Evaluation of the Performance of Commercial High Temperature Superconducting Tapes for Dynamo Flux Pump Applications
Abstract
1. Introduction
2. Numerical Model and Validation against Experimental Results
2.1. The Volume Integral Elements Formulation (VIE) Model
2.2. Numerical Model Validation
3. Results and Discussion-Performance of Different HTS Tapes for Flux Pump Applications
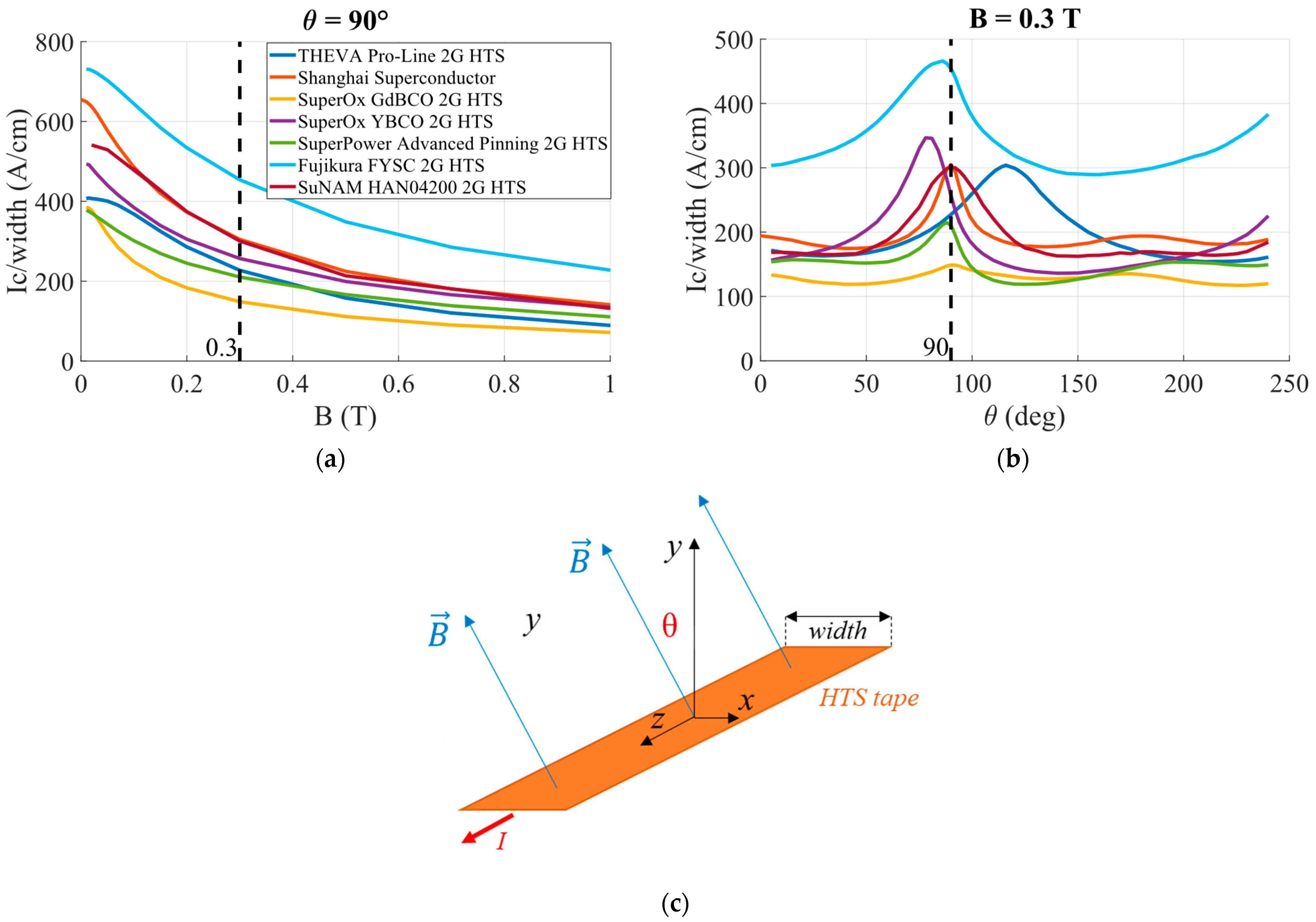
3.1. Performance Comparison of Flux Pumps Based on Different Commercial HTS Tapes at 77.5 K
- THEVA Pro-Line 2G HTS;
- Shanghai Superconductor Low Field High Temperature 2G HTS;
- SuperOx GdBCO 2G HTS;
- SuperOx YBCO 2G HTS;
- SuperPower Advanced Pinning 2G HTS;
- Fujikura FYSC 2G HTS;
- SuNAM HAN04200 2G HTS.
3.2. Impact of Operating Temperature
- Open circuit voltage;
- Limit current of the generator mode;
- Maximum output power;
- AC loss in open circuit condition;
- Maximum efficiency.
4. Conclusions
Author Contributions
Funding
Data Availability Statement
Acknowledgments
Conflicts of Interest
References
- Van de Klundert, L.J.; ten Kate, H.H. Fully superconducting rectifiers and flux pumps part 1: Realized methods for flux pumping. Cryogenics 1981, 21, 195–206. [Google Scholar] [CrossRef]
- Van de Klundert, L.J.M.; ten Kat, H.H.J. On fully superconducting rectifiers and fluxpumps. A review. Part 2: Commutation modes, characteristics and switches. Cryogenics 1981, 21, 267–277. [Google Scholar] [CrossRef][Green Version]
- Coombs, T.A. Superconducting flux pumps. J. Appl. Phys. 2019, 125, 230902. [Google Scholar] [CrossRef]
- Coombs, T.A.; Geng, J.; Fu, L.; Matsuda, K. An overview of flux pumps for HTS coils. IEEE Trans. Appl. Supercond. 2017, 27, 1–6. [Google Scholar] [CrossRef]
- Wen, Z.; Zhang, H.; Mueller, M. High Temperature Superconducting Flux Pumps for Contactless Energization. Crystals 2022, 12, 766. [Google Scholar] [CrossRef]
- Mataira, R.C.; Ainslie, M.D.; Badcock, R.A.; Bumby, C.W. Origin of the DC output voltage from a high-Tc superconducting dynamo. Appl. Phys. Lett. 2019, 114, 162601. [Google Scholar] [CrossRef]
- Ghabeli, A.; Ainslie, M.; Pardo, E.; Quéval, L.; Mataira, R. Modeling the charging process of a coil by an HTS dynamo-type flux pump. Supercond. Sci. Technol. 2021, 34, 84002. [Google Scholar] [CrossRef]
- Ghabeli, A.; Pardo, E.; Kapolka, M. 3D modeling of a superconducting dynamo-type flux pump. Sci. Rep. 2021, 11, 10296. [Google Scholar] [CrossRef]
- Ainslie, M.; Queval, L.; Mataira, R.; Badcock, R.; Bumby, C. Modelling an HTS Dynamo Using a Segregated Finite-Element Model. 2019. Available online: https://core.ac.uk/download/pdf/237398489.pdf (accessed on 13 September 2023).
- Ainslie, M.; Grilli, F.; Quéval, L.; Pardo, E.; Perez-Mendez, F.; Mataira, R.; Morandi, A.; Ghabeli, A.; Bumby, C.; Brambilla, R. A new benchmark problem for electromagnetic modelling of superconductors: The high-Tc superconducting dynamo. Supercond. Sci. Technol. 2020, 30, 105009. [Google Scholar] [CrossRef]
- Prigozhin, L.; Sokolovsky, V. Two-dimensional model of a high-Tc superconducting dynamo. IEEE Trans. Appl. Supercond. 2021, 31, 5201107. [Google Scholar] [CrossRef]
- Prigozhin, L.; Sokolovsky, V. Fast solution of the superconducting dynamo benchmark problem. Supercond. Sci. Technol. 2021, 34, 65006. [Google Scholar] [CrossRef]
- Campbell, A.M. A finite element calculation of flux pumping. Supercond. Sci. Technol. 2017, 30, 125015. [Google Scholar] [CrossRef]
- Wen, Z.; Zhang, H.; Mueller, M. Sensitivity analysis and machine learning modelling for the output characteristics of rotary HTS flux pumps. Supercond. Sci. Technol. 2021, 34, 125019. [Google Scholar] [CrossRef]
- Morandi, A.; Russo, G.; Fabbri, M.; Soldati, L. Energy balance, efficiency and operational limits of the dynamo type flux pump. Supercond. Sci. Technol. 2022, 35, 65011. [Google Scholar] [CrossRef]
- Ainslie, M.D. Numerical modelling of high-temperature superconducting dynamos: A review. Superconductivity 2022, 5, 100033. [Google Scholar] [CrossRef]
- Hoffmann, C.; Pooke, D.; Caplin, A.D. Flux Pump for HTS Magnets. IEEE Trans. Appl. Supercond. 2011, 21, 1628–1631. [Google Scholar] [CrossRef]
- Bumby, C.W.; Pantoja, A.E.; Sung, H.J.; Jiang, Z.; Kulkarni, R.; Badcock, R.A. Through-Wall Excitation of a Magnet Coil by an External-Rotor HTS Flux Pump. IEEE Trans. Appl. Supercond. 2016, 26, 500505. [Google Scholar] [CrossRef]
- Fu, L.; Matsuda, K.; Lecrevisse, T.; Iwasa, Y.; Coombs, T. A flux pumping method applied to the magnetization of YBCO superconducting coils: Frequency, amplitude and waveform characteristics. Supercond. Sci. Technol. 2016, 29, 4LT01. [Google Scholar] [CrossRef]
- Zhang, Y.; Wang, W.; Ye, H.; Wang, X.; Gao, Y.; Zhou, Q.; Liu, X.; Lei, Y. Compact Linear-Motor Type Flux Pumps with Different Wavelengths for High-Temperature Superconducting Magnets. IEEE Trans. Appl. Supercond. 2020, 30, 5000305. [Google Scholar] [CrossRef]
- Mataira, R.; Ainslie, M.; Pantoja, A.; Badcock, R.; Bumby, C. Mechanism of the high-Tc superconducting dynamo: Models andexperiment. Phys. Rev. Appl. 2020, 14, 24012. [Google Scholar] [CrossRef]
- Fu, L.; Matsuda, K.; Shen, B.; Coombs, T. HTS flux pump charging an HTS coil: Experiment and modeling. IEEE Trans. Appl. Supercond. 2021, 31, 1–5. [Google Scholar] [CrossRef]
- Geng, J.; Bumby, C.W.; Badcock, R.A. Maximising the current output from a self-switching kA-class rectifier flux pump. Supercond. Sci. Technol. 2020, 33, 45005. [Google Scholar] [CrossRef]
- Gawith, J.D.D.; Geng, J.; Li, C.; Shen, B.; Zhang, X.; Ma, J.; Coombs, T.A. A half-bridge HTS transformer–rectifier flux pump withtwo AC field-controlled switches. Supercond. Sci. Technol. 2018, 31, 85002. [Google Scholar] [CrossRef]
- Ma, J.; Geng, J.; Gawith, J.; Zhang, H.; Li, C.; Shen, B.; Dong, Q.; Yang, J.; Chen, J.; Li, Z.; et al. Rotating permanent magnets based flux pump for HTS no-insulation coil. IEEE Trans. Appl. Supercond. 2019, 29, 1–6. [Google Scholar] [CrossRef]
- Hamilton, K.; Pantoja, A.E.; Storey, J.G.; Jiang, Z.; Badcock, R.A.; Bumby, C.W. Design and performance of a “squirrel-cage” dynamo-type HTS flux pump. IEEE Trans. Appl. Supercond. 2018, 28, 1–5. [Google Scholar] [CrossRef]
- Hamilton, K.; Mataira, R.; Geng, J.; Bumby, C.; Carnegie, D.; Badcock, R. Practical estimation of HTS dynamo losses. IEEE Trans. Appl. Supercond. 2020, 30, 4703105. [Google Scholar] [CrossRef]
- Sung, H.J.; Badcock, R.A.; Jiang, Z.; Choi, J.; Park, M.; Yu, I.K. Design and Heat Load Analysis of a 12 MW HTS Wind Power Generator Module Employing a Brushless HTS Exciter. IEEE Trans. Appl. Supercond. 2016, 26, 5205404. [Google Scholar] [CrossRef]
- Tuvdensuren, O.; Sung, H.J.; Go, B.S.; Le, T.T.; Park, M.; Yu, I.K. Structural design and heat load analysis of a flux pump-based HTS module coil for a large-scale wind power generator. J. Phys. Conf. Ser. IOP Publ. 2018, 1054, 12084. [Google Scholar] [CrossRef]
- Russo, G.; Morandi, A. A Numerical Study on the Energization of the Field Coils of a Full-Size Wind Turbine with Different Types of Flux Pumps. Energies 2022, 15, 5392. [Google Scholar] [CrossRef]
- Rice, J.H.P.; Geng, J.; Bumby, C.W.; Weijers, H.W.; Wray, S.; Zhang, H.; Schoofs, F.; Badcock, R.A. Design of a 60 kA Flux Pump for Fusion Toroidal Field Coils. IEEE Trans. Appl. Supercond. 2022, 32, 5500205. [Google Scholar] [CrossRef]
- Wang, X.; Wang, W.; Gao, Y.; Lei, Y.; Ye, H.; Zhang, Y.; Zhou, Q.; Zhu, Y.; Liu, X. An HTS NI Magnet Charged by Multiple Flux Pumps: Construction and Test of the Prototype. IEEE Trans. Appl. Supercond. 2020, 30, 4602005. [Google Scholar] [CrossRef]
- Wei, J.; Wang, W.; Zhou, L.; Zhang, C.; Wang, X.; Yang, Z.; Xiong, C.; Yang, C.; Long, R.; Wu, C.; et al. Improving the central magnetic field of an HTS magnet using multiple flux pumps. IEEE Trans. Appl. Supercond. 2022, 32, 4602705. [Google Scholar] [CrossRef]
- Öztürk, Y.; Shen, B.; Williams, R.; Gawith, J.; Yang, J.; Ma, J.; Carpenter, A.; Coombs, T. Current Status in Building a Compact and Mobile HTS MRI Instrument. IEEE Trans. Appl. Supercond. 2021, 31, 1–5. [Google Scholar] [CrossRef]
- Ainslie, M.D.; Quéval, L.; Mataira, R.C.; Bumby, C.W. Modelling the frequency dependence of the open-circuit voltage of a high-T c superconducting dynamo. IEEE Trans. Appl. Supercond. 2021, 31, 4900407. [Google Scholar] [CrossRef]
- Bumby, C.W.; Phang, S.; Pantoja, A.E.; Jiang, Z.; Storey, J.G.; Sung, H.-J.; Park, M.; Badcock, R.A. Frequency dependent behavior of a dynamo-type HTS flux pump. IEEE Trans. Appl. Supercond. 2016, 27, 1–5. [Google Scholar] [CrossRef]
- Mataira, R.; Ainslie, M.D.; Badcock, R.; Bumby, C.W. Modeling of Stator Versus Magnet Width Effects in High-Tc Superconducting Dynamos. IEEE Trans. Appl. Supercond. 2020, 30, 1–6. [Google Scholar] [CrossRef]
- Pantoja, A.E.; Jiang, Z.; Badcock, R.A.; Bumby, C.W. Impact of stator wire width on output of a dynamo-type HTS flux pump. IEEE Trans. Appl. Supercond. 2016, 26, 4805208. [Google Scholar] [CrossRef]
- Ghabeli, A.; Pardo, E. Modeling of airgap influence on DC voltage generation in a dynamo-type flux pump. Supercond. Sci. Technol. 2020, 33, 35008. [Google Scholar] [CrossRef]
- Jiang, Z.; Bumby, C.W.; Badcock, R.A.; Sung, H.J.; Long, N.J.; Amemiya, N. Impact of flux gap upon dynamic resistance of a rotating HTS flux pump. Supercond. Sci. Technol. 2015, 28, 115008. [Google Scholar] [CrossRef]
- Zhou, P.; Ren, G.; Ainsile, M.; Ghabeli, A.; Zhang, S.; Zhai, Y.; Ma, G. Impact of Magnet Number on the DC Output of a Dynamo-Type HTS Flux Pump. IEEE Trans. Appl. Supercond. 2023, 33, 4603509. [Google Scholar] [CrossRef]
- Geng, J.; Matsuda, K.; Fu, L.; Fagnard, J.-F.; Zhang, H.; Zhang, X.; Shen, B.; Dong, Q.; Baghdadi, M.; A Coombs, T. Origin of dc voltage in type II superconducting flux pumps: Field, field rate of change, and current density dependence of resistivity. Phys. D Appl. Phys. 2016, 49, 11LT01. [Google Scholar] [CrossRef]
- Robinson Research Institute. Available online: http://htsdb.wimbush.eu/ (accessed on 13 September 2023).
- Wimbush, S.C.; Strickland, N.M. A Public Database of High-Temperature Superconductor Critical Current Data. IEEE Trans. Appl. Supercond. 2017, 27, 1–5. [Google Scholar] [CrossRef]
- Russo, G.; Yazdani-Asrami, M.; Scheda, R.; Morandi, A.; Diciotti, S. Artificial intelligence-based models for reconstructing the critical current and index-value surfaces of HTS tapes. Supercond. Sci. Technol. 2022, 35, 124002. [Google Scholar] [CrossRef]
- Strickland, N.M.; Hoffmann, C.; Wimbush, S.C. A 1 kA-class cryogen-free critical current characterization system for superconducting coated conductors. Rev. Sci. Instrum. 2014, 85, 113907. [Google Scholar] [CrossRef]






| Specification | Value |
|---|---|
| Width of the PM, aPM | 3.2 mm |
| Height of the PM, bPM | 12.7 mm |
| Depth of the PM, lPM | 12.7 mm |
| Remanence of the PM | 1.3 T |
| Width of the HTS tape, atape | 12 mm |
| Operating temperature | 77 K |
| External radius of the rotor, Rrotor | 35 mm |
| Airgap between the PM and the HTS tape, δ | 3.7 mm |
| Specification | Value |
|---|---|
| Width of the HTS tape, atape | 12 mm |
| Thickness of the HTS layer | 1 µm |
| Thickness of the substrate (Hastelloy) | 50 µm |
| Thickness of the Silver stabilizer layer | 2 µm |
| Thickness of the Cu stabilizer layers (at the top and the bottom of the tape) | 25 µm |
Disclaimer/Publisher’s Note: The statements, opinions and data contained in all publications are solely those of the individual author(s) and contributor(s) and not of MDPI and/or the editor(s). MDPI and/or the editor(s) disclaim responsibility for any injury to people or property resulting from any ideas, methods, instructions or products referred to in the content. |
© 2023 by the authors. Licensee MDPI, Basel, Switzerland. This article is an open access article distributed under the terms and conditions of the Creative Commons Attribution (CC BY) license (https://creativecommons.org/licenses/by/4.0/).
Share and Cite
Russo, G.; Morandi, A. Evaluation of the Performance of Commercial High Temperature Superconducting Tapes for Dynamo Flux Pump Applications. Energies 2023, 16, 7244. https://doi.org/10.3390/en16217244
Russo G, Morandi A. Evaluation of the Performance of Commercial High Temperature Superconducting Tapes for Dynamo Flux Pump Applications. Energies. 2023; 16(21):7244. https://doi.org/10.3390/en16217244
Chicago/Turabian StyleRusso, Giacomo, and Antonio Morandi. 2023. "Evaluation of the Performance of Commercial High Temperature Superconducting Tapes for Dynamo Flux Pump Applications" Energies 16, no. 21: 7244. https://doi.org/10.3390/en16217244
APA StyleRusso, G., & Morandi, A. (2023). Evaluation of the Performance of Commercial High Temperature Superconducting Tapes for Dynamo Flux Pump Applications. Energies, 16(21), 7244. https://doi.org/10.3390/en16217244
