An FEA-Assisted Decision-Making Framework for PEMFC Gasket Material Selection
Abstract
:1. Introduction
- Discovery of and validation of optimal material models (and parameters) between widely-recommended models using FEA-assisted evaluations and tensile testing results.
- Proposal of a reliable (and comprehensive) evaluation paradigm for the choice of (and validation) of material model—a multi-metric regression analysis which compares the hypereleastic models’ fitness based on a weighted averaged sum of the curve fitting errors between the simulated and real stress–strain curves of the respective models.
- Extensive empirical and descriptive deductions are presented for the material model comparison and the rationale between the material selection criteria between the RLMs.
2. Motivation, Related Works, and Literature Review
2.1. Gasket Material Selection
2.2. FEA-Assisted Decision-Making
3. FEA-Based Model/Material Selection Process
3.1. Tensile Testing Procedure
3.2. FEA Environment and Simulation Procedure
3.3. Evaluation and Decision-Making Paradigm
4. Empirical Analyses
Hyperelastic Model Evaluation for Material Selection
5. Discussions, Open Issues, and Future Works
6. Conclusions
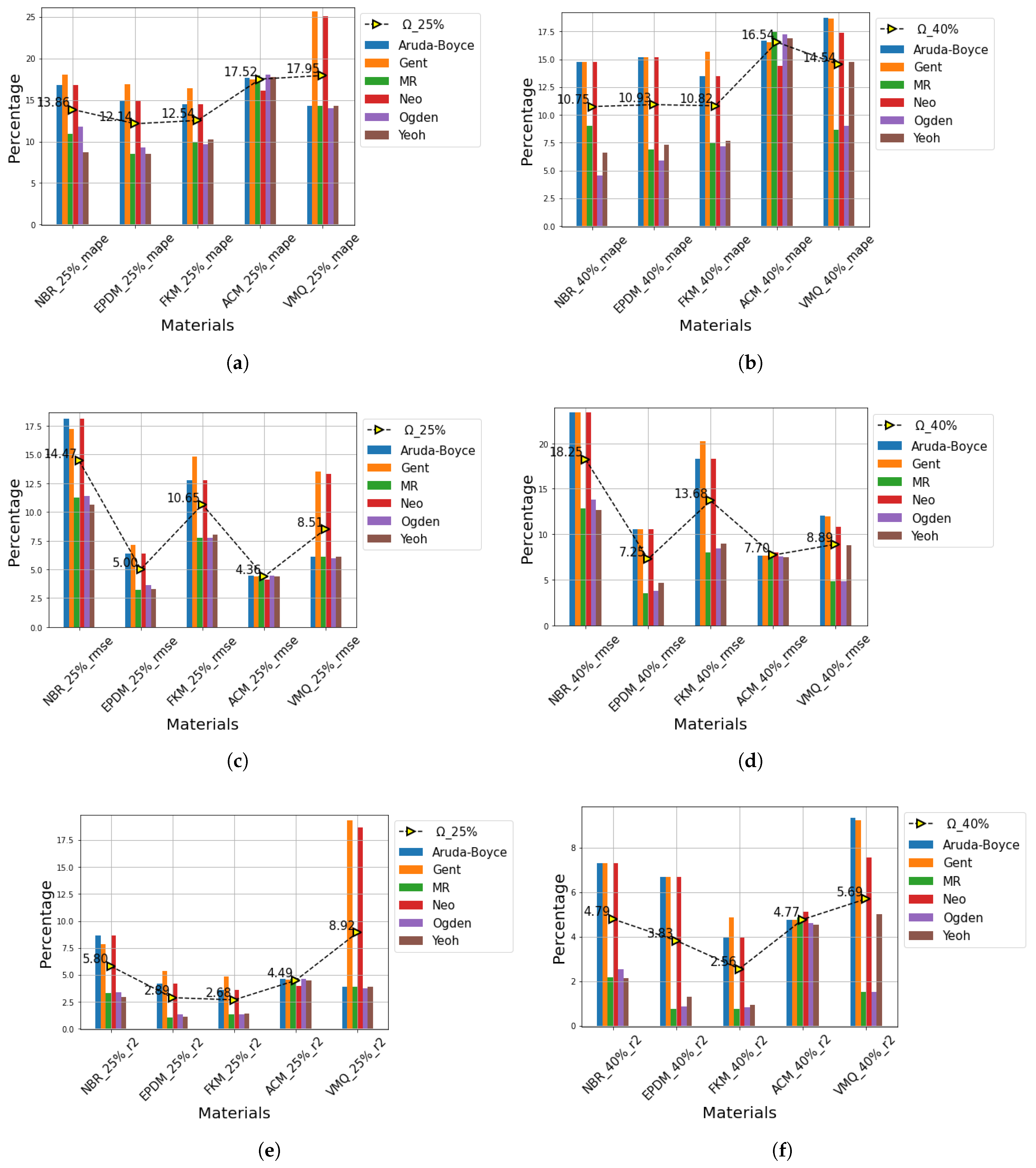
- The outputs from the MR, Ogden, and Yeoh hyperplastic models are the most compatible with the tensile data as shown in their low MAPE, RMSE, and R2 values while in contrast, the Gent, Arruda–Boyce, and Neo models are the most incompatible with the studied RLM samples.
- The proposed comprehensive decision-making metric also revealed that the Ogden, MR, and Yeoh models are clearly the most efficient models with values of 18.54%, 19.31%, and 21.96% for 40% displacement, and 22.1%, 21.7% and 21.17% for 25% displacement, respectively. In contrast, the Arruda–Boyce, Gent, and Neo models are the most inefficient models with the Gent returning the highest weighted average error of 37.48% and 38.71% for 25% and 40% displacements, respectively.
- From a consistency standpoint, the Yeoh model is the most consistent as seen in the marginal error difference amidst increasing displacement while the Arruda–Boyce model is most inconsistent as shown in the high error margin as the displacement increases from 25% to 40%.
- EPDM reveals strong superiority over the other RLM (followed by FKM and VMQ) as the displacement increases from 25% to 40%.
- Although NBR is very resilient, has a similar thermal efficiency like the EPDM, VMQ, and FKM, and is readily affordable, the poor empirical results discourage the authors to make any favorable recommendations since the available hyperelastic models lack the capacity to accurately model its behaviour.
Author Contributions
Funding
Institutional Review Board Statement
Informed Consent Statement
Data Availability Statement
Conflicts of Interest
References
- Liu, W.; Qiu, D.; Peng, L.; Yi, P.; Lai, X. Mechanical degradation of proton exchange membrane during assembly and running processes in proton exchange membrane fuel cells with metallic bipolar plates. Int. J. Energy Res. 2020, 44, 8622–8634. [Google Scholar] [CrossRef]
- Zhang, D.; Cadet, C.; Yousfi-Steiner, N.; Druart, F.; Bérenguer, C. PHM-oriented Degradation Indicators for Batteries and Fuel Cells. Fuel Cells 2017, 17, 268–276. [Google Scholar] [CrossRef]
- Bressel, M.; Hilairet, M.; Hissel, D.; Ould Bouamama, B. Remaining Useful Life Prediction and Uncertainty Quantification of Proton Exchange Membrane Fuel Cell Under Variable Load. IEEE Trans. Ind. Electron. 2016, 63, 2569–2577. [Google Scholar] [CrossRef]
- Faydi, Y.; Lachat, R.; Meyer, Y. Thermomechanical characterization of commercial Gas Diffusion Layers of a Proton Exchange Membrane Fuel Cell for high compressive pre-load sunder dynamic excitation Fuel. J. Power Sources 2016, 182, 124–130. [Google Scholar] [CrossRef]
- Basuli, U.; Jose, J.; Lee, R.H.; Yoo, Y.H.; Jeong, K.U.; Ahn, J.H.; Nah, C. Properties and degradation of the gasket component of a proton exchange membrane fuel cell–a review. J. Nanosci. Nanotechnol. 2012, 12, 7641–7657. [Google Scholar] [CrossRef]
- Bryan Hose & Gasket. All about Non-Metallic Gaskets. Available online: https://blog.bryanhose.com/all-about-non-metallic-gaskets/ (accessed on 19 September 2016).
- Mori, M.; Stropnik, R.; Sekavčnik, M.; Lotrič, A. Criticality and Life-Cycle Assessment of Materials Used in Fuel-Cell and Hydrogen Technologies. Sustainability 2021, 13, 3565. [Google Scholar] [CrossRef]
- Wu, F.; Chen, B.; Yan, Y.; Chen, Y.; Pan, M. Degradation of Silicone Rubbers as Sealing Materials for Proton Exchange Membrane Fuel Cells under Temperature Cycling. Polymers 2018, 10, 522. [Google Scholar] [CrossRef] [Green Version]
- Tan, J.; Chao, Y.J.; Yang, M.; Williams, C.T.; Van Zee, J.W. Degradation characteristics of elastomeric gasket materials in a simulated PEM fuel cell environment. J. Mater. Eng. Perform. 2008, 17, 779–785. [Google Scholar] [CrossRef] [Green Version]
- Diankai, Q.; Peng, L.; Linfa, P.; Peiyun, Y.; Lai, X.; Ni, J. Material behavior of rubber sealing for proton exchange membrane fuel cells. Int. J. Hydrogen Energy 2020, 45, 5465–5473. [Google Scholar] [CrossRef]
- Qiang, X.; Jinghui, Z.; Yanqin, C.; Shaoquan, L.; Zixi, W. Effects of gas permeation on the sealing performance of PEMFC stacks. Int. J. Hydrogen Energy 2021, 46, 36424–36435. [Google Scholar] [CrossRef]
- Aweimer, A.; Bouzid, A.H. Evaluation of interfacial and permeation leaks in gaskets and compression packing. J. Nucl. Eng. Radiat. Sci. 2019, 5, 9. [Google Scholar] [CrossRef]
- Zhang, J.; Yang, H.; Chuanjun, H.; Han, Z. Stress response and contact behavior of PEMFC during the assembly and working condition. Int. J. Hydrogen Energy 2021, 46, 30467–30478. [Google Scholar] [CrossRef]
- Gilles, M.; Erwan, V. Comparison of hyperelastic models for rubber-like materials. Rubber Chemistry and Technology. Am. Chem. Soc. 2006, 79, 835–858. [Google Scholar] [CrossRef]
- Zihan, Z.; Xihui, M.; Fengpo, D. modelling and Verification of a New Hyperelastic Model for Rubber-Like Materials. Math. Probl. Eng. 2019, 2019, 2832059. [Google Scholar] [CrossRef]
- Yaya, K.; Bechir, H. A new hyperelastic model for predicting multi-axial behavior of rubber-like materials: Formulation and computational aspects. Mech. Time-Depend. Mater. 2018, 22, 167–186. [Google Scholar] [CrossRef]
- Dal, H.; Açıkgöz, K.; Badienia, Y. On the Performance of Isotropic Hyperelastic Constitutive Models for Rubber-Like Materials: A State of the Art Review. ASME. Appl. Mech. Rev. March 2021, 73, 020802. [Google Scholar] [CrossRef]
- Meng, L.; Yang, X.; Salcedo, E.; Baek, D.-C.; Ryu, J.E.; Lu, Z.; Zhang, J. A combined modelling and Experimental Study of Tensile Properties of Additively Manufasctured Polymeric Compaosite Materials. J. Mater. Eng. Perform 2020, 29, 2597–2604. [Google Scholar] [CrossRef]
- Michael, R. Curve Fitting for Ogden, Yeoh and Polynomial Models. In Proceedings of the 7th International Scilab Users Conference, Paris, France, 28 June 2016. [Google Scholar] [CrossRef]
- Majid, S.; Ali, K.; Muhammad, Z.S.; Muhammad, F. Mechanical Characterization and FE Modelling of a Hyperelastic Material. Mater. Res. 2015, 18, 918–924. [Google Scholar] [CrossRef] [Green Version]
- Qiao, Y.; Zhang, J.; Zhang, M.; Liu, L.; Zhai, P. A Magneto-Hyperelastic Model for Silicone Rubber-Based Isotropic Magnetorheological Elastomer under Quasi-Static Compressive Loading. Polymers 2020, 12, 2435. [Google Scholar] [CrossRef]
- Ogden, R.W.; Saccomandi, G.; Sgura, I. Fitting Hyperelastic Models to Experimental Data. Comput. Mech. 2004, 34, 484–502. [Google Scholar] [CrossRef] [Green Version]
- Dal, H.; Badienia, Y.; Açikgöz, K.; Denlel, F.A. A Comparative Study on Hyperelastic Constitutive Models on Rubber: State of the Art After 2006. In Proceedings of the 11th European Conference on Constitutive Models for Rubber (ECCMR XI), Nantes, France, 25–27 June 2019; pp. 239–244. [Google Scholar] [CrossRef]
- KS M 6518:2016; Physical Test Methods for Vulcanized Rubber. Korean Industrial Standards: Seoul, Korea, 2016. Available online: https://infostore.saiglobal.com/en-gb/standards/ks-m-6518-2006-638593_saig_ksa_ksa_1507278/ (accessed on 13 January 2022).
- Cheon, K.M.; Jang, J.H.; Hur, J.W. Finite Element Analysis of Gaskets for Hydrogen Fuel Cells. J. Korean Soc. Manuf. Process Eng. 2021, 20, 95–101. [Google Scholar] [CrossRef]
- Costantini, L.; Mammi, E.; Teodori, M.; Attanasio, V. Polynomial regression models to explain the relationship between network and service key performance indicators. IET Netw. 2017, 6, 125–132. [Google Scholar] [CrossRef]
- Rastayesh, S.; Bahrebar, S.; Bahman, A.S.; Sørensen, J.D.; Blaabjerg, F. Lifetime Estimation and Failure Risk Analysis in a Power Stage Used in Wind-Fuel Cell Hybrid Energy Systems. Electronics 2019, 8, 1412. [Google Scholar] [CrossRef] [Green Version]










| Mooney Rivlin | Neo Hookean | Yeoh | ||||
|---|---|---|---|---|---|---|
| Material | 25% | 40% | 25% | 40% | 25% | 40% |
| ACM | = 1.07 | = 1.11 | = 0.60 | = 0.63 | = 0.56 | = 0.57 |
| = −0.53 | = −0.57 | = 0.55 | = 0.28 | |||
| = −1.21 | = −0.18 | |||||
| EPDM | = − 0.61 | = − 0.24 | = 1.05 | = 0.97 | = 1.24 | = 1.17 |
| = 1.90 | = 1.49 | = − 2.46 | = − 0.98 | |||
| = 6.90 | = 1.01 | |||||
| NBR | = − 3.89 | = 1.33 | = 2.28 | = 2.12 | = 3.05 | = 2.73 |
| = 7.09 | = 4.21 | = −10.13 | = −3.61 | |||
| = 30.56 | = 4.66 | |||||
| FKM | = − 0.15 | = 0.26 | = 2.22 | = 2.10 | = 2.47 | = 2.40 |
| = 2.70 | = 2.24 | = − 3.07 | = −1.54 | |||
| = 7.562 | = 1.61 | |||||
| VMQ | = 0.93 | = 0.28 | = 0.81 | = 0.82 | = 0.93 | = 0.86 |
| = | = 0.75 | = | = | |||
| = | = | |||||
| Ogden | Arruda and Boyce | Gent | ||||
| Material | 25% | 40% | 25% | 40% | 25% | 40% |
| ACM | = 0.81, = −3.04 | = 0.90, = 3.11 | NKT = 0.10 | NKT = 0.36 | E = 3.40 | E = 3.47 |
| = 0.77, = 1.49 | = 0.12, = −5.15 | N = 0.60 | N = 1.04 | = 4.16 | = 4.96 | |
| = 2.06, = 1.67 | = −0.25, = 0.08 | |||||
| EPDM | = −0.70, = −7.36 | = −0.60, = −10.37 | NKT = 2.10 | NKT = 1.94 | E = 5.98 | E = 5.83 |
| = , = −0.10 | = 0.12, = 10.07 | N = 2976 | N = 2389 | = 15.81 | = 1.28 | |
| = 0.00036, = 0.041 | = 0.07, = 10.39 | |||||
| NBR | = −1.69, = −6.51 | = 0.89, = −4.79 | NKT = 4.57 | NKT = 4.25 | E = 12.73 | E = 12.75 |
| = , = −0.04 | = −2.92, = −9.60 | N = 65.5 | N = 173,211 | = 15.81 | = 4215 | |
| = , = −0.04 | = −1.95, = 4.46 | |||||
| FKM | = −3.50, = −6.10 | = −44.51, = −5.22 | NKT = 4.45 | NKT = 4.19 | E = 12.76 | E = 11.81 |
| = 33.56, = 0.13 | = 26.34, = 0.099 | N = 232,248 | N = 544,990 | = 15.82 | = 16.99 | |
| = 4.02, = −3.74 | = 43.31, = −5.18 | |||||
| VMQ | = 0.00052, = 0.14 | = −8.99, −0.15 | NKT = 1.83 | NKT = 0.87 | E = 4.40 | E = 4.76 |
| = 0.00026, = 0.178 | = −17.35, = −0.14 | N = 31.61 | N = 1.63 | = 3.53 | = 1.63 | |
| = 2.01, = 1.87 | = −3.92, = −0.074 | |||||
Publisher’s Note: MDPI stays neutral with regard to jurisdictional claims in published maps and institutional affiliations. |
© 2022 by the authors. Licensee MDPI, Basel, Switzerland. This article is an open access article distributed under the terms and conditions of the Creative Commons Attribution (CC BY) license (https://creativecommons.org/licenses/by/4.0/).
Share and Cite
Cheon, K.-M.; Akpudo, U.E.; Kareem, A.B.; Nwabufo, O.C.; Jeon, H.-R.; Hur, J.-W. An FEA-Assisted Decision-Making Framework for PEMFC Gasket Material Selection. Energies 2022, 15, 2580. https://doi.org/10.3390/en15072580
Cheon K-M, Akpudo UE, Kareem AB, Nwabufo OC, Jeon H-R, Hur J-W. An FEA-Assisted Decision-Making Framework for PEMFC Gasket Material Selection. Energies. 2022; 15(7):2580. https://doi.org/10.3390/en15072580
Chicago/Turabian StyleCheon, Kang-Min, Ugochukwu Ejike Akpudo, Akeem Bayo Kareem, Okwuosa Chibuzo Nwabufo, Hyeong-Ryeol Jeon, and Jang-Wook Hur. 2022. "An FEA-Assisted Decision-Making Framework for PEMFC Gasket Material Selection" Energies 15, no. 7: 2580. https://doi.org/10.3390/en15072580
APA StyleCheon, K.-M., Akpudo, U. E., Kareem, A. B., Nwabufo, O. C., Jeon, H.-R., & Hur, J.-W. (2022). An FEA-Assisted Decision-Making Framework for PEMFC Gasket Material Selection. Energies, 15(7), 2580. https://doi.org/10.3390/en15072580

