Effect of Hydration under High Temperature and Pressure on the Stress Thresholds of Shale
Abstract
:1. Introduction
2. Test Materials and Procedures
2.1. Sample
2.2. Preparation of the Fracturing Fluid
2.3. Test Procedure
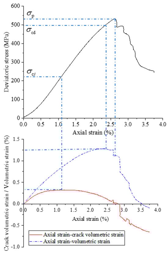
2.4. Determination of the Stress Thresholds
3. Results and Discussion
3.1. Stress–Strain Curve
3.2. Characteristics of Stress Thresholds
3.3. Characteristics of the Relationships between Peak Stress and Crack–Stress Thresholds
4. Conclusions
- (1)
- Overall, the effect of fracturing fluid–shale interaction on the stress–strain response of shale under HTHP is as follows in descending order: clay-rich L1–4 shale > carbonate-rich WF shale > quartz-rich L1–2 shale.
- (2)
- Hydration at HTHP has a significant softening effect on the stress thresholds of the reservoir shale, i.e., crack initiation stress (), crack damage stress (), and peak deviator stress (), but the softening rate varies for samples with different mineral compositions. The crack initiation stresses of quartz-rich and clay-rich shales treated with different soaking times and different soaking media remain almost unchanged in the range of 47 to 54% of the corresponding peak strength, while the crack initiation stresses of carbonate-rich shales are significantly affected.
- (3)
- The ratio of crack stress thresholds (, ) to the peak strength of the three types of shale after immersion treatment with flowback fluid (c) changed slightly compared to the unsoaked samples. The ratio of crack damage stress to the corresponding peak strength of quartz-rich shale is significantly affected by the different times of soaking with low-viscosity fracturing fluid (a) and the different viscosity fracturing fluids (a, b). However, / of the clay-rich and carbonate-rich shales are not significantly affected by the different viscosity fracturing fluids (a, b) and the different times of soaking with low-viscosity fracturing fluid (a).
Author Contributions
Funding
Data Availability Statement
Conflicts of Interest
References
- Zhao, J.; Ren, L.; Jiang, T.; Hu, D.; Wu, L.; Wu, J.; Yin, C.; Li, Y.; Hu, Y.; Lin, R.; et al. Ten years of gas shale fracturing in China: Review and prospect. Nat. Gas Ind. B 2022, 9, 158–175. [Google Scholar] [CrossRef]
- Zou, C.; Zhu, R.; Chen, Z.-Q.; Ogg, J.G.; Wu, S.; Dong, D.; Qiu, Z.; Wang, Y.; Wang, L.; Lin, S.; et al. Organic-matter-rich shales of China. Earth Sci. Rev. 2019, 189, 51–78. [Google Scholar] [CrossRef]
- Zhao, G.; Guo, Y.; Yang, C.; Wang, L.; Guo, W.; Yang, H.; Wu, X.; Liu, H. Anisotropic mechanical behavior of ultra-deep shale under high in-situ stress, a case study in the Luzhou block of the southern Sichuan Basin, China. Int. J. Rock Mech. Min. Sci. 2023, 170, 105536. [Google Scholar] [CrossRef]
- Hou, B.; Chen, M.; Cheng, W.; Diao, C. Investigation of Hydraulic Fracture Networks in Shale Gas Reservoirs with Random Fractures. Arab. J. Sci. Eng. 2016, 41, 2681–2691. [Google Scholar] [CrossRef]
- Zhao, G.; Guo, Y.; Chang, X.; Jin, P.; Hu, Y. Effects of temperature and increasing amplitude cyclic loading on the mechanical properties and energy characteristics of granite. Bull. Eng. Geol. Environ. 2022, 81, 155. [Google Scholar] [CrossRef]
- Bai, J.; Kang, Y.; Chen, Z.; You, L.; Chen, M.; Li, X. Changes in retained fracturing fluid properties and their effect on shale mechanical properties. J. Nat. Gas Sci. Eng. 2020, 75, 103163. [Google Scholar] [CrossRef]
- You, L.; Zhou, Y.; Kang, Y.; Yang, B.; Cui, Z.; Cheng, Q. Fracturing fluid retention in shale gas reservoirs:mechanisms and functions. Arab. J. Geosci. 2019, 12, 1–17. [Google Scholar] [CrossRef]
- Yan, X.; Kang, Y.; You, L.; Xu, C.; Lin, C.; Zhang, J. Drill-in fluid loss mechanisms in brittle gas shale: A case study in the Longmaxi Formation, Sichuan Basin, China. J. Pet. Sci. Eng. 2019, 174, 394–405. [Google Scholar] [CrossRef]
- Zhang, W.; Zhang, D.; Zhao, J. Experimental investigation of water sensitivity effects on microscale mechanical behavior of shale. Int. J. Rock Mech. Min. Sci. 2021, 145, 104837. [Google Scholar] [CrossRef]
- Meng, F.; Ge, H.; Yan, W.; Wang, X.; Wu, S.; Wang, J. Effect of saturated fluid on the failure mode of brittle gas shale. J. Nat. Gas Sci. Eng. 2016, 35, 624–636. [Google Scholar] [CrossRef]
- Zhou, D.; Zhang, G.; Huang, Z.; Zhao, J.; Wang, L.; Qiu, R. Changes in microstructure and mechanical properties of shales exposed to supercritical CO2 and brine. Int. J. Rock Mech. Min. Sci. 2022, 160, 105228. [Google Scholar] [CrossRef]
- Feng, G.; Wang, X.; Kang, Y.; Zhang, Z. Effect of thermal cycling-dependent cracks on physical and mechanical properties of granite for enhanced geothermal system. Int. J. Rock Mech. Min. Sci. 2020, 134, 104476. [Google Scholar] [CrossRef]
- Feng, G.; Wang, X.; Wang, M.; Kang, Y. Experimental investigation of thermal cycling effect on fracture characteristics of granite in a geothermal-energy reservoir. Eng. Fract. Mech. 2020, 235, 107180. [Google Scholar] [CrossRef]
- Feng, G.; Kang, Y.; Wang, X.; Hu, Y.; Li, X. Investigation on the Failure Characteristics and Fracture Classification of Shale Under Brazilian Test Conditions. Rock Mech. Rock Eng. 2020, 53, 3325–3340. [Google Scholar] [CrossRef]
- Feng, G.; Kang, Y.; Sun, Z.-D.; Wang, X.-C.; Hu, Y.-Q. Effects of supercritical CO2 adsorption on the mechanical characteristics and failure mechanisms of shale. Energy 2019, 173, 870–882. [Google Scholar] [CrossRef]
- Ma, T.; Yang, C.; Chen, P.; Wang, X.; Guo, Y. On the damage constitutive model for hydrated shale using CT scanning technology. J. Nat. Gas Sci. Eng. 2016, 28, 204–214. [Google Scholar] [CrossRef]
- Yang, L.; Ge, H.; Shi, X.; Cheng, Y.; Zhang, K.; Chen, H.; Shen, Y.; Zhang, J.; Qu, X. The effect of microstructure and rock mineralogy on water imbibition characteristics in tight reservoirs. J. Nat. Gas Sci. Eng. 2016, 34, 1461–1471. [Google Scholar] [CrossRef]
- Tan, J.; Hu, C.; Lyu, Q.; Feng, G.; Chen, S. Experimental investigation on the effects of different fracturing fluids on shale surface morphology. J. Pet. Sci. Eng. 2022, 212, 110356. [Google Scholar] [CrossRef]
- Taheri, A.; Zhang, Y.; Munoz, H. Performance of rock crack stress thresholds determination criteria and investigating strength and confining pressure effects. Constr. Build. Mater. 2020, 243, 118263. [Google Scholar] [CrossRef]
- Wang, S.; Huang, R.; Ni, P.; Gamage, R.P.; Zhang, M. Fracture Behavior of Intact Rock Using Acoustic Emission: Experimental Observation and Realistic Modeling. Geotech. Test. J. 2013, 36, 20120086. [Google Scholar] [CrossRef]
- Kong, R.; Feng, X.-T.; Zhang, X.; Yang, C. Study on crack initiation and damage stress in sandstone under true triaxial compression. Int. J. Rock Mech. Min. Sci. 2018, 106, 117–123. [Google Scholar] [CrossRef]
- Li, C.; Xie, H.; Wang, J. Anisotropic characteristics of crack initiation and crack damage thresholds for shale. Int. J. Rock Mech. Min. Sci. 2020, 126, 104178. [Google Scholar] [CrossRef]
- Yang, L.; Fan, C.; Wen, H.; Luo, M.; Sun, H.; Jia, C. An improved gas–liquid–solid coupling model with plastic failure for hydraulic flushing in gassy coal seam and application in borehole arrangement. Phys. Fluids 2023, 35, 036603. [Google Scholar] [CrossRef]
- Tang, M.; Wang, G.; Chen, S.; Yang, C. Crack initiation stress of brittle rock with different porosities. Bull. Eng. Geol. Environ. 2021, 80, 4559–4574. [Google Scholar] [CrossRef]
- Tang, M.; Wang, G.; Chen, S.; Yang, C. An Objective Crack Initiation Stress Identification Method for Brittle Rock Under Compression Using a Reference Line. Rock Mech. Rock Eng. 2021, 54, 4283–4298. [Google Scholar] [CrossRef]
- Hu, Y.; Zhao, C.; Zhao, J.; Wang, Q.; Zhao, J.; Gao, D.; Fu, C. Mechanisms of fracturing fluid spontaneous imbibition behavior in shale reservoir: A review. J. Nat. Gas Sci. Eng. 2020, 82, 103498. [Google Scholar] [CrossRef]
- Ündül, Ö.; Amann, F.; Aysal, N.; Plötze, M.L. Micro-textural effects on crack initiation and crack propagation of andesitic rocks. Eng. Geol. 2015, 193, 267–275. [Google Scholar] [CrossRef]
- Martin, C.D.; Chandler, N.A. The progressive fracture of Lac du Bonnet granite. Int. J. Rock Mech. Min. Sci. Geomech. Abstr. 1994, 31, 643–659. [Google Scholar] [CrossRef]
- Lajtai, E.Z.; Lajtai, V.N. The evolution of brittle fracture in rocks. J. Geol. Soc. 1974, 130, 1–16. [Google Scholar] [CrossRef]
- Xia, X.; Li, H.; Li, J.; Liu, B.; Yu, C. A case study on rock damage prediction and control method for underground tunnels subjected to adjacent excavation blasting. Tunn. Undergr. Space Technol. 2013, 35, 1–7. [Google Scholar] [CrossRef]
- Cai, M.; Kaiser, P.K.; Tasaka, Y.; Maejima, T.; Morioka, H.; Minami, M. Generalized crack initiation and crack damage stress thresholds of brittle rock masses near underground excavations. Int. J. Rock Mech. Min. Sci. 2004, 41, 833–847. [Google Scholar] [CrossRef]
- Zhao, G.; Guo, Y.; Wang, L.; Chang, X.; Yang, H.; Guo, W.; Wu, X.; Yang, C. Experimental Study on Mechanical, Brittleness, and Fracture Behavior of Deep Shales Subjected to Fracturing Fluid-Shale Interactions at Reservoir Temperature and In-Situ Stress Conditions. Rock Mech. Rock Eng. 2023, 56, 1–18. [Google Scholar] [CrossRef]
- Hua, G.; Wu, S.; Jing, Z.; Yu, X.; Xu, K.; Shi, W.; Guan, M. Rock physical and chemical alterations during the in-situ interaction between fracturing fluid and Silurian organic-rich shales in China. J. Nat. Gas Sci. Eng. 2021, 94, 104075. [Google Scholar] [CrossRef]










Disclaimer/Publisher’s Note: The statements, opinions and data contained in all publications are solely those of the individual author(s) and contributor(s) and not of MDPI and/or the editor(s). MDPI and/or the editor(s) disclaim responsibility for any injury to people or property resulting from any ideas, methods, instructions or products referred to in the content. |
© 2023 by the authors. Licensee MDPI, Basel, Switzerland. This article is an open access article distributed under the terms and conditions of the Creative Commons Attribution (CC BY) license (https://creativecommons.org/licenses/by/4.0/).
Share and Cite
Wu, J.; Guo, Y.; Huang, H.; Zhao, G.; Gou, Q.; Gui, J.; Xu, E. Effect of Hydration under High Temperature and Pressure on the Stress Thresholds of Shale. Energies 2023, 16, 7778. https://doi.org/10.3390/en16237778
Wu J, Guo Y, Huang H, Zhao G, Gou Q, Gui J, Xu E. Effect of Hydration under High Temperature and Pressure on the Stress Thresholds of Shale. Energies. 2023; 16(23):7778. https://doi.org/10.3390/en16237778
Chicago/Turabian StyleWu, Jianfa, Yintong Guo, Haoyong Huang, Guokai Zhao, Qiyong Gou, Junchuan Gui, and Ersi Xu. 2023. "Effect of Hydration under High Temperature and Pressure on the Stress Thresholds of Shale" Energies 16, no. 23: 7778. https://doi.org/10.3390/en16237778
APA StyleWu, J., Guo, Y., Huang, H., Zhao, G., Gou, Q., Gui, J., & Xu, E. (2023). Effect of Hydration under High Temperature and Pressure on the Stress Thresholds of Shale. Energies, 16(23), 7778. https://doi.org/10.3390/en16237778

