MPG Illusion and Vehicle Choice: An Empirical Study of the Japanese Household Survey
Abstract
:1. Introduction
2. Questionnaire Survey and Analysis
2.1. Questionnaire Survey
2.2. Matching Auto Vehicle Data
2.3. Regression Analysis
3. Results
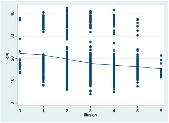
3.1. Relationship between KPL Selection, KPL Illusion and Time Preference
3.2. Factor Analysis of KPL Selection of Respondents’ Automotive Vehicles
3.3. Robustness Check by Semiparametric Estimation
4. Discussion and Conclusions
Author Contributions
Funding
Institutional Review Board Statement
Informed Consent Statement
Data Availability Statement
Conflicts of Interest
Appendix A. Confirmation of the Functional Form of the Income Effect
| Independent Variable | Model 1 (Base Model) | Model 2 | Model 3 |
|---|---|---|---|
| Income | 0.001 * | −0.004 * | −0.017 *** |
| (0.001) | (0.001) | (0.005) | |
| Income2 | 2.35 × 10−6 ** | 0.0001 *** | |
| (9.47 × 10−7) | (5.53 × 10−6) | ||
| Income3 | −4.89 × 10−9 *** | ||
| (1.74 × 10−9) | |||
| Male | −1.409 *** | −1.335 *** | −1.344 *** |
| (0.468) | (0.468) | (0.466) | |
| Family | −0.785 *** | −0.731 *** | −0.691 *** |
| (0.174) | (0.175) | (0.175) | |
| Running | 0.166 * | 0.168 * | 0.175 * |
| (0.092) | (0.092) | (0.091) | |
| Illusion | −1.322 *** | −1.326 *** | −1.345 *** |
| (0.188) | (0.188) | (0.131) | |
| Time | 0.124 | 0.118 | 0.119 |
| (0.131) | (0.131) | (1.512)) | |
| c | 23.994 *** | 25.517 *** | 28.437 *** |
| (0.919) | (1.104) | (1.512) | |
| R2 | 0.059 | 0.067 | 0.067 |
| observation | 1298 | 1298 | 1298 |
Appendix B. The Semiparametric Estimation Results (Linear Parametric Variables)
| Independent Variable | Coefficient |
|---|---|
| Income | 0.0030 |
| (0.003) | |
| Male | −2.539 * |
| (1.349) | |
| Family | −0.573 * |
| (0.325) | |
| Running | 0.253 * |
| (0.129) | |
| Time | 0.301 * |
| (0.165) | |
| R2 | 0.014 |
| observation | 1297 |
References
- Hausman, J.A. Individual discount rates and the purchase and utilization of energy-using durables. Bell J. Econ. 1979, 10, 33–54. [Google Scholar] [CrossRef]
- Dreyfus, M.K.; Viscusi, W.K. Rates of Time Preference and Consumer Valuations of Automobile Safety and Fuel Efficiency. J. Law Econ. 1995, 38, 79–105. [Google Scholar] [CrossRef]
- Gabaix, X. Behavioral inattention. In Handbook of Behavioral Economics: Applications and Foundations 2, 1st ed.; North-Holland: Amsterdam, The Netherlands, 2019. [Google Scholar]
- Jaffe, A.B.; Stavins, R.N. The energy paradox and the diffusion of conservation technology. Resour. Energy Econ. 1994, 16, 91–122. [Google Scholar] [CrossRef]
- Allcott, H. The Welfare Effects of Misperceived Product Costs: Data and Calibrations from the Automobile Market. Am. Econ. J. Econ. Policy 2013, 5, 30–66. [Google Scholar] [CrossRef]
- Mullainathan, S.; Schwartzstein, J.; Shleifer, A. Coarse thinking and persuasion. Q. J. Econ. 2008, 123, 577–619. [Google Scholar] [CrossRef] [Green Version]
- Larrick, R.P.; Soll, J.B. Economics. The MPG illusion. Science 2008, 320, 1593–1594. [Google Scholar] [CrossRef] [PubMed]
- Allcott, H.; Knittel, C. Are Consumers Poorly Informed about Fuel Economy? Evidence from Two Experiments. Am. Econ. J. Econ. Policy 2019, 11, 1–37. [Google Scholar] [CrossRef] [Green Version]
- Turrentine, T.S.; Kurani, K.S. Car buyers and fuel economy? Energy Policy 2007, 35, 1213–1223. [Google Scholar] [CrossRef] [Green Version]
- Levinson, A.; Sager, L. Who Values Future Energy Savings? Evidence from American Drivers; No. w28219; National Bureau of Economic Research: Cambridge, MA, USA, 2020. [Google Scholar]
- Allcott, H. Consumers’ perceptions and misperceptions of energy costs. Am. Econ. Rev. 2011, 101, 98–104. [Google Scholar] [CrossRef] [Green Version]
- Tanaka, K.; Managi, S. Ecological Friendly Transportation: Cost of Subsidy and Tax Reduction Scheme. In The Economics of Green Growth; Managi, S., Ed.; Routledge: New York, NY, USA, 2015. [Google Scholar]
- Japan Automobile Manufacturers Association. Passenger Car Market Trends. 2019. Available online: https://www.jama.or.jp/lib/invest_analysis/pdf/2019PassengerCars.pdf (accessed on 9 April 2021).
- Frederick, S.; Loewenstein, G.; O’Donoghue, T. Time discounting and time preference: A critical review. J. Econ. Lit. 2002, 40, 351–401. [Google Scholar] [CrossRef]
- Society of Automobile Engineers of Japan. Specification Sheet of Automobile; Publication division of Society of automobile engineers of Japan: Tokyo, Japan, 2010. [Google Scholar]
- Schmalensee, R.; Stoker, T.M. Household gasoline demand in the United States. Econometrica 1999, 67, 645–662. [Google Scholar] [CrossRef] [Green Version]
- Tanaka, T.; Camerer, C.F.; Nguyen, Q. Risk and time preferences: Linking experimental and household survey data from Vietnam. Am. Econ. Rev. 2010, 100, 557–571. [Google Scholar] [CrossRef] [Green Version]
- Konishi, Y.; Zhao, M. Can green car taxes restore efficiency? Evidence from the Japanese new car market. J. Assoc. Environ. Resour. Econ. 2017, 4, 51–87. [Google Scholar] [CrossRef] [Green Version]
- Ito, K.; Sallee, J.M. The economics of attribute-based regulation: Theory and evidence from fuel economy standards. Rev. Econ. Stat. 2018, 100, 319–336. [Google Scholar] [CrossRef] [Green Version]
- Japan Automobile Dealers Association. Statistics Data. 2020. Available online: http://www.jada.or.jp/data/ (accessed on 23 October 2020).
- Tanaka, K.; Sekito, M.; Managi, S.; Kaneko, S.; Rai, V. Decision-making governance for purchases of solar photovoltaic systems in Japan. Energy Policy 2017, 111, 75–84. [Google Scholar] [CrossRef]


| Option | P | Q | ||
|---|---|---|---|---|
| No of Question | Now | After Upgrade | Now | After Upgrade |
| 1 | 15 km/L | 25 km/L | 10 km/L | 20 km/L |
| 2 | 15 km/L | 25 km/L | 20 km/L | 30 km/L |
| 3 | 15 km/L | 25 km/L | 10 km/L | 30 km/L |
| 4 | 15 km/L | 25 km/L | 20 km/L | 40 km/L |
| 5 | 15 km/L | 25 km/L | 10 km/L | 15 km/L |
| 6 | 15 km/L | 25 km/L | 20 km/L | 25 km/L |
| No of Question | P (Tomorrow) | Q (15 Days after) |
|---|---|---|
| 1 | 100,000 JP yen | 100,000 JP yen |
| 2 | 100,000 JP yen | 101,000 JP yen |
| 3 | 100,000 JP yen | 102,000 JP yen |
| 4 | 100,000 JP yen | 105,000 JP yen |
| 5 | 100,000 JP yen | 110,000 JP yen |
| 6 | 100,000 JP yen | 140,000 JP yen |
| 7 | 100,000 JP yen | 170,000 JP yen |
| 8 | 100,000 JP yen | 200,000 JP yen |
| Variable | Mean | Std. Dev. | Min | Max |
|---|---|---|---|---|
| KPL | 18.597 | 8.118 | 7.1 | 40 |
| Male | 0.6549 | 0.4756 | 0 | 1 |
| Income | 711.248 | 387.742 | 100 | 2100 |
| Family | 3.129 | 1.311 | 1 | 8 |
| Running | 4.407 | 2.400 | 1 | 11 |
| Illusion | 2.729 | 1.170 | 0 | 6 |
| Time | 1.070 | 1.681 | 0 | 7 |
| The Number of Correct Answers | The Number of Respondents | Average KPL of Respondent’s Car |
|---|---|---|
| 0 | 23 | 22.176 |
| 1 | 163 | 21.779 |
| 2 | 493 | 19.730 |
| 3 | 395 | 17.664 |
| 4 | 254 | 17.009 |
| 5 | 89 | 16.360 |
| 6 | 15 | 14.637 |
| Average KPL of all respondents | 18.687 | |
| The Number of Choice Option P | The Number of Respondents | Average KPL of Respondent’s Car |
|---|---|---|
| 1 | 876 | 18.629 |
| 2 | 103 | 19.140 |
| 3 | 189 | 18.881 |
| 4 | 116 | 17.900 |
| 5 | 73 | 18.909 |
| 6 | 27 | 20.265 |
| 7 | 17 | 14.283 |
| 8 | 31 | 21.103 |
| Average KPL of all respondents | 18.687 | |
| Independent Variable | Base Model | Logarithmic Model |
|---|---|---|
| Income | 0.001 * | −0.014 |
| (0.001) | (−0.019) | |
| Male | −1.409 *** | −0.087 *** |
| (0.468) | (0.021) | |
| Family | −0.785 *** | −0.084 *** |
| (0.174) | (0.023) | |
| Running | 0.166 * | 0.012 |
| (0.092) | (0.017) | |
| Illusion | −1.322 *** | −0.164 *** |
| (0.188) | (0.022) | |
| Time | 0.124 | - |
| (0.131) | ||
| c | 23.994 *** | 3.217 *** |
| (0.919) | (0.117) | |
| R2 | 0.059 | 0.066 |
| observation | 1298 | 1279 |
Publisher’s Note: MDPI stays neutral with regard to jurisdictional claims in published maps and institutional affiliations. |
© 2021 by the authors. Licensee MDPI, Basel, Switzerland. This article is an open access article distributed under the terms and conditions of the Creative Commons Attribution (CC BY) license (https://creativecommons.org/licenses/by/4.0/).
Share and Cite
Tanaka, K.; Iwata, K.; Managi, S. MPG Illusion and Vehicle Choice: An Empirical Study of the Japanese Household Survey. Energies 2021, 14, 7294. https://doi.org/10.3390/en14217294
Tanaka K, Iwata K, Managi S. MPG Illusion and Vehicle Choice: An Empirical Study of the Japanese Household Survey. Energies. 2021; 14(21):7294. https://doi.org/10.3390/en14217294
Chicago/Turabian StyleTanaka, Kenta, Kazuyuki Iwata, and Shunsuke Managi. 2021. "MPG Illusion and Vehicle Choice: An Empirical Study of the Japanese Household Survey" Energies 14, no. 21: 7294. https://doi.org/10.3390/en14217294
APA StyleTanaka, K., Iwata, K., & Managi, S. (2021). MPG Illusion and Vehicle Choice: An Empirical Study of the Japanese Household Survey. Energies, 14(21), 7294. https://doi.org/10.3390/en14217294
