Abstract
In this study, the performance of a wave energy converter (WEC) rotor under regular and irregular wave conditions was investigated using 3D nonlinear numerical models. Factors such as the power take-off (PTO) load torque, wave periods, spacing of multiple WEC rotors, and wave steepness were analyzed. Two models were employed: a weakly nonlinear model formulated by incorporating the nonlinear restoring moment and Coulomb-type PTO load torque based on the potential flow theory, and a fully nonlinear model based on computational fluid dynamics. The results show that the average power estimated by both numerical models is consistent, with a wave steepness of 0.03 for the range of one-way and two-way PTO load torques, except for the deviations observed in the long range of the one-way PTO load torque. Furthermore, the average power of the WEC rotor under the applied PTO load torque exhibits a quadratic dependency, regardless of the wave steepness. In addition, adopting a one-way PTO load torque was more efficient than adopting a two-way PTO load torque. Therefore, the fully nonlinear model demonstrated its ability to handle a high degree of nonlinearity, surpassing the limitations of the weakly nonlinear model, which was limited to moderate wave steepness.
1. Introduction
Ocean energy resources have attracted increasing attention in recent decades and are now prioritized worldwide because they can help reduce environmental impacts and global warming. Wave energy converters (WECs) are important in the renewable energy sector owing to their predictability and stability of wave energy [1]. Wave excitation can lead to nonlinear forces and large body motion in the design of WECs with maximum power absorption. The accurate estimation of wave loads and large motions is essential and requires nonlinear analysis. Among the existing WECs, the Salter’s duck (WEC rotor) exhibits the highest efficiency in extracting power from two-dimensional regular waves [2]. The majority of the initial studies were based on linear potential theory, and their estimations were performed according to the linear superposition of wave diffraction and radiation using Laplace’s equation [3,4,5,6,7,8,9,10,11,12]. These linear solutions can be frequency-dependent or time-domain models [11]. Reproducing the behavior of a WEC rotor using linear models may not be sufficient to address large WEC motions and accurate power production over the entire range of sea conditions. Various studies on WEC have shown that experimental testing followed by prototype testing in seas is inevitable; however, with the increase in computational capabilities over the years, nonlinear models can now be adopted [11,13].
Two main approaches can be used to address the nonlinear behavior of WEC: the use of weakly nonlinear models and the use of fully nonlinear models. Both models are typically assessed based on time-domain solutions [14]. In weakly nonlinear models, the hydrodynamic coefficients can be obtained from a linear frequency domain solution, whereas the force components, including radiation, wave excitation forces, external forces (such as the power take-off system), and mooring, can be represented as nonlinear quantities. Consequently, these models exhibit weakly nonlinear formulations, offering high computing speed and low computational cost, [15,16,17,18,19,20,21,22,23,24,25,26] implemented weakly nonlinear formulations from instantaneous hydrodynamic forces and moments (from buoyancy and Froude–Krylov quantities), which were estimated at each position on the wetted surface of the body during each simulation time step using a linear model. They concluded that for a WEC device with large-amplitude motion, weakly nonlinear formulations are necessary to capture the relevant physics. Van’t Hoff [27] simulated linear and weakly nonlinear models, including linear and nonlinear viscous and power take-off (PTO) damping torques, in the time-domain solution. High accuracy was obtained from the nonlinear interactions between the WEC device and the wave. According to Folley et al. [28], incorporating a nonlinear PTO damping torque, such as Coulomb damping, enables the specification of forces at discrete time steps rather than relying on regular sinusoidal signals typically used in frequency-domain models. This approach allows for a more accurate representation of the system dynamics. Latching is a successful way of increasing the energy extracted from WEC devices, and many researchers have addressed it using theoretical and experimental bases [29,30,31]. Latching is the process of mechanically engaging and disengaging the PTO system to extract wave energy while the WEC device interacts with the wave. A considerable number of the advanced latching control techniques utilized in WECs is dedicated to achieving suboptimal conditions. This involves manipulation of the WEC phase, which refers to the alignment of the motion of the converter with the incoming waves. Some researchers have implemented this by employing predictive methods [31,32,33], whereas others have utilized wave period estimations [34,35]. The application of latching to irregular wave conditions has not yet been satisfactorily addressed, but the use of a hydraulic PTO system can provide a natural means of achieving latching [36,37,38]. In the hydraulic PTO system, the motion of the WEC device is converted into a fluid flow at high pressure by the hydraulic piston. This conversion can be made flexible (either unidirectional or bidirectional) by controlling the piston motion. This type of PTO loading has several advantages and can be naturally implemented theoretically and practically. Hydraulic PTO systems can be implemented using Coulomb damping [39,40,41,42,43]. António [36] developed a weakly nonlinear formulation by incorporating a damping mechanism based on Coulomb damping. The results showed that energy extraction could be increased under regular and irregular wave conditions by incorporating Coulomb damping. Furthermore, it is easier to implement Coulomb damping than existing latching mechanisms. Energy extraction can be remarkably increased in regular and irregular waves, and it is easier to implement the PTO system compared with the existing latching mechanisms. Orszaghova et al. [43] studied the application of linear and Coulomb-type damping forces on a vertically oscillating WEC device to understand its low-frequency drifting behavior under extreme conditions using a weakly nonlinear semi-analytical solution. The findings suggest that low-frequency offsets are more common when the stiffness coefficients are low, affecting both the extreme and mean behaviors. Additionally, the largest excursions typically occur when the Coulomb damping is minimal and the spring stiffness is weak, although excessively high Coulomb damping can also reduce the responses. The experimental data partially support the trends observed in the simulations.
The aforementioned studies indicate that weakly nonlinear formulations can handle moderate wave steepness interactions with WEC devices. However, some important physical phenomena, such as wave fragmentation (breaking), large WEC responses, slamming effects, turbulent effects, and nonlinear WEC–WEC interactions, cannot be handled by weakly nonlinear formulations [44,45]. Fully nonlinear formulations based on computational fluid dynamics (CFD) may provide improved predictions owing to their ability to handle most near-field effects and nonlinear wave–WEC interactions [43,46,47,48,49,50,51,52,53]. Ko et al. [54] conducted a numerical investigation to determine the optimal PTO torque of an asymmetric WEC for regular and irregular waves. The study was conducted in OpenFOAM by applying the PTO torque to the WEC in both unidirectional and bidirectional manners. They reported that unidirectional PTO torque was more efficient than bidirectional PTO torque. Ha et al. [55] conducted a numerical investigation based on STAR-CCM+ to understand the nonlinear dynamic behavior of a WEC rotor. They concluded that at a wave height of 0.11 m, the CFD results agree well with the experimental results; the frequency-domain solution and the difference between the two were amplified as the wave height increased. Wave run-up and slamming are nonlinear aspects that lead to an increase in the difference.
Three-dimensional (3D) nonlinear numerical models are necessary, and these models must account for physical flow phenomena that are close to real fluid interactions. In the context of pitch-type WECs, the extant literature cannot provide a coherent understanding of the effect of absorbed power owing to 3D nonlinear effects, which is the primary objective of the present study. Furthermore, this study highlights two types of nonlinear analyses: weakly nonlinear (a potential-based model using Orcaflex (software package)) and fully nonlinear (a RANS-based model using CFD). The weakly nonlinear approach incorporates the nonlinear restoring moment and Coulomb-type PTO load torque, whereas the fully nonlinear model is based on 3D implicit, unsteady, and incompressible Reynolds-averaged Navier–Stokes (RANS) equations solved using CFD. In this study, a fully nonlinear model was used to comprehensively address the hydrodynamic interactions, nonlinear effects, and performance characteristics by considering the high degree of nonlinearity under 3D wave conditions, effectively demonstrating the limitations of weakly nonlinear formulations.
The remainder of this paper is organized as follows. Section 2 describes the CFD and numerical wave tank (NWT) setups. Section 3 presents the implementation of the PTO load torque and nonlinear restoring moment. The numerical models are validated by comparing their results with the experimental results in Section 4. Section 5 presents the results and discussion, and the conclusions are presented in Section 6.
2. Numerical Modeling
2.1. Computational Fluid Dynamics
This study focuses on the hydrodynamics of a fully nonlinear model related to the interaction between waves and a WEC. It employs the finite-volume-based commercial code STAR-CCM+. The approach involves solving the Navier–Stokes equations to accurately model the fluid dynamics. This is executed through unsteady incompressible Navier–Stokes equations, where the mass and momentum conservation are expressed as
where u denotes the velocity vector. In Equation (2), the total term on the left side represents acceleration, the first and second terms on the right side correspond to the surface forces (pressure and viscosity, respectively), and the third term is the body force influenced purely by gravity. To account for the turbulence, the viscosity tensor shown in Equation (2) must include the turbulent viscosity, which necessitates the solution of additional transport equations using the RANS method. The continuity and momentum equations in the expanded Cartesian coordinate system in (x, y, z) are expressed as
In the equations above, the third term on the right-hand side refers to the turbulent/Reynolds stresses, which can be modeled based on one- or two-equation turbulence models. A two-equation model (low-Re, standard k-ω turbulent model), reported by Peric [56], was used in this study.
2.2. Numerical Wave Tank
Simulating the interaction between the wave and WEC rotor requires accuracy and long duration in the NWT. The NWT was solved in right-handed Cartesian coordinates O(x, y, z), with x pointing to the direction of the incoming waves; y-axis is along the width of the WEC rotor and z-axis points vertically upward from the still water level (Figure 1). The origin was located at the center of rotation of the WEC rotor. The properties of the WEC rotor model and the prototype-scale details are listed in Table 1. A schematic of the key features of a WEC rotor in a wave tank is shown in Figure 1. A major problem in CFD-based NWTs is the effective generation and absorption of waves from both sides of the tank. Different methodologies are available for implementation; however, in this study, the wave forcing method was employed because it exhibits good overall performance under various wave conditions [48,56,57]. Gradual forcing was applied over a specified distance between the Navier and Stokes equations and the theoretical solution. A source term was added to the momentum equation, as shown in Equation (7).
where is the forcing coefficient, is the value toward which the solution is forced, and is the actual momentum equation solution. A large value of the forcing coefficient was used at the inlet boundary, which gradually varied with cos2 and became negligible at the end of the forcing distance. A 3D NWT with (3λ m × 0.4 m × 0.6 m) and a symmetric axis in y-direction was used, as shown in Figure 2a. A velocity inlet was specified for the upstream face of the tank. Pressure outlets were located downstream and at the top of the tank. All the other boundaries applied a no-slip wall boundary condition. The volumetric mesh generated by the trimmed cell mesher that mostly contains hexahedral elements is shown in Figure 2a. An overset mesh is used to accommodate the large motions of the WEC rotor. Two independent meshes are required and superimposed on each other, and the data can be transferred between the two grids in the interfacial region, as shown in Figure 2b. To ensure minimal or no loss during this information exchange, the element size of the background mesh must be similar to that of the overset mesh. Therefore, in the background mesh, a zone called the overlapping zone is created over a region with an element size matching that of the overset mesh (Figure 2b).
Figure 1.
Schematic of the WEC rotor in a wave tank.
Table 1.
Physical properties of the model and prototype scale.
Figure 2.
Three-dimensional NWT details. (a) NWT with boundary conditions, (b) Overset mesh details.
Each cell was controlled according to its base cell size (h = 0.5 m). With reference to the base cell size, the generated volume mesh was divided into very fine, fine, and coarse regions. The overset and free surface regions were considered very fine, and the mesh was gradually scaled to fine and coarse, as shown in Figure 2. A prism-layer mesh was adopted to capture the boundary-layer flow fields, and the thickness of the prism layer was divided into four layers, yielding y+ < 3. Second-order upwind and unsteady implicit schemes were used to compute the spatial components in the acceleration term in Equation (2). A segregated flow solver was used to solve the pressure and each component of the velocity in an uncoupled manner. The link between the continuity and momentum equations was established and solved using the semi-implicit method for pressure-linked equations (SIMPLE) with weak coupling via sublooping. Segregated solvers suffer significantly because of errors associated with the initial solutions obtained during the iterations. To overcome these issues, the under-relaxation factors for the velocity and pressure must be controlled. An automatic convective time-step control method was utilized to maintain a stable solution with appropriate time steps throughout the simulations. Target mean and maximum Courant numbers of 0.3 and 0.5, respectively, were employed. In the multiphase flow, the volume-of-fluid (VOF) method was used to capture the free-surface interface. Instead of particle motion, the volume of each fluid was tracked using the VOF method and all fluids were assumed to have the same velocity, pressure, and field. Volume fraction was introduced into the VOF method. As a result, the governing equations for a fluid mixture for a single fluid can be developed. The volume fraction of each cell is assumed to contain only one phase (if α = 1, then the cell is full of water; if α = 0, then the cell is full of air), or the cell contains an interface between fluids, which is given as 0 < α < 1. The physical properties of a fluid mixture (ϕ, which can be density (ρ) and viscosity (μ)) are given by
A common approach was used throughout this study, with α = 0.5 defining the location of the free-surface interface. A relatively fine mesh was generated near the free-surface interface region and a high-resolution interface-capturing scheme was used to accurately trace the interface (Figure 2).
3. Implementation of PTO Load Torque and Nonlinear Restoring Moment
The equation of motion with a single degree of freedom, where the WEC rotor rotates about a fixed position, is given by
where the overhead dot denotes the time derivative and and are the position and acceleration of the WEC rotor, respectively. rm is the distance vector from the center of gravity of each face of the WEC rotor. The first two terms on the right side of Equation (9) are determined by integrating the fluid pressure over the surface area of the WEC rotor. p is the dynamic pressure acting on the wetted surface, is the submerged volume of the WEC rotor, g is the acceleration due to gravity, and the last term is the external moment considered to be applied with PTO damping (τpto) added externally to the system of the equation of motion. The equation of motion of the WEC rotor with a fully nonlinear behavior can be estimated by solving the first term on the right-hand side of Equation (9), using the RANS equation given in Equations (3)–(6). This type of estimation provides an accurate method for resolving WEC–wave interactions. A linear model can be generated by linearizing the first term of the equation, which can then be solved in the time domain to simplify simulations. The linear formulations are as follows (Cummins, [58]):
where I∞ is the added mass moment of the WEC inertial matrix, B is the retardation matrix, K is the hydrostatic stiffness matrix, t1 is the time-lag variable, and is the WEC rotor velocity. These linear time-domain formulations are made weakly nonlinear by introducing the nonlinear restoring moment R(ξ) and the Coulomb-type PTO load applied externally (τpto). The linear viscosity (τvis) was obtained using an experimental free-decay test by Kim et al. [24]. The PTO implementation was conducted using Coulomb damping by providing a torque in the direction opposite to the motion of the WEC rotor (Figure 3). This damping mechanism replicated a hydraulic system. Standard Coulomb damping can be applied in two ways. The first is to apply a constant load torque in the direction opposite to that of the WEC rotor until the hydrodynamic force on the WEC rotor exceeds the resistive moment (two-way PTO loading). The second is to apply the load in only one direction and allow the WEC rotor to move freely without any applied load; this execution is called one-way loading, as shown in Figure 3a. A standard type can be implemented in a straight manner in a fully nonlinear model, but it exhibits discontinuous behavior in a weakly nonlinear model with a shift in direction. To overcome this problem, modified Coulomb damping can be considered for a weakly nonlinear model, as shown in Figure 3b. Within the closed range of the discontinuous region, a linear variation of the ramp function from to can be applied. This is implemented in the present study using Python code, which is provided as a user-defined function externally.
Figure 3.
Implementation of (a) standard PTO load torque and (b) modified PTO load torque. (c) Demonstration of PTO load application [left] and the essential components [e.g., pitch response, moment, and angular velocity] of the WEC rotor with one-way and two-load PTO load torque [right].
The one- and two-way PTO loading systems are selected mainly due to the nonlinear behavior of the WEC rotor. Figure 3c provides further insight into the two types of PTO implementation. It shows the pitch response and rotational moment of the WEC rotor, and demonstrates that the response of positive pitch motion is higher than the negative response owing to the unique asymmetric geometric configuration of the WEC. In the one-way PTO loading, during the upward direction of motion of the WEC rotor, which is the time when the WEC has a positive angular velocity, torque is applied in the opposite direction, and the WEC rotor is allowed to move freely in the other direction. (Figure 3c). To examine the efficacy of the implemented PTO loading systems (one- and two-way), a thorough discussion is provided in Section 5.
It is known that with the linear restoration moment, the area of the secondary water plane does not change with the rotation angle of the WEC rotor. To implement the nonlinear restoring moment, the instantaneous moment resulting from the buoyancy and weight of the WEC rotor at each degree of rotation was obtained, as shown in Figure 4 (top). The resulting net moment was estimated and plotted. Clockwise rotation is denoted with a (+) sign, whereas counterclockwise rotation is denoted with a (−) sign, as shown in Figure 4. The estimated linear and nonlinear hydrostatic restoration moments are shown in Figure 4 (bottom). The slope of the nonlinear restoring moment changed rapidly, whereas the slope of the linear moment remained constant within the range of the rotation angle of the WEC rotor. The effectiveness of the nonlinear hydrostatic moment in the weakly nonlinear formulations was validated through experimental and numerical comparisons.
Figure 4.
Forces and restoring moments acting on the WEC rotor at instantaneous positions (Red Arrow—Weight of the WEC rotor; Green Arrow—Buoyancy of the WEC rotor)—Top and Computation of Linear and Nonlinear Restoring Moments at Various Angles of the WEC Rotor—Bottom.
4. Verification of Numerical Models
4.1. Convergence Test
NWT was employed to simulate the wave–WEC rotor interaction, with the tank extending from 1.5 × λ in the positive and negative x-direction. In addition, y ranged from zero to twice the half width of the WEC rotor, and z was maintained equal to the water depth (d) (2 m for the model scale and 40 m for the prototype). In the simulations, only half of the section in the y-direction was considered because of the symmetry of the x–z plane. Figure 3 depicts the boundary conditions required for the NWT. The uncertainty of the numerical computation was examined in terms of the mesh size (spatial), time step (temporal) and domain size by calculating the absorbed average power (Pabs) to verify the convergence of the numerical CFD results. Pabs is the angular velocity multiplied by the PTO load torque. The mean of the steady-state cycles was used to quantify average Pabs. Testing was performed by generating a regular wave interaction with a WEC rotor at model scale (T = 1.43 s; H = 0.136 m corresponding to a wave steepness of 0.04; one-way PTO load torque = 5.56 Nm) and prototype scale (T = 4.75 s; H = 2.0 m corresponding to a wave steepness of 0.06; one-way PTO load torque = 70 kNm). The computations for both the weakly and fully nonlinear models were carried out using Intel® Xenon® Gold processors. The weakly nonlinear model had a 16-core processor, whereas the fully nonlinear model had a 44-core processor, with 1- and 10-core processors dedicated to the simulations, respectively. For a simulation time of 1 s, the CPU clock time was approximately 5 s for the weakly nonlinear model, and 0.8 h for the fully nonlinear model.
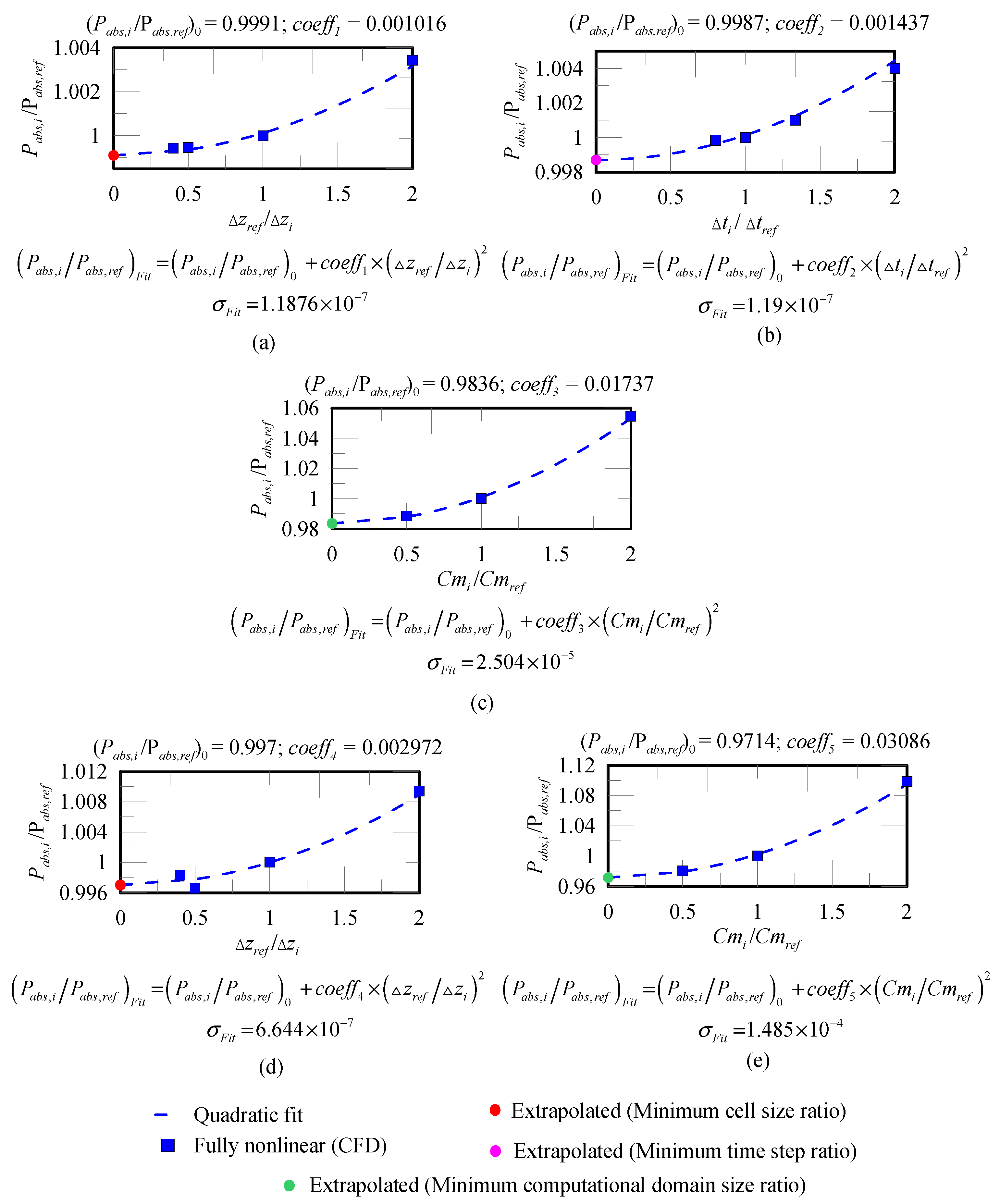
The instantaneous Pabs computed with the fully nonlinear solution was numerically verified based on the mesh size, time step, and domain size. The numerical uncertainty of Pabs (εnum) is the sum of the variations due to the mesh size (εm), time step (εt), and domain size (εCm). The mesh size uncertainty was evaluated using Δzi (i = 1, …, 4), with the number of cells within the wave height considered as 4, 8, 16, and 20. The Δx/Δy and Δx/Δz values were maintained at 4. When computing the uncertainty of the mesh size ratio, the reference mesh size was considered as Δzref = H/8. Additionally, other parameters such as the reference time step of = T/2000, reference domain size of Cmref (length, L = (0.5λ, 2λ), where the first value represents wave forcing on both sides of the computational domain, and the second value corresponds to the actual computational zone; breadth, B = 2W; height, Ht = dm) are taken into account. A fine mesh was maintained within the overset region accommodating the WEC rotor. Moreover, a gradual increase in mesh size was implemented, commencing from a fine mesh that was 10% denser and progressing to a coarse mesh that was 15% denser than the fine mesh. This resulted in a typical total mesh size of 1.3 million cells in the background mesh and 137,430 cells in the overset mesh regions, corresponding to half of the computational domain with a single WEC rotor. Time size uncertainty was investigated with different time steps (, i = 1,…,4) of T/1000, T/1500, T/2000, and T/2500 with the reference mesh size ( = H/8) and reference domain size (L = (0.5λ, 2λ); B = 2W; Ht = dm). Finally, the uncertainty in the computational domain size was examined by considering three different sizes. The first size was based on Cm1 (L = (0.25λ, 1λ); B = 2W; Ht = dm), the second size was based on Cm2 (L = (0.5λ, 2λ); B = 2W; Ht = dm), and the third size was based on Cm3 ((1.0λ, 4λ); B = 4W; Ht = dm). Other reference parameters were the same as those described previously. In the simulations, the maximum Courant number was less than 0.5. The results are presented in a normalized form as for the mesh size, and for the domain size, length parameter is considered and presented in Cmi/ Cmref and for the time step. A quadratic curve was fitted, as given by the equations, and the total standard deviation of the fitted curve was obtained because σfit is used to extrapolate Pabs for an infinitely fine grid/small time step/small domain size , as shown in Figure 5. The uncertainty of the mesh size, time step, and domain size can be represented by the equation (), as suggested by Cummins et al. [59]. The uncertainty values obtained for the model scale were 0.09% (mesh size), 0.13% (time step) and 1.64% (domain size). At the prototype scale, the uncertainty values were 0.30% (mesh size) and 3.1% (domain size). Hence, the total uncertainty εnum is 0.22% and 3.53% for the model and prototype scales, respectively. The convergence study revealed that an increase in the wave steepness resulted in an increase in the percentage of uncertainty. However, the overall uncertainty remained below 3.5%. A comparative study with the experimental data was performed and is presented in the following section to validate the numerical results.
Figure 5.
Numerical convergence uncertainty obtained by the fully nonlinear solution for model scale ((a)—mesh size, (b)—time step, and (c)—domain size) and for prototype scale ((d)—mesh size and (e)—domain size).
4.2. Numerical Validation
The validation experiments were conducted in a wave basin (28 m × 22 m × 2.5 m) at the Research Institute of Medium and Small Shipbuilding in South Korea. A piston-type wavemaker was operated at one end of the tank to generate monochromatic directional waves. A porous plate was placed at the other end of the tank to absorb the reflected waves. A PTO load torque was applied using a hysteresis braking system to evaluate the power of the WEC rotor. Initially, tests were conducted to determine the controllability, performance, and repeatability before integrating with the WEC rotor. This process was accomplished by placing weights and measuring the torque, which was then compared with the performance curve provided by the manufacturer. This procedure was repeated several times. Once the calibration was verified, the braking mechanism and WEC rotor were used for testing.
Simulations based on the weakly and fully nonlinear model results were compared with the experimental results by resolving the absorbed power in terms of the pitch response and angular velocity. The wave conditions were maintained at T = 1.58 s and a wave height H = 0.136 m. Figure 6a,b show the time histories of the angular velocity and pitch response in the absence of the PTO load torque. The repeatability of the profiles and magnitudes of the time series for up to 20 s were examined for comparison. The integration of the viscous damping into the weakly nonlinear model was approximated using an experimental free-decay test performed by Kim et al. [24]. A damping ratio of 0.0849 and a corresponding viscous damping value of 0.4193 kg.m2/s were added externally. The initial transit was ignored because the initial ramp times for the weakly and fully nonlinear models differed, and were not present in the experimental results. Relatively minimal differences were observed between the positive and negative peaks, indicating that the overall comparison of the weakly and fully nonlinear solutions and the experimental results was good. A percent variation of 1.54 and 5.6 has been observed in the fully and weekly nonlinear models, respectively, when compared to the experimental results. Figure 6 also indicates that the WEC response trend is nonlinear relative to the incoming wave, and that the weakly nonlinear model is capable of effective prediction. The experimental and fully nonlinear model results were in agreement. The investigation was extended to a wide range of wave periods from 0.8 to 2 s with a wave height of 0.03, and the results were compared (Figure 7). Thus, wave conditions encompassing a range of low to moderately steep waves were analyzed (see Table 2). Except for the region close to the resonance peak pitch RAO, the overall comparison between the experimental and numerical results was satisfactory. Moreover, when wave periods exceeding 1.5 s were taken into account, the CFD results showed a partial deviation from the experimental data, unlike the weakly nonlinear model. These differences can be attributed, at least partially, to reflections from sidewalls that occur during long-wave periods.
Figure 6.
Time history of the (a) angular velocity and (b) pitch response of the WEC rotor without PTO load torque for wave parameters of H = 0.13 m and T = 1.58 s (Red dotted line—Experiment, Solid line—Fully nonlinear (CFD), Blue dotted line—Weakly nonlinear (Potential)).
Figure 7.
Comparison and variation of pitch RAO as a function of wave period torque for H = 0.03 m.
Table 2.
Wave steepness details for the results shown in Figure 7.
The validation test was extended to examine the implementation of the PTO loading system with the experimental generation; the incoming wave parameters were the same as those in Figure 6. Typical time series are shown and compared in Figure 8. An assessment was conducted by confirming the profiles and trends based on the expected time-series behavior. When the applied load was zero during the negative angular velocity phase, the weakly and fully nonlinear numerical models implemented an appropriate zero load. However, the experiment revealed that slightly higher values were maintained throughout the negative-phase cycles. When the sign of the load torque changes, the slope of the experimental load torque changes linearly and reaches the input load torque, as indicated by the numerical simulation results. Some kinks occurred when measured during the direction change, and these kinks were not found in the weakly and fully nonlinear numerical models; subsequently, they disappeared (Figure 8, left). Figure 8 (right) depicts the two-way PTO load torque; the profile and trend are similar to those of the one-way PTO load torque but with a smooth transition during the direction shift. Overall, the PTO load torque trend matched well with the weakly nonlinear, fully nonlinear, and experimental results.
Figure 8.
Comparison of instantaneous (a) one-way (5.3 Nm) and (b) two-way (2 Nm) PTO load torques (Black line—Experiment, Red line—Fully nonlinear (CFD), Blue line—Weakly nonlinear (Potential)).
After proper verification and validation of the numerical models, the remainder of this paper discusses the prototype WEC rotor (Table 1). Most numerical settings were similar to those of the model scale, with the appropriate parameters scaled up to suit the prototype.
5. Results and Discussion
5.1. Effect of PTO Load Torque
The WEC rotor average Pabs for each PTO load torque was examined to determine the optimal average Pabs. The numerical testing included one-way and two-way systems for wide ranges of 10–140 kNm and 5–50 kNm, respectively, which are shown in Figure 9 as the absorbed power and efficiency (Pabs/Pw), respectively. The energy flux or wave power (Pw) of a regular wave is expressed as follows:
where ω is the wave frequency and b is the width of the crest, which is equal to the width of the WEC rotor. The wave steepness (H/λ) was maintained constant at 0.03 throughout the simulations, and the water depth was fixed at 40 m. The average Pabs increased and reached its maximum value with an increase in the PTO load, and the average Pabs decreased with an further increase in the load torque, which is true for both types of loading systems. Under fixed wave conditions, the range of the applied load torque was greater for the one-way system than for the two-way system. As shown by the Pabs behavior, although the power in the one-way system was susceptible to the torque applied, it was relatively strong in the two-way system. A second-order polynomial was fitted to a pair of points to observe the trend in Pabs with the applied load torque ( and average ). The goodness of fit was determined by measuring the R2 value given by , and the R2 values are shown in Figure 9 (where Pabs,res is the sum of the squares of the distances of Pabs from the fitted curve and is the sum of the squares of the distances from the mean of ). Figure 9 also depicts the resulting quadratic fit equations and demonstrates that the average Pabs for the one-way and two-way systems are of the second order (quadratic) in terms of their behavior with the PTO load torque. The curve fitting for efficiency is omitted because efficiency is directly derived from the Pabs, where the curve fit remains same for both.

Figure 9.
Variation of average Pabs and efficiency with applied PTO load torque. (a) One-way, (b) two-way.
Based on the theory discussed by Falnes and Kurniawan [13], the quadratic behavior can be justified. For small motion amplitudes of the WEC rotor, the excitation power (Pext) varies linearly with the angular velocity, and the WEC rotor radiates waves, where the associated power is the radiated power (Prad), which varies quadratically with the angular velocity (Figure 10). The difference between the two powers (Pext and Prad) is that Pabs can be represented by a quadratic parabola, as shown in Figure 10. Pabs can be calculated by taking the product of the angular velocity and applied PTO load torque. The applied PTO load torque must also be quadratic because the angular velocity has been demonstrated to be quadratic. The overall agreement between the weakly and fully nonlinear models was good, except that the weakly nonlinear formulations deviated when the τpto loading was more than 50 kNm. These distinctions are discussed in detail in Section 5.4. In the one- and two-way PTO load torque systems, the maximum average Pabs was determined to be 70 and 30 kNm, respectively, using the two numerical models. For the fully and weakly nonlinear models, the equivalent maximum efficiencies were 82% and 77%, respectively, with the one-way system, and these values were 48% and 44%, respectively, when the two-way system was used.
Figure 10.
Quadratic variation of absorbed Pabs with angular velocity (ω), where the subscript 5 represents the pitch mode (Falnes and Kurniawan [13]).
5.2. Effect of the Wave Period
The influence of the wave period on pitch RAO and average Pabs was investigated by solving the two nonlinear numerical models (weakly and fully) at τpto = 20 kNm for various wave periods ranging from 4.25 to 6.25 s and by using one- and two-way loading systems. The wave height was kept constant at 1.0 m. Within the range of the wave periods investigated, the pitch RAO increased with the wave period until it reached the maximum value and then decreased for the two types of loading systems (Figure 11, left). A comparison of the weakly and fully nonlinear models revealed a difference in the resonance region for one- and two-way loadings, with a higher magnitude with the weakly nonlinear model. Figure 11 (right) shows the matching average Pabs. The two models exhibited good agreement with each other for all wave periods in both types of loading systems. When a fixed τpto value was used, the average Pabs was higher in the two-way loading system than in the one-way loading system.
Figure 11.
Variation of pitch RAO and average Pabs with wave period for a fixed PTO load torque of 20 kNm. (a) One-way τpto = 20 kNm, (b) Two-way τpto = 20 kNm.
5.3. Effect of the Number of WEC Rotors
The developed weakly nonlinear formulas were extended to multibody WEC rotors in regular waves, along with a fully nonlinear analysis. The multiple-WEC-rotor response was captured by implementing the multiple overset grid technique. The analysis was performed with three WEC rotors, and the influence of rotor spacing was included (Figure 12). The wave conditions were set as follows: H/λ = 0.03, T = 4.75 s, and τpto = 50 kNm using a one-way PTO load torque mechanism. Table 3 shows the pitch RAO, average Pabs, and efficiency of multiple WEC rotors with different spacings (0.8 × W, 1.0 × W, and 1.2 × W) along with that of a single WEC rotor for comparison. The effect of the number of rotors with spacing was evaluated using the percentage ratio (PR) of multiple individual rotors to a single WEC rotor, as listed in Table 3. In accordance with the fully nonlinear simulations for varying spaces, the pitch RAO and average Pabs of the PR decreased by 3%, and the weakly nonlinear model for the side rotors retained a similar trend (Rotors 1 and 3) with the increase in spacing. In the case of the center rotor, the pitch RAO and absorbed Pabs of the PR increased by 3% with a fully nonlinear model; however, the trend reversed when a weakly nonlinear model was used. Overall, the pitch RAO and average Pabs of the center rotor PR and those of the side rotors were always ≤5, regardless of the numerical model used. In Figure 13, a clear velocity flow pattern is observed around the center rotor, which differs from the side rotors owing to the cross-flow across the cylindrical hole. This flow pattern is characterized by high velocities and low wave elevations at the hole, resulting in a slamming phenomenon that is more prominent at the center rotor than at the side rotors. Hence, the center rotor has a lower pitch RAO and lower average Pabs values than the side rotors.
Figure 12.
Generated mesh around the multiple WEC rotors.
Table 3.
Computed average pitch RAO, Pabs, and efficiency for the multiple WEC rotors.
Figure 13.
Wave interaction with the multiple WEC rotors for a spacing of 0.8 × W showing the free surface elevation and velocity magnitude during the trough and crest of the wave period.
5.4. Effect of Wave Steepness
For a WEC device, the response motion and absorbed power are hindered by the incident wave height. The wave height effect was analyzed to evaluate the accuracy of the present weakly nonlinear formulations with wave steepness compared with fully nonlinear solutions. Wave steepness values of H/λ = 0.04 and 0.06 with a wide range of the one-way PTO load torque system were evaluated, with all other parameters similar to the values in Figure 9. When the maximum average Pabs and efficiency were achieved using the two nonlinear models, an exponential increase and decrease was observed, respectively, with an increase in the wave steepness from 0.03 to 0.06 (Figure 9 and Figure 14). The maximum average Pabs was determined to be 46 kW, and the associated efficiency was 49% for the fully nonlinear model and 1% lower for the weakly nonlinear model. As shown in Figure 14, the trends and behaviors are similar to those for H/λ = 0.03 (Figure 9). The nature of the quadratic behavior with τpto was preserved, but the statistical measure of the data with the fitted regression R2 value variance increased with increasing wave steepness (Figure 14). Better R2 variance can be achieved by fitting higher-order interpolation curves for cases with higher wave steepness. One apparent variation from H/λ = 0.03 was that the susceptibility of Pabs decreased with the PTO load as the wave steepness increased. At H/λ = 0.03, deviations were observed between the weakly and fully nonlinear solutions in the long-range PTO load torque and increase with the increase in wave steepness. Possible reasons were explored to understand the disparities between the numerical solutions. One reason for this could be the use of a modified PTO load mechanism in weakly nonlinear formulations. For several seconds, the large PTO load torque tended to be in the zone, resulting in the application of a linear PTO load torque, as shown in Figure 3b and Figure 15 (top). The PTO load torque system was applied well in the fully nonlinear solution (Figure 15, bottom). Another possible reason could be the increasing prevalence of the nonlinear behavior. To obtain a thorough understanding of the physical flow evolution, the wave elevation around the WEC rotor is shown in Figure 16 for different wave steepness values at a fixed τpto value. For H/λ = 0.06, the wave elevation exhibits a significant increase in the nonlinear flow interaction in the vicinity of the WEC rotor, particularly during the extreme downward and backward positions, compared with H/λ = 0.03 (Figure 16). Near-field phenomena, such as flow separation, capsizing, slamming, and turbulent waves, are clearly observed for H/λ = 0.06. Such a violent flow around the WEC rotor is associated with drag losses, where the pressure and frictional drag are anticipated to dominate in H/λ = 0.06 and to a lesser extent in H/λ = 0.03. Hence, the present weakly nonlinear formulations could not have captured all the complex flow field interactions around the WEC rotor, and the implemented modified PTO load torque system may have resulted in the deviation observed with increasing wave steepness in the long-range PTO load torque application (Figure 14).
Figure 14.
Variation of average Pabs and efficiency with applied one-way PTO load torque for different wave steepness values. (a) Wave steepness H/λ = 0.04, (b) Wave steepness H/λ = 0.06.
Figure 15.
Time history of the instantaneous variation of PTO load torque with different numerical models.
Figure 16.
Free surface augmentation due to nonlinear flow interaction in the vicinity of the WEC rotor during the extreme downward and backward positions for different wave steepness values.
5.5. Effect of Irregular Wave Conditions
The operation and high-sea conditions were selected based on the testing field site to explore the performance and interaction of the WEC rotor in irregular waves. The testing field site was located on the west coast of Jeju Island, South Korea, as shown in Table 4. The best wave to express irregular waves is a superposition of several cosine waves, which are characterized by frequency and wave height. In this study, the superposition of 200 linear cosine waves with random phase values was investigated, and the analytical form, given as the Joint North Sea Wave Project (JONSWAP), is expressed as
where Hs is the significant wave height, σ is the variance of the wave record, ωp is the peak frequency, γ is the peak enhancement factor, and β is the scale factor; β is expressed as
Table 4.
Tested irregular wave conditions.
Figure 17 shows a comparison of the wave elevations generated by employing both weakly nonlinear and fully nonlinear models, in addition to the target wave spectrum under the design wave conditions. The numerical spectra generated by both models were in close agreement with the target spectrum, except for a slight disparity after the peak value. Notably, the fully nonlinear model produced slightly higher predictions than both the weakly nonlinear model and the target spectrum beyond the peak value. Nevertheless, the overall comparison between the numerical models and target spectrum demonstrates a satisfactory level of agreement.
Figure 17.
Comparison of wave elevations: weakly nonlinear and fully nonlinear models vs. target spectrum under designed wave conditions.
Further testing was carried out with the application of one-way PTO load torque in irregular waves. The PTO load torque was kept constant at 50 kNm for the operational settings and at 100 kNm for the high-sea wave conditions. Figure 18 and Figure 19 compare the instantaneous pitch response, angular velocity, PTO load torque, and power absorption obtained using the two numerical models. The amplitudes of the pitch response and angular velocity (Figure 18 and Figure 19, top and middle) are notably different and comparatively high in the case of the weakly nonlinear model compared to that with the fully nonlinear model. The subsequent estimation of Pabs showed a similar pattern. To estimate the average Pabs under irregular wave conditions, the time history without the ramp time was considered, and the mean instantaneous estimated power for the overall simulation time was computed. This is represented by a red line in each figure, with the corresponding value highlighted. Furthermore, the power statistics are estimated and tabulated in Table 5, based on the cases presented in Figure 18 and Figure 19. The predicted average Pabs under high sea conditions obtained using the fully nonlinear model was approximately two times greater than that under operational sea conditions, with a three-to four-fold reduction in efficiency. To ensure a direct comparison between the numerical models, the power spectral density (PSD) is plotted in Figure 18c and Figure 19c. The figures show that the PSD comparison under operational wave conditions is better than high-sea wave conditions. The deterioration in the results can be attributed to the following reasons. First, the deviation observed in the fully nonlinear model after the peak PSD value, as shown in Figure 17, could be attributed to the observed differences. Second, the transition from operational to high-sea conditions introduces an increased strong nonlinear interaction between the irregular waves and the WEC rotor. This strong nonlinear interaction can result in complex flow behaviors, including wave run-up, slamming, and breaking of waves, and in some cases, overtopping of the WEC rotor as manifested and shown in Figure 16. Although a fully nonlinear model may capture the complex flow physics around the WEC rotor, a weakly nonlinear model lacks these complex effects, leading to increased discrepancies as the WEC rotor interaction changes from operational to high-sea wave conditions.
Figure 18.
Comparison of (a) weakly and (b) fully nonlinear models with instantaneous variation of pitch response, angular velocity, PTO load torque, and Pabs using one-way load torque (50 kNm), and (c) spectral density of the extracted Pabs for operational wave conditions of WEC rotor.
Figure 19.
Comparison of (a) weakly and (b) fully nonlinear models with instantaneous variation of pitch response, angular velocity, PTO load torque, and Pabs using one-way load torque (100 kNm), and (c) spectral density of the extracted Pabs for high sea wave conditions of WEC rotor.
Table 5.
Power statistics using different numerical models for different irregular wave conditions.
6. Conclusions
In this study, a 3D WEC rotor was subjected to a nonlinear investigation using a weakly nonlinear model based on the linear potential flow theory and a fully nonlinear model based on CFD by solving the RANS equation. The nonlinear restoring moment was incorporated into the weakly nonlinear model by considering the instantaneous variable secondary moment of the water-plane area of the WEC rotor. A Coulomb-type PTO load torque was incorporated by considering one- and two-way loading systems, and the movement of the WEC was restricted during exertion until the external force acting on it exceeded the applied load torque. Fully nonlinear simulations were performed and compared to determine the limitations and degree of accuracy achieved by the weakly nonlinear model. The experimental results were used for numerical validation. After validating the experimental results, the designed sensitive parameters of the WEC rotor were numerically studied, and the effects of the PTO load torque, wave period, number of WEC rotors, and wave steepness in regular waves were examined. The performance of the WEC rotor in irregular waves under operating and high sea wave conditions was also studied. The conclusions are summarized below:
- With 3D nonlinear simulations, adopting a one-way PTO load torque in conjunction with a WEC rotor can be highly efficient compared with adopting a two-way PTO load torque.
- The average Pabs varied quadratically with the PTO load torque, and the WEC rotor exhibited higher sensitivity in the one-way PTO system, even in steeper waves, albeit with a decrease in the maximum efficiency.
- The pitch RAO and absorbed Pabs were higher during the resonance period, with weakly nonlinear models exhibiting lower values by the fully nonlinear model for both PTO load–torque systems within the considered wave period range.
- For the evaluated range of spacing between multiple WEC rotors, the center rotor consistently exhibits lower pitch RAO and average Pabs (PR ≤ 5) compared to the side rotors, regardless of the numerical model.
- Using a weakly nonlinear model can maintain accuracy up to moderate wave steepness; however, its applicability decreases with an increase in wave steepness. Fully nonlinear simulations can address a high degree of nonlinearity.
- In irregular waves, the estimated average Pabs is twice that under high-sea conditions, and the associated efficiency is three to four times lower than that under operational sea conditions.
The present investigation acknowledges and highlights the influence of nonlinear analysis, encompassing both weakly and fully nonlinear models, on power absorption and efficiencies of WECs. This underscores the essential requirement for customized strategies in practical applications, ensuring resilience and effectiveness in the face of diverse and severe sea conditions. This study will be extended in the future by comparing 3D nonlinear models with real-time testing data.
Author Contributions
Conceptualization, S.K.P. and Y.H.B.; methodology, S.K.P.; validation, S.K.P. and D.K.; formal analysis, S.K.P. and D.K.; investigation, S.K.P.; resources, Y.H.B.; writing—original draft preparation, S.K.P.; writing—review and editing, S.K.P. and Y.H.B.; supervision, Y.H.B.; funding acquisition, Y.H.B. All authors have read and agreed to the published version of the manuscript.
Funding
This research was supported by the Basic Science Research Program through the National Research Foundation of Korea (NRF), funded by the Ministry of Education (No. 2022R1I1A1A01069442). This work was also supported by the National Research Foundation of Korea (NRF) grant funded by the Korea government (MSIT). (No. 2021R1A2C1014600).
Data Availability Statement
Dataset available on request from the authors.
Conflicts of Interest
The authors declare no conflicts of interests.
Nomenclature
| u | Velocity vector |
| (x, y, z) | Cartesian coordinate system |
| Mean velocity components in the x-,y-and z-directions | |
| Fluctuating velocity components in the x-,y- and z-directions | |
| m | Viscosity |
| υ | Kinematic viscosity |
| p | Pressure and mean pressure |
| t | time |
| t1 | Time-lag |
| g | Acceleration due to gravity |
| Forcing coefficient | |
| r | Mixture of fluid density |
| Forced solution | |
| Actual solution | |
| λ | Wave length |
| K | Hydrostatic linear stiffness |
| h | Base cell size |
| a | Volume fraction |
| fwater | Density of water |
| fair | Density of air |
| k | Scaling factor |
| W | Half width of the WEC rotor |
| xg | longitudinal center of gravity |
| zg | Vertical center of gravity |
| Displacement, velocity and acceleration of the WEC rotor | |
| rm | Distance vector |
| Submerged volume of the WEC rotor | |
| τpto | Applied PTO load |
| R(ξ) | Nonlinear restoring moment |
| τvis | Linear viscosity |
| Negative critical displacement | |
| Positive critical displacement | |
| d | Water depth |
| Pabs | Absorbed power |
| T | Time period |
| H | Wave height |
| Total uncertainty | |
| Mesh size uncertainty | |
| Time step uncertainty | |
| Domain size uncertainty | |
| Reference time step | |
| Reference mesh size | |
| Cmref | Reference domain size |
| σfit | Total standard deviation |
| Pabs,ref | Reference Absorbed power |
| Pw | Wave power |
| H/λ | Wave steepness |
| Pext | Excitation power |
| Prad | Radiated power |
| w | Angular velocity |
| Hs | Significant wave height |
| σ | Variance of the wave record |
| ωp | Peak frequency |
| γ | Peak enhancement factor |
| β | Scale factor |
| Tp | Peak period |
| PR | Percentage ratio of multiple individual rotors to a single WEC rotor |
References
- McCormick, M.E. (Ed.) ; Ocean Wave Energy Conversion; Dover Publications: New York, NY, USA, 2013. [Google Scholar]
- Salter, S. Wave power. Nature 1974, 249, 720–724. [Google Scholar] [CrossRef]
- Evans, D.V. A theory for wave-power absorption by oscillating bodies. J. Fluid Mech. 1976, 77, 1–25. [Google Scholar] [CrossRef]
- Mei, C.C. Power extracted from water waves. J. Ship Res. 1976, 20, 63–66. [Google Scholar] [CrossRef]
- Budal, K. Theory for absorption of wave power by a system of interacting bodies. J. Ship Res. 1977, 21, 248–253. [Google Scholar] [CrossRef]
- Mynett, A.E.; Serman, D.D.; Mei, C.C. Characteristics of Salter’s cam for extracting energy from ocean waves. Appl. Ocean Res. 1979, 1, 13–20. [Google Scholar] [CrossRef]
- Pizer, D. The Numerical Prediction of the Performance of a Solo Duck; European Wave Energy Symposium: Edinburgh, UK, 1993; pp. 129–137. [Google Scholar]
- Skyner, D. Solo Duck Linear Analysis; University of Edinburgh: Edinburgh, UK, 1987. [Google Scholar]
- Ferri, F.; Pecher, A.F.S.; Kofoed, J.P. Numerical Analysis of a Large Floating Wave Energy Converter with Adjustable Structural Geometry. In Proceedings of the ISOPE The 25th International Ocean and Polar Engineering Conference, Kona, HI, USA, 21–26 June 2015; pp. 1025–1033. [Google Scholar]
- Rapuc, S. Numerical Study of the WEPTOS Single Rotor. Ph.D. Thesis, Aalborg University and Technical University of Denmark (DK), Aalborg, Denmark, 2012. [Google Scholar]
- Folley, M. Numerical Modelling of Wave Energy Converters: State-of-the-Art Techniques for Single Devices and Arrays; Academic Press: Cambridge, MA, USA, 2016. [Google Scholar]
- Heo, K.; Choi, Y.R. Numerical Investigation of Multi-body Wave Energy Converters’ Configuration. J. Ocean Eng. Technol. 2022, 36, 132–142. [Google Scholar] [CrossRef]
- Falnes, J.; Kurniawan, A. Ocean Waves and Oscillating Systems: Linear Interactions Including Wave-Energy Extraction; Cambridge University Press: Cambridge, UK, 2020; Volume 8. [Google Scholar]
- Penalba, M.; Giorgi, G.; Ringwood, J.V. Mathematical modelling of wave energy converters: A review of nonlinear approaches. Renew. Sustain. Energy Rev. 2017, 78, 1188–1207. [Google Scholar] [CrossRef]
- Gilloteaux JC, Bacelli G; Ringwood J. A non-linear potential model to predict large-amplitude-motions: Application to a multi-body wave energy converter. In Proceedings of the 10th World Renewable Energy Conference, Glasgow, UK, 19–25 July 2008; pp. 934–940.
- Gilloteaux, J.C.; Ducrozet, G.; Babarit, A.; Clement, A.H. Non-linear model to simulate large amplitude motions: Application to wave energy conversion. In Proceedings of the 22nd International Workshop on Water Waves and Floating Bodies, Plitvice, Croatia, 15–18 April 2007; pp. 97–100. [Google Scholar]
- Guérinel, M.; Alves, M.; Sarmento, A. Nonlinear modelling of the dynamics of a free floating body. In Proceedings of the 9th European Wave and Tidal Energy Conference (EWTEC), Southampton, UK, 5–9 September 2011. [Google Scholar]
- Merigaud, A.; Gilloteaux, J.C.; Ringwood, J.V. A nonlinear extension for linear boundary element methods in wave energy device modelling. In Proceedings of the International Conference on Offshore Mechanics and Arctic Engineering, New York, NY, USA, 1–6 July 2012; American Society of Mechanical Engineers: New York, NY, USA, 2012; Volume 44915, pp. 615–621. [Google Scholar]
- Viuff, T.H.; Andersen, M.T.; Kramer, M.; Jakobsen, M.M. Excitation forces on point absorbers exposed to high order non-linear waves. In Proceedings of the European Wave and Tidal Energy Conference. Technical Committee of the European Wave and Tidal Energy Conference, Aalborg, Denmark, 2–5 September 2013. [Google Scholar]
- Lawson, M.; Yu, Y.H.; Nelessen, A.; Ruehl, K.; Michelen, C. Implementing nonlinear buoyancy and excitation forces in the wec-sim wave energy converter modeling tool. In Proceedings of the International Conference on Offshore Mechanics and Arctic Engineering, 8–13 June 2014; American Society of Mechanical Engineers: New York, NY, USA, 2014; Volume 45547, p. V09BT09A043. [Google Scholar]
- Zurkinden, A.S.; Ferri, F.; Beatty, S.; Kofoed, J.P.; Kramer, M.M. Non-linear numerical modeling and experimental testing of a point absorber wave energy converter. Ocean Eng. 2014, 78, 11–21. [Google Scholar] [CrossRef]
- Wolgamot, H.A.; Fitzgerald, C.J. Nonlinear hydrodynamic and real fluid effects on wave energy converters. Proc. Inst. Mech. Eng. Part A J. Power Energy 2015, 229, 772–794. [Google Scholar] [CrossRef]
- Poguluri, S.K.; Cho, I.H.; Bae, Y.H. A study of the hydrodynamic performance of a pitch-type wave energy converter–rotor. Energies 2019, 12, 842. [Google Scholar] [CrossRef]
- Kim, D.; Poguluri, S.K.; Ko, H.S.; Lee, H.; Bae, Y.H. Numerical and Experimental Study on Linear Behavior of Salter’s Duck Wave Energy Converter. J. Ocean Eng. Technol. 2019, 33, 116–122. [Google Scholar] [CrossRef]
- van Rij, J.; Yu, Y.H.; Guo, Y.; Coe, R.G. A wave energy converter design load case study. J. Mar. Sci. Eng. 2019, 7, 250. [Google Scholar] [CrossRef]
- Katsidoniatski, E.; Yu, Y.H.; Goteman, M. Midfidelity Model Verification for a Point-Absorbing Wave Energy Converter with Linear Power Takeoff (No. NREL/CP-5700-78569); National Renewable Energy Lab. (NREL): Golden, CO, USA, 2021. [Google Scholar]
- Van’t Hoff, J. Hydrodynamic Modelling of the Oscillating Wave Surge Converter. Ph.D. Thesis, Queen’s University Belfast, Belfast, UK, 2009. [Google Scholar]
- Folley, M.; Whittaker, T.J.T.; Henry, A. The effect of water depth on the performance of a small surging wave energy converter. Ocean Eng. 2007, 34, 1265–1274. [Google Scholar] [CrossRef]
- Falnes, J. Optimum control of oscillation of wave-energy converters. Int. J. Offshore Polar Eng. 2002, 12, 147–155. [Google Scholar]
- Bjarte-Larsson, T.; Falnes, J. Laboratory experiment on heaving body with hydraulic power take-off and latching control. Ocean Eng. 2006, 33, 847–877. [Google Scholar] [CrossRef]
- Babarit, A.; Clément, A.H. Optimal latching control of a wave energy device in regular and irregular waves. Appl. Ocean Res. 2006, 28, 77–91. [Google Scholar] [CrossRef]
- Babarit, A.; Duclos, G.; Clément, A.H. Comparison of latching control strategies for a heaving wave energy device in random sea. Appl. Ocean Res. 2004, 26, 227–238. [Google Scholar] [CrossRef]
- Lopes, M.F.P.; Hals, J.; Gomes, R.P.F.; Moan, T.; Gato, L.M.C.; Falcão, A.D.O. Experimental and numerical investigation of non-predictive phase-control strategies for a point-absorbing wave energy converter. Ocean Eng. 2009, 36, 386–402. [Google Scholar] [CrossRef]
- Sheng, W.; Alcorn, R.; Lewis, A. A new latching control technology for improving wave energy conversion. In Proceedings of the 5th International Conference on Ocean Energy (ICOE), Halifax, NS, Canada, 4–6 November 2014. [Google Scholar]
- Sheng, W.; Alcorn, R.; Lewis, A. On improving wave energy conversion, part II: Development of latching control technologies. Renew. Energy 2015, 75, 935–944. [Google Scholar] [CrossRef]
- António, F.D.O. Modelling and control of oscillating-body wave energy converters with hydraulic power take-off and gas accumulator. Ocean Eng. 2007, 34, 2021–2032. [Google Scholar]
- Costello, R.; Ringwood, J.; Weber, J. Comparison of two alternative hydraulic PTO concepts for wave energy conversion. In Proceedings of the 9th European Wave and Tidal Energy Conference (EWTEC), Southampton, UK, 5–9 September 2011; School of Civil Engineering and the Environment, University of Southampton: Southampton, UK, 2011. [Google Scholar]
- Babarit, A.; Guglielmi, M.; Clément, A.H. Declutching control of a wave energy converter. Ocean Eng. 2009, 36, 1015–1024. [Google Scholar] [CrossRef]
- António, F.D.O. Phase control through load control of oscillating-body wave energy converters with hydraulic PTO system. Ocean Eng. 2008, 35, 358–366. [Google Scholar]
- Wilkinson, L.; Doherty, K.; Nicholson, J.; Whittaker, T.; Sandy, D. Modelling the performance of a modular flap-type wave energy converter. In Proceedings of the 11th European Wave and Tidal Energy Conference, Nantes, France, 6–11 September 2015. [Google Scholar]
- Wilkinson, L.; Whittaker, T.J.T.; Thies, P.R.; Day, S.; Ingram, D. The power-capture of a nearshore, modular, flap-type wave energy converter in regular waves. Ocean Eng. 2017, 137, 394–403. [Google Scholar] [CrossRef]
- Wilkinson, L. An Assessment of the Nearshore Modular Flap-Type WEC. Ph.D. Thesis, University of Edinburgh: Edinburgh, UK, 2018. [Google Scholar]
- Orszaghova, J.; Wolgamot, H.; Draper, S.; Rafiee, A. Non-linear behaviour of an idealised submerged WEC with Coulomb damping. In Proceedings of the 12th European Wave and Tidal Energy Conference, Cork, UK, 27 August–1 September 2017; Technical Committee of the European Wave and Tidal Energy Conference: Uppsala, Sweden, 2017; pp. 1088-1–1088-9. [Google Scholar]
- Gong, S.K.; Gao, J.L.; Mao, H.F. Investigations on fluid resonance within a narrow gap formed by two fixed bodies with varying breadth ratios. China Ocean Eng. 2023, 37, 962–974. [Google Scholar] [CrossRef]
- Gao, J.; Chen, H.; Zang, J.; Chen, L.; Wang, G.; Zhu, Y. Numerical investigations of gap resonance excited by focused transient wave groups. Ocean Eng. 2020, 212, 107628. [Google Scholar] [CrossRef]
- Schmitt, P. Investigation of the Near Flow Field of Bottom Hinged Flap Type Wave Energy Converters. Ph.D. Thesis, Queen’s University Belfast, Belfast, UK, 2013. [Google Scholar]
- Sjökvist, L.; Wu, J.; Ransley, E.; Engström, J.; Eriksson, M.; Göteman, M. Numerical models for the motion and forces of point-absorbing wave energy converters in extreme waves. Ocean Eng. 2017, 145, 1–14. [Google Scholar] [CrossRef]
- Windt, C.; Davidson, J.; Ringwood, J.V. High-fidelity numerical modelling of ocean wave energy systems: A review of computational fluid dynamics-based numerical wave tanks. Renew. Sustain. Energy Rev. 2018, 93, 610–630. [Google Scholar] [CrossRef]
- Devolder, B.; Stratigaki, V.; Troch, P.; Rauwoens, P. CFD simulations of floating point absorber wave energy converter arrays subjected to regular waves. Energies 2018, 11, 641. [Google Scholar] [CrossRef]
- Poguluri, S.K.; Ko, H.S.; Bae, Y.H. CFD investigation of pitch-type wave energy converter-rotor based on RANS simulations. Ships Offshore Struct. 2020, 15, 1107–1119. [Google Scholar] [CrossRef]
- Poguluri, S.K.; Kim, D.; Ko, H.S.; Bae, Y.H. Performance analysis of multiple wave energy converters due to rotor spacing. J. Ocean Eng. Technol. 2021, 35, 229–237. [Google Scholar] [CrossRef]
- Windt, C.; Davidson, J.; Ringwood, J.V. Investigation of turbulence modeling for point-absorber-type wave energy converters. Energies 2020, 14, 26. [Google Scholar] [CrossRef]
- Ransley, E.J.; Brown, S.A.; Hann, M.; Greaves, D.M.; Windt, C.; Ringwood, J.; Davidson, J.; Schmitt, P.; Yan, S.; Wang, J.X.; et al. Focused wave interactions with floating structures: A blind comparative study. Proc. Inst. Civ. Eng.-Eng. Comput. Mech. 2021, 174, 46–61. [Google Scholar] [CrossRef]
- Ko, H.S.; Kim, S.; Bae, Y.H. Study on Optimum Power Take-Off Torque of an Asymmetric Wave Energy Converter in Western Sea of Jeju Island. Energies 2021, 14, 1449. [Google Scholar] [CrossRef]
- Ha, Y.J.; Park, J.Y.; Shin, S.H. Numerical Study of Non-Linear Dynamic Behavior of an Asymmetric Rotor for Wave Energy Converter in Regular Waves. Processes 2021, 9, 1477. [Google Scholar] [CrossRef]
- Peric, M. Best Practices for Flow Simulations with Waves, Star Global Conference; Siemens AG: Berlin, Germany, 2017. [Google Scholar]
- Enger, S.; Perić, M.; Monteiro, H. Coupling of 3D Numerical Solution Method Based on Navier-Stokes Equations with Solutions Based on Simpler Theories; CILAMCE: Fortaleza, Brazil, 2014. [Google Scholar]
- Cummins, W.E.; Iiuhl, W.; Uinm, A. The Impulse Response Function and Ship Motions; Department of the NAVY: Washington, DC, USA, 1962. [Google Scholar]
- Cummins, C.; Viola, I.M.; Mastropaolo, E.; Nakayama, N. The effect of permeability on the flow past permeable disks at low Reynolds numbers. Phys. Fluids 2017, 29, 097103. [Google Scholar] [CrossRef]
Disclaimer/Publisher’s Note: The statements, opinions and data contained in all publications are solely those of the individual author(s) and contributor(s) and not of MDPI and/or the editor(s). MDPI and/or the editor(s) disclaim responsibility for any injury to people or property resulting from any ideas, methods, instructions or products referred to in the content. |
© 2024 by the authors. Licensee MDPI, Basel, Switzerland. This article is an open access article distributed under the terms and conditions of the Creative Commons Attribution (CC BY) license (https://creativecommons.org/licenses/by/4.0/).