Evaluation Method for Winding Performance of Distribution Transformer
Abstract
:1. Introduction
2. Methods and Experiment
2.1. Theoretical Basis of Evaluation Method
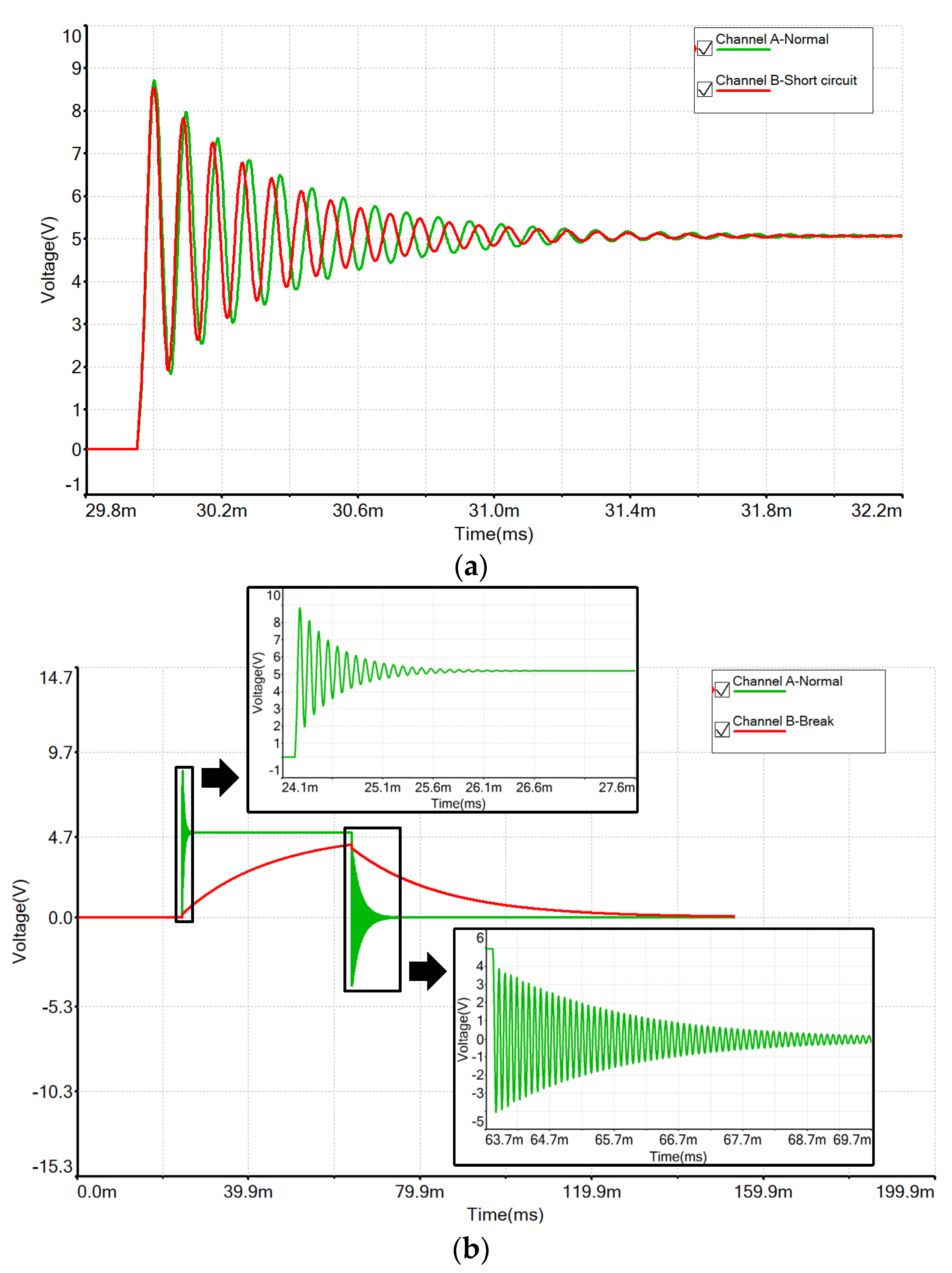
2.1.1. Measurement Principle of Transfer Function Method
2.1.2. Transformer Equivalent Circuit Model
2.1.3. The Calculation of Circuit Parameters in the Model
- Calculation of dielectric constant.
- 2.
- Calculation of distributed capacitance.
- 3.
- Calculation of distributed inductance.
2.2. Analysis of Evaluation Methods
2.2.1. Index Analysis of Short-Circuit Impedance Method
2.2.2. Indicator Analysis of Frequency Response Method
- 1.
- Influence of inductance parameter variation on frequency response results of transformer.
- 2.
- Influence of capacitance parameter variation on frequency response results of the transformer.
2.2.3. Indicator Analysis of Oscillation Wave Method
- 1.
- Influence of inductance parameter variation on oscillation wave system index.
- 2.
- Influence of ground capacitance parameter variation on the index of oscillation wave system.
3. Discussion and Results
3.1. Establish Hierarchical Structure of Comprehensive Evaluation Influencing Factors
3.2. Construct a Judgment Matrix and Calculate the Weights
3.3. Construction of a Fuzzy Evaluation Matrix for Comment Sets
4. Conclusions
- (1)
- The short-circuit impedance method, frequency response method, and oscillating wave method are used to evaluate the performance of the distribution transformer windings that have undergone short-circuit tests. There is no need for hanging cover inspection, which solves the subjectivity of human observation and thus the objective, accurate, and quantitative description of the performance status of the transformer winding;
- (2)
- Transformer after short-circuit test and evaluation of transformer winding performance by short-circuit impedance method quantitatively obtain the short-circuit impedance change rate threshold of the transformer winding quality, and set the winding quality level for different thresholds. The frequency response method is used to evaluate the performance of transformer winding, and the percentage threshold of peak-valley frequency change is quantitatively obtained, setting the winding quality level for different thresholds. The oscillation wave method is used to evaluate the performance of transformer winding, and the threshold values of frequency change percentage and rise time change percentage are obtained quantitatively, setting the winding quality level for different thresholds. Thus, the problem of quantitative evaluation of transformer winding performance after short-circuit test is solved;
- (3)
- The evaluation language of transformer winding performance evaluation after short-circuit test is proposed, and the method of analytic hierarchy process and fuzzy evaluation method are combined to obtain the score of transformer winding performance evaluation quantitatively, and the evaluation language is given according to the score. Finally, the evaluation of transformer winding performance after short-circuit test is realized.
Author Contributions
Funding
Institutional Review Board Statement
Informed Consent Statement
Data Availability Statement
Acknowledgments
Conflicts of Interest
References
- Tang, Z.P. Simulation Analysis of Winding Deformation Characteristics and Interturn Short Circuit Fault Diagnosis of Power Transformer; Hunan University: Changsha, China, 2018. [Google Scholar]
- Guo, S.F. Transformer Condition Assessment Method Based on Fuzzy Comprehensive Evaluation and Support Vector Machine Regression; North China Electric Power University: Beijing, China, 2013. [Google Scholar]
- Arri, E.; Carta, A.; Moeei, F.; Tosi, M. Diagnosis of the state of power transformer windings by on-line measurement of stray reactance. IEEE Trans. Instrum. Meas. 1993, 42, 372–378. [Google Scholar] [CrossRef]
- Banaszak, S.; Szoka, W. Cross Test Comparison in Transformer Windings Frequency Response Analysis. Energies 2018, 11, 1349. [Google Scholar] [CrossRef] [Green Version]
- Wang, M.L. Research on Winding Deformation Evaluation and Loss Monitoring Method of Distribution Transformer; Chongqing University: Chongqing, China, 2015. [Google Scholar]
- Tahir, M.; Tenbohlen, S.; Miyazaki, S. Analysis of Statistical Methods for Assessment of Power Transformer Frequency Response Measurements. IEEE Trans. Power Deliv. 2021, 36, 618–626. [Google Scholar] [CrossRef]
- Tahir, M.; Tenbohlen, S.; Samimi, M.H. Evaluation of Numerical Indices for Objective Interpretation of Frequency Response to Detect Mechanical Faults in Power Transformers. In Proceedings of the 21st International Symposium on High Voltage Engineering, Budapest, Hungary, 26–30 August 2019; Németh, B., Ed.; Springer International Publishing: Cham, Switzerland, 2020; Volume 598, pp. 811–824, ISBN 978-3-030-31675-4. [Google Scholar]
- Tenbohlen, S.; Coenen, S.; Djamali, M.; Müller, A.; Samimi, M.; Siegel, M. Diagnostic Measurements for Power Transformers. Energies 2016, 9, 347. [Google Scholar] [CrossRef]
- Wang, Y.; Xu, D.K.; Li, Y.M.; Zhang, C. Research on low voltage pulse test system for detecting transformer winding deformation. High Volt. Technol. 1998, 24, 24–28. [Google Scholar]
- Huang, H.; Zhou, J.G.; Jiang, Y.M.; Chen, G.E. Diagnosis of winding deformation of power transformer by impedance method and frequency response method. High Volt. Technol. 1999, 25, 70–73. [Google Scholar]
- Xia, H.G. Research on Nanosecond Impulse Response Analysis Method for Detecting Slight Deformation of Transformer Winding; Chongqing University: Chongqing, China, 2010. [Google Scholar]
- Hashemnia, N.; Abu-Siada, A.; Islam, S. Improved Power Transformer Winding Fault Detection using FRA Diagnostics-Part1: Axial Displacement Simulation. IEEE Trans. Dielectr. Electr. Insul. 2015, 22, 556–563. [Google Scholar] [CrossRef]
- Aljohani, O.; Abu-Siada, A. Application of Digital Image Processing to Detect Short Circuit Turns in Power Transformers using Frequency Response Analysis. IEEE Trans. Ind. Inform. 2016, 12, 2062–2073. [Google Scholar] [CrossRef]
- Zhang, Z.; Gao, W.; Kari, T.; Lin, H. Identification of Power Transformer Winding Fault Types by a Hierarchical Dimension Reduction Classifier. Energies 2018, 11, 2434. [Google Scholar] [CrossRef] [Green Version]
- Gonzales, J.C.; Mombello, E.E. Fault Interpretation Algorithm Using Frequency-Response Analysis of Power Transformers. IEEE Trans. Power Deliv. 2016, 31, 1034–1042. [Google Scholar] [CrossRef]
- Ma, H.; Saha, T.K.; Ekanayake, C.; Allen, D. Modern Machine Learning Techniques for Power Transformer Condition Assessment. CIGRE Session 44; CIGRE: Paris, France, 2012. [Google Scholar]
- Banaszak, S.; Gawrylczyk, K.M.; Trela, K. Frequency Response Modelling of Transformer Windings Connected in Paraller. Energies 2020, 13, 1395. [Google Scholar] [CrossRef] [Green Version]
- Saleh, A.; Yasin, K.; Abderrahmane, B.; Nazar, M. A review of frequency response analysis methods for power transformer diagnostics. Energies 2016, 9, 879–896. [Google Scholar]
- Khalili Senobari, R.; Sadeh, J.; Borsi, H. Frequency response analysis (FRA) of transformers as a tool for fault detection and location: A review. Electr. Power Syst. Res. 2018, 155, 172–183. [Google Scholar] [CrossRef]
- Xu, C.B.; Wang, F.G.; Huang, H.; Jin, Z.J. Transformer vibration monitoring information modeling and implementation based on IEC 61850. Power Syst. Autom. 2014, 38, 60–64. [Google Scholar]
- Xie, P.A. Application of Vibration Analysis Method in Condition Monitoring of Power Transformer Winding; Shanghai Jiao Tong University: Shanghai, China, 2008. [Google Scholar]
- Saponara, S.; Fanucci, L.; Bernardo, F.; Falciani, A. Predictive diagnosis of high-power transformer faults by networking vibration measuring nodes with integrated signal processing. IEEE Trans. Instrum. Meas. 2016, 65, 1749–1760. [Google Scholar] [CrossRef]
- Wu, Z.Y.; Zhou, L.J.; Zhou, X.Y.; Lin, T.; Guo, L.; Liu, H.W.; Jiang, J.F. Research on fault diagnosis method of transformer winding based on oscillation wave. J. Electr. Eng. China 2020, 40, 348–357, 401. [Google Scholar]
- Yousof, M.; Ekanayake, C.; Saha, T.K. Frequency response analysis to investigate deformation of transformer winding. IEEE Trans. Dielectr. Electr. Insul. 2015, 22, 2359–2367. [Google Scholar] [CrossRef]
- Ludwikowski, K.; Siodla, K.; Ziomek, W. Investigation of transformer model winding deformation using sweep frequency response analysis. IEEE Trans. Dielectr. Electr. Insul. 2012, 19, 1957–1961. [Google Scholar] [CrossRef]
- Jiang, J.; Zhou, L.; Gao, S.; Li, W.; Wang, D. Frequency response features of axial displacement winding faults in autotransformers with split windings. IEEE Trans. Power Deliv. 2018, 33, 1699–1706. [Google Scholar] [CrossRef]
- Zhou, L.; Jiang, J.; Li, W.; Wu, Z.; Gao, S.; Guo, L.; Liu, H. FRA modelling for diagnosing axial displacement of windings in traction transformers. IET Electr. Power Appl. 2019, 13, 2121–2127. [Google Scholar] [CrossRef]
- Su, P.Y. Transformer Winding Fault Diagnosis Based on Lightning and Oscillating Impulse Voltage Excitation; Chongqing University: Chongqing, China, 2018. [Google Scholar]
- Tarimoradi, H.; Gharehpetian, G.B. Novel calculation method of indices to improve classification of transformer winding fault type, location, and extent. IEEE Trans. Ind. Informat. 2017, 13, 1531–1540. [Google Scholar] [CrossRef]
- Qiu, G.Y. Circuit, 5th ed.; Higher Education Press: Beijing, China, 2006. [Google Scholar]
- Florkowski, M.; Furgal, J.; Kuniewski, M.; Pajak, P. Comparison of transformer winding responses to standard lightning impulses and operational over voltages. IEEE Trans. Dielectr. Electr. Insul. 2018, 25, 965–974. [Google Scholar] [CrossRef]
- Preis, K.; Renhart, W.; Rabel, A.; Biro, O. Transient behavior of large transformer windings taking capacitances and eddy currents into account. IEEE Trans. Magn. 2018, 54, 1–4. [Google Scholar] [CrossRef]
- Bai, G.X. Measurement and estimation of radial geometric capacitance of transformer winding. Transformer 2007, 44, 32–36. [Google Scholar]
- Wu, J.L. A Theoretical Study on the Detection of Transformer Winding Deformation by Frequency Response Analysis; Wuhan University: Wuhan, China, 2004. [Google Scholar]
- Hou, M.Q. Lightning Modeling and Simulation Analysis of Distribution Transformer; Shandong University: Jinan, China, 2016. [Google Scholar]
- Javed, M.; Aftab, H.; Qasim, M.; Satter, M. RLC circuit response and analysis (using state sopace method). IJCSNS Int. J. Comput. Sci. Netw. Secur. 2008, 8, 48–54. [Google Scholar]
- Wu, Z.; Zhou, L.; Lin, T.; Zhou, X.; Wang, D.; Gao, S.; Jiang, F. A New Testing Method for the Diagnosis of Winding Faults in Transformer. IEEE Trans. Instrum. Meas. 2020, 69, 9203–9214. [Google Scholar] [CrossRef]
- Banaszak, S.; Gawrylczyk, K.M. Computer modeling in the diagnostics of transformers’ windings deformations. Comput. Appl. Electr. Eng. 2020, 8, 132–140. [Google Scholar]
- Al-Ameri, S.; Yousof, M.F.M.; Azis, N.; Avinash, S.; Talib, M.A.; Salem, A.A. Frequency response of transformer winding to investigate the influence of RLC. Indones. J. Electr. Eng. Comput. Sci. 2019, 14, 219–229. [Google Scholar] [CrossRef]
- Zhu, C.S.; Zhang, Q.; Ran, H.L.; Jiao, Y.M. Research on comprehensive evaluation method of engineering equipment testability. China Mech. Eng. 2011, 22, 1044–1048. [Google Scholar]
- Bohatyrewicz, P.; Płowucha, J.; Subocz, J. Condition Assessment of Power Transformers Based on Health Index value. Appl. Sci. 2019, 9, 4877. [Google Scholar] [CrossRef] [Green Version]
















| Qualification of Transformer | Level | Definition |
|---|---|---|
| Qualification | excellent | Transformer after short-circuit test, using various methods for transfer function comparison, no change, no insulation damage, a variety of excellent performance. |
| good | After the short-circuit test of the transformer, various methods are used to compare the transfer function, which basically does not change and has good performance. | |
| medium | After the short-circuit test of the transformer, the transfer function is compared by various methods. There is slight change and slight deformation of the winding, but it does not affect the performance of the transformer. | |
| Disqualification | poor | Transformer insulation damage and winding deformation |
| worse | Serious damage to insulation, winding damage, winding deformation. | |
| very bad | Winding breakup of transformer. |
| Quality Index | Excellent | Good | Medium | Poor | Worse | Very Bad |
|---|---|---|---|---|---|---|
| Percentage of winding displacement | 0 | 0–2% | 2–5% | 5–10% | 10–30% | 30% and above |
| Percentage of capacitance change | 0 | 0–1.96% | 1.96–4.76% | 4.76–9.09% | 9.09–23.08% | 23.08% and above |
| Rate of Change of Reactance (%) | Deformation Degree | Qualified Test |
|---|---|---|
| −8.4 | Deformation | Poor |
| −5 | Deformation | Poor |
| −6.3 | Deformation | Poor |
| 33 | Serious deformation | Very bad |
| 45 | Serious deformation | Very bad |
| −2 | No deformation | Medium |
| 0 | No deformation | Excellent |
| 4.5 | Slight deformation | Poor |
| 0.42 | No deformation | Good |
| 44 | Serious deformation | Very bad |
| 71 | Serious deformation | Very bad |
| 45 | Serious deformation | Very bad |
| 17.7 | Serious deformation | Very bad |
| −0.94 | No deformation | Medium |
| 0.92 | No deformation | Medium |
| 1.6 | Slight deformation | Worse |
| 1.5 | Deformation | Worse |
| −1.1 | Slight deformation | Worse |
| 0.36 | No deformation | Good |
| 3.6 | Slight deformation | Worse |
| 0.36 | No deformation | Good |
| 0 | No deformation | Excellent |
| 0 | No deformation | Excellent |
| 2.3 | Slight deformation | Worse |
| 0 | No deformation | Excellent |
| 25 | Serious deformation | Very bad |
| −1.1 | Slight deformation | Worse |
| — | Excellent | Good | Medium | Poor | Worse | Very Bad |
|---|---|---|---|---|---|---|
| Change rate of short-circuit impedance (%) | 0 | 0–0.5 | 0.5–2.5 | 1–5 | 5–15 | 15 and above |
| Percentage of Parameter Change | Frequency Change Percentage | Quality Index |
|---|---|---|
| 0 | 0 | Excellent |
| 0–1.96% | 0–0.27% | Good |
| 1.96–4.76% | 0.27–0.65% | Medium |
| 4.76–9.09% | 0.65–1.25% | Poor |
| 9.09–23.08% | 1.25–3.18% | Worse |
| 23.08% and above | 3.18% | Very bad |
| Percentage Change of Transformer Equivalent Inductance Parameter | Frequency Change Percentage | Percentage of Rise Time Change | Quality Index |
|---|---|---|---|
| 0 | 0 | 0 | Excellent |
| 0–1.96% | 0–0.11% | 0–0.06% | Good |
| 1.96–4.76% | 0.11–0.27% | 0.06–0.13% | Medium |
| 4.76–9.09% | 0.27–0.52% | 0.13–0.26% | Poor |
| 9.09–23.08% | 0.52–1.33% | 0.26–0.65% | Worse |
| 23.08% and above | 1.33% and above | 0.65% and above | Very bad |
| Percentage Change of Transformer Equivalent Capacitance Parameters | Frequency Change Percentage | Percentage of Rise Time Change | Quality Index |
|---|---|---|---|
| 0 | 0 | 0 | Excellent |
| 0–1.96% | 0–0.04% | 0–0.09% | Good |
| 1.96–4.76% | 0.04–0.09% | 0.09–0.21% | Medium |
| 4.76–9.09% | 0.09–0.18% | 0.21–0.41% | Poor |
| 9.09–23.08% | 0.18–0.45% | 0.41–1.03% | Worse |
| 23.08% and above | 0.45% and above | 1.03% and above | Very bad |
| Frequency Change Percentage | Percentage of Rise Time Change | Quality Index |
|---|---|---|
| 0 | 0 | Excellent |
| 0–0.11% | 0–0.09% | Good |
| 0.11–0.27% | 0.09–0.21% | Medium |
| 0.27–0.52% | 0.21–0.41% | Poor |
| 0.52–1.33% | 0.41–1.03% | Worse |
| 1.33% and above | 1.03% and above | Very bad |
| The Meaning of Index i to j | |
|---|---|
| 1 | Two factors are equally important |
| 3 | The former factor is slightly more important than the latter |
| 5 | The former factor is obviously more important than the latter |
| 7 | The former factor is more important than the latter |
| 9 | The former factor is more important than the latter factor |
| 2,4,6,8 | Median value between adjacent factors |
| reciprocal | In the degree of importance, the ratio of i to j is ,then the ratio of j to i is |
| 1 | 2 | 2 | |
| 1/2 | 1 | 3 | |
| 1/2 | 1/3 | 1 |
| 1 |
| 1 | 3 | 3 | |
| 1/3 | 1 | 2 | |
| 1/3 | 1/2 | 1 |
| 1 | 3 | 2 | 8 | 8 | 3 | |
| 1/3 | 1 | 1/2 | 5 | 5 | 1 | |
| 1/2 | 2 | 1 | 7 | 7 | 2 | |
| 1/8 | 1/5 | 1/7 | 1 | 1 | 1/5 | |
| 1/8 | 1/5 | 1/7 | 1 | 1 | 1/5 | |
| 1/3 | 1 | 1/2 | 5 | 5 | 1 |
| The Order of the Matrix | 1 | 2 | 3 | 4 | 5 | 6 | 7 | 8 | 9 | 10 |
|---|---|---|---|---|---|---|---|---|---|---|
| RI | 0 | 0 | 0.52 | 0.89 | 1.12 | 0.26 | 0.36 | 0.41 | 0.46 | 0.49 |
| Evaluation Index | Excellent | Good | Medium | Poor | Worse | Very Bad |
|---|---|---|---|---|---|---|
| 5 | 84 | 8 | 2 | 1 | 0 | |
| 7 | 71 | 10 | 9 | 0 | 1 | |
| 1 | 48 | 21 | 13 | 14 | 3 | |
| 5 | 63 | 7 | 20 | 3 | 2 | |
| 2 | 65 | 12 | 11 | 10 | 0 | |
| 0 | 75 | 10 | 9 | 3 | 3 | |
| 5 | 74 | 6 | 14 | 0 | 1 | |
| 3 | 70 | 9 | 10 | 8 | 0 | |
| 3 | 78 | 5 | 8 | 4 | 1 | |
| 4 | 89 | 4 | 0 | 2 | 0 |
Publisher’s Note: MDPI stays neutral with regard to jurisdictional claims in published maps and institutional affiliations. |
© 2021 by the authors. Licensee MDPI, Basel, Switzerland. This article is an open access article distributed under the terms and conditions of the Creative Commons Attribution (CC BY) license (https://creativecommons.org/licenses/by/4.0/).
Share and Cite
Suo, C.; Ren, Y.; Zhang, W.; Li, Y.; Wang, Y.; Ke, Y. Evaluation Method for Winding Performance of Distribution Transformer. Energies 2021, 14, 5832. https://doi.org/10.3390/en14185832
Suo C, Ren Y, Zhang W, Li Y, Wang Y, Ke Y. Evaluation Method for Winding Performance of Distribution Transformer. Energies. 2021; 14(18):5832. https://doi.org/10.3390/en14185832
Chicago/Turabian StyleSuo, Chunguang, Yanan Ren, Wenbin Zhang, Yincheng Li, Yanyun Wang, and Yi Ke. 2021. "Evaluation Method for Winding Performance of Distribution Transformer" Energies 14, no. 18: 5832. https://doi.org/10.3390/en14185832
APA StyleSuo, C., Ren, Y., Zhang, W., Li, Y., Wang, Y., & Ke, Y. (2021). Evaluation Method for Winding Performance of Distribution Transformer. Energies, 14(18), 5832. https://doi.org/10.3390/en14185832

