Next Article in Journal
Study of Energy Consumption of a Bucket Conveyor in a Jig Concentrator Plant in a Hard Coal Mine
Previous Article in Journal
Flexibility Estimation of Residential Heat Pumps under Heat Demand Uncertainty
Previous Article in Special Issue
Techno-Economic Analysis of Biofuel, Solar and Wind Multi-Source Small-Scale CHP Systems
 
 
Font Type:
Arial Georgia Verdana
Font Size:
Aa Aa Aa
Line Spacing:
Column Width:
Background:
Article

Organic Rankine Cycle-Ground Source Heat Pump with Seasonal Energy Storage Based Micro-Cogeneration System in Cold Climates: The Case for Canada

1
CanmetENERGY Research Centre, Natural Resources Canada, 1 Haanel Drive, Ottawa, ON K1A 1M1, Canada
2
Chair of Energy Application Engineering, Institute of Technology, Estonian University of Life Sciences, 51006 Tartu, Estonia
3
Department of Energy, Politecnico di Milano, via La Masa, 34–20156 Milan, Italy
*
Author to whom correspondence should be addressed.
Energies 2021, 14(18), 5705; https://doi.org/10.3390/en14185705
Submission received: 27 July 2021 / Revised: 28 August 2021 / Accepted: 7 September 2021 / Published: 10 September 2021
(This article belongs to the Special Issue Multi-Source Energy Systems)

Abstract

:
In cold climatic regions such as those located across Canada, it is necessary to implement heating system technology that is ultra-efficient and that has near-zero rates of emissions. Such systems would satisfy consumers’ energy needs and also comply with environmental standards, especially because the systems would account for more than 80% of residential energy use. This paper investigates two complementary efficient systems that can support these heating systems; ground-source heat pumps (GSHPs) and organic Rankine cycle systems (ORCs). The study proposes to couple these two systems in a parallel configuration. A dynamic simulation model created in TRNSYS platform has been deployed to assess the performance of the combined ORC-GSHP based micro-cogeneration system. This former provides heating to a residential house during the heating mode as needed. It has the capacity to switch to a charging mode, during which the ORC system is directly coupled to the ground heat exchanger (GHE), which works as a thermal energy storage and supplies energy to the GSHP. The feasibility of this combined system arrangement, and its comparison with a conventional GSHP system are examined for use in residential buildings in three cities across the varied climatic regions within Canada, namely Edmonton (AB), Halifax (NS), and Vancouver (BC). Results showed that the proposed micro-cogeneration system recorded less energy use of over 80%. The addition of the ORC system had a definite effect on the performance of the GSHP in that it decreased the operating hours from 11–58% compared to the conventional GSHP case and maintained consistently higher COP values. These results may help to specify viable ORC-GSHP based micro-co/trigeneration systems in cold climatic applications and should be useful for prototype design and development.

Graphical Abstract

1. Introduction

Countries like Canada with extensive cold weather require ultra-efficient and low-emissions heating systems. Such technology is expected to accomplish dual objectives: meet consumers’ energy requirements, and as well comply with environmental targets especially since the systems will account for more than 83% of residential energy consumption in the country. Advanced heating and cooling systems, which are powered from renewable energy sources, thermal energy, micro-cogeneration and related technologies, can potentially reduce electricity and natural gas use, and their associated problematic greenhouse gas emissions. This will result in more efficient energy systems overall [1,2].
The thermodynamics-based organic Rankine cycle (ORC) is an important system that is capable of recovering low-temperature waste heat from various heat sources to cogenerate both heat and power [3,4,5]. ORC is being researched as a capable cogeneration system with a good capability for development that would possibly challenge fossil fuels, especially natural gas power plants. Similar to the conventional power cycle wherein the working fluid employed is vapour water, ORC as well utilises substances, which have capability to decrease heat source temperatures. This system has many beneficial attributes comprising a simpler arrangement, higher stability, and easier maintenance compared to alternative systems. It is a promising system that can use heat sources like geothermal and solar energy. Besides, this system allows micro-scale applications [6,7,8,9,10]. The broad spectrum of possible uses has encouraged and stimulated further research to develop appropriate ORC-based systems. Researchers have shown that the system’s performance is potentially affected by thermodynamic cycle characteristics, expander design and working fluid selection [11,12,13,14]. These abovementioned features have a propensity to affect the performance of an ORC system in critical aspects. Further, as ORC systems are driven by low-temperature heat sources, it is fundamental to choose the suitable working fluids to accomplish a safe and efficient functioning. In addition to thermophysical qualities, extra indicators particularly chemical robustness and ecological factors, as well as the cost factor involve more investigation to realise required effects. An ORC system’s technical and economic performances are largely related to a working fluid’s specifications. An appropriate working fluid should need some specific qualities, principally medium pressure within components, low specific volumes and high efficiency, low ozone depletion potential (ODP), low global warming potential (GWP) and low toxicity. Acceptable cost will certainly be a supplementary element for qualification. Numerous researchers have come to the conclusion that it basic and relevant to delineate explicit passing conditions for a right working fluid in ORC systems. These are analysed for instance in [15,16,17,18,19].
The heat pump (HP) has a working principle that is equivalent to that of an ORC, although it only provides heat or cooling rather than producing power. A heat pump has a variety of layouts and arrangements existing to it. Typical workable heat pumps include a water-source heat pump (WSHP) which comprises a liquid-liquid heat exchange, a ground-source heat pump (GSHP) (basically similar to a WSHP, although the heat source liquid also functions as a medium for transferring geothermal heat exchangers, and an air-source heat pump (ASHP) that is made up of an air-liquid heat exchange whose performance is dependent on ambient air conditions. In addition, there are also absorption and adsorption heat pumps that have more elaborate processes. Detailed studies of HP systems can be found in [20,21,22,23].
The broad range of exploitation possibilities has engendered and encouraged a considerable amount of research to discover and develop appropriate ORC and HP-based solutions. Mostly noteworthy is the combination of HP with an ORC, which causes the ORC to more efficiently supply heating and cooling; this in turn decreases electricity use and reduces the generation of related harmful emissions. These are summarised in [24,25].
In recent times, increasing attention has been given to GSHP technology in commercial products, and its practical benefits have been proven over time. Keener interest has been directed to GSHPs, which use renewable geothermal energy [26,27,28,29]. However, a notable drawback of the system is its tendency to deteriorate in frigid weather such as Canada has, due to thermal imbalance; this necessitates its combination with other technologies or energy sources to harness the benefits of that synergy [30,31,32,33,34,35,36,37,38,39]. Using renewable energy as the heat-driven source of GSHP is a widespread means to resolve soil thermal imbalance. Solar energy is the greatest usual and broadly employed renewable energy, particularly in locations with profuse solar radiation. In a hybrid GSHP system assisted by a solar energy, the solar collector can work in many applications, namely domestic hot water (DHW), space heating (SH), connecting with the GSHP in series for SH, heat recharge to the soil, combining with the GHE in series as the heat source of the GSHP for SH, and being a stand-alone heat source of the GSHP for SH [31].
For example, Chen et al. [33] examined the performance of the solar-assisted GSHP for DHW and SH applications. Their results showed that the average soil temperature and inlet temperature of the system oscillated gradually over twenty years, in comparison with the reductions of 3.2 °C and 4.1 °C for the conventional GSHP. Moreover, 3.67-m borehole can be decreased after the addition of 1-m2 solar collector, and the system heating effectiveness can even be enhanced by 14.1%.
Wu et al. [34] assessed ground source electrical heat pump (GSEHP) and groundsource absorption heat pump (GSAHP) in model cities in China and compared their performance according to thermal equilibrium, soil temperature deviation and energy efficiency. Results showed that the thermal balance is appropriately preserved by GSAHP in severely cold locations, without any evident reduction in soil temperatures after ten years of working. The primary energy efficiency (PEE) of GSAHP is considerably greater than that of GSEHP. For buildings with heating load only, the mean soil temperature of GSAHP can be up to 4–6 °C greater than that of GSEHP, and the PEE can remain over 96% even in the coldest region within the sample of cities reviewed.
You et al. [35] suggested an original heat system that employs a thermosiphon to handle the reduced heating efficiency of GSHPs as a result of diminished soil temperatures, in addition to saving energy by 15%.
Schimpf and Span [38] optimised a combined solar-assisted HP and ORC system, which produced DHW and SH by means of the scroll compressor of the HP as the expansion unit: the ORC unit decreased the net electricity demand of the system by about 10%.
Li et al. [39] evaluated an ORC-assisted GSHP combi-system for the cascaded use of low-grade energy and shallow geothermal energy in a cold region of Qiqihar, a city in north-eastern China. Results of the simulation experiment conducted over a 20-year period revealed that the combi-system could maintain a higher annual average coefficient of performance (COP) of approximately 3.8 because of the steady soil temperature, whereas the annual average COP of the conventional GSHP system decreased from 3.7 to 3.2. Moreover, in the combi-system, the ORC unit provided 56% of the total heating capacity, which compensated for 79% of the HP’s power utilisation.
All the research works and results examined above show the growing technological focus to the idea of combining GSHP with solar- or renewable assisted energy systems to produce SH and DWH in buildings. However, in spite of this proliferation of research efforts, which attempt to improve GSHP system performance on account of soil thermal imbalance occurring, as well as integrate with ORC systems to possibly improve their operations, more work needs to be done. ORC-assisted GSHP use in cold weather requires more research and simulations, especially in applications involving micro-combined cooling, heat and power generation (tri-generation).
Therefore, in this paper, the novel configuration of a GSHP in parallel with an ORC with the capability for seasonal thermal storage for the ground heat exchanger (GHE) is investigated for use in cold regions, specifically in Canadian climatic conditions. This combined system is capable of supplying heating for two houses during the winter in Canadian cities, which are located in different climatic regions within Canada, i.e., Edmonton (AB), Halifax (NS) and Vancouver (BC). This is done by recharging the GHE in the GSHP using the ORC system in the summer months when charging takes place. A dynamic simulation model has been created to simulate, via parametric studies, the combined systems for characterising the key variables in the design and control of the system, as well as to compare their performance with a conventional GSHP system. The outcomes can aid in the assessment of feasible heating and cooling systems for major Canadian cities, or in comparable cold regions for prospective prototype design and testing.
The paper is structured into the following sections: Section 2 presents the operating principle of the system. Section 3 describes the modelling methodology and provides the dynamic TRNSYS simulation model in detail. Section 4 provides the detailed results and their discussion. Finally, Section 5 summarises the conclusions and recommended future research.

2. Operating Principle of the System

Figure 1 displays a simplified schematic of the ORC-assisted GSHP based micro-cogeneration system. The whole system comprises mainly residential buildings, an ORC system, a GSHP, GHEs, pumps, and controllers. In the non-heating season, the waste heat from the ORC system is utilised for seasonal thermal storage. Through this mode, the V1 and V2 valves, and the V5 and V6 valves are connected. The ORC system utilises n-pentane (R601) as the working fluid. It is connected to the GHE that uses a mixture of propylene glycol and water antifreeze (30%) as the heat transfer fluid. This former works as the heat sink of the ORC system, by taking in the waste heat in the ground from the ORC. Besides, throughout the heating season, the lines between V1 and V5, plus the lines in between V2 and V6 are closed. The waste heat from the ORC and the heat discharged by the GSHP are utilised for SH. In this mode, the combined ORC-GSHP system works as a heat source for heating of the buildings. The ORC supports the HP during the heating period. The GSHP and P2 pump are in operation, an On/Off differential controller drives the HP to meet the varying heating load.

3. Dynamic Simulation Model Description

In this section, the detailed description of the developed dynamic model is provided.
Transient System Simulator 17 (TRNSYS 17) [40,41] was used in this work. It is a quasi-steady state simulation software allowing system components indicated as proformas to be chosen and connected in any chosen way to create a system’s model. The transient environment of thermal building analysis and built-in library of appropriate building and HVAC component models was very convenient for the study.
Especially, a new component of the ORC system has been produced in TRNSYS. For this simulation, durations were fixed at one-year and 20-year with one-hour time step, tolerances for integration errors and convergence are both fixed to 0.001. The differential equations solver (Modified-Euler method), equations solver and solver are fixed to their default values, i.e., 1, 0, and 0, respectively.
Type 12c was utilised for the building models, Type 927 for the GSHP, Type 557a for the GHE, and Type 42b for the ORC system. While each component will be described in detail in the next subsections, it should be recall that the system can work in two principal modes: charging and heating/cooling. Heating mode is represented by the red connections in Figure 1, with the ORC system and GSHP working in parallel to supply heat to the house, whereas the green connections indicate charging mode, in which the GSHP is off and the ORC system is supplying heat to the GHE. Table 1 gives the TRNSYS simulation models for the main components. Figure 2 provides the flow diagram of the TRNSYS simulation model of the ORC-GHE-GSHP system.

3.1. Climatic Conditions and Heating Load Profiles

The Type 109 with typical Canadian city weather data was used to compute the building load profile for the considered cities. This component helps of reading weather data at fixed time intervals from a data file, converting it to a chosen system of units and computing the solar radiation data to get tilted surface radiation and angle of incidence for an random number of surfaces. In this mode, Type 109 converts a weather data file in the standard TMY2 format. This TMY2 format is utilised by the National Solar Radiation Data Base (Golden, CO 80401 USA) but TMY2 files can be created with various programmes, for example, Meteonorm.
Both the GSHP and ORC systems have roughly necessary heating capacity alone to supply heating to a house, mainly for the purpose to produce the required recharging capacity for the seasonal thermal storage for the period of the charging season. To combine the two systems, two similar residential houses having a space of 600 m2 were comprised in the model as heating loads. These buildings utilised the Type 12c single zone model, which uses radiant floor heating/cooling from the thermal working fluid charged by the ORC and GSHP systems, in addition to the ambient air temperature, to determine the average house temperature and outlet temperature of the thermal fluid. This average house temperature was employed for temperature control and for guaranteeing the temperature in the house was preserved at the set point temperature or maintained between 21–24 °C.

3.2. ORC-GHE-GSHP Micro-Cogeneration System Model

This sub-section provides the in-depth description of the developed dynamic simulation model of the ORC-GHE-GSHP micro-cogeneration system.

3.2.1. ORC System Model

An ORC component has been generated as this component is not available in TRNSYS. A thermodynamic model of a regenerative ORC system was developed in Engineering Equation Solver (EES) [42] and validated versus the ORC modelling Kit (ORCmKit) [43]. ORCmKit executed in the Python programming language was used to simulate the thermodynamics of the ORC. The ORC system comprises principally six components, namely, a pump (diaphragm pump), an evaporator, an expander, a regenerator, a condenser and an electric generator for electricity production. The pump transports the organic working fluid to the evaporator, where the fluid is preheated by the regenerator and vaporised. The vapour goes in the expander where it is expanded to the condensing pressure, and also linked to an electric generator, where the energy from vapour is converted to electrical energy. Finally, the vapour is condensed to saturated liquid in the condenser by releasing heat to building space environment (heat sink). A heat exchanger functioning as regenerator is used to recover the heat at the expander exit and preheat the compressed liquid before to inflowing in the evaporator to improve the system performance. The heat source of the ORC system could be a condensing natural gas boiler with efficiency of 95% or other types of boilers such as a biomass boiler with efficiency of 80–85%. Natural gas burns in the boiler heat exchanger and transfers heat to the evaporator of the ORC. Other heat sources could be used like geothermal or solar energy. The solar energy source is usually comprised of a solar collecting system that contains solar flat plat collectors (FPCs) or evacuated tube collectors (ETCs), a thermal energy storage system that is employed when solar radiation is lacking, and to drive the ORC. Generally, FPCs can provide hot water at 50–90 °C and ETCs can deliver 60–150 °C. When its temperature drops under the reference temperature, a backup heater is utilised to increase the temperature of the storage tank to the correct setting point.
As highlighted in the introduction, the working fluid selection is amongst of the greatest significant concerns in ORC design. Numerous criteria require to be examined such as environmental sustainability, GWP, ODP, safety, critical temperature, vapour pressure and thermal stability. Based on the above considerations, the working fluid of the ORC selected in this study is n-pentane (R601), which is a hydrocarbon (HC) with zero ODP and negligible GWP. Key properties of this working fluid are listed in Table 2.
The computation of the energy balance provides the mass flowrate of the n-pentane working fluid, the temperature and pressure at each component of the ORC system. The ORC system is driven by the net thermal power produced by a heat source wherein the energy consumption and other intrinsic losses of the heat source energy system circuit are pre-rated for. The REFPROP [44] and CoolProp databases [45] were integrated with the ORC model to express the thermodynamic properties of the organic working fluid n-pentane. These databases are programming libraries that apply equations of state for pure and pseudo-pure fluids, mixtures, psychometric mixtures and incompressible fluids. All state points along with the thermodynamic properties such as density, enthalpy and heat capacity, at each state point for the components of the ORC system can be evaluated, allowing therefore to compute the performance parameters of the components and overall system. The next hypotheses have been adopted: (a) steady-state conditions are presumed; (b) kinetic energy and potential energy of operating process are ignored; (c) pressure drop and heat loss are neglected in the pipes. The pump isentropic efficiency is set constant at 85%, while the regenerator efficiency is 95%.
The ORC system performance is evaluated based on specifying the energy balance in each component, the thermal and electrical powers, efficiencies, and the cycle efficiency. The equations applied to estimate the thermodynamic performance of each component of the ORC cycle are given in [46,47]. Once results are produced, the Type 42 ORC model was applied as a lookup table using the inlet heat source fluid and the inlet heat sink fluid data, and returning the power generation capacity, efficiency, and outlet heat source and sink fluid temperatures according to the amounts estimated using the simulation results for n-pentane working fluid and conditions.
During the heating season, the working fluid is in a circulation loop where the exit of the ORC system is mixed with the exit of the heat pump, where Pump 2 circulates the mixture, splitting between the two houses. One house’s fluid outlet returns straightaway to the ORC system’s sink inlet, where it is heated and circulated all over again. Through the charging season (June to August), this heating from the ORC system is exchanged by the fluid to the GHE and recirculated. In its form for Halifax and Vancouver, the ORC system produces 20 kW of heating and 2.47 kW of maximum power output; while Edmonton requires an ORC system that provides 40 kW, which is acceptable as Edmonton has a colder climate and would thus need larger heating capacity. Table 3 provides the main operating parameters of the ORC system.

3.2.2. GSHP and GHE Models

Type 927 was utilised to simulate the GSHP. It applied user-supplied data for the capacity and power curve of the system, which was derived from manufacturer’s (Mammoth, city, state/prov abbrev if USA/Canada, country) data for heating (Table 2) [48]. Pseudo-azeotropic mixture R410A, which is a hydrofluorocarbon azeotropic mixture of HFC-32 and HFC-125 (difluoromethane (R-32)/pentafluoroethane (R-125)) is used as refrigerant [44,48]. Based on Table 4, the minimum and maximum operating pressures of the GSHP condenser are 799 and 1880 kPa, respectively. The minimum and maximum operating pressures of the GSHP evaporator are 2137 and 3061 kPa, respectively. The data are based on the inlet temperature of the source and sink fluids and employs the COP and heating capacity coupled with the flow rates to calculate the outlet temperatures and power consumption of the system. This similar heating performance map was utilised for the cooling performance of the system too.
The GSHP has minimum and maximum heating capacities of 20 kW and 43 kW, respectively. The GSHP is utilised at high stage in the heating season and low stage in the cooling season, taking into account the high-level of heating and low-level of cooling demands in these cities. The corresponding heating COPs are in the range between 2 and 5. On the other side, the GSHP has minimum and maximum cooling capacities of 10 kW and 20 kW, respectively. The corresponding cooling COPs are in the range between 3 and 7.
Type 557a was utilised to simulate the GHE. The GSHP just works in the heating season, where it is connected on the load side to one house, with the load fluid outlet that mixes with the fluid outlet of the ORC system, prior being recirculated to the two houses by Pump 2. On the source section, the GSHP is connected to the GHE, where it either removes heat from it, i.e., in heating mode, or adds heat to it, i.e., in cooling mode. During the charging season, the GHE is connected to the ORC system as stated earlier. The borehole filed holds eight 100-m deep vertical GHE with a flow rate of 0.1 kg/s.

3.2.3. Control Strategy

The duty scheduler, Type 14h was utilised to determine when the system is in each mode. This duty scheduler controls the operation of Pump 2 using Type 3b, maximum flow rate of 1 kg/s, the GSHP and valves 1, 2, 5, and 6, redirecting the flow from the red connections, during the heating season, where the GSHP and Pump 2 are on, to the green connections during the charging season, where the ORC system is supplying heat to the GHE.
Differential controllers, Type 2b were used to control the temperature in the house at the desired set point. Depending on the region selected, it might be required to reduce or just discard the charging season dependent on the ambient air temperatures and the average house temperatures. To meet the average house temperature requirements, the charging periods of 3 months for the Vancouver case and 2 months for the Halifax case have been selected, respectively. The charging season was removed entirely from the Edmonton case, as they factored higher temperature fluctuations, making it very uncomfortable for a residential dwelling. It was as well determined that for Canadian conditions, it is needed to utilise the heat pump for some cooling through warmer weather conditions, as there can be slightly high temperatures in months that yet need heating. Figure 3 depicts the control strategy of the system.

3.3. Conventional GSHP Model

A GSHP model was created to allow the comparison between the conventional GSHP system and the proposed ORC-GSHP based micro-cogeneration system. This model utilises the similar default parameters, but when compared to the former system, simply has a single residence in a circulation loop with the GSHP, which is continuously connected to the GHE. It as well has less sophisticated controls, thus, where the heat pump only turns on to meet the set point air temperature. For comparison between the systems, every total energy consumption or heat transfer rate has been normalised by the total heating area of the system.

4. Results and Discussion

This section provides in detail the performance results and their discussion based on dynamic simulations of the ORC-assisted GSHP based micro-co/trigeneration system. The study was conducted as a comparison with a conventional GSHP system in the same city in order to better appraise the feasibility of the proposed system. The results of studies in all the cities as a whole were also compared, so that possible differences and understandings between them could be extracted. For the technical system’s performance, a variety of parameters were analysed. The net energy consumption is the main contributing factor of the system’s performance, since reduction in both energy use and pollutant emissions is the primary goal of the comprehensive and overarching study. It was determined by adding all sources of energy use from the pumps located throughout the system, and power from the heat pump, and subtracting the total energy generated from the ORC system. Performance of the GSHP was varied throughout the period, and consequently the COP and the total operating hours (both for heating and cooling mode) were deemed essential. Moreover, preserving a comfortable temperature within the house is vital, as that is ultimately the goal for heating and cooling in general.
Three Canadian cities were selected, principally because of availability of data and their approximate representation of diversified weather conditions across Canadian regions. The cities are: Halifax, Nova Scotia (for the Atlantic region), Edmonton, Alberta (for the Prairies), and Vancouver (for the West Coast). Studying these three cities will enable specific analysis and interpretation of the means by which the proposed system can apply to their respective regions. As stated earlier, due to the temperature variations between them, several minor adjustments were needed for each city. These adjustments are outlined in Table 5.
Figure 4, Figure 5 and Figure 6 show the ambient air temperature in the house and the heating load profiles during a one-year period for the referenced cities of Edmonton, Halifax and Vancouver.

4.1. Temperature Profiles

Figure 7 presents the average house temperatures in Vancouver during the first year of the ORC-GHE-GSHP system’s application. A similar average profile is obtained for Halifax and Calgary. For clarity, a 200-period moving average was utilised. It can be seen that there is a satisfactory concurrence with the desired temperature band between 18–24°C. The conventional GSHP system also displays results that are consistent with this temperature band.
For the GHE, the average annual storage temperature was determined for the 20-year period, as depicted in Figure 8. Whilst the initial storage temperature was 20 °C for each model and city, the conventional GSHP system had steadily lowered temperatures compared to their ORC-GHE-GSHP system counterparts. This is mainly because of the addition of the ORC system to supply heat, which enabled the HP to run both efficiently, and for the shortest period. Even though the addition of the ORC for Halifax only decelerated the reduction in storage temperature, it however triggered a rise in temperatures in Edmonton and Vancouver to a predominantly steady average value in the course of each year. Although these average house temperatures shown in Figure 5 are only for the initial year of the simulation, subsequent years indicate a minor reduction in the extreme winter house temperatures for the simulations with dropping storage temperatures caused by reduced heat capacity and decreased performance that occurred as a result. In spite of these reductions however, the systems appear to attain their main required temperature results, and hence were not an important issue for future use.

4.2. Energy Consumption

In order for an initial insight into the feasibility of the proposed system when compared to a conventional GSHP, the net energy consumption is a crucial element, because reducing energy consumption is one of the primary objectives of the present study. Table 6 summarises the net energy consumption, which is made up of the total output generated from the ORC system, and the total consumption by the GSHP. It can be seen that the total energy consumption in the first year is nearly proportional to the total 20-year energy consumption. Yet it appears that the 20-year net energy consumption is somewhat greater for each ORC-GHE-GSHP model, whereas the conventional system would seem to exhibit opposite outcomes. It is noteworthy that following the decrease between the conventional GSHP system and the ORC-assisted one, the cities experienced reduced energy consumption in the range of 94.3–136.2%, with an average of 124.6%, thus highlighting the advantages of coupling an ORC to supply heat and to recharge the GHE of a GSHP system.
These results are in line with the outcomes found by Li et al. [39] for an ORC-assisted GSHP combi-system used in a region of Qiqihar, China, which has a cold climate under cool summers and cold winters. Results of their simulation performed over a 20-year period showed that in the combi-system, the ORC unit provided 56% of the total heating capacity, which compensated for 79% of the heat pump unit’s power consumption.
To better understand and compare the results found in Table 6, a breakdown of the 20-year net energy consumption (into the consumption from the GSHP and the generation from the ORC) is presented in Figure 9. It is noteworthy that in each city, the addition of the ORC system seemed to decrease the power utilisation of the heat pump. This has probably happened for either of two reasons. First, the ORC system, which charged the GHE during the charging season, was able to enhance performance of the heat pump, hence demanding less power for the same heating output. Secondly, the constant ORC heating output compensated for some of the heating demands of the heat pump.
In general, this compensation happens when the ORC system produces over 50% of the heating capacity. It is significant because the system is designed to be able to supply required heating in the colder winter periods as well as cooling in warmer periods, suggesting that for most of the year in each city, as evidenced in Figure 9, the ORC system generates over 50% of that heating capacity. It also increases substantially in each city going into and out of the summer months, though it should be noted that this heating progressively exceeds the heating demanded, which will cause the GSHP system’s cooling to be triggered (although not depicted in this graph) and thus consuming more power.
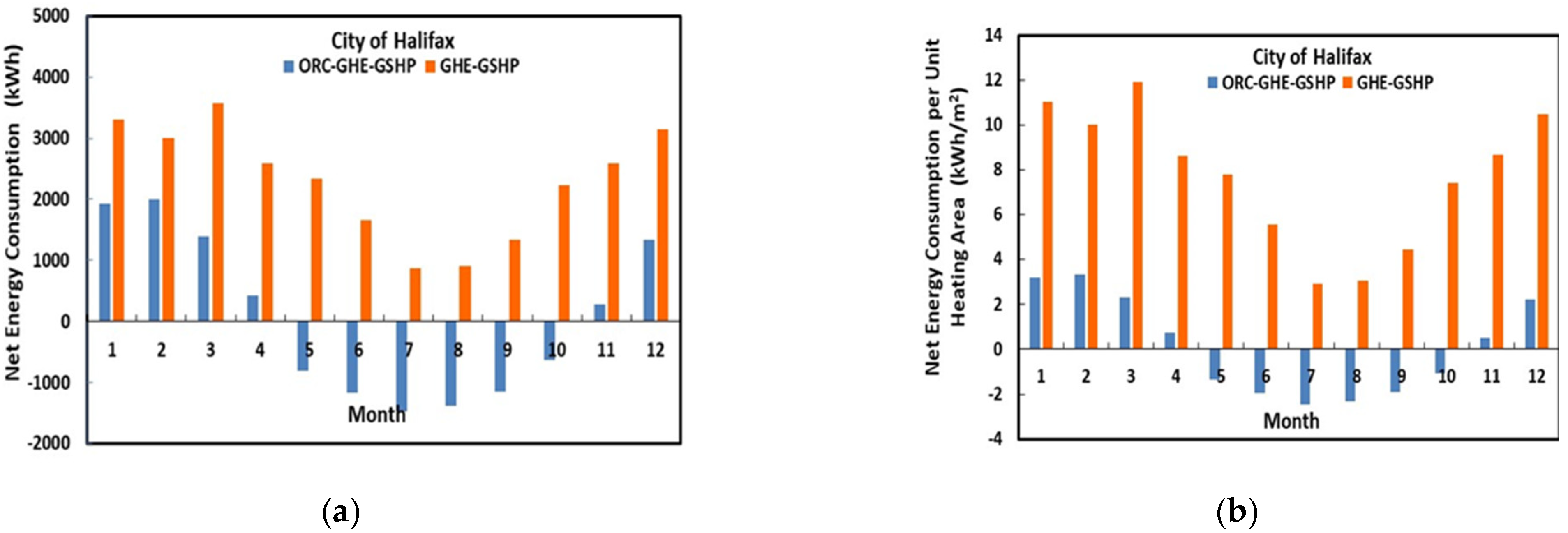
The addition of the ORC system enables generation of extra power to balance the spent power of the heat pump. For Halifax, the power generated simply decreased the net energy consumption in areas where there was more energy consumed than produced, while Vancouver and Edmonton had a net energy production. Although net energy production is beneficial, having bigger units than needed may often result in greater costs and space required, which could ultimately make it not as feasible from the operational viewpoint.
Another dilemma for the generation of electricity is that the energy consumption (from the GSHP) is not necessarily happening at the same time as the ORC energy is being generated. As Figure 10, Figure 11, Figure 12 and Figure 13 indicate, as the ORC system is generating a steady quantity of energy, the GSHP works according to the houses’ thermal management system, and consequently has a variable load dependent on the month or season (as seen from the conventional GSHP model). This variable load results in a different net energy consumption value each month, indicating that a battery or similar electrical storage system might be required to support the system. This storage system would have to be suitably sized to meet system constraints, and depending on the net energy generated, could likewise be more expensive and necessitate more space overall.

4.3. GSHP Performance

As stated earlier, the addition of the ORC system decreased net energy consumption both from charging the GHE to let the GSHP operate much more effectively, and in compensating some of the total heating demands from the GSHP. A different interpretation of decreasing the heat pump’s heating demand (besides Figure 10, Figure 11, Figure 12 and Figure 13) can be seen in Table 7, where the operating hours of the heat pumps are compared. The results reported in Figure 11 corroborate this estimated reduction, with Vancouver and Halifax indicating heat pump energy consumption reductions of 54.0%, and 23.7% respectively between the conventional and ORC GSHP systems. Nonetheless, Edmonton had a reduction of just 11.8%, which is possibly as a result of the demand for more cooling due to the ORC system’s capacity for intense heat, and the typically lower COP for cooling compared to heating.
The charging of the heat pump and maintenance of the storage temperature was also very efficient at sustaining the required performance. When comparing the average GSHP heat capacity as shown in Figure 14, although the conventional GSHP’s storage temperature decreased over the simulation period, the average heat capacity of the system did the same, but the one that got recharged by the ORC conserved a reliable and greater average heat capacity as a result of the consistent storage temperature.
Figure 15 demonstrates that charging of the GHE by the ORC system enhanced the average COP values. It is evident that these outcomes are precisely in agreement with the storage temperature results from Figure 6, since the storage temperature is the principal parameter in calculating the COP. For Halifax, it displayed storage temperature degradation over time, and thus had a range of COP values. For Vancouver and Edmonton’s yearly average COP for the ORC-GHE-GSHP model, both did not have remarkable variances in their yearly results, because the storage temperature was preserved within a narrow temperature band. For Halifax, it showed storage temperature deterioration over time, and consequently had a range of COP values. The extent of that range is strongly affected by the reduction in storage temperature, as is obvious when comparing any ORC-GHE-GSHP system to its conventional GSHP counterpart. The addition of the ORC system to supply extra heat mitigated the storage temperature loss and thus upgraded the GSHP in each case, allowing it to function more effectively, and for a shorter period of time. These outcomes are in conformity with those found by Li et al. [39] for an ORC-assisted GSHP combi-system used in a cold region of Qiqihar (China), which showed over a twenty-year period that the combi-system could sustain a higher annual average COP of around 3.8 because of the balanced soil temperature, while the yearly mean COP of the conventional GSHP system decreased from 3.7 to 3.2.
In summary, these results corroborated findings that the addition of an ORC system to a GSHP has a favourable practical benefit for both the performance of the GSHP and the overall energy consumption of the system.

5. Conclusions

This paper investigated the feasibility of using a combined GSHP in parallel with an ORC based micro-cogeneration system with capacity for seasonal thermal storage for use in cold climatic conditions. A dynamic simulation model was developed to simulate the proposed system in order to characterise key variables in the design and control of the system, and also to compare its performance with a conventional GSHP system.
Results showed that the proposed micro-cogeneration system is capable of providing heating for two households in the cities of Edmonton, Halifax and Vancouver (Canada) during the winter, while recharging the GHE used by the GSHP utilising the ORC system during the charging months in the summer. The operating hours and performance of the GSHP were improved by the addition of the ORC system, resulting in between 11.8–27.1% reduction in hours in the colder cities of Halifax and Edmonton, and with a 56.8% reduction in hours for the milder city of Vancouver. Similarly, the COP of the GSHP system preserved a much higher value overall, and this is attributable to the addition of the ORC system to sustain the GHE storage temperature. In terms of net energy decrease between the conventional GSHP system and the ORC-assisted one, Halifax was the least effective at 97.2% reduction, followed by Vancouver at a net-positive 132.7% decrease, and 136.5% decrease for Edmonton, which is possibly as a result of a slightly oversizing the ORC system to satisfy the needed heating capacity load. The substantial reductions in all the cities indicates that the addition of an ORC to supply heating and recharge the GHE of a GSHP system has many advantages and could be a feasible solution for ground thermal imbalance of GSHP in cold regions.
Future work will focus on system optimisation and economic assessments. It is recommended that parametric and sensitivity analyses of the systems be carried out. The sensitivity analysis will allow reduction of the variables to be optimised thus simplifying the optimisation problem. Optimal design and control optimisation of the combined ORC-GSHP system compared to the conventional GSHP could provide reliable prediction and optimised control performances. Research on pilot and real-scale technical and economic feasibility of ORC-GSHP micro-co/trigeneration systems is required and demonstration projects should be created to investigate the real-world feasibility of such projects.
The energy system investigated could be transferable to other regions of the world with comparable climate conditions. The outcomes may help to specify viable ORC-GSHP micro-co/trigeneration systems in cold climate applications and should be useful for prototype development and testing.

Author Contributions

Conceptualization, W.Y. and A.A.; methodology, W.Y. and E.E.; software, W.Y., M.L. and J.K.; validation, W.Y. and M.L.; formal analysis, W.Y., A.A. and M.L.; investigation, W.Y. and E.E.; writing—original draft preparation, W.Y., A.A., E.E. and M.L.; writing—review and editing, W.Y., A.A., E.E., M.L. and J.K. All authors have read and agreed to the published version of the manuscript.

Funding

Funding for this work was provided by Natural Resources Canada through the Program of Energy Research and Development.

Institutional Review Board Statement

Not applicable.

Informed Consent Statement

Not applicable.

Data Availability Statement

Data are contained within this article.

Acknowledgments

The authors would like to thank the Office of Energy Research and Development (OERD) of Natural Resources Canada for their valuable financial support.

Conflicts of Interest

The authors declare no conflict of interest.

References

  1. Natural Resources Canada. Residential End-Use Model; Natural Resources Canada: Ottawa, ON, Canada, 2020. Available online: https://oee.nrcan.gc.ca/corporate/statistics/neud/dpa/data_e/sources.cfm (accessed on 22 July 2021).
  2. International Energy Agency, IEA. Energy Technology Perspectives; IEA: Paris, France, 2020; Available online: https://www.iea.org/reports/energy-technology-perspectives-2020 (accessed on 22 July 2021).
  3. Rahbar, K.; Mahmoud, S.; Al-Dadah, R.K.; Moazami, N.; Mirhadizadeh, S.A. Review of organic Rankine cycle for small-scale applications. Energy Convers. Manag. 2017, 134, 135–155. [Google Scholar] [CrossRef]
  4. Tocci, L.; Pal, T.; Pesmazoglou, I.; Franchetti, B. A small scale organic Rankine cycle (ORC): A techno-economic review. Energies 2017, 10, 413. [Google Scholar] [CrossRef]
  5. Pereira, J.S.; Ribeiro, J.B.; Mendes, R.; Vaz, G.C.; André, J.C. ORC based micro-cogeneration systems for residential application–A state of the art review and current challenges. Renew Sustain. Energy Rev. 2018, 92, 728–743. [Google Scholar] [CrossRef]
  6. Chan, C.W.; Ling-Chin, J.; Roskilly, A.P. A review of chemical heat pumps, thermodynamic cycles and thermal energy storage technologies for low grade heat utilisation. Appl. Therm. Eng. 2013, 50, 1257–1273. [Google Scholar] [CrossRef]
  7. Hettiarachchi, H.M.; Golubovic, M.; Worek, W.M.; Ikegami, Y. Optimum design criteria for an Organic Rankine cycle using low-temperature geothermal heat sources. Energy 2007, 32, 1698–1706. [Google Scholar] [CrossRef]
  8. Chen, H.; Goswami, Y.; Stefanakos, E. A review of thermodynamic cycles and working fluids for the conversion of low-grade heat. Renew Sustain. Energy Rev. 2010, 14, 3059–3067. [Google Scholar] [CrossRef]
  9. Liu, Q.; Duan, Y.; Yang, Z. Performance analyses of geothermal organic Rankine cycles with selected hydrocarbon working fluids. Energy 2013, 63, 123–132. [Google Scholar] [CrossRef]
  10. Algieri, A.; Morrone, P. Energetic analysis of biomass-fired ORC systems for micro-scale combined heat and power (CHP) generation. A possible application to the Italian residential sector. Appl. Therm. Eng. 2014, 71, 751–759. [Google Scholar] [CrossRef]
  11. Zhai, H.; Shi, L.; An, Q. Influence of working fluid properties on system performance and screen evaluation indicators for geothermal ORC (organic Rankine cycle) system. Energy 2014, 74, 2–11. [Google Scholar] [CrossRef]
  12. Mahmoudi, M.; Fazli, M.; Morad, R. A recent review of waste heat recovery by organic Rankine cycle. Appl. Therm. Eng. 2018, 143, 660–675. [Google Scholar] [CrossRef]
  13. Wang, E.H.; Zhang, H.G.; Fan, B.Y.; Ouyang, M.G.; Zhao, Y.; Mu, Q.H. Study of working fluid selection of organic Rankine cycle (ORC) for engine waste heat recovery. Energy 2011, 36, 3406–3418. [Google Scholar] [CrossRef]
  14. Bao, J.J.; Zhao, L. A review of working fluid and expander selections for organic Rankine cycle. Renew Sustain. Energy Rev. 2013, 24, 325–342. [Google Scholar] [CrossRef]
  15. Tchanche, B.F.; Papadakis, G.; Lambrinos, G.; Frangoudakis, A. Fluid selection for a low-temperature solar organic Rankine cycle. Appl. Therm. Eng. 2009, 29, 2468–2476. [Google Scholar] [CrossRef] [Green Version]
  16. Lakew, A.A.; Bolland, O. Working fluids for low-temperature heat source. Appl. Therm. Eng. 2010, 30, 1262–1268. [Google Scholar] [CrossRef]
  17. Rayegan, R.; Tao, Y.X. A procedure to select working fluids for Solar Organic Rankine Cycles (ORCs). Renew Energy 2011, 36, 659–670. [Google Scholar] [CrossRef]
  18. Qiu, G. Selection of working fluids for micro-CHP systems with ORC. Renew Energy 2012, 48, 565–570. [Google Scholar] [CrossRef]
  19. Ziviani, D.; Beyene, A.; Venturini, M. Design, analysis and optimization of a Micro-CHP system based on organic Rankine cycle for ultralow grade thermal energy recovery. J. Energy Resour. Technol. 2014, 136, 011602. [Google Scholar] [CrossRef]
  20. Fischer, D.; Madani, H. On heat pumps in smart grids: A review. Renew Sustain. Energy Rev. 2017, 70, 342–357. [Google Scholar] [CrossRef] [Green Version]
  21. Wang, X.; Xia, L.; Bales, C.; Zhang, X.; Copertaro, B.; Pan, S.; Wu, J. A systematic review of recent air source heat pump (ASHP) systems assisted by solar thermal, photovoltaic and photovoltaic/thermal sources. Renew Energy 2020, 146, 2472–2487. [Google Scholar] [CrossRef] [Green Version]
  22. Goyal, A.; Staedter, M.A.; Garimella, S. A review of control methodologies for vapor compression and absorption heat pumps. Int. J. Refrig. 2019, 97, 1–20. [Google Scholar] [CrossRef]
  23. Pinheiro, M.; Salústio, S.; Rocha, J.; Valente, A.A.; Silva, C.M. Adsorption heat pumps for heating applications. Renew Sustain. Energy Rev. 2020, 119, 109528. [Google Scholar] [CrossRef]
  24. Yaïci, W.; Entchev, E.; Talebizadeh Sardari, P.; Longo, M. Heat pump-organic Rankine cycle hybrid systems for co/tri-generation applications: A state-of-the-art overview. In Proceedings of the ASME 14th International Conference on Energy Sustainability, Virtual, Online, 16–17 June 2020. Paper No: ES2020-1618, V001T04A002. [Google Scholar]
  25. Yaïci, W.; Entchev, E.; Sardari, P.T.; Longo, M. Recent developments of combined heat pump and organic Rankine Cycle energy systems for buildings. In Product Design, C; Alexandru, C., Jaliu, M., Eds.; IntechOpen: London, UK, 2020; Available online: https://www.intechopen.com/books/product-design/recent-developments-of-combined-heat-pump-and-organic-rankine-cycle-energy-systems-for-buildings (accessed on 27 August 2021). [CrossRef]
  26. Sarbu, I.; Sebarchievici, C. General review of ground-source heat pump systems for heating and cooling of buildings. Energy Build. 2014, 70, 441–454. [Google Scholar] [CrossRef]
  27. Bayer, P.; Saner, D.; Bolay, S.; Rybach, L.; Blum, P. Greenhouse gas emission savings of ground source heat pump systems in Europe: A review. Renew Sustain. Energy Rev. 2012, 16, 1256–1267. [Google Scholar] [CrossRef]
  28. Yang, H.; Cui, P.; Fang, Z. Vertical-borehole ground-coupled heat pumps: A review of models and systems. Appl. Energy 2010, 87, 16–27. [Google Scholar] [CrossRef]
  29. Nouri, G.; Noorollahi, Y.; Yousefi, H. Solar assisted ground source heat pump systems—A review. Appl. Therm. Eng. 2019, 163, 114351. [Google Scholar] [CrossRef]
  30. Zhu, N.; Hu, P.; Xu, L.; Jiang, Z.; Lei, F. Recent research and applications of ground source heat pump integrated with thermal energy storage systems: A review. Appl. Therm. Eng. 2014, 71, 142–151. [Google Scholar] [CrossRef]
  31. You, T.; Wu, W.; Shi, W.; Wang, B.; Li, X. An overview of the problems and solutions of soil thermal imbalance of ground-coupled heat pumps in cold regions. Appl. Energy 2016, 177, 515–536. [Google Scholar] [CrossRef]
  32. Ma, Z.; Xia, L.; Gong, X.; Kokogiannakis, G.; Wang, S.; Zhou, X. Recent advances and development in optimal design and control of ground source heat pump systems. Renew Sustain. Energy Rev. 2020, 131, 110001. [Google Scholar] [CrossRef]
  33. Chen, X.; Lu, L.; Yang, H. Long term operation of a solar assisted ground coupled heat pump system for space heating and domestic hot water. Energy Build. 2011, 43, 1835–1844. [Google Scholar]
  34. Wu, W.; Wang, B.L.; You, T.; Shi, W.; Li, X. A potential solution for thermal imbalance of ground source heat pump systems in cold regions: Ground source absorption heat pump. Renew Energy 2013, 59, 39–48. [Google Scholar] [CrossRef]
  35. You, T.; Wang, B.; Wu, W.; Shi, W.; Li, X. A new solution for underground thermal imbalance of ground-coupled heat pump systems in cold regions: Heat compensation unit with thermosyphon. Appl. Therm. Eng. 2014, 64, 283–292. [Google Scholar] [CrossRef]
  36. Emmi, G.; Zarrella, A.; de Carli, M.; Galgaro, A. An analysis of solar assisted ground source heat pumps in cold climates. Energy Convers. Manag. 2015, 106, 660–675. [Google Scholar] [CrossRef]
  37. Fong, M.; Alzoubi, M.A.; Kurnia, J.C.; Sasmito, A.P. On the performance of ground coupled seasonal thermal energy storage for heating and cooling: A Canadian context. Appl. Energy 2019, 250, 593–604. [Google Scholar] [CrossRef]
  38. Schimpf, S.; Span, R. Simulation of a solar assisted combined heat pump–organic Rankine cycle system. Energy Convers. Manag. 2015, 102, 151–160. [Google Scholar] [CrossRef]
  39. Li, W.; Lin, X.; Cao, C.; Gong, Z.; Gao, Y. Organic Rankine Cycle-assisted ground source heat pump combisystem for space heating in cold regions. Energy Convers. Manag. 2018, 165, 195–205. [Google Scholar] [CrossRef]
  40. TRNSYS, Transient System Simulation Tool, Version 17, 2017. Available online: http://www.trnsys.com/contact/index.html (accessed on 22 July 2021).
  41. TRNSYS 17, Mathematical Reference; Solar Energy Laboratory, University of Wisconsin: Madison, WI, USA, 2010; Volume 4.
  42. Klein, S.A. Engineering Equation Solver, F-Chart Software. Available online: http://www.fchart.com/ees (accessed on 22 July 2021).
  43. Dickes, R.; Ziviani, D. Organic Rankine Cycle Modeling Kit (ORCmKit). Available online: http://www.kcorc.org/en/open-source-software (accessed on 22 July 2021).
  44. Lemmon, E.W.; Huber, M.L.; McLinden, M.O. NIST Standard Reference Database 23: Reference Fluid Thermodynamic and Transport Properties-REFPROP, Version 9.1; National Institute of Standards and Technology, Standard Reference Data Program: Gaithersburg, MD, USA, 2013.
  45. Bell, I.H.; Wronski, J.; Quoilin, S.; Lemort, V. Pure and Pseudo-pure Fluid Thermophysical Property Evaluation and the Open-Source Thermophysical Property Library CoolProp. Ind. Eng. Chem. Res. 2014, 53, 2498–2508. [Google Scholar] [CrossRef] [Green Version]
  46. Yaïci, W.; Entchev, E.; Longo, M. Performance analysis of regenerative organic Rankine cycle system for solar micro combined heat and power generation application. In Proceedings of the IEEE 2018, 7th International Conference on Renew Energy Research and Applications (ICRERA), Paris, France, 14–17 October 2018; pp. 549–554. [Google Scholar]
  47. Yaïci, W.; Entchev, E. Thermodynamic and performance study of solar regenerative organic Rankine cycle system for use in residential micro-combined heat and power generation. In Proceedings of the ASME 2019, 13th International Conference on Energy Sustainability, Bellevue, WA, USA, 14–17 July 2019. Paper No: ES2019-3832, V001T12A001. [Google Scholar]
  48. Mammoth, Water Source Heat Pumps, High Efficiency Solutions for Your Building Environment, Custom Packaged HVAC Systems; O’Fallon, MO, USA., 2013.
Figure 1. Schematic of the proposed ORC-GHE-GSHP micro-cogeneration system.
Figure 1. Schematic of the proposed ORC-GHE-GSHP micro-cogeneration system.
Energies 14 05705 g001
Figure 2. Flow diagram of the TRNSYS simulation model of the proposed ORC-GHE-GSHP micro-cogeneration system.
Figure 2. Flow diagram of the TRNSYS simulation model of the proposed ORC-GHE-GSHP micro-cogeneration system.
Energies 14 05705 g002
Figure 3. Control strategy of the ORC-GHE-GSHP system.
Figure 3. Control strategy of the ORC-GHE-GSHP system.
Energies 14 05705 g003
Figure 4. (a) Ambient air temperature; (b) house heating load during a one-year period for Edmonton.
Figure 4. (a) Ambient air temperature; (b) house heating load during a one-year period for Edmonton.
Energies 14 05705 g004
Figure 5. (a) Ambient air temperature; (b) house heating load during a one-year period for Halifax.
Figure 5. (a) Ambient air temperature; (b) house heating load during a one-year period for Halifax.
Energies 14 05705 g005
Figure 6. (a) Ambient air temperature; (b) house heating load during a one-year period for Vancouver.
Figure 6. (a) Ambient air temperature; (b) house heating load during a one-year period for Vancouver.
Energies 14 05705 g006
Figure 7. Average house temperatures during one-year period in the city of Vancouver.
Figure 7. Average house temperatures during one-year period in the city of Vancouver.
Energies 14 05705 g007
Figure 8. GHE average storage temperatures during 20-year period for each system and city.
Figure 8. GHE average storage temperatures during 20-year period for each system and city.
Energies 14 05705 g008
Figure 9. Percent of total heating load supplied by the ORC during the first year in each city.
Figure 9. Percent of total heating load supplied by the ORC during the first year in each city.
Energies 14 05705 g009
Figure 10. (a) Net energy consumption; (b) net energy consumption per unit heating area during the first year in Edmonton for ORC-GHE-GSHP and conventional GSHP systems.
Figure 10. (a) Net energy consumption; (b) net energy consumption per unit heating area during the first year in Edmonton for ORC-GHE-GSHP and conventional GSHP systems.
Energies 14 05705 g010
Figure 11. (a) Net energy consumption; (b) net energy consumption per unit heating area during the first year in Halifax for ORC-GHE-GSHP and conventional GSHP systems.
Figure 11. (a) Net energy consumption; (b) net energy consumption per unit heating area during the first year in Halifax for ORC-GHE-GSHP and conventional GSHP systems.
Energies 14 05705 g011
Figure 12. (a) Net energy consumption; (b) net energy consumption per unit heating area during the first year in Vancouver for ORC-GHE-GSHP and conventional GSHP systems.
Figure 12. (a) Net energy consumption; (b) net energy consumption per unit heating area during the first year in Vancouver for ORC-GHE-GSHP and conventional GSHP systems.
Energies 14 05705 g012
Figure 13. Average energy consumption during the 20-year period for each city and system.
Figure 13. Average energy consumption during the 20-year period for each city and system.
Energies 14 05705 g013
Figure 14. Average heat pump capacity during the 20-year period for the city of Vancouver and for ORC-GHE-GSHP and conventional GSHP systems.
Figure 14. Average heat pump capacity during the 20-year period for the city of Vancouver and for ORC-GHE-GSHP and conventional GSHP systems.
Energies 14 05705 g014
Figure 15. Average COP during the 20-year period for each city and systems.
Figure 15. Average COP during the 20-year period for each city and systems.
Energies 14 05705 g015
Table 1. TRNSYS simulation models for the main components.
Table 1. TRNSYS simulation models for the main components.
Main ComponentsType
Simplified building model12c
Ground-source heat pump (GSHP)927
Ground heat exchanger (GHE)557
Organic Rankine cycle (ORC)42b
Differential controllers2b
Duty cycle14h
Pump3b
Table 2. Main properties of the n-pentane (R601) working fluid [43].
Table 2. Main properties of the n-pentane (R601) working fluid [43].
TypeFormulaDensity at SATP (kg/m3)Tnbp (°C)Tc
(°C)
Pc (kPa)GWPODPASHRAE 34 Safety Group Classification
HC, dryC5H12621.1036.06196.553337200A3
Notes: GWP: global warming potential; HC: hydrocarbon; ODP: ozone depletion potential; Pc: critical pressure; Tc: critical temperature; Tnbp: normal boiling point; SATP: standard ambient temperature and pressure.
Table 3. Operating parameters of the ORC system.
Table 3. Operating parameters of the ORC system.
SystemParameterValueUnit
ORCWaste heat discharged from unit20–40kW
Working fluidn-Pentane -
Expander typescroll-
Expander flow rate0.1kg/s
ORC isentropic efficiency75%
ORC cycle efficiency7.8%
Heat source (water)Flow rate0.15kg/s
Pressure600kPa
Inlet temperature130°C
Outlet temperature95°C
Heat sink (antifreeze)Flow rate1kg/s
Pressure200kPa
Inlet temperature30°C
Outlet temperature37°C
Table 4. COP and heating capacity for evaporator and condenser inlet temperatures.
Table 4. COP and heating capacity for evaporator and condenser inlet temperatures.
Tsource,in (°C)3550
Tsink,in (°C)COPHeating Capacity (kW)COPHeating Capacity (kW)
03.3322.402.7120.60
43.7726.003.0723.95
104.1130.303.3527.90
204.7639.253.8736.10
294.9643.704.0540.25
Table 5. Modifications to system model for each selected city.
Table 5. Modifications to system model for each selected city.
CityCharging PeriodORC Heating Capacity to Load (kW)
EdmontonNone40 kW
Halifax2 months (July–August)20 kW
Vancouver3 months (June–August)20 kW
Table 6. Net energy consumption for the first year and after 20 years for each system and city.
Table 6. Net energy consumption for the first year and after 20 years for each system and city.
First Year Net Energy Consumption (kWh)20-Year Net Energy Consumption (kWh)
CityORC-GHE-GSHPConventional GSHP% DiffORC-GHE-GSHPConventional GSHP% Diff
Edmonton−10,362.628,385.2136.5−204,738566,150136.2
Halifax776.227,580.697.228,495498,16794.3
Vancouver−8190.125,043.4132.7−148,325433,088134.2
Table 7. Heat pump operating hours during the 20-year period for both systems in each city.
Table 7. Heat pump operating hours during the 20-year period for both systems in each city.
City20-Year Heat Pump Operating Hours (h)Percent Reduction of Hours (%)
Conventional GSHPORC-GHE-GSHP
Edmonton82,50360,13127.1%
Halifax70,91553,74524.2%
Vancouver58,43625,23256.8%
Publisher’s Note: MDPI stays neutral with regard to jurisdictional claims in published maps and institutional affiliations.

Share and Cite

MDPI and ACS Style

Yaïci, W.; Annuk, A.; Entchev, E.; Longo, M.; Kalder, J. Organic Rankine Cycle-Ground Source Heat Pump with Seasonal Energy Storage Based Micro-Cogeneration System in Cold Climates: The Case for Canada. Energies 2021, 14, 5705. https://doi.org/10.3390/en14185705

AMA Style

Yaïci W, Annuk A, Entchev E, Longo M, Kalder J. Organic Rankine Cycle-Ground Source Heat Pump with Seasonal Energy Storage Based Micro-Cogeneration System in Cold Climates: The Case for Canada. Energies. 2021; 14(18):5705. https://doi.org/10.3390/en14185705

Chicago/Turabian Style

Yaïci, Wahiba, Andres Annuk, Evgueniy Entchev, Michela Longo, and Janar Kalder. 2021. "Organic Rankine Cycle-Ground Source Heat Pump with Seasonal Energy Storage Based Micro-Cogeneration System in Cold Climates: The Case for Canada" Energies 14, no. 18: 5705. https://doi.org/10.3390/en14185705

APA Style

Yaïci, W., Annuk, A., Entchev, E., Longo, M., & Kalder, J. (2021). Organic Rankine Cycle-Ground Source Heat Pump with Seasonal Energy Storage Based Micro-Cogeneration System in Cold Climates: The Case for Canada. Energies, 14(18), 5705. https://doi.org/10.3390/en14185705

Note that from the first issue of 2016, this journal uses article numbers instead of page numbers. See further details here.

Article Metrics

Back to TopTop