Neural Network Approach for Global Solar Irradiance Prediction at Extremely Short-Time-Intervals Using Particle Swarm Optimization Algorithm
Abstract
1. Introduction
2. Theory of Backpropagation Neural Network Structure
3. Methodology Proposed Hybrid BPNN-PSO for Predicting GSR
3.1. Particle Swarm Optimization Algorithm
3.2. Performance Evaluation
3.3. Data Preparation and Model Execution
4. Discussion and Results
4.1. Objective Function Performance of PV Solar Irradiance
4.2. PV Solar Irradiance Optimal Parameters
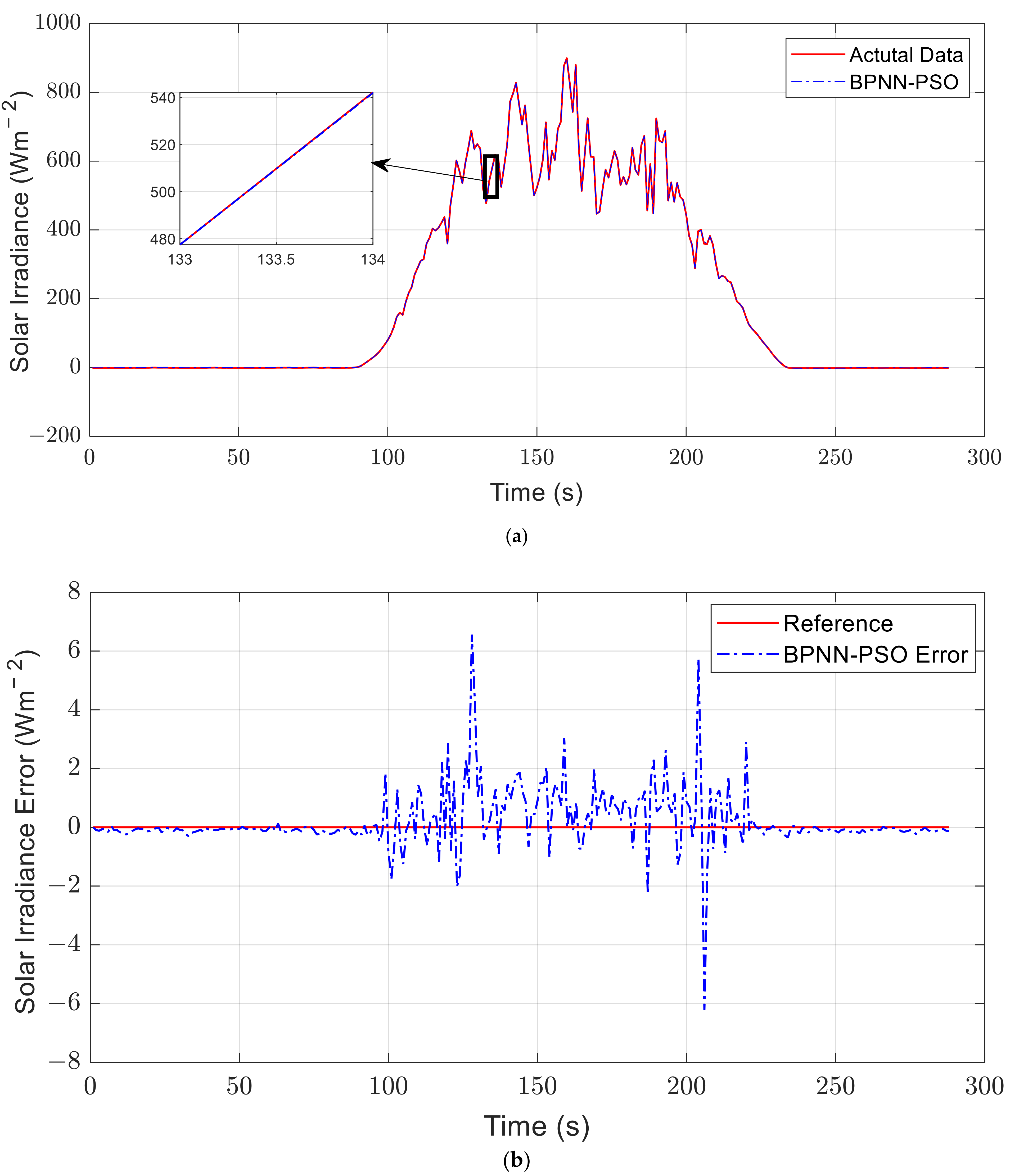
4.3. PV Solar Irradiance Prediction
4.4. Performance Comparison Using Regression Coefficient
5. Model Validation with the Existing Methods
6. Conclusions
Author Contributions
Funding
Data Availability Statement
Conflicts of Interest
Abbreviations
| GSR | Global solar irradiance |
| BPNN | Backpropagation neural network |
| PSO | Particle swarm optimization |
| PV | Photovoltaics |
| ANN | Artificial neural network |
| ANFIS | Adaptive neural-fuzzy inference system |
| MLFFNN | Multilayer feedforward neural network |
| MLP-NN | Multilayer perception neural network |
| MAE | Mean absolute error |
| GR-NN | Generalized regression neural network |
| RBF-NN | Radial basis function neural network |
| RMSE | Root mean square error |
References
- Jung, S.; Yoon, Y.T. Optimal Operating Schedule for Energy Storage System: Focusing on Efficient Energy Management for Microgrid. Processes 2019, 7, 80. [Google Scholar] [CrossRef]
- Zhou, Y.; Wang, D.; Liu, Y.; Liu, J. Diffuse solar radiation models for different climate zones in China: Model evaluation and general model development. Energy Convers. Manag. 2019, 185, 518–536. [Google Scholar] [CrossRef]
- Verbois, H.; Huva, R.; Rusydi, A.; Walsh, W. Solar irradiance forecasting in the tropics using numerical weather prediction and statistical learning. Sol. Energy 2018, 162, 265–277. [Google Scholar] [CrossRef]
- Wang, Z.; Tian, C.; Zhu, Q.; Huang, M. Hourly Solar Radiation Forecasting Using a Volterra-Least Squares Support Vector Ma-chine Model Combined with Signal Decomposition. Energies 2018, 11, 68. [Google Scholar] [CrossRef]
- Liu, Y.; Zhou, Y.; Chen, Y.; Wang, D.; Wang, Y.; Zhu, Y. Comparison of support vector machine and copula-based nonlinear quan-tile regression for estimating the daily diffuse solar radiation: A case study in China. Renew. Energy 2020, 146, 1101–1112. [Google Scholar] [CrossRef]
- El Mghouchi, Y.; Chham, E.; Zemmouri, E.; El Bouardi, A. Assessment of different combinations of meteorological parameters for predicting daily global solar radiation using artificial neural networks. Build. Environ. 2019, 149, 607–622. [Google Scholar] [CrossRef]
- Marzouq, M.; Bounoua, Z.; El Fadili, H.; Mechaqrane, A.; Zenkouar, K.; Lakhliai, Z. New daily global solar irradiation estimation model based on automatic selection of input parameters using evolutionary artificial neural networks. J. Clean. Prod. 2019, 209, 1105–1118. [Google Scholar] [CrossRef]
- Wang, F.; Xuan, Z.; Zhen, Z.; Li, K.; Wang, T.; Shi, M. A day-ahead PV power forecasting method based on LSTM-RNN model and time correlation modification under partial daily pattern prediction framework. Energy Convers. Manag. 2020, 212, 112766. [Google Scholar] [CrossRef]
- Jadidi, A.; Menezes, R.J.A.; De Souza, N.; Lima, A.D.C. A Hybrid GA–MLPNN Model for One-Hour-Ahead Forecasting of the Global Horizontal Irradiance in Elizabeth City, North Carolina. Energies 2018, 11, 2641. [Google Scholar] [CrossRef]
- Jiang, H. A novel approach for forecasting global horizontal irradiance based on sparse quadratic RBF neural network. Energy Convers. Manag. 2017, 152, 266–280. [Google Scholar] [CrossRef]
- Lotfinejad, M.M.; Hafezi, R.; Khanali, M.; Hosseini, S.S.; Mehrpooya, M.; Shamshirband, S. A Comparative Assessment of Predicting Daily Solar Radiation Using Bat Neural Network (BNN), Generalized Regression Neural Network (GRNN), and Neuro-Fuzzy (NF) System: A Case Study. Energies 2018, 11, 1188. [Google Scholar] [CrossRef]
- Ghimire, S.; Deo, R.C.; Downs, N.J.; Raj, N. Self-adaptive differential evolutionary extreme learning machines for long-term solar radiation prediction with remotely-sensed MODIS satellite and Reanalysis atmospheric products in solar-rich cities. Remote Sens. Environ. 2018, 212, 176–198. [Google Scholar] [CrossRef]
- Ghimire, D.; Raj, M. Deep Learning Neural Networks Trained with MODIS Satellite-Derived Predictors for Long-Term Global Solar Radiation Prediction. Energies 2019, 12, 2407. [Google Scholar] [CrossRef]
- Dong, N.; Chang, J.-F.; Wu, A.-G.; Gao, Z.-K. A novel convolutional neural network framework based solar irradiance prediction method. Int. J. Electr. Power Energy Syst. 2020, 114, 105411. [Google Scholar] [CrossRef]
- Wang, L.; Kisi, O.; Zounemat-Kermani, M.; Salazar, G.A.; Zhu, Z.; Gong, W. Solar radiation prediction using different techniques: Model evaluation and comparison. Renew. Sustain. Energy Rev. 2016, 61, 384–397. [Google Scholar] [CrossRef]
- Elsheikh, A.H.; Sharshir, S.W.; Elaziz, M.A.; Kabeel, A.E.; Guilan, W.; Zhang, H. Modeling of solar energy systems using artificial neural network: A comprehensive review. Sol. Energy 2019, 180, 622–639. [Google Scholar] [CrossRef]
- Meenal, R.; Selvakumar, A.I. Assessment of SVM, empirical and ANN based solar radiation prediction models with most influencing input parameters. Renew. Energy 2018, 121, 324–343. [Google Scholar] [CrossRef]
- Mohammadi, K.; Shamshirband, S.; Tong, C.W.; Alam, K.A.; Petković, D. Potential of adaptive neuro-fuzzy system for prediction of daily global solar radiation by day of the year. Energy Convers. Manag. 2015, 93, 406–413. [Google Scholar] [CrossRef]
- Wu, L.; Huang, G.; Fan, J.; Zhang, F.; Wang, X.; Zeng, W. Potential of kernel-based nonlinear extension of Arps decline model and gradient boosting with categorical features support for predicting daily global solar radiation in humid regions. Energy Convers. Manag. 2019, 183, 280–295. [Google Scholar] [CrossRef]
- Khosravi, A.; Koury, R.; Machado, L.; Pabon, J. Prediction of hourly solar radiation in Abu Musa Island using machine learning algorithms. J. Clean. Prod. 2018, 176, 63–75. [Google Scholar] [CrossRef]
- Fan, J.; Wu, L.; Zhang, F.; Cai, H.; Zeng, W.; Wang, X.; Zou, H. Empirical and machine learning models for predicting daily global solar radiation from sunshine duration: A review and case study in China. Renew. Sustain. Energy Rev. 2019, 100, 186–212. [Google Scholar] [CrossRef]
- Bayrakçı, H.C.; Demircan, C.; Keçebaş, A. The development of empirical models for estimating global solar radiation on horizontal surface: A case study. Renew. Sustain. Energy Rev. 2018, 81, 2771–2782. [Google Scholar] [CrossRef]
- Wang, H.; Liu, Y.; Zhou, B.; Li, C.; Cao, G.; Voropai, N.; Barakhtenko, E. Taxonomy research of artificial intelligence for deterministic solar power forecasting. Energy Convers. Manag. 2020, 214, 112909. [Google Scholar] [CrossRef]
- Ibrahim, I.A.; Khatib, T. A novel hybrid model for hourly global solar radiation prediction using random forests technique and firefly algorithm. Energy Convers. Manag. 2017, 138, 413–425. [Google Scholar] [CrossRef]
- Hocaoglu, F.O.; Serttaş, F. A novel hybrid (Mycielski-Markov) model for hourly solar radiation forecasting. Renew. Energy 2017, 108, 635–643. [Google Scholar] [CrossRef]
- Ji, W.; Chee, K.C. Prediction of hourly solar radiation using a novel hybrid model of ARMA and TDNN. Sol. Energy 2011, 85, 808–817. [Google Scholar] [CrossRef]
- Zang, H.; Cheng, L.; Ding, T.; Cheung, K.W.; Wang, M.; Wei, Z.; Sun, G. Estimation and validation of daily global solar radiation by day of the year-based models for different climates in China. Renew. Energy 2019, 135, 984–1003. [Google Scholar] [CrossRef]
- Aybar-Ruiz, A.; Jiménez-Fernández, S.; Cornejo-Bueno, L.; Casanova-Mateo, C.; Sanz-Justo, J.; Salvador-González, P.; Salcedo-Sanz, S. A novel Grouping Genetic Algorithm–Extreme Learning Machine approach for global solar radiation prediction from numerical weather models inputs. Sol. Energy 2016, 132, 129–142. [Google Scholar] [CrossRef]
- Qazi, A.; Fayaz, H.; Wadi, A.; Raj, R.G.; Rahim, N.; Khan, W.A. The artificial neural network for solar radiation prediction and designing solar systems: A systematic literature review. J. Clean. Prod. 2015, 104, 1–12. [Google Scholar] [CrossRef]
- Alsina, E.F.; Bortolini, M.; Gamberi, M.; Regattieri, A. Artificial neural network optimisation for monthly average daily global solar radiation prediction. Energy Convers. Manag. 2016, 120, 320–329. [Google Scholar] [CrossRef]
- Premalatha, N.; Arasu, A.V. Prediction of solar radiation for solar systems by using ANN models with different back propagation algorithms. J. Appl. Res. Technol. 2016, 14, 206–214. [Google Scholar] [CrossRef]
- Yadav, A.K.; Chandel, S. Solar radiation prediction using Artificial Neural Network techniques: A review. Renew. Sustain. Energy Rev. 2014, 33, 772–781. [Google Scholar] [CrossRef]
- Mohandes, M.A. Modeling global solar radiation using Particle Swarm Optimization (PSO). Sol. Energy 2012, 86, 3137–3145. [Google Scholar] [CrossRef]
- Ghazvinian, H.; Mousavi, S.-F.; Karami, H.; Farzin, S.; Ehteram, M.; Hossain, S.; Fai, C.M.; Bin Hashim, H.; Singh, V.P.; Ros, F.C.; et al. Integrated support vector regression and an improved particle swarm optimization-based model for solar radiation prediction. PLoS ONE 2019, 14, e0217634. [Google Scholar] [CrossRef]
- Ehteram, M.; Ahmed, A.N.; Chow, M.F.; Afan, H.A.; El-Shafie, A. Accuracy Enhancement for Zone Mapping of a Solar Radiation Forecasting Based Multi-Objective Model for Better Management of the Generation of Renewable Energy. Energies 2019, 12, 2730. [Google Scholar] [CrossRef]
- Malvoni, M.; Hatziargyriou, N. One-day ahead PV power forecasts using 3D Wavelet Decomposition. In Proceedings of the 2019 International Conference on Smart Energy Systems and Technologies (SEST), Porto, Portugal, 9–11 September 2019; pp. 1–6. [Google Scholar]
- Zou, L.; Wang, L.; Xia, L.; Zou, L.; Hu, B.; Zhu, H. Prediction and comparison of solar radiation using improved empirical models and Adaptive Neuro-Fuzzy Inference Systems. Renew. Energy 2017, 106, 343–353. [Google Scholar] [CrossRef]
- Ghimire, S.; Deo, R.C.; Downs, N.J.; Raj, N. Global solar radiation prediction by ANN integrated with European Centre for medium range weather forecast fields in solar rich cities of Queensland Australia. J. Clean. Prod. 2019, 216, 288–310. [Google Scholar] [CrossRef]
- Çelik, Ö.; Teke, A.; Yıldırım, H.B. The optimized artificial neural network model with Levenberg–Marquardt algorithm for global solar radiation estimation in Eastern Mediterranean Region of Turkey. J. Clean. Prod. 2016, 116, 1–12. [Google Scholar] [CrossRef]
- Shamshirband, S.; Mohammadi, K.; Chen, H.-L.; Samy, G.N.; Petković, D.; Ma, C. Daily global solar radiation prediction from air temperatures using kernel extreme learning machine: A case study for Iran. J. Atmospheric Solar-Terrestrial Phys. 2015, 134, 109–117. [Google Scholar] [CrossRef]
- Quej, V.H.; Almorox, J.; Ibrakhimov, M.; Saito, L. Empirical models for estimating daily global solar radiation in Yucatán Peninsula, Mexico. Energy Convers. Manag. 2016, 110, 448–456. [Google Scholar] [CrossRef]
- Anis, S.; Jamil, B.; Ansari, A.; Bellos, E. Generalized models for estimation of global solar radiation based on sunshine duration and detailed comparison with the existing: A case study for India. Sustain. Energy Technol. Assess. 2019, 31, 179–198. [Google Scholar] [CrossRef]
- Olatomiwa, L.; Mekhilef, S.; Shamshirband, S.; Mohammadi, K.; Petković, D.; Sudheer, C. A support vector machine–firefly algorithm-based model for global solar radiation prediction. Sol. Energy 2015, 115, 632–644. [Google Scholar] [CrossRef]
- Khosravi, A.; Nunes, R.; Assad, M.E.H.; Machado, L. Comparison of artificial intelligence methods in estimation of daily global solar radiation. J. Clean. Prod. 2018, 194, 342–358. [Google Scholar] [CrossRef]
- Halabi, L.M.; Mekhilef, S.; Hossain, M. Performance evaluation of hybrid adaptive neuro-fuzzy inference system models for predicting monthly global solar radiation. Appl. Energy 2018, 213, 247–261. [Google Scholar] [CrossRef]











| Parameters | Symbol | Value |
|---|---|---|
| Population Size | N | 10 |
| No. of Dimensions | D | 5 |
| No. of Iterations | T | 500 |
| Maximum Weight | Wmax | 0.9 |
| Minimum Weight | Wmin | 0.4 |
| Acceleration Coefficient | c1, c2 | 2 |
| Type of Profile | Time Intervals | RMSE × 10−2 (W m−2) | MAE × 10−2 (W m−2) | MSE × 10−2 | MAPE [%] |
|---|---|---|---|---|---|
| 3-Days Profile | 5-s | 1.7078 | 0.7537 | 0.0292 | 31.4348 |
| 1 min | 0.6566 | 0.2754 | 0.0043 | 1.4732 | |
| 1-Day Profile | 5-s | 0.1911 | 0.1000 | 0.0004 | 0.7484 |
| 1 min | 0.2032 | 0.0956 | 0.0004 | 1.1271 |
| Profile | Time Interval | Hidden Layers | Neuron 1 | Neuron 2 | Neuron 3 | Learning Rate | Number of Iterations |
|---|---|---|---|---|---|---|---|
| 3-Days | 5-s | 1 | 7 | 0 | 0 | 0.1295 | 22 |
| 1-min | 2 | 14 | 9 | 0 | 0.7373 | 35 | |
| 1-Day | 5-s | 2 | 8 | 2 | 0 | 0.5946 | 76 |
| 1-min | 2 | 9 | 11 | 0 | 0.6481 | 91 |
| Model | Time Interval | Statistical Error Indexes | Study Location | |||
|---|---|---|---|---|---|---|
| RMSE (MJ/m2/day) | MAE (MJ/m2/day) | MSE | MAPE (%) | |||
| ANN, Genetic Programming (GP) [38] | 1 h | 1.613, 2.142 | 1.146, 1.629 | − | − | Australia |
| ANN [39] | 1 h | − | − | − | 3.288 | Turkey (Mersin) |
| SVR [40] | 1 h | 2.5243 | − | − | − | Iran |
| Empirical [41] | 1 h | 2.522 | − | − | 16.078 | Mexico (Yucatan Peninsula/Calakmut) |
| RF-FFA [24] | 1 h | 18.9797 | − | − | 6.3826 | Malaysia |
| Generalized Models [42] | 1 h | 1.7925 | 1.3800 | − | − | India |
| ANFIS [18] | 1 h | 1.0482 | − | − | 4.6402 | Iran |
| SVM-FFA [43] | 1 h | 0.6988 | − | − | 6.1768 | Nigeria |
| MLFFNN [44] | 1 h | 0.3214 (kWh/m2/day) | 0.2531 | 0.1033 (kWh/m2/day) | 3.316 | Iran |
| ANFIS, ANFIS-PSO, ANFIS-GA, ANFIS-DE [45] | 1 h | 0.3712, 0.3121, 0.3285, 0.3765 | − | − | − | Malaysia |
| BPNN-PSO (Proposed Model) | 5 s, 1 min | 0.1911, 0.2032 | 0.1000, 0.0956 | 0.0004, 0.0004 | 0.7484, 1.1271 | Malaysia |
Publisher’s Note: MDPI stays neutral with regard to jurisdictional claims in published maps and institutional affiliations. |
© 2021 by the authors. Licensee MDPI, Basel, Switzerland. This article is an open access article distributed under the terms and conditions of the Creative Commons Attribution (CC BY) license (http://creativecommons.org/licenses/by/4.0/).
Share and Cite
Aljanad, A.; Tan, N.M.L.; Agelidis, V.G.; Shareef, H. Neural Network Approach for Global Solar Irradiance Prediction at Extremely Short-Time-Intervals Using Particle Swarm Optimization Algorithm. Energies 2021, 14, 1213. https://doi.org/10.3390/en14041213
Aljanad A, Tan NML, Agelidis VG, Shareef H. Neural Network Approach for Global Solar Irradiance Prediction at Extremely Short-Time-Intervals Using Particle Swarm Optimization Algorithm. Energies. 2021; 14(4):1213. https://doi.org/10.3390/en14041213
Chicago/Turabian StyleAljanad, Ahmed, Nadia M. L. Tan, Vassilios G. Agelidis, and Hussain Shareef. 2021. "Neural Network Approach for Global Solar Irradiance Prediction at Extremely Short-Time-Intervals Using Particle Swarm Optimization Algorithm" Energies 14, no. 4: 1213. https://doi.org/10.3390/en14041213
APA StyleAljanad, A., Tan, N. M. L., Agelidis, V. G., & Shareef, H. (2021). Neural Network Approach for Global Solar Irradiance Prediction at Extremely Short-Time-Intervals Using Particle Swarm Optimization Algorithm. Energies, 14(4), 1213. https://doi.org/10.3390/en14041213

