Next Article in Journal
Short-Term Photovoltaic Power Forecasting Using PV Data and Sky Images in an Auto Cross Modal Correlation Attention Multimodal Framework
Next Article in Special Issue
Model for Joint Operation of Multi-Energy Systems in Energy and Frequency Regulation Ancillary Service Markets Considering Uncertainty
Previous Article in Journal
Multi-Objective Optimal Scheduling for Microgrids—Improved Goose Algorithm
Previous Article in Special Issue
Fixed-Time Backstepping Sliding-Mode Control for Interleaved Boost Converter in DC Microgrids
 
 
Font Type:
Arial Georgia Verdana
Font Size:
Aa Aa Aa
Line Spacing:
Column Width:
Background:
Article

Deep Symbolic Regression-Based MPPT Control for a Standalone DC Microgrid System

Department of Electrical Engineering, Chosun University, 309, Pilmun-daero, Dong-gu, Gwangju 61452, Republic of Korea
*
Author to whom correspondence should be addressed.
Energies 2024, 17(24), 6377; https://doi.org/10.3390/en17246377
Submission received: 4 November 2024 / Revised: 29 November 2024 / Accepted: 10 December 2024 / Published: 18 December 2024

Abstract

Enhancing the performance of maximum power point tracking (MPPT) methods is essential for optimizing the operation of solar systems under any weather condition. This improvement is crucial because MPPT methods serve as the controllers for power converters, directly influencing the ability to maintain a steady and efficient energy output from solar installations. Therefore, we propose a deep symbolic regression (DSR)-based MPPT method in standalone direct current microgrids, which is particularly useful under drastically shifted meteorological conditions. This study aimed to improve the significant performance parameters of the MPPT approach, such as the rate of convergence during transient periods, tracking accuracy, steady-state stability, and overshoot/undershoot reduction, creating more reliable and efficient solar microgrid systems. To evaluate the proposed method, performance comparisons were made with those of existing advanced algorithms, namely particle swarm optimization-, artificial neural network-, and adaptive neuro-fuzzy inference system-based MPPT methods. The comparative results demonstrate a significant improvement with the proposed method. Moreover, the simple mathematical expression obtained by the DSR process minimizes the computational complexity of the control.

1. Introduction

In recent decades, there has been a significant increase in global energy consumption, primarily met via fossil fuels. Nonetheless, a growing awareness of the environmental challenges stemming from carbon emissions, the impact of climate change due to global warming, and the volatility of oil prices have motivated researchers to investigate and utilize alternative energy sources. Consequently, solar photovoltaic (PV) and wind turbines have been developed as renewable energy sources. These nontraditional energy sources are renewable, allowing for natural replenishment; abundant in nature, ensuring a long-term supply; cost-effective, resulting in economic benefits; and widely adopted, gaining increasing popularity across diverse applications [1]. Within this framework, solar energy has received considerable attention as a possible candidate for fulfilling current and future energy demands. The development of power generation using PV modules has been impressive and has recently become a topic of significant interest. The total installed capacity of PV systems globally has surpassed 750 GW, according to data from the International Renewable Energy Agency [2], as shown in Figure 1. Although the globally installed capacity of PV systems is increasing, the commercial efficiency rates of PV modules remain low [3]. Furthermore, the unpredictability of climatic conditions reduces PV system efficiency, making it challenging to extract maximum power from the modules. Moreover, power electrical components, such as boost converters, which function as interfaces between the modules and grid, are also used in these systems. Employing optimized controllers to command these power electronic converters can significantly enhance efficiency.
Various maximum power point tracking (MPPT) techniques have been developed and tested over an extended period to enhance PV system’s efficiency. Perturb and observe (P&O) [4] and incremental inductance (INC) [5] represent the two conventional methods for achieving maximum power point (MPP) tracking. The P&O method is constrained by its limited ability to accurately detect the perturbation direction, number of oscillations, time required to reach the maximum operating point amid abrupt atmospheric changes, and determine the global maximum operating point in the presence of partial shading. In contrast, the INC approach lowers the number of oscillations and enhances the identification of perturbation direction. However, the implementation of the INC method is complicated due to its inherent complexities.
In recent years, interest has grown significantly in various soft computing approaches, such as artificial intelligence methods and evolutionary algorithms. These approaches, categorized under soft computing, have received considerable attention. Fuzzy logic [6,7] and artificial neural networks (ANN) [8,9] represent artificial intelligence systems that can successfully handle the diverse nonlinear characteristics of PV modules amidst partial shadowing and rapidly changing meteorological conditions. However, these methods often necessitate sophisticated computation, which could be perceived as an implementational limitation. Evolutionary algorithms are often used independently or in conjunction with traditional MPPT techniques. In [10], developed a hybrid MPPT approach integrating particle swarm optimization (PSO) [11] with differential evolution algorithms that exhibited a strong reaction to dynamic variations in irradiance levels. In [12], it was demonstrated that the integration of adaptive neuro fuzzy inference system (Anifs) and PSO algorithm improved working efficiency with accurate tracking.
Direct current (DC) microgrids have grown in popularity because of their simple interface with distributed generation, eliminating the requirements for alternative current (AC)-to-DC and DC-to-AC transformation stages. The absence of reactive power and significant frequency-related difficulties are major advantages of DC microgrids. The importance of DC-to-DC converters in integrating distributed generation into DC microgrids cannot be overstated [13]. Buck, boost, and buck-boost converters, each with specific functionalities, are common types of DC–DC converters [14]. Buck converters produce a regulated output voltage that is lower than the input voltage. Boost converters generate a regulated output voltage higher than the input voltage. Buck-boost converters can provide a regulated output voltage that is lower or higher than the input voltage. In contrast to AC microgrids, connecting renewable energy sources to a shared DC bus provides various benefits, such as improved performance and accuracy, as well as reduced frequency and phase control requirements [15]. In this DC microgrid, bidirectional DC–DC converters ensured dependable operation and efficient power delivery to the loads [16]. In [17], the importance of including battery storage in a solar PV system that caters to residential loads, given the PV system’s position as a sustainable energy source, was emphasized.
This paper proposes a data-driven deep symbolic regression (DSR)-based MPPT approach for a standalone DC microgrid operating under rapidly changing meteorological scenarios. Rather than focusing on partial shade scenarios, this study reinforces the issues created by rapidly changing climatic conditions unique to standalone DC microgrids. However, partial shading scenarios are considered throughout the data preparation step. Following a thorough literature analysis and simulation tests comparing different MPPT approaches, namely PSO, artificial neural network (ANN), and adaptive neuro-fuzzy inference system (ANFIS), critical parameters necessitating substantial improvement to increase the overall system’s reliability and efficiency were identified. These characteristics include the number of steady-state oscillations, convergence speed, implementation complexity, and the influence of MPPT approaches on the system’s dynamic response. The primary aim of this study is to address these characteristics and produce significant improvements in the system’s overall dependability and efficiency. The contributions of this study are as follows:
  • Development of a DSR-based MPPT controller.
  • Training of the DSR-based MPPT controller on a recurrent neural network (RNN) in Python environment.
  • Performance analysis of proposed model and comparative study against other advanced methods.
The remainder of this paper is organized as follows. The model details of the standalone DC microgrid and its mathematical formulation are presented in Section 2. Different MPPT control techniques utilized in the literature for PV arrays in DC microgrids, are described in Section 3. The proposed DSR-based MPPT technique is introduced in Section 4, along with the generation of data and training of the model. The results obtained from the comparative tests performed under different operating conditions are presented in Section 5. Finally, the conclusions are presented in Section 6.

2. Standalone DC Microgrid

A DC microgrid in its standalone form, as designed in this study, is illustrated in Figure 2. PV panels are the microgrid’s principal renewable energy source. They transform solar energy into DC electrical energy, which is used instantly or stored in batteries for later use.
The output voltage and current of the PV panels are critical factors in the MPPT control process because they affect power generation and tracking performance. The battery energy-storage technology is critical for standalone DC microgrids. It serves as an energy buffer, storing surplus energy generated by PV panels during periods of high solar irradiation and supplying electricity during periods of low or no solar output. The battery’s voltage and state of charge (SOC) are critical elements in the MPPT control algorithm because they affect the battery’s charging and discharging behavior. The load represents the electrical demand or the various DC-powered equipment in the microgrid, such as lighting systems, appliances, or electronics, that consume electricity. The features of the load, such as power demand and unpredictability, influence the overall energy balance and usage within the microgrid.

2.1. Modeling of PV System

Figure 3 illustrates the equivalent circuit of a PV module with solar cells. The Equation (1) in [18] describe the relationship between the output current and voltage of a PV module, where i p h and i s a t denote the module’s photo-current and reverse saturation current, respectively. The diode factor under ideal conditions is represented by m, the Boltzmann constant by k, the electron charge by q, and the module’s corresponding parallel and series resistances by r p and r s , respectively.
i L = i p h i s a t [ e x p ( q V D m N s K T ) 1 ] [ i L r s + v L r P ]
The parameters used for PV module assessment can be extrapolated to the corresponding circuit and computations as stipulated by Equations (2)–(4), considering the general parameters of temperature ( T r e f ) and irradiance ( G r e f ) .
i p h may be determined for any temperature and irradiation using the Equations (2)–(4) from [18,19], where I s c is the nominal short-circuit current. G and G r e f indicate the actual and nominal irradiance, respectively. T [K] represents the temperature of the PV module and α i represents the current-temperature coefficient.
i p h = [ I s c + α i ( T T r e f ) ] G G r e f
I s c = I s c , r e f ( r P + r s r P )
i s a t = I s c , r e f + α i ( T T r e f ) e q ( V o c , r e f + α v ( T T r e f ) / ( N s m K T ) 1
The parameter values for PV system modeling are listed in Table 1. Utilizing these parameters, a Matlab/Simulink representation of the accumulative PV array, depicting power and current characteristics across different voltage, was generated, as illustrated in Figure 4.

2.2. Boost Converters

DC-DC converters are used to boost the output voltages of PV modules to the voltage level demanded by the load. Similarly, converters with bidirectional capability are utilized as an interface between the DC system and battery storage. Figure 5 depicts the ideal designs of the boost and bidirectional boost DC-DC converters.
Inductances, switches, diodes, and capacitors are common components of boost DC-DC converters. The switching signals control the switch, which is an IGBT or MOSFET. When the switch is closed, the current through the inductor increases, storing energy in it. The capacitor supplies the power required by the load. When the switch is on, the current from the PV module panel is used to charge the output capacitor via the inductor and diode while powering the load.
The average circuit voltage is zero over the entire switching time, whereas the converter is in steady-state operation [20]. Equation (5) is used to calculate the converter output voltage under the following conditions:
V o u t = V i n 1 d
where V i n is the input voltage, V o u t is the output voltage, and d is the duty cycle.

2.3. Battery Storage System

A battery storage system collaborates with a PV array to fulfill its functionality. It stores the surplus energy generated by the PV array, maintains load equilibrium, enhances grid stability, and alleviates fluctuations in PV output caused by weather variations. Furthermore, it optimizes energy utilization, serves as backup during emergencies, regulates voltage, and aids in reducing peak demand. Additionally, it grants autonomy to the microgrid during grid failures, improves the integration of renewable energy, and extends the lifespan of PV systems. The operational parameters of the battery energy storage integrated into the DC microgrid system are represented by the terminal voltage and SOC, derived as given in Equations (6) and (7), respectively [21]:
V o = V b + R b i b K ( Q Q + i b d t ) + A · e B i b d t
and
S O C = 100 ( Q Q m a x )
where V o is the open-circuit voltage, V b is the charging voltage, R b is the battery’s internal resistance, i b represents the charging current, and K represents the polarization voltage. The total storage capacity of the battery is represented by B. A, Q and Q m a x denote the exponential voltage, the current charge of the battery, and the total capacity of the battery, respectively.
The discharge characteristics of the battery under consideration are presented in Figure 6. The parameter values for the applied battery energy storage are listed in Table 2.

3. MPPT Techniques

The efficiency of solar PV systems has been improved using various MPPT approaches. In addition to the commonly used MPPT techniques, namely (P&O) [4] and INC [5], advanced methods including ANN [8], PSO [11], and ANFIS [12] are available. This study explores using MPPT to optimize power transfer from a standalone DC microgrid to the load, ensuring maximum power extraction from the PV source. A DC-DC boost converter serves as an intermediary between the load and PV source. The maximum power output was achieved by adjusting the duty cycle of the DC-DC converter based on the load impedance. Therefore, the specific MPPT method determines the quantity of power extracted from the PV array. Thus, employing efficient MPPT techniques in solar PV systems is crucial for maintaining modules at their peak performance levels.
The advanced MPPT control methods (ANN, PSO, ANFIS) used for comparison with the proposed method are explained briefly in the following sections.

3.1. ANN-Based MPPT

ANN have been suggested as a computational tool for modeling nonlinear systems. For this comparison, ANN was selected for its proven ability to model complex nonlinear systems efficiently and adapt dynamically to varying inputs. This makes ANN highly suitable for MPPT control applications. ANN comprises artificial neurons, each equipped with weight and bias parameters that enable communication by transmitting signals. During training, the weights associated with the input values are adjusted according to the learning rule. The training datasets included PV system data simulated under the mentioned varying conditions of temperature and irradiance, ensuring comprehensive presentation or real-world scenarios.
The equations that best describe the computation of an artificial neural network are given below [22]:
y i = f ( w i j x i + b )
and
E = 1 2 i ( y d i y i ) 2
where f is the activation function, x i is the input signal, and b represents the bias value. The weight between the input and output is given by w i j . The desired and actual value of the output neuron i is given by y d i and y i , respectively.
In this comparative analysis, we employed a quasi-Newton backpropagation algorithm to minimize the mean squared error (MSE) of the weights. The quasi-Newton algorithm was chosen because of its efficiency in handling nonlinear optimization problems and due to its capability to accelerate convergence by approximating the Hessian matrix, as a result reducing computational overhead compared to standard gradient descent methods. To achieve maximum accuracy, we conducted multiple trials with a minimal number of neurons per layer. The ANN architecture developed in this study having two hidden layers, as shown in Figure 7, consists of one neuron in the input layer, 10 neurons in the hidden layer, and one neuron in the output layer. The selecion of this ANN architecture balances efficiency of computation with complexity needed to design the nonlinear characteristics of PV system, enabling accurate tracking of MPP under conditions that are dynamic. Sigmoidal activation functions are applied to the neurons in the input and hidden layers, whereas linear activation functions are applied to those in the output layer. This sigmoidal activation function in the hidden and input layers allows the network to capture relationships of nonlinear nature, whereas the linear activation in the output layer ensures that the final output remains interpretable and bounded.

3.2. PSO-Based MPPT

PSO is inspired by the flocking behavior of birds and operates within an n-dimensional space, where each particle represents a potential solution. These particles continuously adapt to their positions based on their past experiences and interactions with neighboring particles. Adaptive behavior of each particle is influenced by a balance between exploration, guided by cognitive and social components, and exploration, driven by its inertia. Because of this, it is made sure that the algorithm dynamically balances refining know good solutions and the search for new solutions. The influence of the best-performing particle within its local neighborhood ( P b e s t , i ) guides each particle’s position adjustments. The best solution of the overall population ( G b e s t ) also shapes the positions of individual particles [23]. To steer a particle toward its optimal position, its initial velocity is modified by increasing or decreasing it based on the current position relative to the best-known position.
The velocity is increased if the current position is less favorable than the best-known position and vice versa. This process fine tunes each particle’s position ( x i ) as follows [23]:
x i k + 1 = x i k + v i k + 1
and the velocity ( v i ) is calculated as
v i k + 1 = w v i k + c 1 r 1 { P b e s t , i x i k } + c 2 r 2 { G b e s t x i k }
where P b e s t , i represents the personal best position of i, G b e s t represents the best neighborhood position of i, w is the inertia weight, c 1 , c 2 are the coefficients of acceleration, and r 1 , r 2 U . A critical role is played by the inertia weight in controlling the trade-off between local and global exploration of search space, with small values encouraging finer local searches, and larger values promoting broader explorations.
The flowchart of the PSO algorithm is presented in Figure 8. The PSO is an iterative method that promises reliable outcomes, but it does not guarantee finding the optimal solution. Simplicity is one of the computational advantages of PSO, because there is no requirement of gradient information, due to its reliance on velocity and position updates. This makes PSO suitable for highly nonlinear and multidimensional optimization problems. Compared to traditional evolutionary computation approaches, PSO [11] tunes particle velocities while maintaining individual evolutionary positions. In other words, PSO changes the ’fate’ of individual particles rather than their ’state’. In addition, PSO exhibits partial optimism, resulting in less precise control of its position and velocity measurement. However, PSO is not a solution to all optimization or scattering problems. Despite its strength, convergence to suboptimal solutions can sometimes occur prematurely for PSO, especially in complex landscapes. This necessitates tuning of parameters and thoughtful initialization for improved robustness in practical applications.

3.3. ANFIS-Based MPPT

ANFIS is a hybrid approach combining artificial neural networks and fuzzy logic. It utilizes the capacity of artificial neural networks to automatically generate fuzzy rules and adaptively adjust the membership functions through the fuzzification of input parameters and the creation of IF-THEN rules [24]. ANFIS model is enabled by the fuzzy logic to handle uncertainties in behavior of PV system, like fluctuations in environmental conditions, with the help of robust mechanism for reasoning under imprecision. The control system considers temperature and irradiance, as input variables representing the prevailing ambient conditions affecting the PV array’s operational characteristics. The electrical characteristics of PV system are directly influenced by the temperature and irradiance, hence their selection is very critical. Within the ANFIS controller, the generated outputs consist of the duty cycle and MPP voltage for regulating the PV system’s functionality [12]. The reference voltage is frequently computed by applying an appropriate duty cycle to activate the converter switches and aligning the PV’s output voltage closely with the MPP voltage to maintain the PV system at its MPP. Figure 9 shows the basic five-layer architecture of the designed ANFIS model. This architecture of ANFIS model allows for systematic processing, where a distinct function is performed by each layer including fuzzification, normalization, rule evaluation, and output defuzzification, this ensures precise control of PV system.
The fuzzification and training of the ANFIS model involves converting crisp PV values into fuzzy variables through experimental or artificial data in MATLAB. The diversity and quality of the training dataset greatly influences the accuracy of ANFIS controller, as the relevance of fuzzy rules and precision of membership functions in real-world scenarios are determined by it. This transformation captures the P-V and I-V characteristics of PV systems under different ambient conditions and defines their operational traits and optimal points. The fuzzy rule base is then established by mapping the relationships between the input and output membership functions generated by the ANFIS controller. This rule base incorporates knowledge from training data or operational expertise to define the relationships between membership functions. In the final stage, defuzzification transforms fuzzy sets into precise, nonfuzzy sets.
This study comparatively analyzes three advanced MPPT techniques (ANN, PSO, and ANFIS) with the proposed DSR-based MPPT control. The aim is to evaluate the efficacy of these methods in accurately tracking the MPP of PV systems and identify areas for improvement in each technique. By the integration of both adaptive learning and rule-based logic, ANFIS stands out as a hybrid method that has the ability to balance the strengths of ANN and fuzzy logic for enhanced MPPT performance. This analysis helps determine the most suitable method for specific scenarios and offers insights into enhancing their performance.

4. Proposed DSR-Based MPPT Control

Defining a comprehensible numerical expression that accurately describes a dataset has been a significant challenge in generating new fundamental knowledge and understanding in artificial intelligence. This limitation has been addressed through symbolic regression [25], initially performed using genetic programming. This approach produces a population of numerical expressions using metaheuristic algorithms to identify best fit of the data. In addition, the experimental data were used to determine the fundamental rules for physical systems [26]. However, genetic programming faces scalability issues in large systems owing to the extensive combinatorial complexity of the problem, and susceptibility to overfitting.
DSR is a deep learning-based approach to symbolic regression that employs the newly introduced policy gradient methods. DSR has demonstrated outstanding performance in recovering symbolic equations when compared to genetic programming across a range of test cases [27].
In this study, we introduce the use of DSR in developing an MPPT controller for managing a PV standalone DC microgrid system. This algorithm harnesses the capability of deep neural networks to create interpretable and broadly applicable models. The core architecture of the DSR algorithm is presented in Figure 10. The training was conducted offline using Python by employing an inverse normalized MSE (INMSE) constrained by a sigmoid activation function. The risk-seeking policy gradient calculates the empirical reward quantile and eliminates data with lower rewards based on epsilon values [26]. Given the data ( x , y ), at every point x j R n and y j R , the best fit of data is determined by the DSR for the function ( f : R n R ).
The RNN within the DSR framework produces a probability distribution of numerical expressions. These expressions were selected randomly from the distribution, instantiated, and evaluated for compatibility with the dataset. This evaluation serves as a reward signal for training the RNN using a unique risk-seeking policy gradient method.
The objective is to optimize the RNN policy for the best-case performance in terms of the expected reward rather than aiming for the best average performance, as in standard policy gradient methods [26,27]. As training progresses, the RNN adjusts the probabilities assigned to different numerical expressions based on their associated rewards, assigning higher probabilities to more promising numeric expressions. Notably, the reward function used here is computationally efficient compared to other techniques. The input data were fed into sequential numeric expressions generated using the RNN. The predicted and true output values are then compared by using the fitness function INMSE as a reward signal, which incurs minimal computational cost, typically taking just a few microseconds. The final expression with the best reward value was determined as follows:
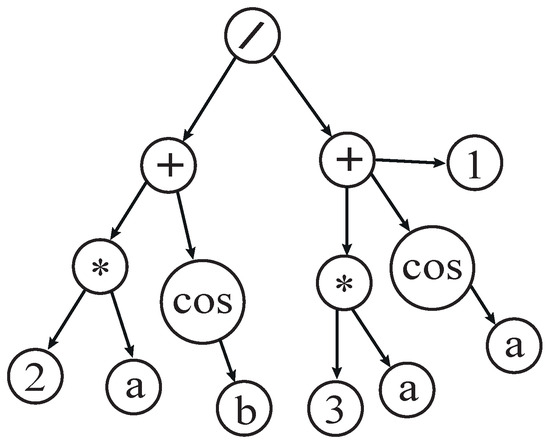
d = 2 ( a ) + c o s ( b ) 3 ( a ) + c o s ( a ) + 1
where a = V p v (voltage of pv), b = P p v (power of pv), and d represent the resultant duty cycle. Figure 11 shows the expression tree for the acquired equation through DSR. The control steps for the proposed DSR-based MPPT controller are described next.
  • Measure the PV parameters ( V p v , I p v , P p v ) and their integration values.
  • Feed the information from the measurements to the system, confirming no steady-state error in tracking the maximum power point.
  • Produce numeric expressions that are comprehensible and well-suited to the data via the DSR algorithm using the risk-seeking policy gradient.
  • Utilize the generated expressions in the model to function as an efficient MPPT controller.

4.1. Testing

We used Python 3.6 and MATLAB/Simulink (2023a) to create detailed models of PV systems in order to assess the effectiveness of the DSR-based MPPT control technique in conjunction with the aforementioned advanced methods, as depicted in Figure 12. These models were created to simulate dynamic environmental factors including temperature variations and irradiation levels in order to emulate actual operational circumstances. The MPPT control algorithms were trained using synthetic datasets that were created to resemble these situations. Iterative optimization of the control methods under controlled settings was made possible by the offline nature of the training procedure.
In order to improve the algorithm’s performance, the proposed DSR-based MPPT method was trained offline using generated datasets. A robust mathematical model capable of accurately predicting the optimal duty cycle for tracking maximum power point (MPP) was created during this phase using the DSR technique. Once the training was complete, the model was deployed in real-time operations to validate its effectiveness. In this stage, the model dynamically adjusted the duty cycle to ensure efficient MPP tracking.

4.2. Training Process

The main steps involved in the training process are as follows:
  • Generate and process the data using Matlab/Simulink.
  • Tune the hyper-parameters of DSR algorithm that is set up in the Python environment.
  • Construct the numerical and analytical expressions that best fits the dataset.
A baseline control approach was used to create datasets using extensive Matlab simulation testing to train the DSR. The training dataset had 17 test cases. The simulation was conducted under many operational conditions, including different temperatures, generated power, sampling duration, and irradiance values for each test condition. To address nonlinear regression issues, supervised learning was used to analyze the stored data, including the input characteristics and their targets. Matlab and Python were used in the offline training process to create an analytical–numerical model that best fitted the dataset. The hyperparameters utilized for the deep symbolic regression process were considered from a similar work performed in [26], are listed in Table 3.
The developed analytical–numerical model was employed in place of the baseline controller following appropriate training. We assessed the dynamic performance of a standalone DC microgrid system using the proposed and aforementioned advanced methods across diverse operating conditions to validate the efficacy of the proposed MPPT method.

5. Results

To demonstrate the efficacy of the proposed method, two distinct test scenarios were investigated for the prepared standalone DC microgrid system, and the findings were compared with the outcomes of advanced control techniques. Based on established practices in the literature, the key parameters for ANN-based, ANFIS-based and PSO-based MPPT control methods were chosen. The parameter selection aligns with recommendations in prior literature to ensurereliability and comparability of the results, enabling a more objective evaluation of their performance. To get the best results for the dataset, iterative trials were utilized to achieve the architecture and parameters of ANN and ANFIS, including the number of neurons, layers, and membership functions.To provide fair comparisons, key PSO parameters such as the number of particles, cognitive and social factors, and inertia weight were chosen based on commonly accepted values. The data for the DSR training were generated using a baseline controller, and the resulting analytical expression was utilized online for comparison with other controllers. The proposed method fits the data fully, eliminating the need to comprehend sophisticated advanced algorithms. In contrast to algorithmic approaches, the DSR-based method offers unique advantages of reduced computational complexity by employing a simpler data-fitting process, that is less resource-intensive and faster to execute.

5.1. Case Study 1

The outcome of Case 1, which was conducted to analyze the proposed DSR-based MPPT control approach compared to other advanced algorithmic techniques, is displayed in the following figures. The power responses of the PV system to various MPPT control strategies are shown in Figure 13.
The DSR-based approach exhibits a significantly higher stability than the other approaches. The superior stability demonstrated by the DSR method, as it is evidenced by the minimal overshoot and undershoot values, this shows the ability to adapt to rapidly changing environmental conditions without compromising reliability of the system. Moreover, the proposed method has a reduced undershoot (around 20% from PSO and more than 30% from ANN and ANFIS) to survive an abrupt shift in irradiance. In addition, our DSR-based approach has a higher power level (about 10% higher) than that of the algorithmic solutions.
As shown in Figure 14 and Figure 15, the DC microgrid system’s performance is assessed when the PV system experiences an immediate shift in irradiance. Exactly 1.4 s into the test, a large irradiance reduction is created to test the system’s stability. This dramatic decrease in light replicates real-world situations where abrupt shifts can occur because of factors such as cloud cover or shade. The system’s capacity to continue operating steadily throughout this incident is essential because instability can cause power outages and even damage the system components.
These results demonstrate the response of the system, with emphasis on the undershoots and overshoots of major electrical parameters, including voltage, current, and power output, all of which are essential markers of the dynamic performance of the system.
A comparative examination of the aforementioned control strategies demonstrated the efficaciousness of the proposed DSR-based MPPT control, exhibiting much lower levels of overshoots and undershoots relative to the larger disturbances observed with advanced computational methods. As can be observed, least disturbance is shown through the proposed method with red signal. The blue signal for ANFIS is overlapped by the green signal for ANN, as both show similar response. The yellow signal for PSO shows better response as compared to the other two. The same is the case for the second case study. This guarantees the DC microgrid’s dependability and effectiveness in such difficult circumstances.

5.2. Case Study 2

In Case 2, we considered the scenario where the PV system’s irradiance abruptly changes twice, starting at the 1 s mark, followed by half recovery at the 2 s mark. The PV system’s power is reflected in its response to these unfavorable shifting circumstances, as shown in Figure 16. The results verify the superiority of the proposed control approach. The algorithmic methods (PSO, ANN, and ANFIS) exhibited significant under- and overshoots in response to instantaneous changes. The proposed approach also has a power level over 800 W, greater than that of the others.
As shown in Figure 17 and Figure 18, the system’s stability is tested when the first noticeable reduction in irradiance occurs at the 1 s point in the test. This sharp drop in irradiance resembles real-world situations when there are rapid shifts in the amount of sunshine, such as when clouds pass overhead.
The subsequent analysis focuses on the system’s dynamic response to these changes, specifically examining the under- and overshoots in critical electrical parameters such as voltage, current, and power output. This study evaluated the effectiveness of the proposed DSR-based MPPT control in managing fluctuations in irradiance compared to that using advanced methods, providing greater stability and efficiency to the DC microgrid system under variable environmental conditions. However, advanced algorithmic techniques cause a higher computational burden and lower stability, as seen from the higher values of over- and undershoots in the system’s response. The test observations drawn quantitively are listed in Table 4. This quantitively reinforces the advantages of DSR-based MPPT method, particularly its significantly lower overshoot (5.85%) and undershoot (6.08%) compared to other methods which exhibit values higher than this. Consistent performance of the proposed DSR-based MPPT method across both the test scenarios underscores its robustness under varied conditions, unlike PSO, ANN, and ANFIS, which struggle with overshoots and other factors in dynamic environments.
While the DSR-based method demonstrates notable performance enhancements, future research might explore its integration with more intricate system models and access how well it performs in large scale microgrid applications to further expand its potential. Given its lower computational burden, DSR-based method offers achievable option for real-world implementation in renewable energy systems.

6. Conclusions

This study focuses on the design of a standalone DC microgrid powered primarily by a PV system. To enhance the performance of the microgrid, a DSR-based MPPT control approach was proposed and evaluated based on performance comparison with that of multiple advanced methods, namely ANN, ANFIS, and PSO. Compared to advanced approaches, the proposed DSR-based MPPT control method performs more effectively, demonstrating a substantial decrease in overshoots and undershoots, shortened settling time, improved stability, and less computational burden. The DSR method achieves higher tracking efficiency, with providing more stable operation in the face of rapid conditional changes, setting it apart from other advanced techniques. This highlights the versatility of DSR in applications aimed at substantially improving efficiency in power systems.

Author Contributions

M.A.K. and M.U. designed the proposed control. M.A.K. performed the simulation and wrote the paper. J.K. analyzed data and edited the paper. All authors have read and agreed to the published version of the manuscript.

Funding

This work study was supported by a research fund from Chosun University, 2024.

Data Availability Statement

Data can be made available under reasonable requests.

Conflicts of Interest

The authors declare no conflicts of interest.

Abbreviations

The following abbreviations are used in this manuscript:
ACAlternative CurrentLVDCLow-Voltage Direct Current
ANNArtificial Neural NetworkMSMicro Source
ANFISArtificial Neuro-Fuzzy Inference SystemMPPTMaximum Power Point Tracking
CCsCentral ControllersOCROver Current Relay
DGDistributed GeneratorsPDsProtection Devices
DBSDc Bus SignalingPEDsPower Electronic Devices
DCLDigital Communication LinksPEIPower Electronic Interface
DCDirect CurrentPCCPoint of Common Coupling
DCCBsDirect Current Circuit BreakersPSOParticle Swarm Optimization
DSRDeep Symbolic RegressionPLSPower Line Signaling
ESSsEnergy Storage SystemsRERsRenewable Energy Resources
EMSEnergy Management SystemREIRenewable Energy Integration
FISFuzzy Inference SystemSCsSuper Capacitors
HVDCHigh-Voltage Direct CurrentSDSCRSite Dependent Short Circuit Ratio
LVLow VoltageSOCState of Charge
LCsLocal ControllersVSCVoltage Source Converter

References

  1. Çelik, O.; Teke, A.; Tan, A. Overview of micro-inverters as a challenging technology in photovoltaic applications. Renew. Sustain. Energy Rev. 2018, 82, 3191–3206. [Google Scholar] [CrossRef]
  2. International Renewable Energy Agency (IRENA). Solar Energy Data. 2022. Available online: https://www.irena.org/solar (accessed on 3 November 2024).
  3. Fraunhofer Institute. “Photovoltaics Report”. 2020. Available online: https://www.ise.fraunhofer.de/en/publications/studies/photovoltaics-report.html (accessed on 3 November 2024).
  4. Devi, V.K.; Premkumar, K.; Beevi, A.B.; Ramaiyer, S. A modified Perturb & Observe MPPT technique to tackle steady state and rapidly varying atmospheric conditions. Sol. Energy 2017, 157, 419–426. [Google Scholar]
  5. Shahid, H.; Kamran, M.; Mehmood, Z.; Saleem, M.Y.; Mudassar, M.; Haider, K. Implementation of the novel temperature controller and incremental conductance MPPT algorithm for indoor photovoltaic system. Sol. Energy 2018, 163, 235–242. [Google Scholar] [CrossRef]
  6. Chen, Y.T.; Jhang, Y.C.; Liang, R.H. A fuzzy-logic based auto-scaling variable stepsize MPPT method for PV systems. Sol. Energy 2016, 126, 53–63. [Google Scholar] [CrossRef]
  7. Venkateswari, R.; Sreejith, S. Factors influencing the efficiency of photovoltaic system. Renew. Sustain. Energy Rev. 2019, 101, 376–394. [Google Scholar] [CrossRef]
  8. Bouakkaz, M.S.; Boukadoum, A.; Boudebbouz, O.; Bouraiou, A.; Attoui, I. ANN based MPPT Algorithm Design using Real Operating Climatic Condition. In Proceedings of the 2020 2nd International Conference on Mathematics and Information Technology (ICMIT), Adrar, Algeria, 18–19 February 2020; pp. 159–163. [Google Scholar]
  9. Youssef, A.; El Telbany, M.; Zekry, A. Reconfigurable generic FPGA implementation of fuzzy logic controller for MPPT of PV systems. Renew. Sustain. Energy Rev. 2018, 82, 1313–1319. [Google Scholar] [CrossRef]
  10. Joisher, M.; Singh, D.; Taheri, S.; Espinoza-Trejo, D.R.; Pouresmaeil, E.; Taheri, H. A Hybrid Evolutionary-Based MPPT for Photovoltaic Systems Under Partial Shading Conditions. IEEE Access 2020, 8, 38481–38492. [Google Scholar] [CrossRef]
  11. Enany, M.A.; Farahat, M.A.; Nasr, A. Modeling and evaluation of main maximum power point tracking algorithms for photovoltaics systems. Renew. Sustain. Energy Rev. 2016, 58, 1578–1586. [Google Scholar] [CrossRef]
  12. Harmini; Ashari, M. Optimalization of ANFIS-PSO Algorithm Based on MPPT Control for PV System Under Rapidly Changing Weather Condition. In Proceedings of the 2022 IEEE International Conference in Power Engineering Application (ICPEA), Shah Alam, Malaysia, 7–8 March 2022. [Google Scholar]
  13. Liu, Z.; Su, M.; Sun, Y.; Yuan, W.; Han, H.; Feng, J. Existence and Stability of Equilibrium of DC Microgrid with Constant Power Loads. IEEE Trans. Power Syst. 2018, 33, 6999–7010. [Google Scholar] [CrossRef]
  14. Cheng, Z.; Li, Z.; Li, S.; Gao, J.; Si, J.; Das, H.S.; Dong, W. A novel cascaded control to improve stability and inertia of parallel buck-boost converters in DC microgrid. Int. J. Electr. Power Energy Syst. 2020, 119, 105950. [Google Scholar] [CrossRef]
  15. Srinivasan, M.; Kwasinski, A. Control analysis of parallel DC-DC converters in a DC microgrid with constant power loads. Int. J. Electr. Power Energy Syst. 2020, 122, 106207. [Google Scholar] [CrossRef]
  16. Liu, Z.; Zhao, J.; Zou, Z. Impedance Modeling, dynamic Analysis and damping enhancement for DC Microgrid with multiple types of loads. Electr. Power Energy Syst. 2020, 122, 106183. [Google Scholar] [CrossRef]
  17. Arif, M.T.; Oo, A.M.T.; Ali, A.B.M.S.; Safiullah, G.M. Significance of storage on solar photovoltaic system—A Residential load case study in Australia. Smart Grid Renew. Energy 2013, 4, 167–180. [Google Scholar]
  18. Al-Shetwi, A.; Muhamad Zahim, S. Modeling and simulation of photo voltaic module with enhanced perturb and observe MPPT algorithm using Matlab/Simulink. ARPN J. Eng. Appl. Sci. 2016, 11, 12033–12038. [Google Scholar]
  19. Villalva, M.; Gazoli, J.; Filho, E. Comprehensive Approach to Modeling and Simulation of Photovoltaic Arrays. IEEE Trans. Power Electron. 2009, 24, 1198–1208. [Google Scholar] [CrossRef]
  20. Karabinaoglu, M.S.; Cakir, B.; Basoglu, M.E.; Kazdaloglu, A.; Guneroglu, A. Comparison of deep learning and regression-based MPPT algorithms in PV systems. Turk. J. Electr. Eng. Comput. Sci. 2022, 30, 2319–2338. [Google Scholar] [CrossRef]
  21. Ali, M.J.; Basil, H.J.; Bogdan-Constantin, N.; Bilal, H.A. Coordination Control of a Hybrid AC/DC Smart Microgrid with Online Fault Detection, Diagnostics, and Localization Using Artificial Neural Networks. Electronics 2023, 12, 187. [Google Scholar]
  22. Subramanian, V.; Vairavasundaram, I.; Vairavasundaram, S.; Yuvaraja, T.; Ramya, K.; Srete, N. Efficient Control of DC Microgrid with Hybrid PV—Fuel Cell and Energy Storage Systems. Energies 2021, 14, 3234. [Google Scholar] [CrossRef]
  23. Pant, S.; Saini, R.P. Comparative Study of MPPT Techniques for Solar Photovoltaic System. In Proceedings of the 2019 International Conference on Electrical, Electronics and Computer Engineering (UPCON), Aligarh, India, 8–10 November 2019. [Google Scholar]
  24. Rameez, M.; Aashir, W.; Umar, S.V.; Zain-ul-Hassan, S. Comparison of the Adaptive Neural-Fuzzy Interface System (ANFIS) based Solar Maximum Power Point Tracking (MPPT) with other Solar MPPT Methods. In Proceedings of the 2020 IEEE 23rd International Multitopic Conference (INMIC), Bahawalpur, Pakistan, 5–7 November 2020. [Google Scholar]
  25. Billard, L.; Diday, E. Symbolic regression analysis. In Classification, Clustering, and Data Analysis; Springer: Berlin/Heidelberg, Germany, 2002; pp. 281–288. [Google Scholar]
  26. Usama, M.; In-Young, L. Data-Driven Non-Linear Current Controller Based on Deep Symbolic Regression for SPMSM. Sensors 2022, 22, 8240. [Google Scholar] [CrossRef] [PubMed]
  27. Petersen, B.K.; Landajuela, M.; Mundhenk, T.N.; Santiago, C.P.; Kim, S.K.; Joanne, T. Deep symbolic regression: Recovering mathematical expressions from data via risk-seeking policy gradients. In Proceedings of the International Conference on Learning Representations, Virtual Event, 3–7 May 2021. [Google Scholar]
Figure 1. Globally installed photovoltaic (PV) capacity.
Figure 1. Globally installed photovoltaic (PV) capacity.
Energies 17 06377 g001
Figure 2. Standalone direct current (DC) microgrid.
Figure 2. Standalone direct current (DC) microgrid.
Energies 17 06377 g002
Figure 3. PV equivalent cell circuit.
Figure 3. PV equivalent cell circuit.
Energies 17 06377 g003
Figure 4. Power and current characteristics across voltage of PV array.
Figure 4. Power and current characteristics across voltage of PV array.
Energies 17 06377 g004
Figure 5. DC to DC converters. (a) Boost converter and (b) bi-directional boost converter.
Figure 5. DC to DC converters. (a) Boost converter and (b) bi-directional boost converter.
Energies 17 06377 g005
Figure 6. Nominal discharge characteristics of a battery at different current levels.
Figure 6. Nominal discharge characteristics of a battery at different current levels.
Energies 17 06377 g006
Figure 7. Artificial neural networks. (a) Controller design and (b) Simulink model.
Figure 7. Artificial neural networks. (a) Controller design and (b) Simulink model.
Energies 17 06377 g007
Figure 8. Flowchart of particle swarm optimization algorithm.
Figure 8. Flowchart of particle swarm optimization algorithm.
Energies 17 06377 g008
Figure 9. Basic architecture of the adaptive neuro-fuzzy inference system.
Figure 9. Basic architecture of the adaptive neuro-fuzzy inference system.
Energies 17 06377 g009
Figure 10. Core architecture of deep symbolic regression (DSR).
Figure 10. Core architecture of deep symbolic regression (DSR).
Energies 17 06377 g010
Figure 11. Tree notation of the acquired equation.
Figure 11. Tree notation of the acquired equation.
Energies 17 06377 g011
Figure 12. Model for testing.
Figure 12. Model for testing.
Energies 17 06377 g012
Figure 13. PV power with compared MPPT techniques (Case 1).
Figure 13. PV power with compared MPPT techniques (Case 1).
Energies 17 06377 g013
Figure 14. Comparative V & I results with proposed DSR-based MPPT method (case 1).
Figure 14. Comparative V & I results with proposed DSR-based MPPT method (case 1).
Energies 17 06377 g014
Figure 15. Comparative P results with proposed DSR-based MPPT method (Case 1).
Figure 15. Comparative P results with proposed DSR-based MPPT method (Case 1).
Energies 17 06377 g015
Figure 16. PV power with compared MPPT techniques (Case 2).
Figure 16. PV power with compared MPPT techniques (Case 2).
Energies 17 06377 g016
Figure 17. Comparative V and I results with proposed DSR-based MPPT method (Case 2).
Figure 17. Comparative V and I results with proposed DSR-based MPPT method (Case 2).
Energies 17 06377 g017
Figure 18. Comparative P results with proposed DSR-based MPPT method (Case 2).
Figure 18. Comparative P results with proposed DSR-based MPPT method (Case 2).
Energies 17 06377 g018
Table 1. PV module parameters.
Table 1. PV module parameters.
ParametersValues
Maximum power voltage V m p = 30.7 V
Maximum power P m a x = 250 W
Short-circuit current I s c = 8.66 A
Temperature coefficient of V o c a v = −0.361
Maximum power current I m p = 8.15 A
Open-circuit voltage V o c = 37.3 V
Cells per module N c e l l = 60
Temperature coefficient of I s c a i = 0.087
Table 2. Parameters of the battery system.
Table 2. Parameters of the battery system.
ParametersValues
Nominal voltage120 V
Rated capacity40 Ah
Cut-off voltage96 V
Initial SOC50%
Table 3. Hyperparameters for DSR.
Table 3. Hyperparameters for DSR.
ParametersValues
OptimizerAdam
Learning rate0.001
CellLSTM
epsilon0.2
Batch size500
Table 4. Comparative analysis of MPPT techniques.
Table 4. Comparative analysis of MPPT techniques.
FeaturesDSR*ANNPSOANFIS
Computational burdenlowhighmediumhigh
Overshoot (%)5.8546.4225.0845.75
Undershoot (%)6.0858.3339.5858.50
Control dynamicsgoodgoodgoodgood
Settling time (s)0.040.070.0640.072
Disclaimer/Publisher’s Note: The statements, opinions and data contained in all publications are solely those of the individual author(s) and contributor(s) and not of MDPI and/or the editor(s). MDPI and/or the editor(s) disclaim responsibility for any injury to people or property resulting from any ideas, methods, instructions or products referred to in the content.

Share and Cite

MDPI and ACS Style

Khan, M.A.; Usama, M.; Kim, J. Deep Symbolic Regression-Based MPPT Control for a Standalone DC Microgrid System. Energies 2024, 17, 6377. https://doi.org/10.3390/en17246377

AMA Style

Khan MA, Usama M, Kim J. Deep Symbolic Regression-Based MPPT Control for a Standalone DC Microgrid System. Energies. 2024; 17(24):6377. https://doi.org/10.3390/en17246377

Chicago/Turabian Style

Khan, Muhammad Affan, Muhammad Usama, and Jaehong Kim. 2024. "Deep Symbolic Regression-Based MPPT Control for a Standalone DC Microgrid System" Energies 17, no. 24: 6377. https://doi.org/10.3390/en17246377

APA Style

Khan, M. A., Usama, M., & Kim, J. (2024). Deep Symbolic Regression-Based MPPT Control for a Standalone DC Microgrid System. Energies, 17(24), 6377. https://doi.org/10.3390/en17246377

Note that from the first issue of 2016, this journal uses article numbers instead of page numbers. See further details here.

Article Metrics

Back to TopTop