Tied |
| DPDT | Double-pole Double-throw |
| I-V | Current–voltage |
| P-V | Power–voltage |
| MPP | Maximum Power Point |
| GMPP | Global Maximum Power Point |
| STC | Standard Test Conditions |
| LMPP | Local Maximum Power Point |
References
- Calcabrini, A.; Muttillo, M.; Weegink, R.; Manganiello, P.; Zeman, M.; Isabella, O. A fully reconfigurable series-parallel photovoltaic module for higher energy yields in urban environments. Renew. Energy 2021, 179, 1–11. [Google Scholar] [CrossRef]
- Calcabrini, A.; Muttillo, M.; Zeman, M.; Manganiello, P.; Isabella, O. Electrical performance of a fully reconfigurable series-parallel photovoltaic module. Nat. Commun. 2023, 14, 8113. [Google Scholar] [CrossRef] [PubMed]
- Kukunuru, S.R.; Naeimi, Y.; Salem, L.G. A Series-Parallel Switched-Photovoltaic DC–DC Converter. IEEE J. Solid-State Circuits 2023, 58, 742–756. [Google Scholar] [CrossRef]
- Tanemo, M.; Matsudate, K.; Nomura, S. Change in Circuit Configuration of Photovoltaic Modules Using Series/Parallel Switching Circuits Composed of Power MOSFETs. IEEE J. Ind. Appl. 2020, 9, 73–81. [Google Scholar] [CrossRef]
- Ameen, F.; Siddiq, A.; Trohák, A.; Benotsmane, R. A Scalable Hierarchical Dynamic PV Array Reconfiguration under Partial Shading. Energies 2023, 17, 181. [Google Scholar] [CrossRef]
- Yadav, V.K.; Yadav, A.; Yadav, R.; Mittal, A.; Wazir, N.H.; Gupta, S.; Pachauri, R.K.; Ghosh, S. A novel reconfiguration technique for improvement of PV reliability. Renew. Energy 2022, 182, 508–520. [Google Scholar] [CrossRef]
- Yang, B.; Ye, H.; Wang, J.; Li, J.; Wu, S.; Li, Y.; Shu, H.; Ren, Y.; Ye, H. PV arrays reconfiguration for partial shading mitigation: Recent advances, challenges and perspectives. Energy Convers. Manag. 2021, 247, 114738. [Google Scholar] [CrossRef]











| Category | Full Reconfiguration | Series-Parallel | ||||||
|---|---|---|---|---|---|---|---|---|
| Literature | [7] | [1,2] | [5] | [6] | [3] | [4] | This Paper | |
| Number of PV Modules | N | N | N | N | N | |||
| Increment of Module | N or M | 1 | 1 | N or M | 1 | 1 | 1 | |
| Component Count | Switch | Transistor: | Transistor: | Electromech. relay | Transistor: Diode: | Transistor: | Transistor: | Transistor: act as passive diode |
| Passive Component | 0 | 0 | 0 | Capacitor: N | 0 | 0 | 0 | |
| Minimum Module Number | 2 | 2 | min. of 2 in | 2 | 2 | 2 | 2 | |
| Required Sensor | Voltage Current | 1 Voltage 1 Current | Undetermined | 1 Voltage 1 Current | N Voltage | Current | Voltage 1 Current (shared MPPT) | |
| Reaction Time | Fault detection | Real-time | Slow interval | Undetermined | Real-time with slow MPPT | Not available | Real-time | Real-time |
| Fault removal | Real-time | Slow interval | Undetermined | Real-time with slow MPPT | Periodic | Periodic | Real-time | |
| Configuration Flexibility | Any config. | Any config. | Highly limited | Limited | Limited parallel/series | |||
| Energy Loss | Conduction loss | Conduction loss | Conduction loss | Conduction loss | Conduction + Switching loss | Conduction loss | Conduction loss | |
| Primary Aims | Partial Shading, Fault elimination | Partial Shading, Fault | Partial Shading, Fault | Fault (check shading) | Wide Output Voltage Range | Partial Shading, Fault | Partial Shading, Fault | |
| Applications | Large-scale PV | Rooftop and large-scale PV | Rooftop and large-scale PV | Rooftop and large-scale PV | Battery-powered device | Rooftop and large-scale PV | Rooftop and large-scale PV | |
| Series to Parallel | Parallel to Series | ||
|---|---|---|---|
| Irradiance on modules | 1000 W/m2 | 1000 W/m2 | |
| 600 W/m2 | 1000 W/m2 | ||
| 600 W/m2 | 1000 W/m2 | ||
| 1000 W/m2 | 1000 W/m2 | ||
| Voltage levels at MPP | 43.8 V | 41.06 V | |
| 84.0 V | 40.94 V | ||
| 124.2 V | 85.09 V | ||
| 168.0 V | 126.15 V | ||
| Current at MPP | I | 5.48 A | 9.04 A |
| Activated Switches | , , | , , , , |
| Name | Panel: Karra 350 | Module: 1/3 of Panel |
|---|---|---|
| Rated Power () | 350 W | 116 W |
| Rated Power Voltage () | 37.55 V | 12.5 V |
| Rated Power Current () | 9.32 A | 9.32 A |
| Open Circuit Voltage () | 45 V | 15 V |
| Short Circuit Current () | 9.94 A | 9.94 A |
| Total Number of Cells | 66 | 22 |
| Dimension | 1827 × 1000 mm | 1827 × 333 mm |
| Condition 1 | Condition 2 | ||||
|---|---|---|---|---|---|
| Before Reconfigure | After Reconfigure | Before Reconfigure | After Reconfigure | ||
| Irradiance on modules | 1000 W/m2 | 1000 W/m2 | |||
| 800 W/m2 | 1000 W/m2 | ||||
| 500 W/m2 | 1000 W/m2 | ||||
| 300 W/m2 | 1000 W/m2 | ||||
| Voltage levels at MPP | 37.14 V | mV | mV | 40.21 V | |
| 80.40 V | 38.63 V | 44.02 V | 80.42 V | ||
| 124.7 V | 79.06 V | 83.75 V | 120.63 V | ||
| 169.4 V | 121.99 V | 123.51 V | 160.86 V | ||
| Current at MPP | I | 2.73 A | 7.34 A | 9.40 A | 9.31 A |
| Activated Switches | , , | , , , | , , , | , , | |
Disclaimer/Publisher’s Note: The statements, opinions and data contained in all publications are solely those of the individual author(s) and contributor(s) and not of MDPI and/or the editor(s). MDPI and/or the editor(s) disclaim responsibility for any injury to people or property resulting from any ideas, methods, instructions or products referred to in the content. |
© 2025 by the authors. Licensee MDPI, Basel, Switzerland. This article is an open access article distributed under the terms and conditions of the Creative Commons Attribution (CC BY) license (https://creativecommons.org/licenses/by/4.0/).
Share and Cite
Ng, W.K.; Ertugrul, N. Real-Time Reconfiguration of PV Arrays and Control Strategy Using Minimum Number of Sensors and Switches. Energies 2025, 18, 5866. https://doi.org/10.3390/en18225866
Ng WK, Ertugrul N. Real-Time Reconfiguration of PV Arrays and Control Strategy Using Minimum Number of Sensors and Switches. Energies. 2025; 18(22):5866. https://doi.org/10.3390/en18225866
Chicago/Turabian StyleNg, Wing Kong, and Nesimi Ertugrul. 2025. "Real-Time Reconfiguration of PV Arrays and Control Strategy Using Minimum Number of Sensors and Switches" Energies 18, no. 22: 5866. https://doi.org/10.3390/en18225866
APA StyleNg, W. K., & Ertugrul, N. (2025). Real-Time Reconfiguration of PV Arrays and Control Strategy Using Minimum Number of Sensors and Switches. Energies, 18(22), 5866. https://doi.org/10.3390/en18225866

