Integration of Switched Reluctance Generator in a Wind Energy Conversion System: An Overview of the State of the Art and Challenges
Abstract
1. Introduction
2. Modelling of Wind Energy Conversion System
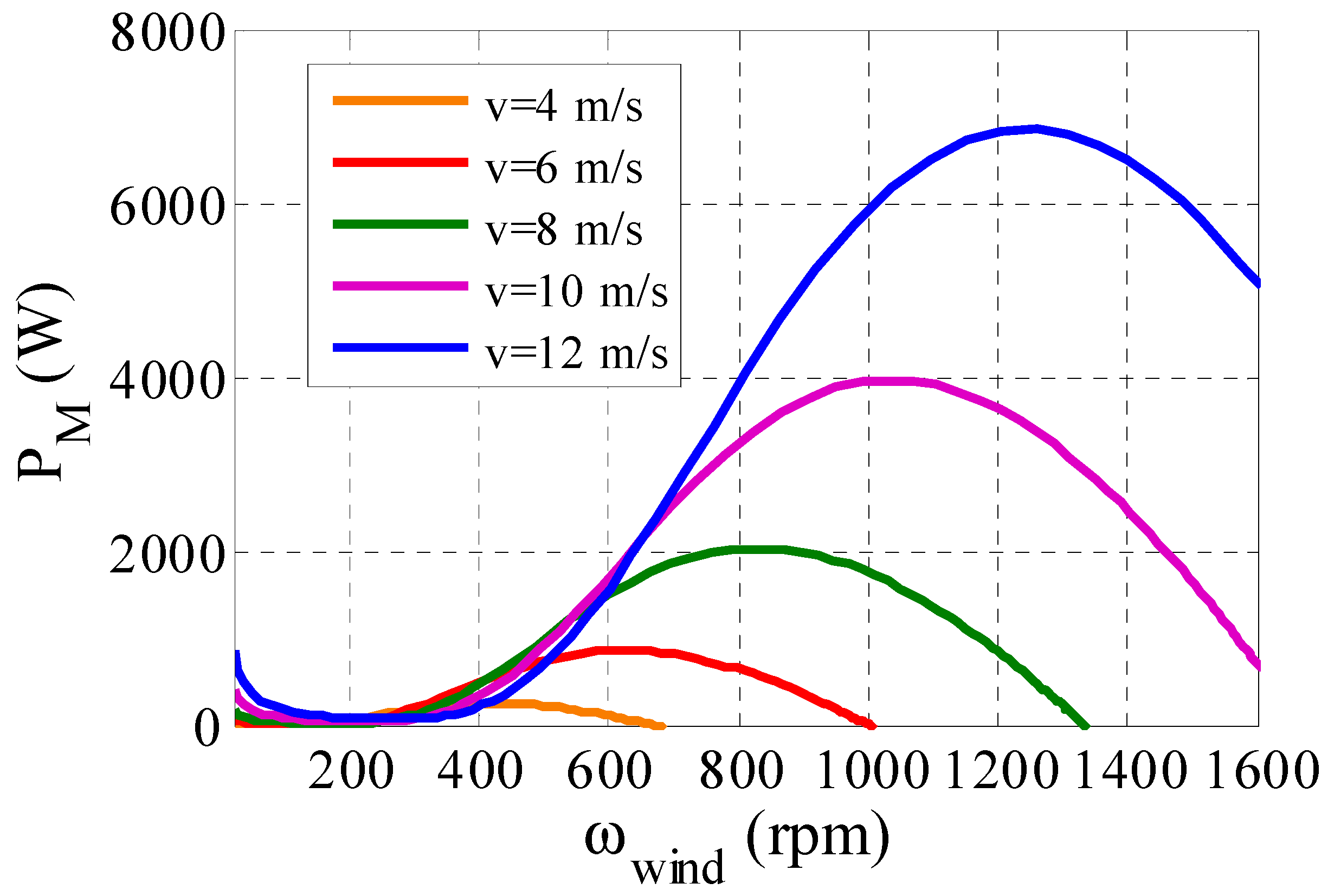
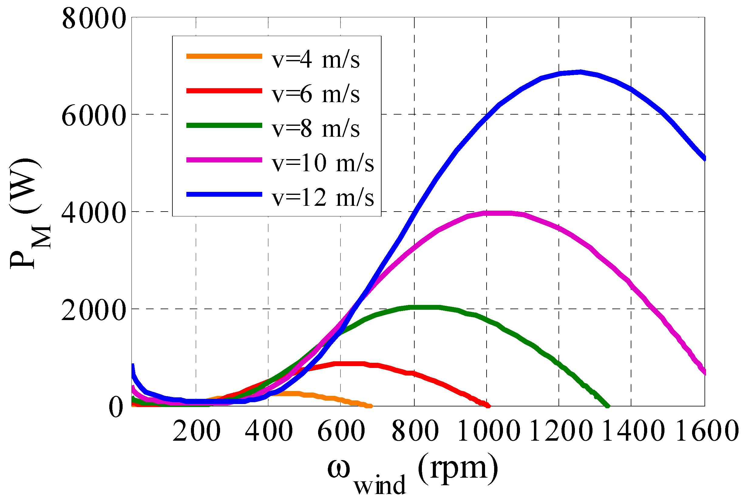
2.1. Modelling of the Wind Turbine
2.2. Modelling of Switched Reluctance Generator
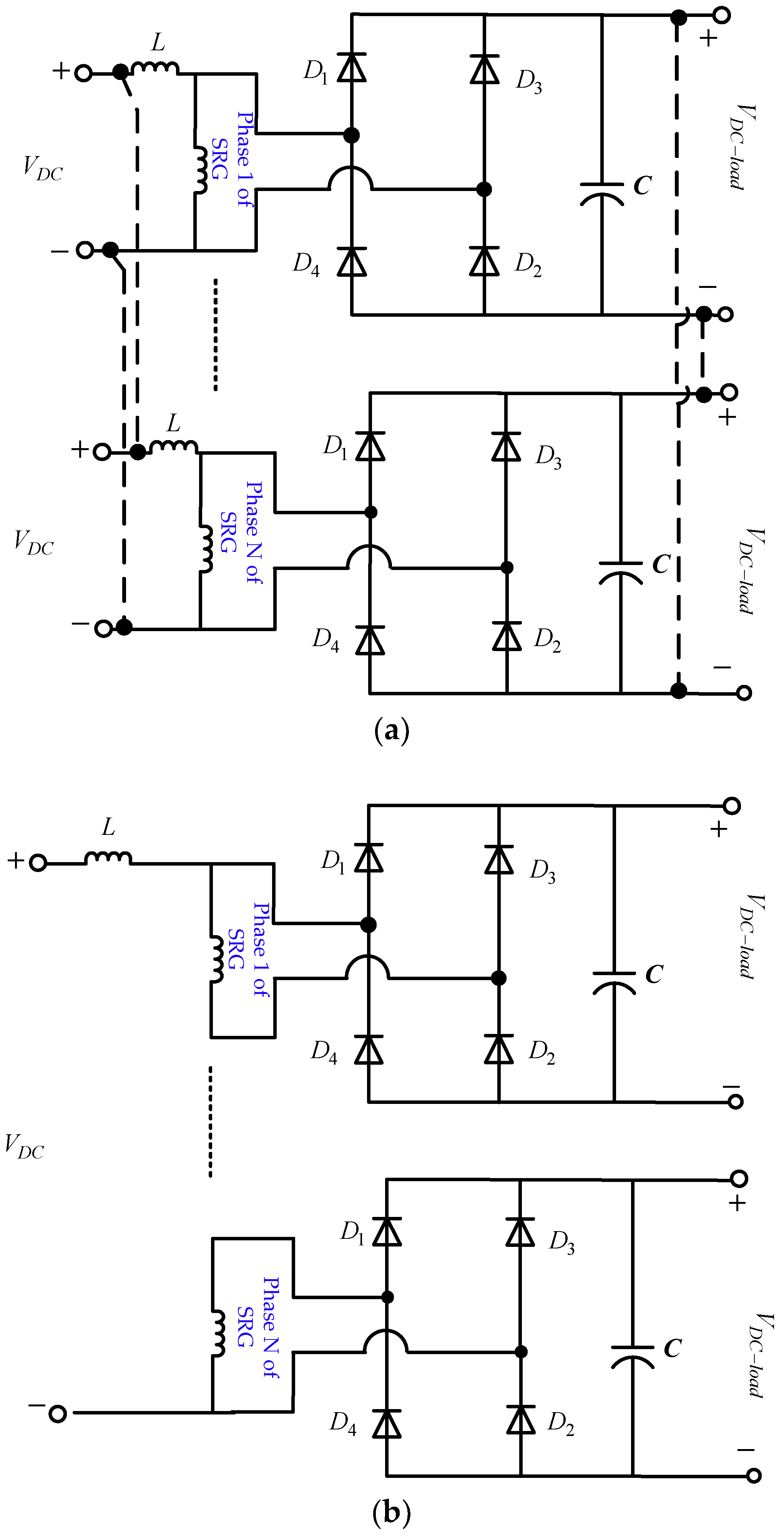
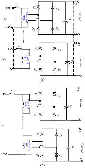
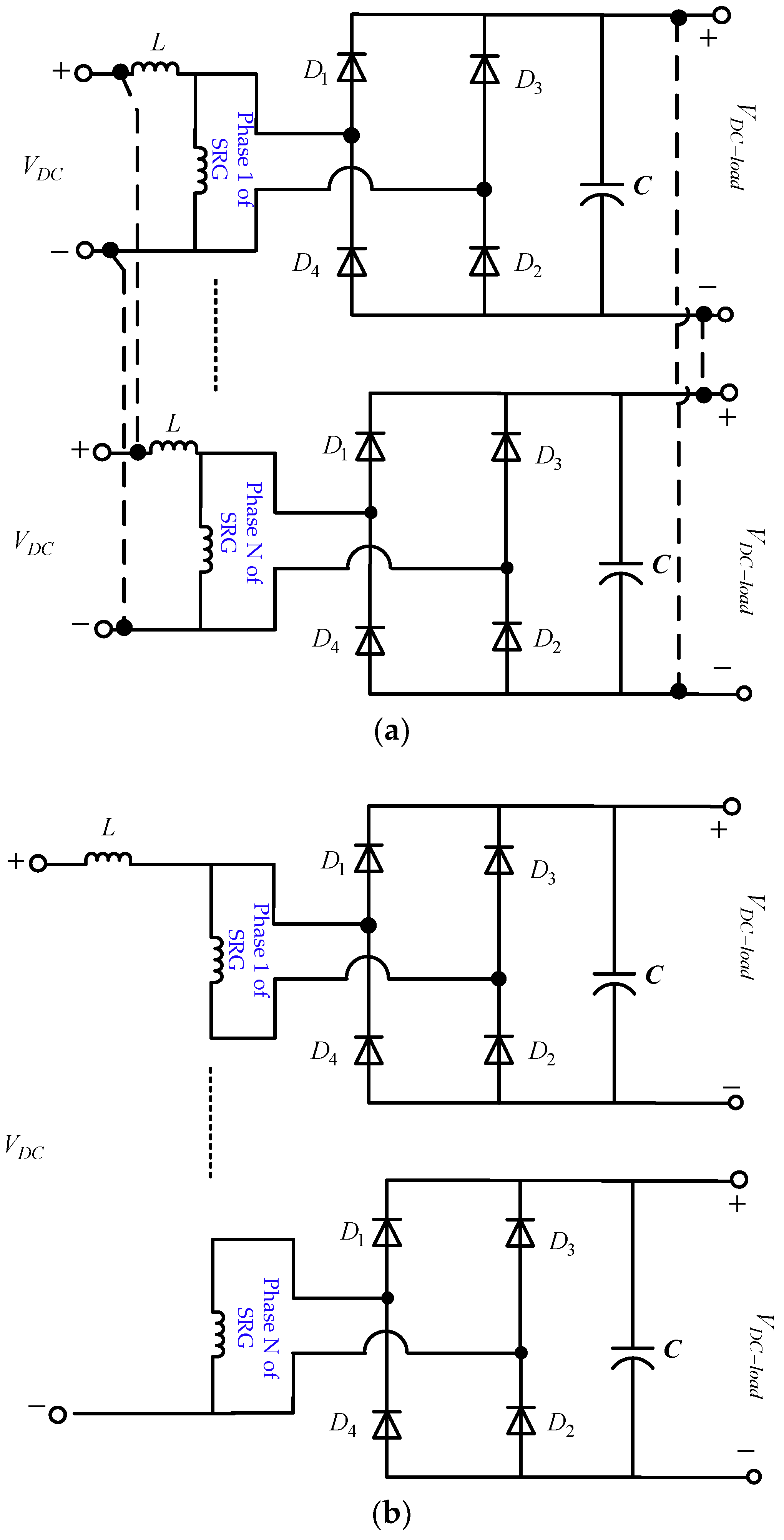
3. Converter Topologies of SRGs in WECS
- Lower demagnetization voltage at high rotational speed due to constant voltage power supply.
- Necessity of a large capacitor on the power supply to filter the ripple of the voltage.
- Conduction losses increase through the diodes in the generation mode due to the higher peak currents.
- Only one switch is used per phase with separate phase control.
- Fast demagnetization capability with one switch in each phase.
- Only one power supply is required for gate drive circuits.
4. Advanced Control Techniques Overview
4.1. Control Strategy
4.1.1. Power Control Strategies
4.1.2. Voltage Control Strategies
- The CC-PT control approach can regulate the output voltage using two or more predefined control pulse combinations. This method has advantages in terms of simplicity of circuit structure and the elimination of a compensation network.
- The method of CC-PT control can achieve a fast start-up response without overshoot
- The current in the start-up is reduced, which makes the system more reliable and economical. The output voltage ripple is lower than 5% of the nominal value.
4.1.3. Torque Control Strategies
4.2. Control Strategy of SRG Connected to the Grid
5. Multi-Objective Optimization of SRG in WECS
6. Conclusions and Outlook
Author Contributions
Funding
Institutional Review Board Statement
Informed Consent Statement
Data Availability Statement
Conflicts of Interest
References
- Chen, H.; Zuo, Y.; Chau, K.T.; Zhao, W.; Lee, C.H. Modern electric machines and drives for wind power generation: A review of opportunities and challenges. IET Renew. Power Gener. 2021, 15, 1864–1887. [Google Scholar] [CrossRef]
- Cheng, M.; Zhu, Y. The state of the art of wind energy conversion systems and technologies: A review. Energy Convers. Manag. 2014, 88, 332–347. [Google Scholar] [CrossRef]
- Tsai, C.W.; Lin, C.L.; Huang, C.H. Microbrushless DC motor control design based on real-coded structural genetic algorithm. IEEE/ASME Trans. Mechatron. 2010, 16, 151–159. [Google Scholar] [CrossRef]
- Zhang, Z.; Yan, Y.; Tao, Y. A new topology of low speed doubly salient brushless DC generator for wind power generation. IEEE Trans. Magn. 2011, 48, 1227–1233. [Google Scholar] [CrossRef]
- Sethuraman, L.; Dykes, K.L. GeneratorSE: A Sizing Tool for Variable-Speed Wind Turbine Generators (No. NREL/TP-5000-66462); National Renewable Energy Lab (NREL): Golden, CO, USA, 2017. [Google Scholar] [CrossRef]
- Han, P.; Cheng, M.; Ademi, S.; Jovanovic, M.G. Brushless doubly-fed machines: Opportunities and challenges. Chin. J. Electr. Eng. 2018, 4, 1–17. [Google Scholar] [CrossRef]
- Strous, T.D.; Polinder, H.; Ferreira, J.A. Brushless doubly-fed induction machines for wind turbines: Developments and research challenges. IET Electr. Power Appl. 2017, 11, 991–1000. [Google Scholar] [CrossRef]
- Muller, S.; Deicke, M.; De Doncker, R.W. Doubly fed induction generator systems for wind turbines. IEEE Ind. Appl. Mag. 2002, 8, 26–33. [Google Scholar] [CrossRef]
- Ademi, S.; Jovanović, M.G.; Hasan, M. Control of brushless doubly-fed reluctance generators for wind energy conversion systems. IEEE Trans. Energy Convers. 2015, 30, 596–604. [Google Scholar] [CrossRef]
- Gupta, A.; Jain, D.K.; Dahiya, S. Some investigations on recent advances in wind energy conversion systems. In Proceedings of the 2012 IACSIT Coimbatore Conferences, IPCSIT, Coimbatore, India, 18–19 February 2012; pp. 47–52. [Google Scholar]
- Jain, A.; Shankar, S.; Vanitha, V.J.J.O.G.E. Power generation using permanent magnet synchronous generator (PMSG) based variable speed wind energy conversion system (WECS): An overview. J. Green Eng. 2017, 7, 477–504. [Google Scholar] [CrossRef]
- Yaramasu, V.; Wu, B.; Sen, P.C.; Kouro, S.; Narimani, M. High-power wind energy conversion systems: State-of-the-art and emerging technologies. Proc. IEEE 2015, 103, 740–788. [Google Scholar] [CrossRef]
- Chatterjee, S.; Chatterjee, S. Review on the techno-commercial aspects of wind energy conversion system. IET Renew. Power Gener. 2018, 12, 1581–1608. [Google Scholar] [CrossRef]
- Okundamiya, M.S. Power electronics for grid integration of wind power generation system. J. Commun. Technol. Electron. 2016, 9, 10–16. [Google Scholar] [CrossRef]
- Lebsir, A.; Bentounsi, A.; Benbouzid, M.; Mangel, H. Electric generators fitted to wind turbine systems: An up-to-date comparative study. J. Electr. Syst. 2015, 11, 281–295. [Google Scholar]
- Isfahani, A.H.; Fahimi, B. Comparison of mechanical vibration between a double-stator switched reluctance machine and a conventional switched reluctance machine. IEEE Trans. Magn. 2014, 50, 293–296. [Google Scholar] [CrossRef]
- Cui, X.; Sun, J.; Gan, C.; Gu, C.; Zhang, Z. Optimal design of saturated switched reluctance machine for low speed electric vehicles by subset quasi-orthogonal algorithm. IEEE Access 2019, 7, 101086–101095. [Google Scholar] [CrossRef]
- Chen, H.; Gu, J.J. Switched reluctance motor drive with external rotor for fan in air conditioner. IEEE/ASME Trans. Mechatron 2012, 18, 1448–1458. [Google Scholar] [CrossRef]
- Touati, Z.; Mahmoud, I.; Khedher, A. Hysteresis Current Control of Switched Reluctance Generator. In Proceedings of the 2020 11th International Renewable Energy Congress (IREC), Hammamet, Tunisia, 29–31 October 2020. [Google Scholar] [CrossRef]
- Lobato, P.; Dente, J.A.; Martins, J.F.; Pires, A.J. Short flux-paths in switched reluctance generators for direct drive wind energy converters. In Proceedings of the 2015 9th International Conference on Compatibility and Power Electronics (CPE), Costa da Caparica, Portugal, 24–26 June 2015; pp. 307–311. [Google Scholar]
- Lobato, P.; Dente, J.A.; Martins, J.F.; Pires, A.J. Scale models formulation of switched reluctance generators for low speed energy converters. IET Electr. Power Appl. 2015, 9, 652–659. [Google Scholar] [CrossRef]
- Xiong, L.; Xu, B.; Gao, H.; Xu, L. A novel algorithm of switched reluctance generator for maximum power point tracking in wind turbine application. In Proceedings of the 2009 International Conference on Sustainable Power Generation and Supply, Nanjing, China, 6–7 April 2009; pp. 1–5. [Google Scholar]
- Rahmanian, E.; Akbari, H.; Sheisi, G.H. Maximum power point tracking in grid connected wind plant by using intelligent controller and switched reluctance generator. IEEE Trans. Sustain. Energy 2017, 8, 1313–1320. [Google Scholar] [CrossRef]
- Essoussi, I.M.; Bouallegue, A.; Khedher, A. 3 kw wind turbine emulator implementation on FPGA using matlab/simulink. Int. J. Renew. Energy Res. 2015, 5, 1154–1163. [Google Scholar] [CrossRef]
- Essoussi, I.M.; Bouallegue, A.; Khedher, A. Design and implementation of constant wind speed turbine emulator using Matlab/Simulink and FPGA. In Proceedings of the 2014 Ninth International Conference on Ecological Vehicles and Renewable Energies (EVER), Monte-Carlo, Monaco, 25–27 March 2014. [Google Scholar] [CrossRef]
- Teekaraman, Y. Implementation of Control Variables to Exploit Output Power for SRGs in Single Pulse Mode Operation. Int. J. Eng. 2016, 29, 505–513. [Google Scholar] [CrossRef]
- Sunan, E.; Kucuk, F.; Raza, K.S.; Goto, H.; Guo, H.; Ichinokura, O. Torque ripple minimization and maximum power point tracking of a permanent magnet reluctance generator for wind energy conversion system. J. Renew. Sustain. Energy 2013, 5, 013114. [Google Scholar] [CrossRef]
- Touati, Z.; Mahmoud, I.; Khedher, A. Nonlinear Modelling of Switched Reluctance Machine. In Proceedings of the 2019 International Conference on Signal, Control and Communication (SCC), Hammamet, Tunisia, 16–18 December 2019; pp. 256–261. [Google Scholar]
- Chen, H.; Zhang, X.; Xu, Y. Modeling, simulation, and experiment of switched reluctance ocean current generator system. Adv. Mech. Eng. 2013, 5, 261241. [Google Scholar] [CrossRef]
- Heese, T.; Pyrhönen, J. Design of a Switched Reluctance Generator; U.S. Department of Energy Office of Scientific and Technical Information: Lappeenranta, Finland, September 1996.
- Gao, H.; Salmasi, F.R.; Ehsani, M. Inductance model-based sensorless control of the switched reluctance motor drive at low speed. IEEE Trans. Power Electron. 2004, 19, 1568–1573. [Google Scholar] [CrossRef]
- Han, S.; Diao, K.; Sun, X. Overview of multi-phase switched reluctance motor drives for electric vehicles. Adv. Mech. Eng. 2021, 13, 168781402110451. [Google Scholar] [CrossRef]
- Touati, Z.; Pereira, M.; Araújo, R.E.; Khedher, A. Improvement of Steady State Performance of Voltage Control in Switched Reluctance Generator: Experimental Validation. Machines 2022, 10, 103. [Google Scholar] [CrossRef]
- Chen, H.C.; Wang, W.A.; Huang, B.W. Integrated driving/charging/discharging battery-powered four-phase switched reluctance motor drive with two current sensors. IEEE Trans. Power Electron. 2018, 34, 5019–5022. [Google Scholar] [CrossRef]
- Sarr, A.; Bahri, I.; Berthelot, E.; Kebe, A.; Diallo, D. Switched Reluctance Generator for Low Voltage DC Microgrid Operation: Experimental Validation. Energies 2020, 13, 3032. [Google Scholar] [CrossRef]
- Chau, K.T. Electric Vehicle Machines and Drives: Design, Analysis and Application; John Wiley & Sons: Singapore, 2015. [Google Scholar] [CrossRef]
- Ćalasan, M.P.; Vujičić, V.P. SRG converter topologies for continuous conduction operation: A comparative evaluation. IET Electr. Power Appl. 2017, 11, 1032–1042. [Google Scholar] [CrossRef]
- Deriszadeh, A.; Adib, E.; Farzanehfard, H.; Nejad, S.M.S. Switched reluctance motor drive converter operating in continuous conduction mode with high demagnetisation voltage. IET Power Electron. 2015, 8, 1119–1127. [Google Scholar] [CrossRef]
- Vujičić, V.P.; Ćalasan, M.P. Simple sensorless control for high-speed operation of switched reluctance generator. IEEE Trans. Energy Convers. 2016, 31, 1325–1335. [Google Scholar] [CrossRef]
- Wang, Q.; Chen, H.; Cheng, H.; Yan, S.; Abbas, S. An active boost power converter for improving the performance of switched reluctance generators in dc generating systems. IEEE Trans. Power Electron. 2019, 35, 4741–4755. [Google Scholar] [CrossRef]
- Faradjizadeh, F.; Tavakoli, R.; Afjei, E.S. Accumulator capacitor converter for a switched reluctance generator. IEEE Trans. Power Electron. 2017, 33, 501–512. [Google Scholar] [CrossRef]
- Faradjizadeh, F.; Tavakoli, M.R.; Salehnia, M.; Afjei, E. C-Dump converter for switched reluctance generator. In Proceedings of the 5th Annual International Power Electronics, Drive Systems and Technologies Conference (PEDSTC 2014), Tehran, Iran, 5–6 February 2014. [Google Scholar] [CrossRef]
- Dong, L.; Liu, Y.; Ling, L.; Liao, X.; Wang, Z. Design of converter topology for switched reluctance wind power generator. In AIP Conf. Proc. 2017, 1839, 020037. [Google Scholar] [CrossRef]
- Hrabovcová, V.; Rafajdus, P.; Lipták, M.; Szabó, L. Performance of converters suitable for switched reluctance generator (srg) operation. J. Electr. Eng. 2013, 64, 201–211. [Google Scholar] [CrossRef][Green Version]
- Hua, Y.; Yu, D.; Li, K.; Hu, Y.; Fernando, T. A novel power and signal composite modulation strategy for CCC-based SRG in distributed microgrid. IEEE J. Emerg. Sel. Top. Circuits Syst. 2021, 11, 121–132. [Google Scholar] [CrossRef]
- Zaim, M.E.; Dakhouche, K.; Bounekhla, M. Design for torque ripple reduction of a three-phase switched-reluctance machine. IEEE Trans. Mag. 2002, 38, 1189–1192. [Google Scholar] [CrossRef]
- Gan, C.; Wu, J.; Sun, Q.; Kong, W.; Li, H.; Hu, Y. A review on machine topologies and control techniques for low-noise switched reluctance motors in electric vehicle applications. IEEE Access 2018, 6, 31430–31443. [Google Scholar] [CrossRef]
- Bilgin, B.; Jiang, J.W.; Emadi, A. Switched Reluctance Motor drives: Fundamentals to Applications; CRC Press/Taylor & Francis: Boca Raton, FL, USA, 2018. [Google Scholar]
- dos Santos Barros, T.A.; dos Santos Neto, P.J.; Nascimento Filho, P.S.; Moreira, A.B.; Ruppert Filho, E. An approach for switched reluctance generator in a wind generation system with a wide range of operation speed. IEEE Trans. Power Electron. 2017, 32, 8277–8292. [Google Scholar] [CrossRef]
- Dos Santos Neto, P.J.; dos Santos Barros, T.A.; de Paula, M.V.; de Souza, R.R.; Ruppert Filho, E. Design of computational experiment for performance optimization of a switched reluctance generator in wind systems. IEEE Trans. Energy Convers. 2018, 33, 406–419. [Google Scholar] [CrossRef]
- Hung, J.Y.; Gao, W.; Hung, J.C. Variable structure control: A survey. IEEE Trans. Ind. Electron. 1993, 40, 2–22. [Google Scholar] [CrossRef]
- Lascu, C.; Boldea, I.; Blaabjerg, F. Direct torque control of sensorless induction motor drives: A sliding-mode approach. IEEE Trans. Ind. Appl. 2004, 40, 582–590. [Google Scholar] [CrossRef]
- Touati, Z.; Pereira, M.; Araújo, R.E.; Khedher, A. Comparative Study of Discrete PI and PR Controller Implemented in SRG for Wind Energy Application: Theory and Experimentation. Electronics 2022, 11, 1285. [Google Scholar] [CrossRef]
- Chirapo, K.A.C.; Oliveira, A.L.; Sguarezi Filho, A.J.; Pelizari, A.; Di Santo, S.G.; Costa, E.C.M. P+ res controller applied to the direct power control of switched reluctance generator. J. Control Autom. Electr. Syst. 2020, 31, 360–366. [Google Scholar] [CrossRef]
- Yu, S.; Zhang, F.; Lee, D.H.; Ahn, J.W. High efficiency operation of a switched reluctance generator over a wide speed range. Int. J. Power Electron. 2015, 15, 123–130. [Google Scholar] [CrossRef]
- Ćalasan, M.P.; Vujičić, V.P. A robust continuous conduction mode control strategy of switched reluctance generator for wind power plant applications. Electr. Eng. 2017, 99, 943–958. [Google Scholar] [CrossRef]
- Omaç, Z.; Cevahir, C. Control of switched reluctance generator in wind power system application for variable speeds. Ain Shams Eng. J. 2021, 12, 2665–2672. [Google Scholar] [CrossRef]
- Araujo, W.R.; Reis, M.R.; Wainer, G.A.; Calixto, W.P. Efficiency Enhancement of Switched Reluctance Generator Employing Optimized Control Associated with Tracking Technique. Energies 2021, 14, 8388. [Google Scholar] [CrossRef]
- Zan, X.; Ni, K.; Zhang, W.; Jiang, Z.; Cui, M.; Yu, D.; Zeng, R. A new control strategy for SR generation system based on modified PT control. IEEE Access 2019, 7, 179720–179733. [Google Scholar] [CrossRef]
- Torrey, D.A. Switched reluctance generators and their control. IEEE Trans. Ind. Electron. 2002, 49, 3–14. [Google Scholar] [CrossRef]
- Zan, X.; Cui, M.; Yu, D.; Xu, R.; Ni, K. Improvement of the response speed for switched reluctance generation system based on modified PT control. Energies 2018, 11, 2049. [Google Scholar] [CrossRef]
- Ferdowsi, M.; Emadi, A. Pulse regulation control technique for integrated high-quality rectifier-regulators. IEEE Trans. Ind. Electron. 2005, 52, 116–124. [Google Scholar] [CrossRef]
- Ferdowsi, M.; Emadi, A.; Telefus, M.; Davis, C. Pulse regulation control technique for flyback converter. IEEE Trans. Power Electron. 2005, 20, 798–805. [Google Scholar] [CrossRef]
- Osorio, C.R.; Vieira, R.P.; Grundling, H.A. Sliding mode technique applied to output voltage control of the switched reluctance generator. In Proceedings of the IECON 2016-42nd Annual Conference of the IEEE Industrial Electronics Society, Florence, Italy, 23–26 October 2016. [Google Scholar] [CrossRef]
- Liu, Y.Z.; Zhou, Z.; Song, J.L.; Fan, B.J.; Wang, C. Based on sliding mode variable structure of studying control for status switching of switched reluctance starter/generator. In Proceedings of the 2015 Chinese Automation Congress (CAC), Wuhan, China, 27–29 November 2015. [Google Scholar] [CrossRef]
- Yu, D.; Hua, Y.; Yu, S.; Zhang, P.; Iu, H.H.; Fernando, T. A new modulation–demodulation approach to DC power-line data transmission for SRG-integrated microgrid. IEEE Trans. Power Electron. 2020, 35, 12370–12382. [Google Scholar] [CrossRef]
- Susitra, D.; Jebaseeli, E.A.E. Flux Linkage Profile Estimation of Switched Reluctance Generator for Wind Energy Conversion System. Indian J. Sci. Technol. 2015, 8, 1–6. [Google Scholar] [CrossRef][Green Version]
- Kushwaha, A.; Kanagaraj, R. Peak-current estimation using simplified current-rise model of switched reluctance generator operating in single-pulse mode. Int. J. Electr. Power Energy Syst. 2020, 120, 105971. [Google Scholar] [CrossRef]
- Kiani, E.; Ganji, B.; Taher, S.A. Model predictive control of switched reluctance generator based on Z-source converter for wind power applications. Int. Trans. Electr. Energy Syst. 2020, 30, 12578. [Google Scholar] [CrossRef]
- Fang, G.; Scalcon, F.P.; Xiao, D.; Vieira, R.P.; Gründling, H.A.; Emadi, A. Advanced control of switched reluctance motors (SRMs): A review on current regulation, torque control and vibration suppression. IEEE Open J. Ind. Electron. Soc. 2021, 2, 280–301. [Google Scholar] [CrossRef]
- Husain, I.; Ehsani, M. Torque ripple minimization in switched reluctance motor drives by PWM current control. IEEE Trans. Power Electron. 1996, 11, 83–88. [Google Scholar] [CrossRef]
- Ro, H.S.; Lee, K.G.; Lee, J.S.; Jeong, H.G.; Lee, K.B. Torque ripple minimization scheme using torque sharing function based fuzzy logic control for a switched reluctance motor. J. Electr. Eng. Technol. 2015, 10, 118–127. [Google Scholar] [CrossRef]
- Xue, X.D.; Cheng, K.W.E.; Ho, S.L. Optimization and evaluation of torque-sharing functions for torque ripple minimization in switched reluctance motor drives. IEEE Trans. Power Electron. 2009, 24, 2076–2090. [Google Scholar] [CrossRef]
- Shin, H.U.; Park, K.; Lee, K.B. A non-unity torque sharing function for torque ripple minimization of switched reluctance generators in wind power systems. Energies 2015, 8, 11685–11701. [Google Scholar] [CrossRef]
- Osório, C.R.; Scalcon, F.P.; Vieira, R.P.; Montagner, V.F.; Gründling, H.A. Robust control of switched reluctance generator in connection with a grid-tied inverter. In Proceedings of the 2019 IEEE 15th Brazilian Power Electronics Conference and 5th IEEE Southern Power Electronics Conference (COBEP/SPEC), Santos, Brazil, 1–4 December 2019. [Google Scholar] [CrossRef]
- Viajante, G.P.; Andrade, D.A.; Chaves, E.N.; Bernadelli, V.R.; Queiroz, C.A.; Freitas, M.A.A.; Gomes, L.C. A grid connection scheme of a switched reluctance generator for active power injection using P-resonant (P-RES) controller. Electr. Power Syst. Res. 2016, 141, 572–579. [Google Scholar] [CrossRef]
- Viajante, G.P.; Andrade, D.A.; Gomes, L.C.; Santos, J.A.; Bernardeli, V.R.; Coelho, E.A.; Freitas, M.A.A. A grid connection scheme of a Switched Reluctance Generator for active power injection. In Proceedings of the 2013 International Electric Machines & Drives Conference, Chicago, IL, USA, 12–15 May 2013. [Google Scholar] [CrossRef]
- Sarr, A.; Bahri, I.; Diallo, D.; Arias Pujol, A. Génératrice à réluctance variable connectée au réseau alternatif monophasé pour une application éolienne. In Proceedings of the Symposium de Genie Electrique, Nancy, France, 3–5 July 2018. [Google Scholar]
- Hu, K.W.; Wang, J.C.; Lin, T.S.; Liaw, C.M. A switched-reluctance generator with interleaved interface DC–DC converter. IEEE Trans. Energy Convers. 2014, 30, 273–284. [Google Scholar] [CrossRef]
- dos Santos Neto, P.J.; dos Santos Barros, T.A.; Catata, E.H.; Ruppert Filho, E. Grid-connected SRG interfaced with bidirectional DC-DC converter in WECS. IEEE Trans. Energy Convers. 2021, 36, 3261–3270. [Google Scholar] [CrossRef]
- Barros, T.A.; Neto, P.J.; Paulo Filho, S.N.; Moreira, A.B.; Ruppert, E. Approach for performance optimization of switched reluctance generator in variable-speed wind generation system. Renew. Energy. 2016, 97, 114–128. [Google Scholar] [CrossRef]
- dos Santos Neto, P.J.; dos Santos Barros, T.A.; De Paula, M.V.; Ruppert Filho, E.; Vasquez, J.C.; Guerrero, J.M. Wind Distributed System Based on Switched Reluctance Generator Using a Bidirectional DC-DC Converter with Sliding Mode Control. In Proceedings of the IECON 2019-45th Annual Conference of the IEEE Industrial Electronics Society, Lisbon, Portugal, 14–17 October 2019. [Google Scholar] [CrossRef]
- Barros, T.A.S.; Ruppert Filho, E. Direct power control for switched reluctance. generator in wind energy. IEEE Lat. Am. Trans. 2015, 13, 123–128. [Google Scholar] [CrossRef]
- Hasanien, H.M.; Muyeen, S.M. Speed control of grid-connected switched reluctance generator driven by variable speed wind turbine using adaptive neural network controller. Electr. Power Syst. Res. 2012, 84, 206–213. [Google Scholar] [CrossRef]
- Catata, E.O.H.; Neto, P.J.D.S.; De Paula, M.V.; Silveira, J.P.C.; Barros, T.A.D.S.; Ruppert Filho, E. In-Loop Adaptive Filters to Improve the Power Quality of Switched Reluctance Generator in WECS. IEEE Access 2021, 10, 2941–2951. [Google Scholar] [CrossRef]
- Chang, Y.C.; Cheng, C.H.; Lu, L.Y.; Liaw, C.M. An experimental switched-reluctance generator based distributed power system. In Proceedings of the XIX International Conference on Electrical Machines-ICEM 2010, Rome, Italy, 6–8 September 2010. [Google Scholar] [CrossRef]
- De Oliveira, A.L.; Capovilla, C.E.; Casella, I.R.S.; Azcue-Puma, J.L.; Sguarezi Filho, A.J. Co-simulation of an SRG wind turbine control and GPRS/EGPRS wireless standards in smart grids. IEEE/CAA J. Autom. Sin. 2021, 8, 656–663. [Google Scholar] [CrossRef]
- Capovilla, C.E.; Casella, I.R.S.; Sguarezi Filho, A.J.; dos Santos Barros, T.A.; Ruppert Filho, E. Performance of a direct power control system using coded wireless OFDM power reference transmissions for switched reluctance aerogenerators in a smart grid scenario. IEEE Ind. Electron. Mag. 2014, 62, 52–61. [Google Scholar] [CrossRef]
- Chen, H.; Xu, D.; Deng, X. Control for power converter of small-scale switched reluctance wind power generator. IEEE Ind. Electron. Mag. 2020, 68, 3148–3158. [Google Scholar] [CrossRef]
- Lu, M.Z.; Jhou, P.H.; Liaw, C.M. Wind switched-reluctance generator based microgrid with integrated plug-in energy support mechanism. IEEE Trans. Power Electron. 2020, 36, 5496–5511. [Google Scholar] [CrossRef]
- Zhu, Y.; Wu, H.; Zhang, J. Regenerative braking control strategy for electric vehicles based on optimization of switched reluctance generator drive system. IEEE Access 2020, 8, 76671–76682. [Google Scholar] [CrossRef]
- Mosaad, M.I.; Elkalashy, N.I.; Ashmawy, M.G. Integrating adaptive control of renewable distributed switched reluctance generation and feeder protection coordination. Electr. Power Syst. Res. 2018, 154, 452–462. [Google Scholar] [CrossRef]
- Saad, N.H.; El-Sattar, A.A.; Metally, M.E. Artificial neural controller for torque ripple control and maximum power extraction for wind system driven by switched reluctance generator. Ain Shams Eng. J. 2018, 9, 2255–2264. [Google Scholar] [CrossRef]
- Kittiratsatcha, S.; Kerdtuad, P.; Bunlaksananusorn, C. Output Power Control Using Artificial Neural Network for Switched Reluctance Generator. Sens. Mater. 2021, 33, 2427–2444. [Google Scholar] [CrossRef]
- Yahia, H.; Liouane, N.; Dhifaoui, R. Differential evolution method-based output power optimisation of switched reluctance generator for wind turbine applications. IET Renew. Power Gener. 2014, 8, 795–806. [Google Scholar] [CrossRef]
- Hong, C.M.; Chen, C.H. Enhanced radial fuzzy wavelet neural network with sliding mode control for a switched reluctance wind turbine distributed generation system. Eng. Optim. 2019, 51, 1133–1151. [Google Scholar] [CrossRef]
- Magagula, S.G. Power Efficiency Optimization of Switched Reluctance Generator (SRG) Using Power Disturbance Maximum Power Point Tracking (MPPT). Int. J. Electr. Comput. 2017, 9, 445–454. [Google Scholar] [CrossRef][Green Version]
- dos Santos Neto, P.J.; Catata, E.H.; dos Santos Barros, T.A.; Ruppert Filho, E. Optimal Performance of Switched Reluctance Generator in Stand-alone Wind Systems. In Proceedings of the 2021 IEEE Green Technologies Conference (GreenTech), Denver, CO, USA, 7–9 April 2021. [Google Scholar] [CrossRef]
- Hajiabadi, H.; Farshad, M.; Shamsinejad, M. Multi-objective optimization and online control of switched reluctance generator for wind power application. Int. J. Ind. Electron. Control Optim. 2021, 4, 33–45. [Google Scholar] [CrossRef]
- Li, Z.; Yu, X.; Zhao, L.; Zhao, Y.; Wang, X.; Sun, H. Multi-objective optimization of control parameters of deflectable dual-stator switched reluctance generator at low speed. Electr. Eng. 2022, 1–10. [Google Scholar] [CrossRef]
- Bahy, M.; Nada, A.S.; Elbanna, S.H.; Shanab, M.A. Voltage control of switched reluctance generator using grasshopper optimization algorithm. Int. J. Power Electron. Drive Syst. 2020, 11, 75. [Google Scholar] [CrossRef]
- Mapa, S.; Gurumoorthy, B. Maximum power extraction from a switched reluctance generator based wind power generating system using optimization techniques. Eng. Rep. 2022, 4, e12457. [Google Scholar] [CrossRef]
- Chen, H.; Nie, R.; Gu, J.; Yan, S.; Zhao, R. Performance prediction of switched reluctance generator with time average and small signal models. IEEE/ASME Trans. Mechatron. 2020, 26, 469–479. [Google Scholar] [CrossRef]

























| Generator Type | Advantage | Disadvantage |
|---|---|---|
| Induction Generators (IG) | Suitable for use in DC energy storage Good reliability | Brush structure A lot of maintenance Low efficiency |
| Doubly Fed Induction Generator (DFIG) | High power quality Convenient maintenance Partial-scale power converters | Low reliability Complicate practical implementation |
| Permanent Magnet Synchronous Generator (PMSG) | High Efficiency Small volume High power density | Poor fault tolerance Poor voltage regulation performance High cost of the full-scale power converters |
| Switched Reluctance Generator (SRG) | Good fault tolerance performance Simple manufacture Flexible control High torque density Low cost Low maintenance requirement | Torque ripple Acoustic noise Need special converter topology |
| Topology | Switch Numbers | Diode Numbers | Sensor Position | Fault Tolerance | Control Complexity | Reference |
|---|---|---|---|---|---|---|
| Asymmetric half bridge converter | 2n | 2n | Yes | High | Low | [33,45] |
| Buck and boost converters | n | n | Yes | Medium | Low | [30] |
| Derishzadeh converter topology | n | 2n | Yes | High | Medium | [37] |
| PTC1/ PTC2 | 0 | 4n | No | Medium | High | [37,39] |
| Active boost power converter | 2n + 1 | 2n + 2 | Yes | High | Low | [40] |
| Accumulator capacitor converter (ACC) | n + 1 | n + 1 | Yes | Medium | Medium | [41,42] |
| Dong converter | 2n + 1 | 2n | Yes | High | Low | [43] |
| Converter with variable DC link (CvDC) | 2n + 1 | 2n + 1 | Yes | Medium | High | [44] |
| Control Methods | Advantage | Disadvantage | Reference |
|---|---|---|---|
| Proportional Integral (PI) | Easy to implement and improves the steady-state performance. | Long settling time and controller parameters cannot be optimized with different operating conditions | [33,35,57] |
| Sliding Mode (SM) | Enhance the dynamic characteristics of SRG. Rapid response. | High frequency vibrations of the controlled system, which degrades the performance and may lead to instability. | [49,64,65] |
| Proportional Resonant (PR) | Zero overshoot and fast transient response in SRG power control. Minimization of voltage ripples. | The difficulty of adjusting their parameters due to the non-linearity of SRG. | [53,54] |
| Modified Angle Position Control (MAPC) | The optimal coupling turn-on and turn-off angle improve the efficiency. | Higher the torque ripple. | [55] |
| Continuous Conduction Mode (CCM)/Discontinuous (CM) | Fast transient response, simplicity of design and implementation. | CCM is only effective at high speed. The estimation error of the rotor position may cause a significant reduction on SRG performance. | [56,62,63] |
| Proportional, Integral and Derivative (PID) | Improve the transient performance of SRG control. | The difficulty of adjusting their parameters due to the non-linearity of SRG. | [58] |
| Fly-Wheeling Pulse Train (FW-PT) | Simple circuit implementation. The absence of network compensation and fast response time. | Reduction in SRG efficiency. | [59] |
| Capacitor Current Pulse Train (CC-PT) | Simple circuit structure. Zero overshoot and excellent steady-state and transient response characteristics. | Low frequency oscillation. | [61] |
| Fuzzy Inference System (FIS) | Used when the systems are highly non-linear. | Unavoidable overshoot and larger steady-state error. | [67] |
| Peak-Current Estimation | Improve the steady-state peak-current of the SRG | The circuit model is applicable to a specific interval. | [68] |
| Model Predictive Control (MPC) | Fast response with low ripple and very low overshoot of the SRG phase current. | Complex control. Cumbersome calculation. Variable switching frequency. Model dependent | [69] |
| Torque Sharing Function (TSF) | Reduce torque ripple. Improve system efficiency. Minimize copper losses. | The current is difficult to track at high speed. | [74] |
Publisher’s Note: MDPI stays neutral with regard to jurisdictional claims in published maps and institutional affiliations. |
© 2022 by the authors. Licensee MDPI, Basel, Switzerland. This article is an open access article distributed under the terms and conditions of the Creative Commons Attribution (CC BY) license (https://creativecommons.org/licenses/by/4.0/).
Share and Cite
Touati, Z.; Pereira, M.; Araújo, R.E.; Khedher, A. Integration of Switched Reluctance Generator in a Wind Energy Conversion System: An Overview of the State of the Art and Challenges. Energies 2022, 15, 4743. https://doi.org/10.3390/en15134743
Touati Z, Pereira M, Araújo RE, Khedher A. Integration of Switched Reluctance Generator in a Wind Energy Conversion System: An Overview of the State of the Art and Challenges. Energies. 2022; 15(13):4743. https://doi.org/10.3390/en15134743
Chicago/Turabian StyleTouati, Zeineb, Manuel Pereira, Rui Esteves Araújo, and Adel Khedher. 2022. "Integration of Switched Reluctance Generator in a Wind Energy Conversion System: An Overview of the State of the Art and Challenges" Energies 15, no. 13: 4743. https://doi.org/10.3390/en15134743
APA StyleTouati, Z., Pereira, M., Araújo, R. E., & Khedher, A. (2022). Integration of Switched Reluctance Generator in a Wind Energy Conversion System: An Overview of the State of the Art and Challenges. Energies, 15(13), 4743. https://doi.org/10.3390/en15134743

