Life Cycle Assessment Method for Ship Fuels Using a Ship Performance Prediction Model and Actual Operation Conditions—Case Study of Wind-Assisted Cargo Ship
Abstract
1. Introduction
2. Methodology and Methods
2.1. Fuel Consumption Model and Data for Life Cycle Assessment
2.2. Environmental Impact Assessment Model
2.3. Case Study Ship and Route
3. Results
3.1. Engine Sizing and Determination of Fuel Consumption
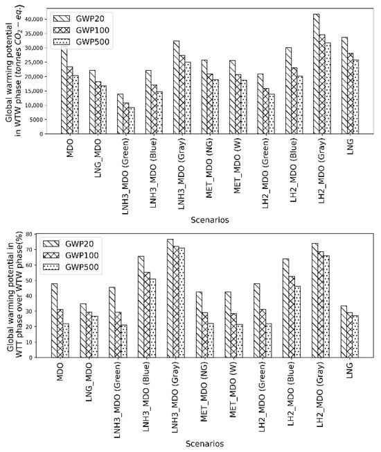
3.2. Evaluation of Environmental Impact
4. Conclusions
Author Contributions
Funding
Data Availability Statement
Conflicts of Interest
References
- Brooks, M.R.; Faust, P. 50 Years of Review of Maritime Transport, 1968–2018: Reflecting on the Past, Exploring the Future; Technical Report; UNCTAD: Geneva, Switzerland, 2018; Available online: https://unctad.org/publication/50-years-review-maritime-transport-1968-2018-reflecting-past-exploring-future (accessed on 15 August 2025).
- IMO. 2023 IMO Strategy on Reduction of GHG Emissions from Ships; Technical Report; Marine Environment Protection Committee, International Maritime Organization: London, UK, 2023; Available online: https://www.imo.org/en/OurWork/Environment/Pages/2023-IMO-Strategy-on-Reduction-of-GHG-Emissions-from-Ships.aspx (accessed on 15 August 2025).
- Du, W.; Li, Y.; Zhang, G.; Wang, C.; Zhu, B.; Qiao, J. Energy saving method for ship weather routing optimization. Ocean Eng. 2022, 258, 111771. [Google Scholar] [CrossRef]
- Julià, E.; Tillig, F.; Ringsberg, J.W. Concept design and performance evaluation of a fossil-free operated cargo ship with unlimited range. Sustainability 2020, 12, 6609. [Google Scholar] [CrossRef]
- Lindstad, H.; Asbjørnslett, B.E.; Strømman, A.H. Reductions in greenhouse gas emissions and cost by shipping at lower speeds. Energy Policy 2011, 39, 3456–3464. [Google Scholar] [CrossRef]
- Wang, H.; Mao, W.; Eriksson, L. A three-dimensional Dijkstra’s algorithm for multi-objective ship voyage optimization. Ocean Eng. 2019, 186, 106131. [Google Scholar] [CrossRef]
- Xing, H.; Spence, S.; Chen, H. A comprehensive review on countermeasures for CO2 emissions from ships. Renew. Sustain. Energy Rev. 2020, 134, 110222. [Google Scholar] [CrossRef]
- Xing, H.; Stuart, C.; Spence, S.; Chen, H. Alternative fuel options for low carbon maritime transportation: Pathways to 2050. J. Clean. Prod. 2021, 297, 126651. [Google Scholar] [CrossRef]
- DNV. DNV Maritime Forecast to 2050. 2023. Available online: https://www.dnv.com/maritime/publications/maritime-forecast/ (accessed on 15 August 2025).
- Law, L.C.; Foscoli, B.; Mastorakos, E.; Evans, S. A comparison of alternative fuels for shipping in terms of lifecycle energy and cost. Energies 2021, 14, 8502. [Google Scholar] [CrossRef]
- Huang, J.; Fan, H.; Xu, X.; Liu, Z. Life cycle greenhouse gas emission assessment for using alternative marine fuels: A very large crude carrier (VLCC) case study. J. Mar. Sci. Eng. 2022, 10, 1969. [Google Scholar] [CrossRef]
- Seddiek, I.S.; Ammar, N.R. Technical and eco-environmental analysis of blue/green ammonia-fueled Ro/Ro ships. Transp. Res. Part D Transp. Environ. 2023, 114, 103547. [Google Scholar] [CrossRef]
- Law, L.C.; Mastorakos, E.; Evans, S. Estimates of the decarbonization potential of alternative fuels for shipping as a function of vessel type, cargo, and voyage. Energies 2022, 15, 7468. [Google Scholar] [CrossRef]
- Tomos, B.A.D.; Stamford, L.; Welfle, A.; Larkin, A. Decarbonising international shipping—A life cycle perspective on alternative fuel options. Energy Convers. Manag. 2024, 299, 117848. [Google Scholar] [CrossRef]
- Perčić, M.; Vladimir, N.; Fan, A. Life-cycle cost assessment of alternative marine fuels to reduce the carbon footprint in short-sea shipping: A case study of Croatia. Appl. Energy 2020, 279, 115848. [Google Scholar] [CrossRef]
- Balcombe, P.; Staffell, I.; Kerdan, I.G.; Speirs, J.F.; Brandon, N.P.; Hawkes, A.D. How can LNG-fueled ships meet decarbonisation targets? An environmental and economic analysis. Energy 2021, 227, 120462. [Google Scholar] [CrossRef]
- Li, Z.; Wang, K.; Liang, H.; Wang, Y.; Ma, R.; Cao, J.; Huang, L. Marine alternative fuels for shipping decarbonization: Technologies, applications and challenges. Energy Convers. Manag. 2025, 329, 119641. [Google Scholar] [CrossRef]
- Kanchiralla, F.M.; Brynolf, S.; Olsson, T.; Ellis, J.; Hansson, J.; Grahn, M. How do variations in ship operation impact the techno-economic feasibility and environmental performance of fossil-free fuels? A life cycle study. Appl. Energy 2023, 350, 121773. [Google Scholar] [CrossRef]
- Fan, A.; Wang, J.; He, Y.; Perčić, M.; Vladimir, N.; Yang, L. Decarbonising inland ship power system: Alternative solution and assessment method. Energy 2021, 226, 120266. [Google Scholar] [CrossRef]
- Barone, G.; Buonomano, A.; Del Papa, G.; Maka, R.; Palombo, A. Approaching zero emissions in ports: Implementation of batteries and supercapacitors with smart energy management in hybrid ships. Energy Convers. Manag. 2024, 314, 118446. [Google Scholar] [CrossRef]
- Ling-Chin, J.; Roskilly, A.P. Investigating a conventional and retrofit power plant on-board a Roll-on/Roll-off cargo ship from a sustainability perspective—A life cycle assessment case study. Energy Convers. Manag. 2016, 117, 305–318. [Google Scholar] [CrossRef]
- Ling-Chin, J.; Roskilly, A.P. A comparative life cycle assessment of marine power systems. Energy Convers. Manag. 2016, 127, 477–493. [Google Scholar] [CrossRef]
- Ling-Chin, J.; Roskilly, A.P. Investigating the implications of a new-build hybrid power system for Roll-on/Roll-off cargo ships from a sustainability perspective—A life cycle assessment case study. Appl. Energy 2016, 181, 416–434. [Google Scholar] [CrossRef]
- Park, C.; Jeong, B.; Zhou, P. Lifecycle energy solution of the electric propulsion ship with Live-Life cycle assessment for clean maritime economy. Appl. Energy 2022, 238, 120174. [Google Scholar] [CrossRef]
- Perčić, M.; Frković, L.; Pukšec, T.; Ćosić, B.; Li, O.L.; Vladimir, N. Life-cycle assessment and life-cycle cost assessment of power batteries for all-electric vessels for short-sea navigation. Energy 2022, 251, 123895. [Google Scholar] [CrossRef]
- Trivyza, N.L.; Rentizelas, A.; Theotokatos, G.; Boulougouris, E. Decision support methods for sustainable ship energy systems: A state-of-the-art review. Energy 2022, 239 Pt C, 122288. [Google Scholar] [CrossRef]
- Wu, N.; Zhang, F.; Zhang, F.; Jiang, C.; Lin, J.; Xie, S.; Jing, R.; Zhao, Y. An integrated multi-objective optimization, evaluation, and decision-making method for ship energy system. Appl. Energy 2024, 373, 123917. [Google Scholar] [CrossRef]
- Yan, R.; Yang, D.; Wang, T.; Mo, H.; Wang, S. Improving ship energy efficiency: Models, methods, and applications. Appl. Energy 2024, 368, 123132. [Google Scholar] [CrossRef]
- Thies, F.; Ringsberg, J.W. Retrofitting WASP to a RoPax vessel—Design, performance and uncertainties. Energies 2023, 16, 673. [Google Scholar] [CrossRef]
- Thies, F.; Ringsberg, J.W. Wind-assisted, electric, and pure wind propulsion—The path towards zero-emission RoRo ships. Ships Offshore Struct. 2023, 18, 1229–1236. [Google Scholar] [CrossRef]
- Arabnejad, M.H.; Thies, F.; Yao, H.; Ringsberg, J.W. Zero-emission propulsion system featuring, Flettner rotors, batteries and fuel cells, for a merchant ship. Ocean. Eng. 2024, 310, 118618. [Google Scholar] [CrossRef]
- ISO 14040:2006; Environmental Management-Life Cycle Assessment-Principles and Framework. International Standard Organization: Geneva, Switzerland, 2006. Available online: https://www.iso.org/standard/37456.html (accessed on 15 August 2025).
- Tillig, F. Simulation Model of a Ship’s Energy Performance and Transportation Costs. Ph.D. Thesis, Chalmers University of Technology, Gothenburg, Sweden, 2020. Available online: https://research.chalmers.se/en/publication/516908 (accessed on 15 August 2025).
- Tillig, F.; Ringsberg, J.W.; Mao, W.; Ramne, B. A generic energy systems model for efficient ship design and operation. Proc. Inst. Mech. Eng. Part M J. Eng. Marit. Environ. 2017, 231, 649–666. [Google Scholar] [CrossRef]
- Zhang, W.; He, Y.; Wu, N.; Zhang, F.; Lu, D.; Liu, Z.; Jing, R.; Zhao, Y. Assessment of cruise ship decarbonization potential with alternative fuels based on MILP model and cabin space limitation. J. Clean. Prod. 2023, 425, 138667. [Google Scholar] [CrossRef]
- Brynolf, S.; Fridell, E.; Andersson, K. Environmental assessment of marine fuels: Liquefied natural gas, liquefied biogas, methanol and bio-methanol. J. Clean. Prod. 2014, 74, 86–95. [Google Scholar] [CrossRef]
- Chatterjee, S.; Parsapur, R.K.; Huang, K. Limitations of ammonia as a hydrogen energy carrier for the transportation sector. ACS Energy Lett. 2021, 6, 4390–4394. [Google Scholar] [CrossRef]
- Jang, H.; Jeong, B.; Zhou, P.; Ha, S.; Nam, D. Demystifying the lifecycle environmental benefits and harms of LNG as marine fuel. Appl. Energy 2021, 292, 116869. [Google Scholar] [CrossRef]
- Kollamthodi, S.; Norris, J.; Dun, C.; Brannigan, C.; Twisse, F.; Biedka, M.; Bates, J. The Role of Natural Gas and Biomethane in the Transport Sector; Final Report; Ricardo Energy & Environment: Shoreham-by-Sea, UK, 2016; Available online: https://www.transportenvironment.org/uploads/files/2016_02_TE_Natural_Gas_Biomethane_Study_FINAL.pdf (accessed on 15 August 2025).
- Sharafian, A.; Blomerus, P.; Mérida, W. Natural gas as a ship fuel: Assessment of greenhouse gas and air pollutant reduction potential. Energy Policy 2019, 131, 332–346. [Google Scholar] [CrossRef]
- Dong, D.; Schönborn, A.; Christodoulou, A.; Ölçer, A.I.; González-Celis, J. Life cycle assessment of ammonia/hydrogen-driven marine propulsion. Proc. Inst. Mech. Eng. Part M J. Eng. Marit. Environ. 2024, 238, 531–542. [Google Scholar] [CrossRef]
- International Maritime Organization. IMO 2020—Cutting Sulphur Oxide Emissions. 2020. Available online: https://www.imo.org/en/MediaCentre/HotTopics/Pages/Sulphur-2020.aspx (accessed on 15 August 2025).
- Lu, D.; Theotokatos, G.; Zhang, J.; Tang, Y.; Gan, H.; Liu, T.; Ren, Q. Numerical investigation of the high pressure selective catalytic reduction system impact on marine two-stroke diesel engines. Int. J. Nav. Archit. Ocean. Eng. 2021, 13, 659–673. [Google Scholar] [CrossRef]
- Tsujimura, T.; Suzuki, Y. Development of a large-sized direct injection hydrogen engine for a stationary power generator. Int. J. Hydrogen Energy 2019, 44, 11355–11369. [Google Scholar] [CrossRef]
- Pachauri, R.K.; Allen, M.R.; Barros, V.R.; Broome, J.; Cramer, W.; Christ, R.; Church, J.A.; Clarke, L.; Dahe, Q.; Dasgupta, P.; et al. Climate Change 2014: Synthesis Report. Contribution of Working Groups I, II and III to the Fifth Assessment Report of the Intergovernmental Panel on Climate Change; IPCC: Geneva, Switzerland, 2014; Available online: https://www.ipcc.ch/site/assets/uploads/2018/02/SYR_AR5_FINAL_full.pdf (accessed on 15 August 2025).











| Pollutant | LNG | MDO | H2 (Green) | H2 (Blue) | H2 (Grey) | NH3 (Green) | NH3 (Blue) | NH3 (Grey) | Methanol (NG) | Methanol (W) |
|---|---|---|---|---|---|---|---|---|---|---|
| CO2 | 9.80 × 10−1 | 6.40 × 10−1 | 0 | 4.19 × 100 | 1.25 × 101 | 0 | 7.37 × 10−1 | 2.19 × 100 | 3.96 × 10−1 | 3.37 × 10−1 |
| CH4 | 9.88 × 10−3 | 3.17 × 10−2 | 0 | 3.29 × 10−2 | 3.29 × 10−2 | 0 | 5.80 × 10−3 | 5.80 × 10−3 | 2.18 × 10−4 | 8.32 × 10−4 |
| N2O | 4.76 × 10−6 | 1.76 × 10−4 | 0 | 1.57 × 10−5 | 1.75 × 10−5 | 0 | 2.79 × 10−6 | 2.79 × 10−6 | 5.74 × 10−6 | 4.36 × 10−6 |
| NOx | 2.81 × 10−3 | 2.42 × 10−3 | 0 | 9.64 × 10−3 | 9.90 × 10−3 | 0 | 1.70 × 10−3 | 1.74 × 10−3 | 9.31 × 10−4 | 1.19 × 10−3 |
| SOx | 6.76 × 10−4 | 3.48 × 10−4 | 0 | 2.27 × 10−3 | 2.29 × 10−3 | 0 | 4.00 × 10−4 | 4.03 × 10−4 | 4.16 × 10−5 | 9.50 × 10−4 |
| PM | 1.41 × 10−4 | 1.50 × 10−3 | 0 | 6.96 × 10−4 | 9.24 × 10−4 | 0 | 1.23 × 10−4 | 1.63 × 10−4 | 1.13 × 10−5 | 2.18 × 10−4 |
| Pollutant | MDO | LNG | Liquid NH3 | Liquid H2 | Methanol |
|---|---|---|---|---|---|
| CO2 | 3.206 | 2.75 | 0 | 0 | 1.375 |
| CH4 | 5.0 × 10−5 | 8.27 × 10−3 | 0 | 0 | 0 |
| N2O | 1.8 × 10−4 | 1.0 × 10−4 | 3.3 × 10−4 | 0 | 0 |
| NOx | 5.488 × 10−2 | 8.28 × 10−3 | 2.033 × 10−2 | 2.333 × 10−2 | 6.624 × 10−3 |
| SOx | 2.15 × 10−3 | 3.0 × 10−5 | 0 | 0 | 2.64 × 10−3 |
| PM | 9.5 × 10−4 | 1.1 × 10−4 | 0 | 0 | 0 |
| Pollutant | GWP20 | GWP100 | GWP500 |
|---|---|---|---|
| Unit | kg CO2—eq./kg | kg CO2—eq./kg | kg CO2—eq./kg |
| CO2 | 1 | 1 | 1 |
| CH4 | 72 | 25 | 7.6 |
| N2O | 289 | 298 | 153 |
| NOx | 0 | 0 | 0 |
| SOx | 0 | 0 | 0 |
| PM | 0 | 0 | 0 |
| Specification | Value |
|---|---|
| Length overall | 190.8 m |
| Beam | 26.44 m |
| Draft, full load | 7.8 m |
| Deadweight | 15,960 t |
| Displacement | 24,050 t |
| Design speed | 15.10 kn |
| Total lane meters | 2774 m |
| Leg # | Start | End | Voyage Time (h) | Average Speed (knots) | Harbour Time (h) |
|---|---|---|---|---|---|
| 1 | Oulu | Kemi | 9 | 6.6 | 8 |
| 2 | Kemi | Husum | 17 | 13.0 | 6 |
| 3 | Husum | Lübeck | 52 | 13.9 | 6 |
| 4 | Lübeck | Oulu | 63 | 14.1 | 8 |
| Scenario Number | Scenario Name | Main Fuel | Pilot Fuel | Engine |
|---|---|---|---|---|
| 1 | MDO | MDO | - | Single fuel |
| 2 | LNG | LNG | - | Single fuel |
| 3 | LH2 MDO | Liquid H2 | MDO | Dual fuel |
| 4 | MET MDO | Methanol | MDO | Dual fuel |
| 5 | LNH3 MDO | Liquid NH3 | MDO | Dual fuel |
| 6 | LNG MDO | LNG | MDO | Dual fuel |
Disclaimer/Publisher’s Note: The statements, opinions and data contained in all publications are solely those of the individual author(s) and contributor(s) and not of MDPI and/or the editor(s). MDPI and/or the editor(s) disclaim responsibility for any injury to people or property resulting from any ideas, methods, instructions or products referred to in the content. |
© 2025 by the authors. Licensee MDPI, Basel, Switzerland. This article is an open access article distributed under the terms and conditions of the Creative Commons Attribution (CC BY) license (https://creativecommons.org/licenses/by/4.0/).
Share and Cite
Hossein Arabnejad, M.; Thies, F.; Yao, H.-D.; Ringsberg, J.W. Life Cycle Assessment Method for Ship Fuels Using a Ship Performance Prediction Model and Actual Operation Conditions—Case Study of Wind-Assisted Cargo Ship. Energies 2025, 18, 4559. https://doi.org/10.3390/en18174559
Hossein Arabnejad M, Thies F, Yao H-D, Ringsberg JW. Life Cycle Assessment Method for Ship Fuels Using a Ship Performance Prediction Model and Actual Operation Conditions—Case Study of Wind-Assisted Cargo Ship. Energies. 2025; 18(17):4559. https://doi.org/10.3390/en18174559
Chicago/Turabian StyleHossein Arabnejad, Mohammad, Fabian Thies, Hua-Dong Yao, and Jonas W. Ringsberg. 2025. "Life Cycle Assessment Method for Ship Fuels Using a Ship Performance Prediction Model and Actual Operation Conditions—Case Study of Wind-Assisted Cargo Ship" Energies 18, no. 17: 4559. https://doi.org/10.3390/en18174559
APA StyleHossein Arabnejad, M., Thies, F., Yao, H.-D., & Ringsberg, J. W. (2025). Life Cycle Assessment Method for Ship Fuels Using a Ship Performance Prediction Model and Actual Operation Conditions—Case Study of Wind-Assisted Cargo Ship. Energies, 18(17), 4559. https://doi.org/10.3390/en18174559

