Numerical Simulation of Ventilation Performance in Mushroom Solar Greenhouse Design
Abstract
:1. Introduction
2. Theories and Methods
2.1. The Experimental Greenhouse
2.2. Geometry Model and Meshing
2.3. Governing Equations
2.4. Numerical Details
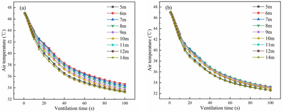
2.5. Experimental Verification
3. Results
3.1. Effect of Orientation Arrangement of Cultivation Racks
3.2. Effect of Horizontal Spacing of Cultivation Racks
3.3. Effect of Vertical Spacing of Cultivation Racks
3.4. Ventilation Design of Clustered Greenhouse Park
4. Discussion
5. Conclusions
Author Contributions
Funding
Institutional Review Board Statement
Informed Consent Statement
Data Availability Statement
Conflicts of Interest
References
- Tong, G.; Christopher, D.M.; Li, B. Numerical modelling of temperature variations in a Chinese solar greenhouse. Comput. Electron. Agric. 2009, 68, 129–139. [Google Scholar] [CrossRef]
- Majdoubi, H.; Boulard, T.; Fatnassi, H.; Bouirden, L. Airflow and microclimate patterns in a one-hectare canary type greenhouse: An experimental and CFD assisted study. Agric. For. Meteorol. 2019, 149, 1050–1062. [Google Scholar] [CrossRef]
- Li, H.; Li, Y.; Yue, X.; Liu, X.; Tian, S.; Li, T. Evaluation of airflow pattern and thermal behavior of the arched greenhouses with designed roof ventilation scenarios using CFD simulation. PLoS ONE 2020, 15, e0239851. [Google Scholar] [CrossRef]
- Liu, X.; Wu, X.; Xia, T.; Fan, Z.; Shi, W.; Li, Y.; Li, T. New insights of designing thermal insulation and heat storage of Chinese solar greenhouse in high latitudes and cold regions. Energy 2022, 242, 122953. [Google Scholar] [CrossRef]
- Zhang, X.; Wang, H.; Zou, Z.; Wang, S. CFD and weighted entropy based simulation and optimisation of Chinese Solar Greenhouse temperature distribution. Biosyst. Eng. 2016, 142, 12–26. [Google Scholar] [CrossRef]
- Choab, N.; Allouhi, A.; Maakoul, A.E.; Kousksou, T.; Saadeddine, S.; Jamil, A. Review on greenhouse microclimate and application: Design parameters, thermal modeling and simulation, climate controlling technologies. Sol. Energy 2019, 191, 109–137. [Google Scholar] [CrossRef]
- Xu, F.; Shang, C.; Li, H.; Xue, X.; Sun, W.; Chen, H.; Li, Y.; Zhang, Z.; Li, X.; Guo, W. Comparison of thermal and light performance in two typical Chinese solar greenhouses in Beijing. Int. J. Agric. Biol. Eng. 2019, 12, 24–32. [Google Scholar] [CrossRef]
- Wu, X.; Liu, X.; Yue, X.; Xu, H.; Li, T.; Li, Y. Effect of the ridge position ratio on the thermal environment of the Chinese solar greenhouse. R. Soc. Open Sci. 2021, 8, 201707. [Google Scholar] [CrossRef]
- Tong, G.; Christopher, D.M.; Zhao, R.; Wang, J. Effect of location and distribution of insulation layers on the dynamic thermal performance of Chinese solar greenhouse walls. Appl. Eng. Agric. 2014, 30, 457–469. [Google Scholar]
- Cao, K.; Xu, H.; Zhang, R.; Xu, D.; Yan, L.; Sun, Y.; Xia, L.; Zhao, J.; Zou, Z.; Bao, E. Renewable and sustainable strategies for improving the thermal environment of Chinese solar greenhouses. Energy Build. 2019, 202, 109414. [Google Scholar] [CrossRef]
- Ma, Y.; Li, X.; Fu, Z.; Zhang, L. Structural design and thermal performance simulation of shade roof of double-slope greenhouse for mushroom-vegetable cultivation. Int. J. Agric. Biol. Eng. 2019, 12, 126–133. [Google Scholar] [CrossRef]
- Zheng, D.; Wang, J.; Chen, Z.; Baleta, J.; Sundén, B. Performance analysis of a plate heat exchanger using various nanofluids. Int. J. Heat Mass Transf. 2020, 158, 119993. [Google Scholar] [CrossRef]
- Wang, J.; Li, G.; Li, T.; Zeng, M.; Sundén, B. Effect of various surfactants on stability and thermophysical properties of nanofluids. J. Therm. Anal. Calorim. 2021, 143, 4057–4070. [Google Scholar] [CrossRef]
- Zheng, D.; Yang, J.; Wang, J.; Kabelac, S.; Sundén, B. Analyses of thermal performance and pressure drop in a plate heat exchanger filled with ferrofluids under a magnetic field. Fuel 2021, 293, 120432. [Google Scholar] [CrossRef]
- Wang, J.; Li, G.; Zhu, H.; Luo, J.; Sundén, B. Experimental investigation on convective heat transfer of ferrofluids inside a pipe under various magnet orientations. Int. J. Heat Mass Transf. 2019, 132, 407–419. [Google Scholar] [CrossRef]
- Chen, Z.; Zheng, D.; Wang, J.; Chen, L.; Sundén, B. Experimental investigation on heat transfer characteristics of various nanofluids in an indoor electric heater. Renew. Energy 2020, 147, 1011–1018. [Google Scholar] [CrossRef]
- Amani, M.; Foroushani, S.; Sultan, M.; Bahrami, M. Comprehensive review on dehumidification strategies for agricultural greenhouse applications. Appl. Therm. Eng. 2020, 181, 115979. [Google Scholar] [CrossRef]
- Chan, K.L.; Mo, C.; Shin, K.Y.; Im, Y.H.; Yoon, S.W. A Study of the effects of enhanced uniformity control of greenhouse environment variables on crop growth. Energies 2019, 12, 091749. [Google Scholar]
- McCartney, L.; Lefsrud, M.G. Field trials of the natural ventilation augmented cooling (NVAC) greenhouse. Biosyst. Eng. 2018, 174, 159–172. [Google Scholar] [CrossRef]
- Kittas, C.; Bartzanas, T. Greenhouse microclimate and dehumidification effectiveness under different ventilator configurations. Build. Environ. 2007, 42, 3774–3784. [Google Scholar] [CrossRef]
- Limtrakarn, W.; Boonmongkol, P.; Chompupoung, A.; Rungprateepthaworn, K.; Kruenate, J.; Dechaumphai, P. Computational fluid dynamics modeling to improve natural flow rate and sweet pepper productivity in greenhouse. Adv. Mech. Eng. 2012, 4, 158563. [Google Scholar] [CrossRef]
- Bournet, P.E.; Ould Khaoua, S.A.; Boulard, T. Numerical prediction of the effect of vent arrangements on the ventilation and energy transfer in a multi-span glasshouse using a bi-band radiation model. Biosyst. Eng. 2007, 98, 224–234. [Google Scholar] [CrossRef]
- Villagrá, E.A.; Baeza Romero, E.J.; Bojacá, C.R. Transient CFD analysis of the natural ventilation of three types of greenhouses used for agricultural production in a tropical mountain climate. Biosyst. Eng. 2019, 188, 288–304. [Google Scholar] [CrossRef]
- He, K.; Chen, D.; Sun, L.; Huang, Z.; Liu, Z. Effects of vent configuration and span number on greenhouse microclimate under summer conditions in eastern China. Int. J. Vent. 2015, 13, 381–396. [Google Scholar] [CrossRef]
- Bartzanas, T.; Boulard, T.; Kittas, C. Effect of vent arrangement on windward ventilation of a tunnel greenhouse. Biosyst. Eng. 2004, 88, 479–490. [Google Scholar] [CrossRef]
- Pakari, A.; Ghani, S. Airflow assessment in a naturally ventilated greenhouse equipped with wind towers: Numerical simulation and wind tunnel experiments. Energy Build. 2019, 199, 1–11. [Google Scholar] [CrossRef]
- Zhang, G.; Fu, Z.; Yang, M.; Liu, X.; Dong, Y.; Li, X. Nonlinear simulation for coupling modeling of air humidity and vent opening in Chinese solar greenhouse based on CFD. Comput. Electron. Agric. 2019, 162, 337–347. [Google Scholar] [CrossRef]
- Al-Helal, I.M.; Waheeb, S.A.; Ibrahim, A.A. Modified thermal model to predict the natural ventilation of greenhouses. Energy Build. 2015, 99, 1–8. [Google Scholar] [CrossRef]
- Han, J.H.; Kwon, H.J.; Yoon, J.Y.; Kim, K.; Nam, S.W.; Son, J.E. Analysis of the thermal environment in a mushroom house using sensible heat balance and 3-D computational fluid dynamics. Biosyst. Eng. 2009, 104, 417–424. [Google Scholar] [CrossRef]
- Zhang, Y.; Kacira, M.; An, L. A CFD study on improving air flow uniformity in indoor plant factory system. Biosyst. Eng. 2016, 147, 193–205. [Google Scholar] [CrossRef]
- Baek, M.S.; Kwon, S.Y.; Lim, J.H. Improvement of the crop growth rate in plant factory by promoting air flow inside the cultivation. Int. J. Smart Home 2016, 10, 63–74. [Google Scholar] [CrossRef]
- Kim, K.; Yoon, J.Y.; Kwon, H.J.; Han, J.H.; Son, J.E.; Nam, S.W.; Giacomelli, G.A.; Lee, I.B. 3-D CFD analysis of relative humidity distribution in greenhouse with a fog cooling system and refrigerative dehumidifiers. Biosyst. Eng. 2008, 100, 245–255. [Google Scholar] [CrossRef]
- Ryu, K.J.; Son, J.H.; Han, C.W.; Nah, K.D. A study on the design of air conditioning system in the mushroom cultivation greenhouse. J. Korea Acad. -Ind. Coop. Soc. 2017, 18, 743–750. [Google Scholar]
- Xia, T.; Li, Y.; Wu, X.; Fan, Z.; Shi, W.; Liu, X.; Li, T. Performance of a new active solar heat storage–release system for Chinese assembled solar greenhouses used in high latitudes and cold regions. Energy Reports. 2022, 8, 784–797. [Google Scholar] [CrossRef]
- Nebbali, R.; Roy, J.C.; Boulard, T. Dynamic simulation of the distributed radiative and convective climate within a cropped greenhouse. Renew. Energy 2012, 43, 111–129. [Google Scholar] [CrossRef]















| Materials | Density (kg·m−3) | Heat Conductivity Coefficient (W·m−1·K−1) | Specific Heat (J·kg−1·K−1) |
|---|---|---|---|
| Air | 1.22 | 0.0242 | 1006.43 |
| PE plastic film | 923 | 0.38 | 2300 |
| EPS | 9 | 0.032 | 1246 |
| Soil | 1900 | 2.0 | 2200 |
| North-South Vertical Arrangement | East-West Horizontal Arrangement | |
|---|---|---|
| Length (m) | 8 | 58 |
| Number (row) | 29 | 4 |
| Height (cm) | 25 | 25 |
| Order | A | B | C | D | E | F | G |
|---|---|---|---|---|---|---|---|
| Horizontal spacing (m) | 0.6 | 0.7 | 0.8 | 0.9 | 1.0 | 1.1 | 1.2 |
| Racks number | 20 | 19 | 18 | 17 | 16 | 15 | 15 |
| Order | A | B | C | D | E | F |
|---|---|---|---|---|---|---|
| Vertical spacing (cm) | 26 | 27 | 28 | 29 | 30 | 31 |
| Height of cultivation rack (m) | 2.18 | 2.26 | 2.34 | 2.42 | 2.50 | 2.58 |
Publisher’s Note: MDPI stays neutral with regard to jurisdictional claims in published maps and institutional affiliations. |
© 2022 by the authors. Licensee MDPI, Basel, Switzerland. This article is an open access article distributed under the terms and conditions of the Creative Commons Attribution (CC BY) license (https://creativecommons.org/licenses/by/4.0/).
Share and Cite
Li, Y.; Sun, F.; Shi, W.; Liu, X.; Li, T. Numerical Simulation of Ventilation Performance in Mushroom Solar Greenhouse Design. Energies 2022, 15, 5899. https://doi.org/10.3390/en15165899
Li Y, Sun F, Shi W, Liu X, Li T. Numerical Simulation of Ventilation Performance in Mushroom Solar Greenhouse Design. Energies. 2022; 15(16):5899. https://doi.org/10.3390/en15165899
Chicago/Turabian StyleLi, Yiming, Fujun Sun, Wenbin Shi, Xingan Liu, and Tianlai Li. 2022. "Numerical Simulation of Ventilation Performance in Mushroom Solar Greenhouse Design" Energies 15, no. 16: 5899. https://doi.org/10.3390/en15165899
APA StyleLi, Y., Sun, F., Shi, W., Liu, X., & Li, T. (2022). Numerical Simulation of Ventilation Performance in Mushroom Solar Greenhouse Design. Energies, 15(16), 5899. https://doi.org/10.3390/en15165899

