Projection-Based Coordinated Scheduling of Distribution–Microgrid Systems Considering Frequency Security Constraints
Abstract
1. Introduction
2. Modeling Frequency Security Constraints via Frequency Response Curves Approximation
2.1. Frequency Dynamics
2.2. Frequency Constraint Modeling Based on Frequency Response Curves
2.3. Derivation of Linear Maximum Frequency Deviation Constraint
3. Coordinated Scheduling Model of Distribution–Microgrid Systems
3.1. Objective Function
3.2. Operation Constraints of DN
3.3. Operation Constraints of MG
4. Projection-Based Coordinated Scheduling Method for Distribution–Microgrid Systems
4.1. Definition of Microgrid Feasible Region Projection
4.2. Assumption of Power–Energy Boundary
4.3. Inner-Approximation Method
4.4. Overall Procedure of Feasible Region Projection
- Initialize the iteration index k = 0, and compute the initial boundary parameters D and d.
- Solve problem (30). If the objective function value is equal to 0, terminate; otherwise, proceed to the next step.
- Obtain Ψk based on (32).
- Compute the updated value according to (33).
- Tighten the boundary coefficient vector d using (31).
- Update k = k + 1 and return to Step 2.
4.5. Non-Iterative Coordination Optimization Framework for Distribution–Microgrid Systems
4.6. Coordinated Scheduling Procedure Between DN and MGs
- Each microgrid establishes its optimization model incorporating frequency security constraints.
- Based on the algorithm presented in Section 4.3, each microgrid performs a dimension-reduced projection to obtain its feasible region.
- Each microgrid submits its projected feasible region to the DN, which performs scheduling optimization according to problem (34).
- The DN sends the resulting boundary power schedules to each microgrid.
- Each microgrid conducts internal resource optimization following the received boundary power commands.
5. Case Study
- ▪
- M1: DN–MG scheduling without considering microgrid frequency constraints.
- ▪
- M2: The proposed DN–MG scheduling method with microgrid frequency constraints.
5.1. Comparison of Economic Costs Under Two Scheduling Methods
5.2. Comparison of Power Exchange Under Two Scheduling Methods
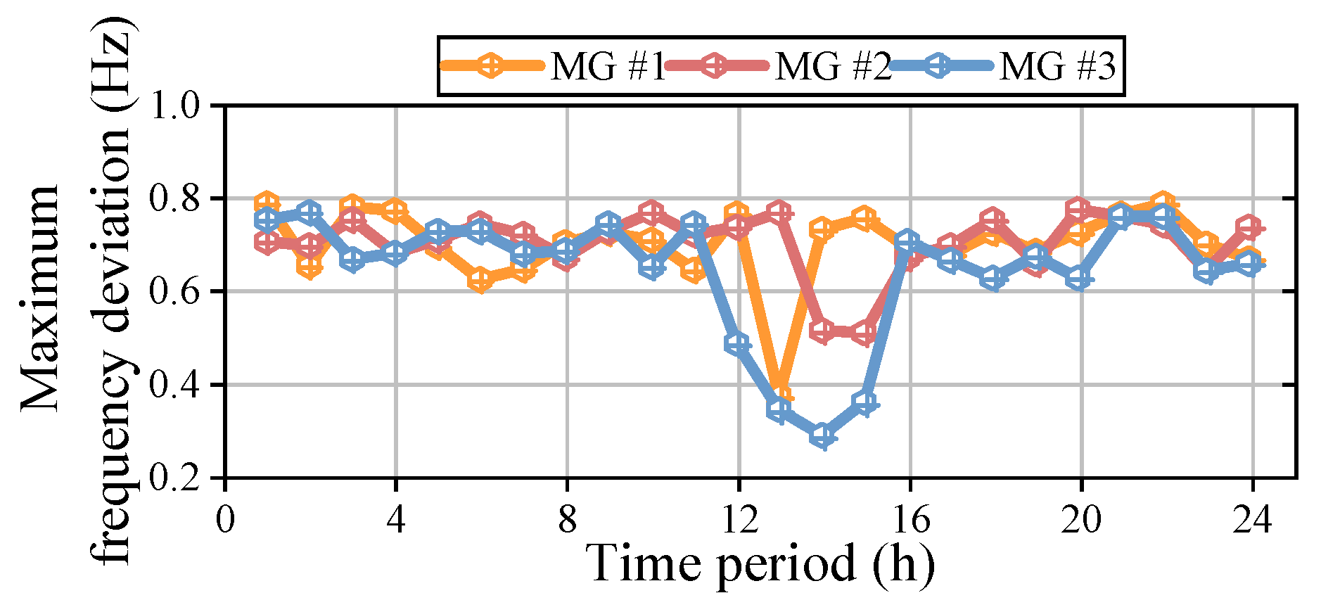
5.3. Comparison of Maximum Frequency Deviation Under Two Scheduling Methods
5.4. Validation of the Effectiveness of Feasible Region Inner Approximation
5.5. Scalability
5.6. Sensitivity Analysis of Linearization Error in the Maximum Frequency Deviation Constraint
6. Conclusions
- Frequency security constraints significantly affect power exchange and economic performance. Without frequency constraints, microgrids exhibit larger power exchanges with the distribution network and better economic outcomes, but at the cost of higher frequency risks. With the inclusion of frequency constraints, the exchange range is compressed, system flexibility decreases, and economic efficiency is partially sacrificed, but frequency stability during unintentional islanding is effectively guaranteed.
- Frequency constraints are essential in DN–MG coordination. Simulation results show that, without frequency constraints, the maximum frequency deviation of microgrids can reach 2.5 Hz, posing severe instability risks. In contrast, under the proposed method, the maximum deviation is suppressed within 0.8 Hz, significantly enhancing system security.
- The proposed method outperforms box-based inner approximation. Compared with the box method, the coverage ratio is improved from 38.68% to 87.62%, substantially reducing conservativeness. Moreover, the proposed method achieves fast iterative convergence, completing computation within hundreds of seconds. It avoids the slow convergence and heavy communication burden of ADMM while overcoming the privacy and scalability limitations of centralized scheduling, thus demonstrating strong potential for practical engineering applications.
Author Contributions
Funding
Data Availability Statement
Conflicts of Interest
References
- Khodayar, M.E.; Barati, M.; Shahidehpour, M. Integration of high reliability distribution system in microgrid operation. IEEE Trans. Smart Grid 2012, 3, 1997–2006. [Google Scholar] [CrossRef]
- Van Impe, J.F.M.; Léonard, G.; Bhonsale, S.S.; Polańska, M.E.; Logist, F. Multi-objective Optimization of Steam Cracking Microgrid for Clean Olefins Production. Syst. Control. Trans. 2025, 4, 837–843. [Google Scholar] [CrossRef]
- Muhtadi, A.; Pandit, D.; Nguyen, N.; Mitra, J. Distributed energy resources based microgrid: Review of architecture, control, and reliability. IEEE Trans. Ind. Appl. 2021, 57, 2223–2235. [Google Scholar] [CrossRef]
- Zhou, K.; Yang, S.; Chen, Z.; Ding, S. Optimal load distribution model of microgrid in the smart grid environment. Renew. Sustain. Energy Rev. 2014, 35, 304–310. [Google Scholar] [CrossRef]
- Liang, Z.; Chung, C.Y.; Zhang, W.; Wang, Q.; Lin, W.; Wang, C. Enabling High-Efficiency Economic Dispatch of Hybrid AC/DC Networked Microgrids: Steady-State Convex Bi-Directional Converter Models. IEEE Trans. Smart Grid 2025, 16, 45–61. [Google Scholar] [CrossRef]
- Cai, S.; Xie, Y.; Zhang, Y.; Bao, W.; Wu, Q.; Chen, C.; Guo, J. Frequency constrained proactive scheduling for secure microgrid formation in wind power penetrated distribution systems. IEEE Trans. Smart Grid 2025, 16, 989–1002. [Google Scholar] [CrossRef]
- Wen, Y.; Lin, X. Minimum Inertia Requirement Assessment of Microgrids in Islanded and Grid-connected Modes. Proc. CSEE 2021, 41, 2040–2052. [Google Scholar] [CrossRef]
- Wen, Y.; Chung, C.Y.; Liu, X.; Che, L. Microgrid dispatch with frequency-aware islanding constraints. IEEE Trans. Power Syst. 2019, 34, 2465–2468. [Google Scholar] [CrossRef]
- Chu, Z.; Zhang, N.; Teng, F. Frequency-constrained resilient scheduling of microgrid: A distributionally robust approach. IEEE Trans. Smart Grid 2021, 12, 4914–4925. [Google Scholar] [CrossRef]
- Nakiganda, A.M.; Aristidou, P. Resilient microgrid scheduling with secure frequency and voltage transient response. IEEE Trans. Power Syst. 2022, 38, 3580–3592. [Google Scholar] [CrossRef]
- Wang, Y.; Wu, L.; Wang, S. A fully-decentralized consensus-based ADMM approach for DC-OPF with demand response. IEEE Trans. Smart Grid 2016, 8, 2637–2647. [Google Scholar] [CrossRef]
- Ma, Z.; Zhou, Y.; Zheng, Y.; Yang, L.; Wei, Z. Distributed robust optimal dispatch of regional integrated energy systems based on ADMM algorithm with adaptive step size. J. Mod. Power Syst. Clean Energy 2023, 12, 852–862. [Google Scholar] [CrossRef]
- Rajaei, A.; Arowolo, O.; Cremer, J.L. Learning-Accelerated ADMM for Stochastic Power System Scheduling with Numerous Scenarios. IEEE Trans. Sustain. Energy 2025, 16, 2701–2713. [Google Scholar] [CrossRef]
- Lin, W.; Yang, Z.; Yu, J.; Jin, L.; Li, W. Tie-line power transmission region in a hybrid grid: Fast characterization and expansion strategy. IEEE Trans. Power Syst. 2019, 35, 2222–2231. [Google Scholar] [CrossRef]
- Lin, W.; Yang, Z.; Yu, J.; Yang, G.; Wen, L. Determination of transfer capacity region of tie lines in electricity markets: Theory and analysis. Appl. Energy 2019, 239, 1441–1458. [Google Scholar] [CrossRef]
- Lin, W.; Yu, J.; Yang, Z.; Wang, X. Fast probabilistic optimal power flow based on modified multi-parametric programming. In Proceedings of the 2020 International Conference on Probabilistic Methods Applied to Power Systems (PMAPS), Liege, Belgium, 18–21 August 2020; IEEE: New York, NY, USA, 2020; pp. 1–6. [Google Scholar]
- Wei, W.; Liu, F.; Mei, S. Real-time dispatchability of bulk power systems with volatile renewable generations. IEEE Trans. Sustain. Energy 2015, 6, 738–747. [Google Scholar] [CrossRef]
- Zhang, Y.; Chen, C.; Liu, G.; Hong, T.; Qiu, F. Approximating trajectory constraints with machine learning–microgrid islanding with frequency constraints. IEEE Trans. Power Syst. 2020, 36, 1239–1249. [Google Scholar] [CrossRef]
- Xu, D.; Liu, Z.; Hou, K.; Wei, X.; Jia, H.; Wu, Z.; Guan, L. Distributionally Robust Frequency Constrained Low-carbon Scheduling Considering Flexibility of Carbon Capture Power Plants. Energy 2025, 332, 137171. [Google Scholar] [CrossRef]
- Xu, D.; Wu, Z. Enhanced frequency aware microgrid scheduling towards seamless islanding under frequency support of heterogeneous resources: A distributionally robust chance constrained approach. Int. J. Electr. Power Energy Syst. 2024, 162, 110310. [Google Scholar] [CrossRef]
- Li, K.; Ai, X.; Fang, J.; Cui, S.; Feng, Y.; Liu, D.; Gu, P.; Qiu, W.; Wen, J. Frequency security constrained robust unit commitment for sufficient deployment of diversified frequency support resources. IEEE Trans. Ind. Appl. 2023, 60, 1725–1737. [Google Scholar] [CrossRef]
- Liu, L.; Li, W.; Ba, Y.; Shen, J.; Jin, C.; Wen, K. An analytical model for frequency nadir prediction following a major disturbance. IEEE Trans. Power Syst. 2020, 35, 2527–2536. [Google Scholar] [CrossRef]
- Hengxian, L.; Kaiyuan, H.; Lei, C.; Deming, X.; Yong, M.; Shuang, Q.; Bowen, Z. Optimization model of high-frequency second defense line of generator tripping based on frequency safety constraints. In IOP Conference Series: Earth and Environmental Science, Proceedings of the 2020 4th International Workshop on Advances in Energy Science and Environment Engineering, Hangzhou, China, 10–12 April 2020; IOP Science: Bristol, UK, 2020; Volume 512, p. 012108. [Google Scholar] [CrossRef]
- Zhang, R.; Zhang, Y.; Zou, Y.; Jiang, T.; Li, X. Privacy-Preserving Cooperative Optimal Operation for Reconfigurable Multimicrogrid Distribution Systems: A Noniterative Distributed Optimization Approach. IEEE Trans. Ind. Inform. 2025, 21, 5766–5776. [Google Scholar] [CrossRef]
- Wen, Y.; Hu, Z.; He, J.; Guo, Y. Improved inner approximation for aggregating power flexibility in active distribution networks and its applications. IEEE Trans. Smart Grid 2023, 15, 3653–3665. [Google Scholar] [CrossRef]
- Hao, P.; Huang, C.; Wang, C.; Li, K.; Tan, Z. Non-Iterative Coordinated Optimal Dispatch of Distribution System and Microgrids via Fast Approximation Equivalent Projection. IEEE Trans. Smart Grid 2025, 16, 3934–3948. [Google Scholar] [CrossRef]
- Wang, S.; Wu, W. Aggregate flexibility of virtual power plants with temporal coupling constraints. IEEE Trans. Smart Grid 2021, 12, 5043–5051. [Google Scholar] [CrossRef]
- Liu, Y.; Li, Z.; Wei, W.; Zheng, J.H.; Zhang, H. Data-driven dispatchable regions with potentially active boundaries for renewable power generation: Concept and construction. IEEE Trans. Sustain. Energy 2021, 13, 882–891. [Google Scholar] [CrossRef]






| Method | Generation ($) | Energy Storage ($) | Power Exchange ($) | Total Cost ($) |
|---|---|---|---|---|
| M1 | 8079.65 | 9987.41 | −5273.27 | 25,653.37 |
| M2 | 8598.65 | 10,008.99 | −3217.22 | 30,596.65 |
| Method | Proposed in This Paper | Box-Based Inner Approximation |
|---|---|---|
| Cover rate | 87.62% | 38.68% |
| CPU time (s) | 180.78 | 32.19 |
| τ* | 0.5 | 1 | 2 | 4 |
| Total cost ($) | 30,824.31 | 30,596.65 | 30,247.44 | 30,098.45 |
| Frequency security guarantee | Yes | Yes | No | No |
Disclaimer/Publisher’s Note: The statements, opinions and data contained in all publications are solely those of the individual author(s) and contributor(s) and not of MDPI and/or the editor(s). MDPI and/or the editor(s) disclaim responsibility for any injury to people or property resulting from any ideas, methods, instructions or products referred to in the content. |
© 2025 by the authors. Licensee MDPI, Basel, Switzerland. This article is an open access article distributed under the terms and conditions of the Creative Commons Attribution (CC BY) license (https://creativecommons.org/licenses/by/4.0/).
Share and Cite
Song, X.; Guo, L.; Sun, M.; Tong, X.; Wei, W.; Liu, M. Projection-Based Coordinated Scheduling of Distribution–Microgrid Systems Considering Frequency Security Constraints. Energies 2025, 18, 5707. https://doi.org/10.3390/en18215707
Song X, Guo L, Sun M, Tong X, Wei W, Liu M. Projection-Based Coordinated Scheduling of Distribution–Microgrid Systems Considering Frequency Security Constraints. Energies. 2025; 18(21):5707. https://doi.org/10.3390/en18215707
Chicago/Turabian StyleSong, Xingwang, Lingxu Guo, Mingjun Sun, Xinyu Tong, Wei Wei, and Mengyu Liu. 2025. "Projection-Based Coordinated Scheduling of Distribution–Microgrid Systems Considering Frequency Security Constraints" Energies 18, no. 21: 5707. https://doi.org/10.3390/en18215707
APA StyleSong, X., Guo, L., Sun, M., Tong, X., Wei, W., & Liu, M. (2025). Projection-Based Coordinated Scheduling of Distribution–Microgrid Systems Considering Frequency Security Constraints. Energies, 18(21), 5707. https://doi.org/10.3390/en18215707
