Synergistic Catalytic Effect of Sulphated Zirconia—HCl System for Levulinic Acid and Solid Residue Production Using Microwave Irradiation
Abstract
1. Introduction
2. Materials and Methods
2.1. Materials and Catalyst Preparation
2.2. Physical Characterisation of Catalyst and Solid Residue (SR)
2.3. Microwave Catalysis and Experimental Method
2.4. Solid Residue Separation and Characterisation
3. Results and Discussion
3.1. Effects of Process Variables on LA Production
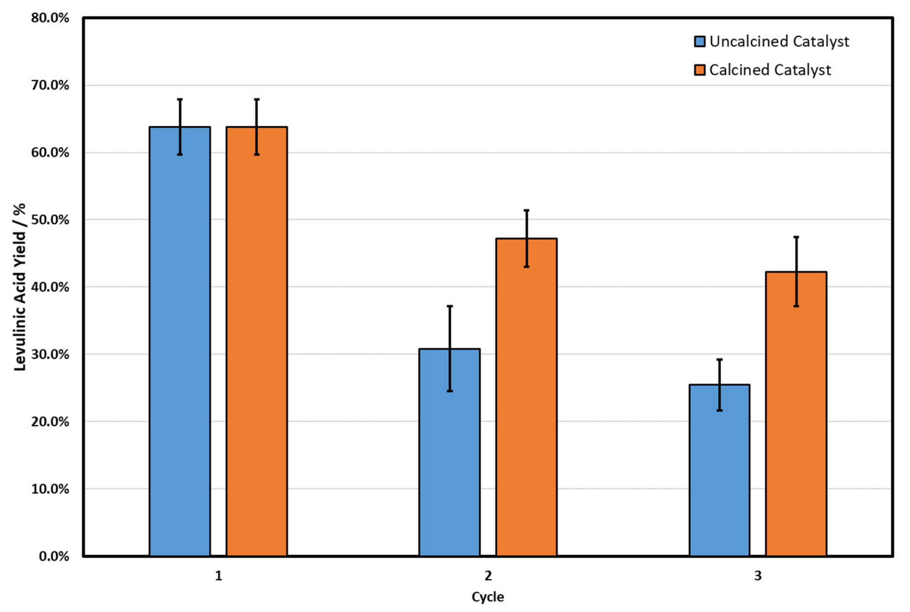
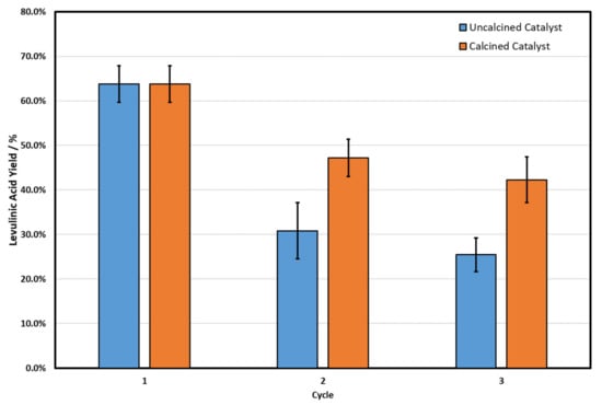
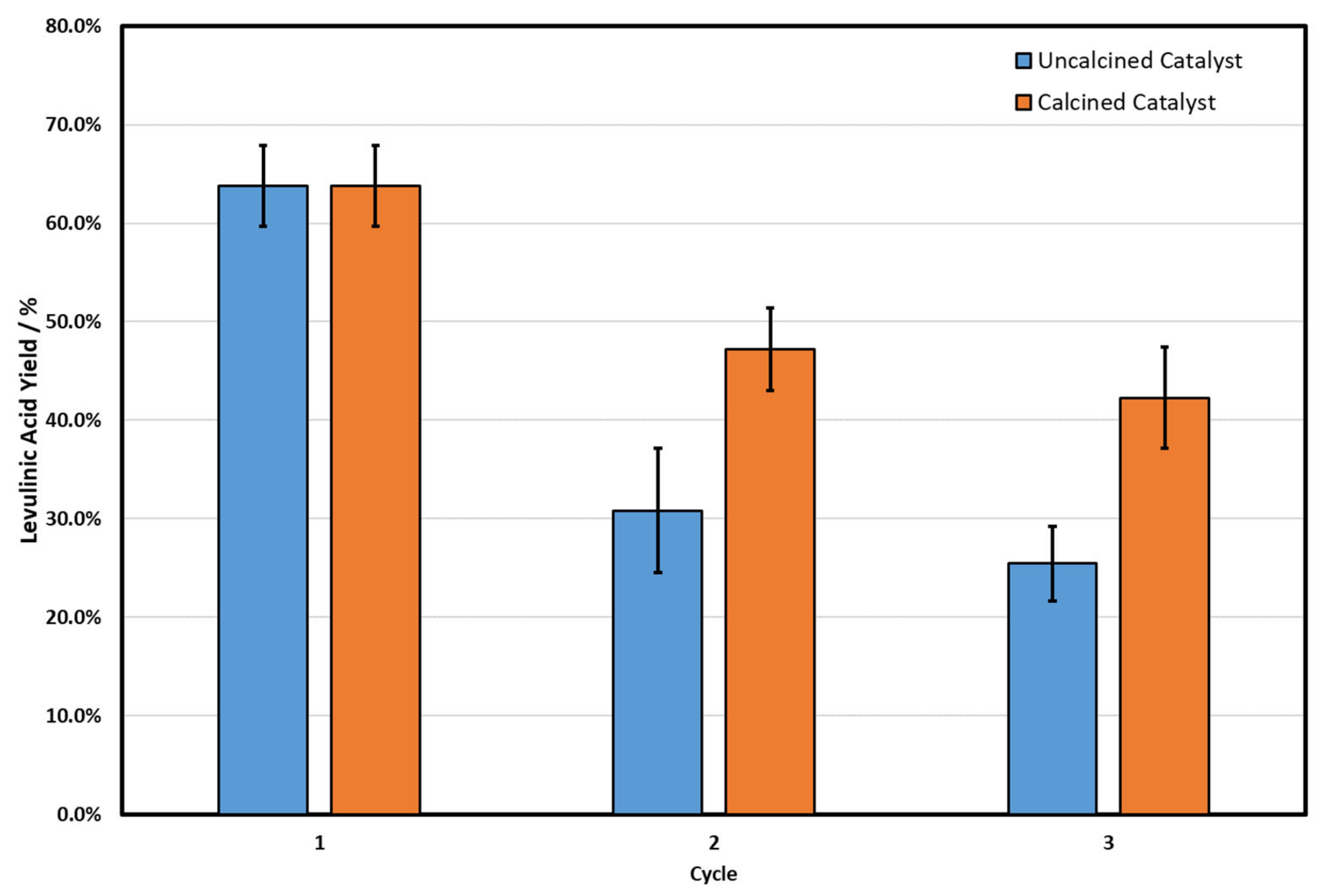
3.2. Catalyst Characterisation and Recyclability
3.3. Solid Residue Characterisation and Possible Applications
4. Conclusions
Supplementary Materials
Author Contributions
Funding
Institutional Review Board Statement
Informed Consent Statement
Data Availability Statement
Acknowledgments
Conflicts of Interest
References
- Sweygers, N.; Dewil, R.; Appels, L. Production of Levulinic Acid and Furfural by Microwave-Assisted Hydrolysis from Model Compounds: Effect of Temperature, Acid Concentration and Reaction Time. Waste Biomass Valoriz. 2018, 9, 343–355. [Google Scholar] [CrossRef]
- Signoretto, M.; Taghavi, S.; Ghedini, E.; Menegazzo, F. Catalytic Production of Levulinic Acid (LA) from Actual Biomass. Molecules 2019, 24, 2760. [Google Scholar] [CrossRef] [PubMed]
- Dussan, K.; Girisuta, B.; Haverty, D.; Leahy, J.J.; Hayes, M.H.B. Bioresource Technology Kinetics of levulinic acid and furfural production from Miscanthus  giganteus. Bioresour. Technol. 2013, 149, 216–224. [Google Scholar] [CrossRef] [PubMed]
- Werpy, T.; Petersen, G. Top Value Added Chemicals from Biomass Volume I; National Renewable Energy Lab.: Golden, CO, USA, 2004; 76p. [Google Scholar]
- Acharjee, T.C.; Lee, Y.Y. Production of levulinic acid from glucose by dual solid-acid catalysts. Environ. Prog. Sustain. Energy 2018, 37, 471–480. [Google Scholar] [CrossRef]
- Girisuta, B.; Janssen, L.P.B.M.; Heeres, H.J. Kinetic study on the acid-catalyzed hydrolysis of cellulose to levulinic acid. Ind. Eng. Chem. Res. 2007, 46, 1696–1708. [Google Scholar] [CrossRef]
- Xue, Z.; Yu, D.; Zhao, X.; Mu, T. Upgrading of levulinic acid into diverse N-containing functional chemicals. Green Chem. 2019, 21, 5449–5468. [Google Scholar] [CrossRef]
- Licursi, D.; Antonetti, C.; Fulignati, S.; Giannoni, M.; Raspolli Galletti, A.M. Cascade strategy for the tunable catalytic valorization of levulinic acid and γ-valerolactone to 2-methyltetrahydrofuran and alcohols. Catalysts 2018, 8, 277. [Google Scholar] [CrossRef]
- Xie, Z.; Chen, B.; Wu, H.; Liu, M.; Liu, H.; Zhang, J.; Yang, G.; Han, B. Highly efficient hydrogenation of levulinic acid into 2-methyltetrahydrofuran over Ni–Cu/Al2O3–ZrO2 bifunctional catalysts. Green Chem. 2019, 21, 606–613. [Google Scholar] [CrossRef]
- Zheng, X.; Zhi, Z.; Gu, X.; Li, X.; Zhang, R.; Lu, X. Kinetic study of levulinic acid production from corn stalk at mild temperature using FeCl3 as catalyst. Fuel 2017, 187, 261–267. [Google Scholar] [CrossRef]
- Di Fidio, N.; Fulignati, S.; De Bari, I.; Antonetti, C.; Raspolli Galletti, A.M. Optimisation of glucose and levulinic acid production from the cellulose fraction of giant reed (Arundo donax L.) performed in the presence of ferric chloride under microwave heating. Bioresour. Technol. 2020, 313, 123650. [Google Scholar] [CrossRef]
- Bozell, J.J.; Moens, L.; Elliott, D.C.; Wang, Y.; Neuenscwander, G.G.; Fitzpatrick, S.W.; Bilski, R.J.; Jarnefeld, J.L.; Northwest, P.; Box, P.O.; et al. Production of levulinic acid and use as a platform chemical for derived products. Resour. Conserv. Recycl. 2000, 28, 227–239. [Google Scholar] [CrossRef]
- Leal Silva, J.F.; Grekin, R.; Mariano, A.P.; Maciel Filho, R. Making Levulinic Acid and Ethyl Levulinate Economically Viable: A Worldwide Technoeconomic and Environmental Assessment of Possible Routes. Energy Technol. 2018, 6, 613–639. [Google Scholar] [CrossRef]
- Gozan, M.; Ryan, B.; Krisnandi, Y. Techno-economic assessment of Levulinic Acid Plant from Sorghum Bicolor in Indonesia. In Proceedings of the 2nd International Conference on Oleo and Petrochemical Engineering (ICOOPChE 2017), Pekanbaru-Riau, Indonesia, 29–30 November 2017; Volume 345. [Google Scholar]
- Leal Silva, J.F.; MacIel Filho, R.; Wolf MacIel, M.R. Process Design and Technoeconomic Assessment of the Extraction of Levulinic Acid from Biomass Hydrolysate Using n-Butyl Acetate, Hexane, and 2-Methyltetrahydrofuran. Ind. Eng. Chem. Res. 2020, 59, 11031–11041. [Google Scholar] [CrossRef]
- Van De Vyver, S.; Thomas, J.; Geboers, J.; Keyzer, S.; Smet, M.; Dehaen, W.; Jacobs, P.A.; Sels, B.F. Catalytic production of levulinic acid from cellulose and other biomass-derived carbohydrates with sulfonated hyperbranched poly(arylene oxindole)s. Energy Environ. Sci. 2011, 4, 3601–3610. [Google Scholar] [CrossRef]
- Weingarten, R.; Conner, W.C.; Huber, G.W. Production of levulinic acid from cellulose by hydrothermal decomposition combined with aqueous phase dehydration with a solid acid catalyst. Energy Environ. Sci. 2012, 5, 7559–7574. [Google Scholar] [CrossRef]
- Pratama, A.P.; Rahayu, D.U.C.; Krisnandi, Y.K. Levulinic acid production from delignified rice husk waste over manganese catalysts: Heterogeneous versus homogeneous. Catalysts 2020, 10, 327. [Google Scholar] [CrossRef]
- Wang, P.; Zhan, S.; Yu, H. Production of Levulinic Acid from Cellulose Catalyzed by Environmental-Friendly Catalyst. Adv. Mater. Res. 2010, 96, 183–187. [Google Scholar] [CrossRef]
- Ya’Aini, N.; Amin, N.A.S.; Endud, S. Characterization and performance of hybrid catalysts for levulinic acid production from glucose. Microporous Mesoporous Mater. 2013, 171, 14–23. [Google Scholar] [CrossRef]
- Peixoto, A.F.; Silva, S.M.; Costa, P.; Santos, A.C.; Valentim, B.; Lázaro-Martínez, J.M.; Freire, C. Acid functionalized coal fly ashes: New solid catalysts for levulinic acid esterification. Catal. Today 2020, 357, 74–83. [Google Scholar] [CrossRef]
- Antonetti, C.; Licursi, D.; Fulignati, S.; Valentini, G.; Maria, A.; Galletti, R. New Frontiers in the Catalytic Synthesis of Levulinic Acid: From Sugars to Raw and Waste Biomass as Starting Feedstock. Catalysts 2016, 6, 196. [Google Scholar] [CrossRef]
- Lappalainen, K.; Vogeler, N.; Kärkkäinen, J.; Dong, Y.; Niemelä, M.; Rusanen, A.; Ruotsalainen, A.L.; Wäli, P.; Markkola, A.; Lassi, U. Microwave-assisted conversion of novel biomass materials into levulinic acid. Biomass Convers. Biorefin. 2018, 8, 965–970. [Google Scholar] [CrossRef]
- Joshi, S.S.; Zodge, A.D.; Pandare, K.V.; Kulkarni, B.D. Efficient conversion of cellulose to levulinic acid by hydrothermal treatment using zirconium dioxide as a recyclable solid acid catalyst. Ind. Eng. Chem. Res. 2014, 53, 18796–18805. [Google Scholar] [CrossRef]
- Qi, X.; Watanabe, M.; Aida, T.M.; Smith, R.L. Sulfated zirconia as a solid acid catalyst for the dehydration of fructose to 5-hydroxymethylfurfural. Catal. Commun. 2009, 10, 1771–1775. [Google Scholar] [CrossRef]
- Pyo, S.H.; Glaser, S.J.; Rehnberg, N.; Hatti-Kaul, R. Clean Production of Levulinic Acid from Fructose and Glucose in Salt Water by Heterogeneous Catalytic Dehydration. ACS Omega 2020, 5, 14275–14282. [Google Scholar] [CrossRef]
- Kobayashi, H.; Kaiki, H.; Shrotri, A.; Techikawara, K.; Fukuoka, A. Hydrolysis of woody biomass by a biomass-derived reusable heterogeneous catalyst. Chem. Sci. 2016, 7, 692–696. [Google Scholar] [CrossRef] [PubMed]
- Geboers, J.; Van de Vyver, S.; Carpentier, K.; Jacobs, P.; Sels, B. Hydrolytic hydrogenation of cellulose with hydrotreated caesium salts of heteropoly acids and Ru/C. Green Chem. 2011, 13, 2167–2174. [Google Scholar] [CrossRef]
- Lopes, E.S.; Leal Silva, J.F.; Rivera, E.C.; Gomes, A.P.; Lopes, M.S.; Maciel Filho, R.; Tovar, L.P. Challenges to Levulinic Acid and Humins Valuation in the Sugarcane Bagasse Biorefinery Concept. Bioenergy Res. 2020, 13, 757–774. [Google Scholar] [CrossRef]
- Patil, S.K.R.; Lund, C.R.F. Formation and Growth of Humins via Aldol Addition and condensation during acid-catalyzed conversion of 5-hydroxymethylfurfural. Energy Fuels 2011, 25, 4745–4755. [Google Scholar] [CrossRef]
- Zandvoort, I.V.; Wang, Y.; Rasrendra, C.B.; Eck, E.R.H.V.; Bruijnincx, P.C.A.; Heeres, H.J.; Weckhuysen, B.M. Formation, Molecular Structure, and Morphology of Humins in Biomass Conversion: Influence of Feedstock and Processing Conditions. ChemSusChem 2013, 6, 1745–1758. [Google Scholar] [CrossRef] [PubMed]
- Peeters, G.H.I.B.M.; Tedesco, S. Solid residue and by—Product yields from acid—Catalysed conversion of poplar wood to levulinic acid. Chem. Pap. 2020, 74, 1647–1661. [Google Scholar]
- Hayes, D.J.; Fitzpatrick, S.; Hayes, M.H.B.; Ross, J.R.H. The Biofine Process—Production of Levulinic Acid, Furfural, and Formic Acid from Lignocellulosic Feedstocks. In Biorefineries-Industrial Processes and Products: Status Quo and Future Directions; Kanm, B., Gruber, P.R., Kamm, M., Eds.; WILEY-VCH Verlag GmbH & Co. KGaA: Weinheim, Germany, 2006. [Google Scholar]
- Agarwal, S.; Van Es, D.; Heeres, H.J. Catalytic pyrolysis of recalcitrant, insoluble humin byproducts from C6 sugar biorefineries. J. Anal. Appl. Pyrolysis 2017, 123, 134–143. [Google Scholar] [CrossRef]
- Melligan, F.; Dussan, K.; Auccaise, R.; Novotny, E.H.; Leahy, J.J.; Hayes, M.H.B.; Kwapinski, W. Bioresource Technology Characterisation of the products from pyrolysis of residues after acid hydrolysis of Miscanthus. Bioresour. Technol. 2012, 108, 258–263. [Google Scholar] [CrossRef] [PubMed]
- Mija, A.; Van Der Waal, J.C.; Pin, J.; Guigo, N.; De Jong, E. Virtual Special Issue Bio Based Building Materials Humins as promising material for producing sustainable carbohydrate-derived building materials. Constr. Build. Mater. 2017, 139, 594–601. [Google Scholar] [CrossRef]
- Lehmann, J.; Joseph, S. Biochar for Environmental Management; EarthScan: London, UK, 2012; ISBN 9781844076581. [Google Scholar]
- Nielsen, S.; Minchin, T.; Kimber, S.; van Zwieten, L.; Gilbert, J.; Munroe, P.; Joseph, S.; Thomas, T. Comparative analysis of the microbial communities in agricultural soil amended with enhanced biochars or traditional fertilisers. Agric. Ecosyst. Environ. 2014, 191, 73–82. [Google Scholar] [CrossRef]
- Solaiman, Z.M.; Anawar, H.M. Application of Biochars for Soil Constraints: Challenges and Solutions. Pedosphere 2015, 25, 631–638. [Google Scholar] [CrossRef]
- McCalmont, J.P.; Hastings, A.; McNamara, N.P.; Richter, G.M.; Robson, P.; Donnison, I.S.; Clifton-Brown, J. Environmental costs and benefits of growing Miscanthus for bioenergy in the UK. Gcb Bioenergy 2017, 9, 489–507. [Google Scholar] [CrossRef]
- Sluiter, A.; Hames, B.; Hyman, D.; Payne, C.; Ruiz, R.; Scarlata, C.; Sluiter, J.; Templeton, D.; Wolfe, J. Determination of total solids in biomass and total dissolved solids in liquid process samples. Laboratory Analytical Procedure (LAP). Natl. Renew. Energy Lab. 2008, 9, 1–6. [Google Scholar]
- Ehrman, T. Standard Method for Ash in Biomass; Laboratory Analytical Procedure-005, National Renewable Energy Laboratory, Midwest Research Institute for the Department of Energy: Golden, Colorado, 1994. [Google Scholar]
- Park, S.; Baker, J.O.; Himmel, M.E.; Parilla, P.A.; Johnson, D.K. Cellulose crystallinity index: Measurement techniques and their impact on interpreting cellulase performance. Biotechnol. Biofuels 2010, 3, 1–10. [Google Scholar] [CrossRef]
- Kassaye, S.; Pagar, C.; Pant, K.K.; Jain, S.; Gupta, R. Depolymerization of microcrystalline cellulose to value added chemicals using sulfate ion promoted zirconia catalyst. Bioresour. Technol. 2016, 220, 394–400. [Google Scholar] [CrossRef]
- Ding, D.; Wang, J.; Xi, J.; Liu, X.; Lu, G.; Wang, Y. High-yield production of levulinic acid from cellulose and its upgrading to γ-valerolactone. Green Chem. 2014, 16, 3846–3853. [Google Scholar] [CrossRef]
- Muthu, H.; Selvabala, V.S.; Varathachary, T.K.; Selvaraj, D.K.; Nandagopal, J.; Subramanian, S. Synthesis of biodiesel from neem oil using sulfated zirconia via tranesterification. Braz. J. Chem. Eng. 2010, 27, 601–608. [Google Scholar] [CrossRef]
- Yuan, H.; Dong, Z.; He, J.; Wang, Y.; Zhang, H. Surface characterization of sulfated zirconia and its catalytic activity for epoxidation reaction of castor oil. Chem. Eng. Commun. 2019, 206, 1618–1627. [Google Scholar] [CrossRef]
- Pyo, S.H.; Sayed, M.; Hatti-Kaul, R. Batch and Continuous Flow Production of 5-Hydroxymethylfurfural from a High Concentration of Fructose Using an Acidic Ion Exchange Catalyst. Org. Process Res. Dev. 2019, 23, 952–960. [Google Scholar] [CrossRef]
- Abdilla-Santes, R.M.; Agarwal, S.; Xi, X.; Heeres, H.; Deuss, P.J.; Heeres, H.J. Valorization of humin type byproducts from pyrolytic sugar conversions to biobased chemicals. J. Anal. Appl. Pyrolysis 2020, 152, 104963. [Google Scholar] [CrossRef]
- Han, T.; Ding, S.; Yang, W.; Jönsson, P. Catalytic pyrolysis of lignin using low-cost materials with different acidities and textural properties as catalysts. Chem. Eng. J. 2019, 373, 846–856. [Google Scholar] [CrossRef]
- Channiwala, S.A.; Parikh, P.P. A unified correlation for estimating HHV of solid, liquid and gaseous fuels. Fuel 2002, 81, 1051–1063. [Google Scholar] [CrossRef]
- Di Fidio, N.; Galletti, A.M.R.; Fulignati, S.; Licursi, D.; Liuzzi, F.; De Bari, I.; Antonetti, C. Multi-step exploitation of raw arundo donax L. For the selective synthesis of second-generation sugars by chemical and biological route. Catalysts 2020, 10, 79. [Google Scholar] [CrossRef]
- Kambo, H.S.; Dutta, A. A comparative review of biochar and hydrochar in terms of production, physico-chemical properties and applications. Renew. Sustain. Energy Rev. 2015, 45, 359–378. [Google Scholar] [CrossRef]






| Sample | SBET (m2 g−1) | VTOTAL (cm3 g−1) | VMICRO (cm3 g−1) | SEXT (m2 g−1) | D (nm) |
|---|---|---|---|---|---|
| Raw SZR | 72 | 0.10 | 0.009 | 53 | 5.6 |
| Solid Residue | 23 | 0.11 | 0.005 | 13 | 19.9 |
| Value | |
|---|---|
| Estimated SR Sep. Yield/wt.% | 79.0% |
| ZrO2 content/wt.% | 21% |
| Ash/% | 36.3% |
| ZrO2 adjusted Ash/wt.% | 14.9% |
| C/wt.% | 36.8% |
| H/wt.% | 4.3% |
| O/wt.% | 20.2% |
| C/N | 134.00 |
| H/C | 1.40 |
| O/C | 0.42 |
| HHV */MJ kg−1 | 16.2 |
Publisher’s Note: MDPI stays neutral with regard to jurisdictional claims in published maps and institutional affiliations. |
© 2021 by the authors. Licensee MDPI, Basel, Switzerland. This article is an open access article distributed under the terms and conditions of the Creative Commons Attribution (CC BY) license (http://creativecommons.org/licenses/by/4.0/).
Share and Cite
Hurst, G.; González-Carballo, J.M.; Tosheva, L.; Tedesco, S. Synergistic Catalytic Effect of Sulphated Zirconia—HCl System for Levulinic Acid and Solid Residue Production Using Microwave Irradiation. Energies 2021, 14, 1582. https://doi.org/10.3390/en14061582
Hurst G, González-Carballo JM, Tosheva L, Tedesco S. Synergistic Catalytic Effect of Sulphated Zirconia—HCl System for Levulinic Acid and Solid Residue Production Using Microwave Irradiation. Energies. 2021; 14(6):1582. https://doi.org/10.3390/en14061582
Chicago/Turabian StyleHurst, George, Juan Maria González-Carballo, Lubomira Tosheva, and Silvia Tedesco. 2021. "Synergistic Catalytic Effect of Sulphated Zirconia—HCl System for Levulinic Acid and Solid Residue Production Using Microwave Irradiation" Energies 14, no. 6: 1582. https://doi.org/10.3390/en14061582
APA StyleHurst, G., González-Carballo, J. M., Tosheva, L., & Tedesco, S. (2021). Synergistic Catalytic Effect of Sulphated Zirconia—HCl System for Levulinic Acid and Solid Residue Production Using Microwave Irradiation. Energies, 14(6), 1582. https://doi.org/10.3390/en14061582

