Advanced Computational Fluid Dynamics Study of the Dissolved Oxygen Concentration within a Thin-Layer Cascade Reactor for Microalgae Cultivation
Abstract
:1. Introduction
2. Materials and Methods
2.1. Thin-Layer Reactor Design and Operating Conditions
2.2. Dissolved Oxygen Concentration within TLC and Its Impact on Photosynthetic Efficiency
2.3. CFD Model
2.4. Mass Transfer across Gas–Liquid Interface
2.5. Simplified Description of Oxygen Concentration Profile
3. Results and Discussion
3.1. CFD Simulations
3.2. Mass Transfer Effects
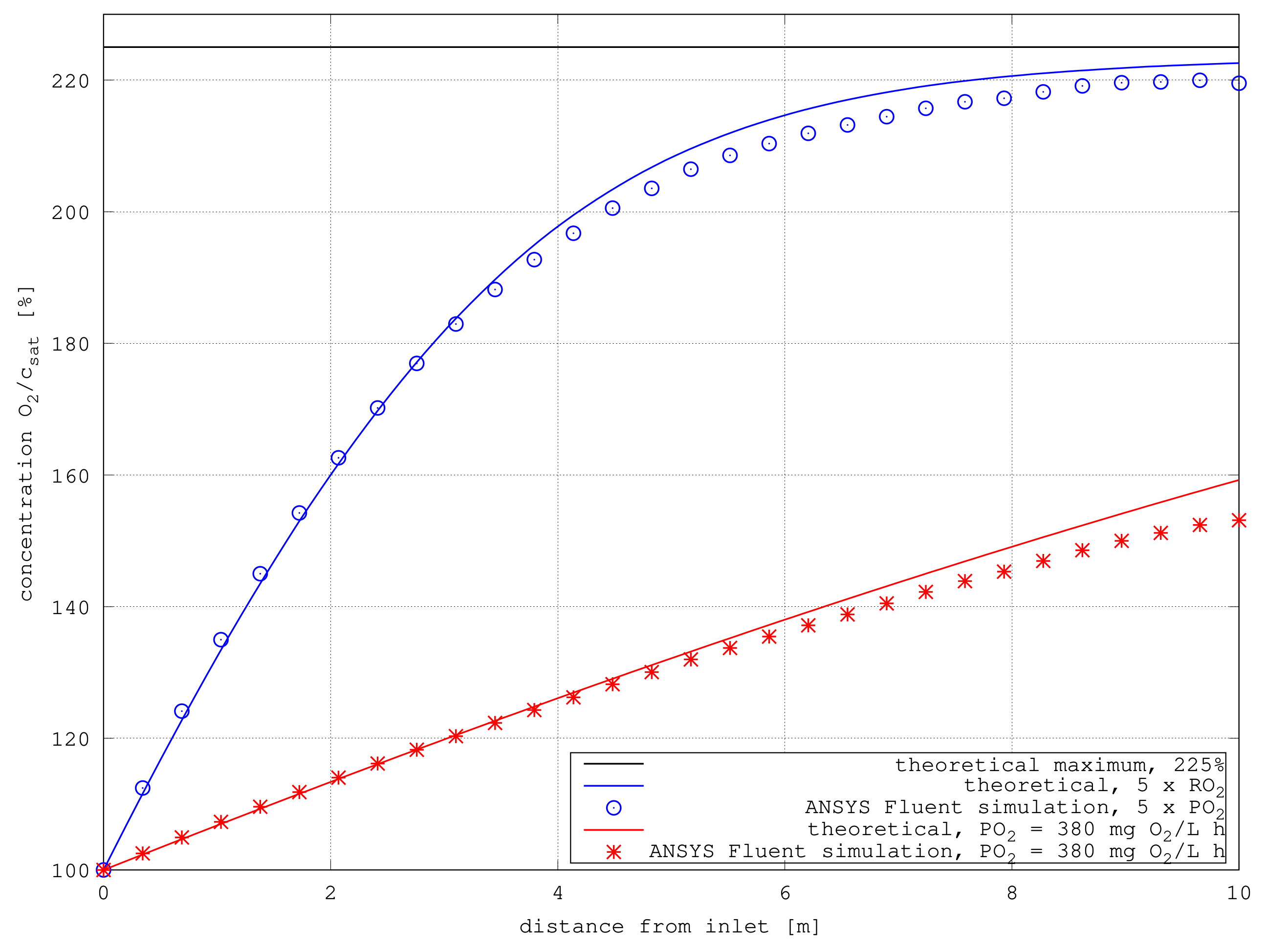
3.3. Comparison with Experimental Data
4. Conclusions
Author Contributions
Funding
Institutional Review Board Statement
Informed Consent Statement
Data Availability Statement
Conflicts of Interest
Nomenclature
| a | specific surface of interfacial area (m/m) |
| c | molar concentration (kmol/m) |
| c | total molar concentration of liquid (kmol/m) |
| c | Oxygen molar concentration according to Henry’s law, see Equation (4) (kmol/m) |
| Da | Damköhler number, , see Equation (8) (-) |
| D | diffusion coefficient of oxygen in water (m/s) |
| I | light irradiance (E/m s) |
| I | average value of I (E/m s) |
| H | Henry’s coefficient (-) |
| k | gas-side mass transfer coefficient (ms) |
| k | liquid-side mass transfer coefficient (ms) |
| K | overall mass transfer coefficient (ms) |
| N | molar flux of the liquid phase kmol m s |
| Re | Reynolds number, uz / (-) |
| Sh | Sherwood number, k z/D (-) |
| Sc | Schmidt number, /D (-) |
| u | velocity (ms) |
| x | molar fraction of dissolved oxygen (-) |
| PO | production of oxygen by algae cells (mg O/L h, kmol m s) |
| PO | maximum production of oxygen by algae cells (mg O/L h) |
| z | coordinate, distance from the inlet (m) |
| kinematic viscosity (m s) |
References
- Chisti, Y. Biodiesel from microalgae. Biotechnol. Adv. 2007, 25, 294–306. [Google Scholar] [CrossRef] [PubMed]
- Richmond, A.; Hu, Q. Handbook of Microalgal Culture: Applied Phycology and Biotechnology: Second Edition; John Wiley and Sons: Hoboken, NJ, USA, 2013. [Google Scholar] [CrossRef]
- Schädler, T.; Neumann-Cip, A.C.; Wieland, K.; Glöckler, D.; Haisch, C.; Brück, T.; Weuster-Botz, D. High-Density Microalgae Cultivation in Open Thin-Layer Cascade Photobioreactors with Water Recycling. Appl. Sci. 2020, 10, 3883. [Google Scholar] [CrossRef]
- Bernard, O.; Mairet, F.; Chachuat, B. Modelling of Microalgae Culture Systems with Applications to Control and Optimization. Adv. Biochem. Eng. Biotechnol. 2016, 153, 59–87. [Google Scholar] [CrossRef] [PubMed]
- Ooms, M.; Dinh, C.T.; Sargent, E.; Sinton, D. Photon management for augmented photosynthesis. Nat. Commun. 2016, 7, 12699. [Google Scholar] [CrossRef] [PubMed]
- Bernardi, A.; Perin, G.; Sforza, E.; Galvanin, F.; Morosinotto, T.; Bezzo, F. An Identifiable State Model To Describe Light Intensity Influence on Microalgae Growth. Ind. Eng. Chem. Res. 2014, 53, 6738–6749. [Google Scholar] [CrossRef] [PubMed]
- Torzillo, G.; Vonshak, A. Environmental Stress Physiology with Reference to Mass Cultures. In Handbook of Microalgal Culture; John Wiley & Sons, Ltd.: Hoboken, NJ, USA, 2013; Chapter 6; pp. 90–113. [Google Scholar] [CrossRef]
- Fernández, I.; Acién, F.; Fernández, J.; Guzmán, J.; Magán, J.; Berenguel, M. Dynamic model of microalgal production in tubular photobioreactors. Bioresour. Technol. 2012, 126, 172–181. [Google Scholar] [CrossRef] [PubMed]
- Sforza, E.; Pastore, M.; Franke, S.M.; Barbera, E. Modeling the oxygen inhibition in microalgae: An experimental approach based on photorespirometry. New Biotechnol. 2020, 59, 26–32. [Google Scholar] [CrossRef] [PubMed]
- Doucha, J.; Lívanský, K. Outdoor open thin-layer microalgal photobioreactor: Potential productivity. J. Appl. Phycol. 2006, 21, 111–117. [Google Scholar] [CrossRef]
- Barceló-Villalobos, M.; Serrano, C.G.; Zurano, A.S.; García, L.A.; Maldonado, S.E.; Peña, J.; Fernández, F.A. Variations of culture parameters in a pilot-scale thin-layer reactor and their influence on the performance of Scenedesmus almeriensis culture. Bioresour. Technol. Rep. 2019, 6, 190–197. [Google Scholar] [CrossRef]
- Mendoza, J.; Granados, M.; de Godos, I.; Acién, F.; Molina, E.; Heaven, S.; Banks, C. Oxygen transfer and evolution in microalgal culture in open raceways. Bioresour. Technol. 2013, 137, 188–195. [Google Scholar] [CrossRef] [PubMed]
- Pawlowski, A.; Mendoza, J.; Guzmán, J.; Berenguel, M.; Acién, F.; Dormido, S. Effective utilization of flue gases in raceway reactor with event-based pH control for microalgae culture. Bioresour. Technol. 2014, 170, 1–9. [Google Scholar] [CrossRef] [PubMed]
- Kazbar, A.; Cogne, G.; Urbain, B.; Marec, H.; Le-Gouic, B.; Tallec, J.; Takache, H.; Ismail, A.; Pruvost, J. Effect of dissolved oxygen concentration on microalgal culture in photobioreactors. Algal Res. 2019, 101, 101432. [Google Scholar] [CrossRef] [Green Version]
- Sousa, C.; Compadre, A.; Vermuë, M.H.; Wijffels, R.H. Effect of oxygen at low and high light intensities on the growth of Neochloris oleoabundans. Algal Res. 2013, 2, 122–126. [Google Scholar] [CrossRef]
- Grivalský, T.; Ranglová, K.; da Câmara Manoel, J.; Lakatos, G.; Lhotský, R.; Masojídek, J. Development of thin-layer cascades for microalgae cultivation: Milestones (review). Folia Microbiol 2019, 64, 603–614. [Google Scholar] [CrossRef] [PubMed]
- Grima, E.M.; Camacho, F.G.; Pérez, J.A.S.; Sevilla, J.M.F.; Fernández, F.G.A.; Gómez, A.C. A mathematical model of microalgal growth in light-limited chemostat culture. J. Chem. Technol. Biotechnol. 1994, 61, 167–173. [Google Scholar] [CrossRef]
- Costache, T.; Fernández, F.G.A.; Morales, M.; Fernández-Sevilla, J.M.; Stamatin, I.; Molina, E. Comprehensive model of microalgae photosynthesis rate as a function of culture conditions in photobioreactors. Appl. Microbiol. Biotechnol. 2013, 97, 7627–7637. [Google Scholar] [CrossRef] [PubMed]
- Ippoliti, D.; Gómez, C.; del Mar Morales-Amaral, M.; Pistocchi, R.; Fernández-Sevilla, J.; Acién, F.G. Modeling of photosynthesis and respiration rate for Isochrysis galbana (T-Iso) and its influence on the production of this strain. Bioresour. Technol. 2016, 203, 71–79. [Google Scholar] [CrossRef] [PubMed]
- Bird, R.B.; Stewart, W.E.; Ligthfoot, E.N. (Eds.) Transport Phenomena; John Wiley & Sons, Inc.: Hoboken, NJ, USA, 2002. [Google Scholar]
- ANSYS Fluent. ANSYS Fluent Theory Guide; ANSYS, Inc.: Canonsburg, PA, USA, 2021. [Google Scholar]
- Chiarini, A.; Quadrio, M. The turbulent flow over the BARC rectangular cylinder: A DNS study. Flow Turbul. Combust. 2021, 1573–1987. [Google Scholar] [CrossRef]
- Papacek, S.; Jablonsky, J.; Petera, K. Advanced integration of fluid dynamics and photosynthetic reaction kinetics for microalgae culture systems. BMC Syst. Biol. 2018, 12, 93. [Google Scholar] [CrossRef] [PubMed]
- Celik, I.; Ghia, U.; Roache, P.; Freitas, C.; Coleman, H.; Raad, P. Procedure for Estimation and Reporting of Uncertainty Due to Discretization in CFD Applications. J. Fluids Eng. 2008, 130, 078001. [Google Scholar] [CrossRef] [Green Version]
- Motulsky, H.J.; Christopulos, A. Fitting Models to Biological Data Using Linear and Nonlinear Regression. A Practical Guide to Curve Fitting; GraphPad Software Inc.: San Diego, CA, USA, 2003. [Google Scholar]





Publisher’s Note: MDPI stays neutral with regard to jurisdictional claims in published maps and institutional affiliations. |
© 2021 by the authors. Licensee MDPI, Basel, Switzerland. This article is an open access article distributed under the terms and conditions of the Creative Commons Attribution (CC BY) license (https://creativecommons.org/licenses/by/4.0/).
Share and Cite
Petera, K.; Papáček, Š.; González, C.I.; Fernández-Sevilla, J.M.; Acién Fernández, F.G. Advanced Computational Fluid Dynamics Study of the Dissolved Oxygen Concentration within a Thin-Layer Cascade Reactor for Microalgae Cultivation. Energies 2021, 14, 7284. https://doi.org/10.3390/en14217284
Petera K, Papáček Š, González CI, Fernández-Sevilla JM, Acién Fernández FG. Advanced Computational Fluid Dynamics Study of the Dissolved Oxygen Concentration within a Thin-Layer Cascade Reactor for Microalgae Cultivation. Energies. 2021; 14(21):7284. https://doi.org/10.3390/en14217284
Chicago/Turabian StylePetera, Karel, Štěpán Papáček, Cristian Inostroza González, José María Fernández-Sevilla, and Francisco Gabriel Acién Fernández. 2021. "Advanced Computational Fluid Dynamics Study of the Dissolved Oxygen Concentration within a Thin-Layer Cascade Reactor for Microalgae Cultivation" Energies 14, no. 21: 7284. https://doi.org/10.3390/en14217284
APA StylePetera, K., Papáček, Š., González, C. I., Fernández-Sevilla, J. M., & Acién Fernández, F. G. (2021). Advanced Computational Fluid Dynamics Study of the Dissolved Oxygen Concentration within a Thin-Layer Cascade Reactor for Microalgae Cultivation. Energies, 14(21), 7284. https://doi.org/10.3390/en14217284

