Design of an Effective State of Charge Estimation Method for a Lithium-Ion Battery Pack Using Extended Kalman Filter and Artificial Neural Network
Abstract
1. Introduction
2. Review of SOC Estimation Methods
2.1. Open Circuit Voltage Method
2.2. Coulomb Counting Method
2.3. Impedance-Based Method
2.4. Kalman Filter-Based Method
2.5. Artificial Neural Network-Based Method
2.6. Fuzzy Logic-Based Method
3. Design of SOC Estimation Methods for a Smart BMS
3.1. Configuration of the Smart BMS and LiB Pack
3.2. SOC Estimation Method Using an ANN
3.2.1. Design Process for the ANN
3.2.2. Design of the ANN for the SOC Estimation
3.3. SOC Estimation Method Using the EKF
3.3.1. Battery Model for the LiB
3.3.2. Parameter Identification
3.3.3. SOC Estimation Model with the EKF
- -
- Definition of the battery model with the state Equation (8)
- -
- Definition of the noise matrices: and
- -
- Initializing the state variable, and the estimation error
- -
- Prediction of the state variables, at time k by the Equations (6) and (7) from the measured current
- -
- Linearization by calculating Jacobians: and
- -
- Prediction of the covariance matrix Pk (estimation error):
- -
- Computation of the Kalman gain, Kg:
- -
- Update the new SOC based on the measured voltage, and the output variable :
- -
- Update the estimation error, to for the next time step (k + 1):
3.4. Combination of the EKF and ANN for the SOC Estimation
4. Experiment Results and Discussions
4.1. Implementations of the SOC Estimation Methods in the Smart BMS
- (1)
- Configuration of the BMS
- (2)
- Measurement values including SOC, local time, and BMS version
- (3)
- Status of the BMS including warming, detection, state, and status
- (4)
- Summary of main measurement values
- (5)
- Serial communications with the BMS
- (6)
- Command to read and write the alarm and cut-off values
- (7)
- Calibration of the pack voltage and current values
- (8)
- External inputs to block the relay
- (9)
- Main screen displaying measurement values in the master and slave MCUs
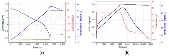
4.2. Experiment Results of the SOC Estimation Methods
- -
- After measuring the voltage and current of the entire battery pack, calculate the average value of the voltage and current of one cell,
- -
- Battery pack is discharged and charged with a constant current of 1.7 A in each cell,
- -
- Cell voltage range is 2.6–4.2 V,
- -
- Temperature range of the battery pack is 19~42 °C.
4.3. Discussions
5. Conclusions
Author Contributions
Funding
Institutional Review Board Statement
Informed Consent Statement
Data Availability Statement
Conflicts of Interest
References
- Khalid, M.; Sheikh, S.S.; Janjua, A.K.; Khalid, H.A. Performance validation of electric vehicle’s battery management system under state of charge estimation for lithium-ion battery. In Proceedings of the 2018 International Conference on Computing, Electronic and Electrical Engineering (ICE Cube), Quetta, Pakistan, 12–13 November 2018; pp. 1–5. [Google Scholar] [CrossRef]
- Zheng, M.X.; Qi, B.J.; Du, X.W. Dynamic model for characteristics of Li-ion battery on electric vehicle. In Proceedings of the 2009 4th IEEE Conference on Industrial Electronics and Applications, Xian, China, 25–27 May 2009; pp. 2867–2871. [Google Scholar] [CrossRef]
- Chen, T.M.; Jin, Y.; Lv, H.Y.; Yang, A.T.; Liu, M.Y.; Chen, B.; Xie, Y.; Chen, Y. Applications of Lithium-Ion Batteries in Grid-Scale Energy Storage Systems; Transactions of Tianjin University: Tianjin, China, 2020; Volume 26, pp. 208–217. [Google Scholar] [CrossRef]
- Mehr, T.H.; Masoum, M.A.S.; Jabalameli, N. Grid-connected Lithium-ion battery energy storage system for load leveling and peak shaving. In Proceedings of the 2013 Australasian Universities Power Engineering Conference (AUPEC), Hobart, Australasia, 29 September 2013; pp. 1–6. [Google Scholar] [CrossRef]
- Thorbergsson, E.; Knap, V.; Swierczynski, M.; Stroe, D.; Teodorescu, R. Primary Frequency Regulation with Li-Ion Battery Based Energy Storage System-Evaluation and Comparison of Different Control Strategies. In Proceedings of the Intelec 2013 35th International Telecommunications Energy Conference, Smart Power and Efficiency, Hamburg, Germany, 13–17 October 2013; pp. 1–6. [Google Scholar]
- Byrne, R.H.; Hamilton, S.; Borneo, D.R.; Olinsky-Paul, T.; Gyuk, I. The value proposition for energy storage at the sterling municipal light department. In Proceedings of the 2017 IEEE Power & Energy Society General Meeting, Chicago, IL, USA, 16–20 July 2017; pp. 1–5. [Google Scholar] [CrossRef]
- Hannan, M.A.; Hoque, M.M.; Hussain, A.; Yusof, Y.; Ker, P.J. State-of-the-Art and Energy Management System of Lithium-Ion Batteries in Electric Vehicle Applications: Issues and Recommendations; IEEE: Piscataway, NJ, USA, 2018; Volume 6, pp. 19362–19378. [Google Scholar] [CrossRef]
- Duan, J.; Tang, X.; Dai, H.; Yang, Y.; Wu, W.; Wei, X.; Huang, Y. Building Safe Lithium-Ion Batteries for Electric Vehicles: A Review. Electrochem. Energ. Rev. 2020, 3, 1–42. [Google Scholar] [CrossRef]
- How, D.N.T.; Hannan, M.A.; Hossain Lipu, M.S.; Ker, P.J. State of Charge Estimation for Lithium-Ion Batteries Using Model-Based and Data-Driven Methods: A Review; IEEE: Piscataway, NJ, USA, 2019; Volume 7, pp. 136116–136136. [Google Scholar] [CrossRef]
- Naguib, M.; Kollmeyer, P.; Emadi, A. Lithium-Ion Battery Pack Robust State of Charge Estimation, Cell Inconsistency, and Balancing: Review; IEEE: Piscataway, NJ, USA, 2021. [Google Scholar] [CrossRef]
- Mohamed, A.T. A review paper on batteries charging systems with the state of charge determination techniques. In Proceedings of the 2nd Smart Cities Symposium (SCS 2019), Bahrain, Bahrain, 24–26 March 2019; pp. 1–6. [Google Scholar] [CrossRef]
- Yuan, S.; Wu, H.; Yin, C. State of Charge Estimation Using the Extended Kalman Filter for Battery Management Systems Based on the ARX Battery Model. Energies 2013, 6, 444–470. [Google Scholar] [CrossRef]
- He, H.; Xiong, R.; Zhang, X.; Sun, F.; Fan, J. State-of-Charge Estimation of the Lithium-Ion Battery Using an Adaptive Extended Kalman Filter Based on an Improved Thevenin Model. IEEE Trans. Veh. Technol. 2011, 60, 1461–1469. [Google Scholar] [CrossRef]
- Chitnis, M.S.; Pandit, S.P.; Shaikh, M.N. Electric Vehicle Li-Ion Battery State of Charge Estimation Using Artificial Neural Network. In Proceedings of the 2018 International Conference on Inventive Research in Computing Applications (ICIRCA), Coimbatore, India, 11–12 July 2018; pp. 992–995. [Google Scholar] [CrossRef]
- Xiong, R.; Cao, J.; Yu, Q.; He, H.; Sun, F. Critical Review on the Battery State of Charge Estimation Methods for Electric Vehicles; IEEE: Piscataway, NJ, USA, 2018; Volume 6, pp. 1832–1843. [Google Scholar] [CrossRef]
- Manthopoulos, A.; Wang, X. A Review and Comparison of Lithium-Ion Battery SOC Estimation Methods for Electric Vehicles. In Proceedings of the IECON 2020 The 46th Annual Conference of the IEEE Industrial Electronics Society, Singapore, 18–21 October 2020; pp. 2385–2392. [Google Scholar] [CrossRef]
- Chang, W.Y. The State of Charge Estimating Methods for Battery: A Review. Int. Sch. Res. Not. 2013, 2013, 953792. [Google Scholar] [CrossRef]
- Zhang, R.; Xia, B.; Li, B.; Cao, L.; Lai, Y.; Zheng, W.; Wang, H.; Wang, W.; Wang, M. A Study on the Open Circuit Voltage and State of Charge Characterization of High-Capacity Lithium-Ion Battery under Different Temperature. Energies 2018, 11, 2408. [Google Scholar] [CrossRef]
- Nugroho, A.; Rijanto, E.; Wijaya, F.D.; Nugroho, P. Battery state of charge estimation by using a combination of Coulomb Counting and dynamic model with adjusted gain. In Proceedings of the 2015 International Conference on Sustainable Energy Engineering and Application (ICSEEA), Bandung, Indonesia, 5–7 October 2015; pp. 54–58. [Google Scholar] [CrossRef]
- Cuadras, A.; Kanoun, O. SoC Li-ion battery monitoring with impedance spectroscopy. In Proceedings of the 2009 6th International Multi-Conference on Systems, Signals and Devices, Djerba, Tunisia, 23–26 March 2009; pp. 1–5. [Google Scholar] [CrossRef]
- Spagnol, P.; Rossi, S.; Savaresi, S.M. Kalman Filter SoC estimation for Li-Ion batteries. In Proceedings of the2011 IEEE International Conference on Control Applications (CCA), Denver, CO, USA, 28–30 September 2011; pp. 587–592. [Google Scholar] [CrossRef]
- Rahmoun, A.; Biechl, H.; Rosin, A. SOC estimation for Li-Ion batteries based on equivalent circuit diagrams and the application of a Kalman filter. In Proceedings of the 2012 Electric Power Quality and Supply Reliability, Tartu, Estonia, 11–13 June 2012; pp. 1–4. [Google Scholar] [CrossRef]
- Lee, S.J.; Kim, J.H.; Lee, J.M.; Cho, B.H. The State and Parameter Estimation of an Li-Ion Battery Using a New OCV-SOC Concept. In Proceedings of the 2007 IEEE Power Electronics Specialists Conference, Orlando, FL, USA, 17–21 June 2007; pp. 2799–2803. [Google Scholar] [CrossRef]
- Yatsui, M.W.; Bai, H. Kalman filter based state-of-charge estimation for lithium-ion batteries in hybrid electric vehicles using pulse charging. In Proceedings of the 2011 IEEE Vehicle Power and Propulsion Conference, Chicago, IL, USA, 6–9 September 2011; pp. 1–5. [Google Scholar] [CrossRef]
- Haoran, L.; Liangdong, L.; Xiaoyin, Z.; Mingxuan, S. Lithium Battery SOC Estimation Based on Extended Kalman Filtering Algorithm. In Proceedings of the 2018 IEEE 4th International Conference on Control Science and Systems Engineering (ICCSSE), Wuhan, China, 21–23 August 2018; pp. 231–235. [Google Scholar] [CrossRef]
- Yang, S.; Zhou, S.; Hua, Y.; Zhou, X.A.; Liu, X.H.; Pan, Y.W.; Ling, H.P.; Wu, B. A parameter adaptive method for state of charge estimation of lithium-ion batteries with an improved extended Kalman filter. Sci. Rep. 2021, 11, 5805. [Google Scholar] [CrossRef] [PubMed]
- Ismail, M.; Dlyma, R.; Elrakaybi, A.; Ahmed, R.; Habibi, S. Battery state of charge estimation using an Artificial Neural Network. In Proceedings of the 2017 IEEE Transportation Electrification Conference and Expo (ITEC), Chicago, IL, USA, 22–24 June 2017; pp. 342–349. [Google Scholar] [CrossRef]
- Almeida, G.C.S.; Souza, A.C.Z.d.; Ribeiro, P.F. A Neural Network Application for a Lithium-Ion Battery Pack State-of-Charge Estimator with Enhanced Accuracy. Proceedings 2020, 58, 33. [Google Scholar] [CrossRef]
- Saji, D.; Babu, P.S.; Ilango, K. SoC Estimation of Lithium-Ion Battery Using Combined Coulomb Counting and Fuzzy Logic Method. In Proceedings of the 2019 4th International Conference on Recent Trends on Electronics, Information, Communication & Technology (RTEICT), Bangalore, India, 17–18 May 2019; pp. 948–952. [Google Scholar] [CrossRef]
- Rivera-Barrera, J.P.; Muñoz-Galeano, N.; Sarmiento-Maldonado, H.O. SoC Estimation for Lithium-ion Batteries: Review and Future Challenges. Electronics 2017, 6, 102. [Google Scholar] [CrossRef]
- Liu, K.; Li, K.; Peng, Q.; Zhang, C. A brief review on key technologies in the battery management system of electric vehicles. Front. Mech. Eng. 2019, 14, 47–64. [Google Scholar] [CrossRef]
- Vaideeswaran, V.; Bhuvanesh, S.; Devasena, M. Battery Management Systems for Electric Vehicles using Lithium-Ion Batteries. In Proceedings of the 2019 Innovations in Power and Advanced Computing Technologies (i-PACT), Vellore, India, 22–23 March 2019; pp. 1–9. [Google Scholar] [CrossRef]
- Ali, S.S.; Choi, B.J. State-of-the-Art Artificial Intelligence Techniques for Distributed Smart Grids: A Review. Electronics 2020, 9, 1030. [Google Scholar] [CrossRef]
- Lai, X.; Qin, C.; Gao, W.; Zheng, Y.; Yi, W. A State of Charge Estimator Based Extended Kalman Filter Using an Electrochemistry-Based Equivalent Circuit Model for Lithium-Ion Batteries. Appl. Sci. 2018, 8, 1592. [Google Scholar] [CrossRef]
- He, H.; Xiong, R.; Fan, J. Evaluation of Lithium-Ion Battery Equivalent Circuit Models for State of Charge Estimation by an Experimental Approach. Energies 2011, 4, 582–598. [Google Scholar] [CrossRef]
- Chen, M.; Rincon-Mora, G.A. Accurate Electrical Battery Model Capable of Predicting Runtime and I–V Performance; IEEE Transactions on Energy Conversion: Piscataway, NJ, USA, 2006; Volume 21, pp. 504–511. [Google Scholar] [CrossRef]
- Jiani, D.; Zhitao, L.; Youyi, W.; Changyun, W. A fuzzy logic-based model for Li-ion battery with SOC and temperature effect. In Proceedings of the 11th IEEE International Conference on Control & Automation (ICCA), Taichung, Taiwan, 18–20 June 2014; pp. 1333–1338. [Google Scholar] [CrossRef]
- Zheng, W.; Xia, B.; Wang, W.; Lai, Y.; Wang, M.; Wang, H. State of Charge Estimation for Power Lithium-Ion Battery Using a Fuzzy Logic Sliding Mode Observer. Energies 2019, 12, 2491. [Google Scholar] [CrossRef]
- Rao, R.P.; Bhat, R.S.; Ranjeeth, R.; Kavya, B.G. Implementing Fuzzy Logic to Improve the Accuracy of SoC Estimation for Li-ion Battery. Int. J. Eng. Res. Technol. 2020, 09, 937–941. [Google Scholar]
- Wu, S.; Chen, H.; Tsai, M.; Lin, T.; Chen, L. AC Impedance Based Online State-of-Charge Estimation for Li-ion Battery. In Proceedings of the 2017 International Conference on Information, Communication and Engineering (ICICE), Xiamen, China, 17–20 November 2017; pp. 53–56. [Google Scholar] [CrossRef]
- Xu, J.; Chris Mi, C.; Cao, B.G.; Cao, J.Y. A new method to estimate the state of charge of lithium-ion batteries based on the battery impedance model. J. Power Sources 2013, 233, 277–284. [Google Scholar] [CrossRef]
- Kim, T.; Qiao, W.; Qu, L. Real-time state of charge and electrical impedance estimation for lithium-ion batteries based on a hybrid battery model. In Proceedings of the 2013 Twenty-Eighth Annual IEEE Applied Power Electronics Conference and Exposition (APEC), Long Beach, CA, USA, 17–21 March 2013; pp. 563–568. [Google Scholar] [CrossRef]
- Guo, X.; Xu, X.; Geng, J.; Hua, X.; Gao, Y.; Liu, Z. SOC Estimation with an Adaptive Unscented Kalman Filter Based on Model Parameter Optimization. Appl. Sci. 2019, 9, 4177. [Google Scholar] [CrossRef]
- Wang, W.; Wang, X.T.; Xiang, C.; Wei, C.; Zhao, Y. Unscented Kalman Filter-Based Battery SOC Estimation and Peak Power Prediction Method for Power Distribution of Hybrid Electric Vehicles; IEEE: Piscataway, NJ, USA, 2018; Volume 6, pp. 35957–35965. [Google Scholar] [CrossRef]
- Mazzi, Y.; Sassi, H.B.; Errahimi, F.; Es-Sbai, N. State of charge estimation using extended kalman filter. In Proceedings of the 2019 International Conference on Wireless Technologies, Embedded and Intelligent Systems (WITS), Fez, Morocco, 3–4 April 2019; pp. 1–6. [Google Scholar] [CrossRef]
- Ciortea, F.; Rusu, C.; Nemes, M.; Gatea, C. Extended Kalman Filter for state-of-charge estimation in electric vehicles battery packs. In Proceedings of the 2017 International Conference on Optimization of Electrical and Electronic Equipment (OPTIM) & 2017 Intl Aegean Conference on Electrical Machines and Power Electronics (ACEMP), Brasov, Romania, 25–27 May 2017; pp. 611–616. [Google Scholar] [CrossRef]
- Cheng, Z.; Lv, J.K.; Liu, Y.L.; Yan, Z.H. Estimation of State of Charge for Lithium-Ion Battery Based on Finite Difference Extended Kalman Filter. J. Appl. Math. 2014, 2014, 10. [Google Scholar] [CrossRef]
- Baccouche, I.; Mlayah, A.; Jemmali, S.; Manai, B.; Essoukri Ben Amara, N. $Implementation of a Coulomb counting algorithm for SOC estimation of Li-Ion battery for multimedia applications. In Proceedings of the 2015 IEEE 12th International Multi-Conference on Systems, Signals & Devices (SSD15), Mahdia, Tunisia, 16–19 March 2015; pp. 1–6. [Google Scholar] [CrossRef]
- Qaisar, S.M. Event-Driven Coulomb Counting for Effective Online Approximation of Li-Ion Battery State of Charge. Energies 2020, 13, 5600. [Google Scholar] [CrossRef]



















| Items | Specifications | Contents |
|---|---|---|
| 1. BMS hardware | Master BMS MCU | 32-bit STM32F207 |
| Slave BMS MCU | 32-bit STM32F103 | |
| External communication | UART | |
| Master-Slave communication | CAN 2.0 | |
| Power supply | 12 V | |
| Temperature sensors | 4 ea. | |
| Firmware tool | ST-Link Download | |
| 2. LiB cell | Model | 18,650 35E |
| Capacity | 3.4 Ah (1 C) | |
| Cell voltage | 2.5~4.2 V | |
| 3. LiB unit module | Configuration | 9-series and 4-parallel (9S4P) |
| Voltage/Capacity | 32.4 V/10.2 Ah | |
| Energy | 330.48 Wh | |
| 4. LiB pack | Configuration | 3 LiB units in series |
| Pack voltage | 67.5~113.4 V | |
| Capacity | 10.2 Ah | |
| Energy | 991.44 Wh |
| Items | Standard [31,32] | Target | Unit | Evaluation Method |
|---|---|---|---|---|
| Active Cell Balancing | ±10 | ±8 | mV | Digital multimeter |
| Voltage measurement accuracy | ±5 | ±1 | mV | Digital multimeter |
| Current measurement accuracy | ±2 | ±1 | % | Charger/Discharger |
| Temperature measurement accuracy | ±1 | ±0.5 | °C | Thermostat |
| SOC estimation error | ±5 | ±3 | % | Charger/Discharger |
| Step | Contents | Remarks |
|---|---|---|
| 1 | Data collection and pre-processing for training the network |
|
| 2 | Selecting the network topology and configuring the layers and neurons |
|
| 3 | Selecting the learning rate, α |
|
| 4 | Selecting the activation function |
|
| 5 | Selecting the loss function and metrics for the training process |
|
| 6 | Selecting the learning function (optimizer) |
|
| Specifications | ANN |
|---|---|
| Number of inputs of the network | 3 |
| Number of hidden layers of the network | 4 |
| Number of outputs of the network | 1 |
| Number of neurons in each hidden layer | 64 |
| Activation function in hidden layers | Sigmoid |
| Activation function in the output layer | Softplus |
| Adapting learning function | Adam |
| Learning rate | 0.001 |
| Loss function | MSE |
| Accuracy metrics | [MSE, MAE] |
| Specifications | ANN |
|---|---|
| Number of inputs of the network | 4 |
| Number of hidden layers of the network | 2 |
| Number of outputs of the network | 1 |
| Number of neurons in each hidden layer | 32 |
| Activation function in the hidden layers | Sigmoid |
| Activation function in the output layer | Softplus |
| Adapting learning function | Adam |
| Learning rate | 0.001 |
| Loss function | MSE |
| Accuracy metrics | [MSE, MAE] |
| Methods | ANN Based | EKF Based | EKF+ANN Based | |
|---|---|---|---|---|
| Discharge | Maximum error | 2.3% | 2.8% | 0.9% |
| Average error | 0.86% | 0.77% | 0.29% | |
| Charge | Maximum error | 2.6% | 2.4% | 0.8% |
| Average error | 1.26% | 1.53% | 0.55% | |
| SOC Estimation Methods | Maximum Estimation Errors | |
|---|---|---|
| This study | ANN based | 2.6% |
| EKF based | 2.8% | |
| EKF+ANN based | 0.9% | |
| Other studies | Fuzzy logic based | 2.12% [37], 2.45% [38], 1.9% [39] |
| Impedance based | 4% [40], 1% [41], 2.3% [42] | |
| Unscented Kalman Filter based | 1.22% [43], 1.5% [44] | |
| Adaptive EKF based | 2% [45], 2.5% [46], 1.6% [47] | |
| Coulomb counting | 3% [48], 4% [49] | |
Publisher’s Note: MDPI stays neutral with regard to jurisdictional claims in published maps and institutional affiliations. |
© 2021 by the authors. Licensee MDPI, Basel, Switzerland. This article is an open access article distributed under the terms and conditions of the Creative Commons Attribution (CC BY) license (https://creativecommons.org/licenses/by/4.0/).
Share and Cite
Dao, V.Q.; Dinh, M.-C.; Kim, C.S.; Park, M.; Doh, C.-H.; Bae, J.H.; Lee, M.-K.; Liu, J.; Bai, Z. Design of an Effective State of Charge Estimation Method for a Lithium-Ion Battery Pack Using Extended Kalman Filter and Artificial Neural Network. Energies 2021, 14, 2634. https://doi.org/10.3390/en14092634
Dao VQ, Dinh M-C, Kim CS, Park M, Doh C-H, Bae JH, Lee M-K, Liu J, Bai Z. Design of an Effective State of Charge Estimation Method for a Lithium-Ion Battery Pack Using Extended Kalman Filter and Artificial Neural Network. Energies. 2021; 14(9):2634. https://doi.org/10.3390/en14092634
Chicago/Turabian StyleDao, Van Quan, Minh-Chau Dinh, Chang Soon Kim, Minwon Park, Chil-Hoon Doh, Jeong Hyo Bae, Myung-Kwan Lee, Jianyong Liu, and Zhiguo Bai. 2021. "Design of an Effective State of Charge Estimation Method for a Lithium-Ion Battery Pack Using Extended Kalman Filter and Artificial Neural Network" Energies 14, no. 9: 2634. https://doi.org/10.3390/en14092634
APA StyleDao, V. Q., Dinh, M.-C., Kim, C. S., Park, M., Doh, C.-H., Bae, J. H., Lee, M.-K., Liu, J., & Bai, Z. (2021). Design of an Effective State of Charge Estimation Method for a Lithium-Ion Battery Pack Using Extended Kalman Filter and Artificial Neural Network. Energies, 14(9), 2634. https://doi.org/10.3390/en14092634

