Household Sharing for Carbon and Energy Reductions: The Case of EU Countries
Abstract
1. Introduction
1.1. Cross-Country Differences in Household Economies of Scale
1.2. Interaction between Household Size and Population Density
1.3. This Study
2. Data and Methods
2.1. Databases
2.2. The Model
2.3. Limitations
3. Results
3.1. Descriptive Statistics and Bi-Variate Regressions
3.1.1. Household Size, Carbon and Energy Footprints
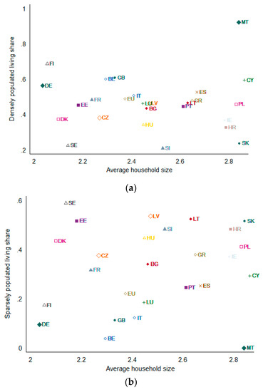
3.1.2. Household Size and Population Density
3.1.3. Bi-Variate Regressions
3.2. Household Economies of Scale for Total Carbon and Energy Footprints
3.3. Household Economies of Scale by Consumption Categories
3.3.1. Housing
3.3.2. Food
3.3.3. Equipment, Transport and Other Consumption
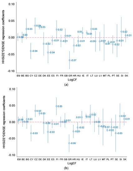
3.4. Household Size and Population Density Interaction
4. Discussion and Conclusions
4.1. Household Dynamics within the EU
4.2. Country Clusters and Contextual Factors
4.3. Policy Recommendations
Supplementary Materials
Author Contributions
Funding
Acknowledgments
Conflicts of Interest
Data Statement
References
- Masson-Delmotte, V.; Zhai, P.; Pörtner, H.-O.; Roberts, D.; Skea, J.; Shukla, P.R.; Pirani, A.; Moufouma-Okia, W.; Péan, C.; Pidcock, R.; et al. IPCC Special Report 1.5—Summary for Policymakers; IPCC: Geneva, Switzerland, 2018. [Google Scholar]
- Büchs, M.; Schnepf, S.V. Who emits most? Associations between socio-economic factors and UK households’ home energy, transport, indirect and total CO2 emissions. Ecol. Econ. 2013, 90, 114–123. [Google Scholar] [CrossRef]
- Ivanova, D.; Vita, G.; Wood, R.; Lausselet, C.; Dumitru, A.; Krause, K.; Macsinga, I.; Hertwich, E. Carbon mitigation in domains of high consumer lock-in. Glob. Environ. Chang. 2018, 52, 117–130. [Google Scholar] [CrossRef]
- Ivanova, D.; Vita, G.; Steen-Olsen, K.; Stadler, K.; Melo, P.C.; Wood, R.; Hertwich, E.G. Mapping the carbon footprint of EU regions. Environ. Res. Lett. 2017, 12, 1–13. [Google Scholar] [CrossRef]
- Wiedenhofer, D.; Smetschka, B.; Akenji, L.; Jalas, M.; Haberl, H. Household time use, carbon footprints, and urban form: A review of the potential contributions of everyday living to the 1.5 °C climate target. Curr. Opin. Environ. Sustain. 2018, 30, 7–17. [Google Scholar] [CrossRef]
- Druckman, A.; Jackson, T. Household energy consumption in the UK: A highly geographically and socio-economically disaggregated model. Energy Policy 2008, 36, 3177–3192. [Google Scholar] [CrossRef]
- Liddle, B. Impact of population, age structure, and urbanization on carbon emissions/energy consumption: Evidence from macro-level, cross-country analyses. Popul. Environ. 2014, 35, 286–304. [Google Scholar] [CrossRef]
- Underwood, A.; Zahran, S. The carbon implications of declining household scale economies. Ecol. Econ. 2015, 116, 182–190. [Google Scholar] [CrossRef]
- Yates, L. Sharing, households and sustainable consumption. J. Consum. Cult. 2018, 18, 433–452. [Google Scholar] [CrossRef]
- Demey, D.; Berrington, A.; Evandrou, M.; Falkingham, J. Living alone and psychological well-being in mid-life: Does partnership history matter? J. Epidemiol. Community Health 2014, 68, 403–410. [Google Scholar] [CrossRef]
- Vita, G.; Ivanova, D.; Dumitru, A.; García-mira, R.; Carrus, G.; Stadler, K.; Krause, K.; Wood, R.; Hertwich, E.G. Happier with less ? Members of European environmental grassroots initiatives reconcile lower carbon footprints with higher life satisfaction and income increases. Energy Res. Soc. Sci. 2020, 60, 101329. [Google Scholar] [CrossRef]
- Grinde, B.; Nes, R.B.; MacDonald, I.F.; Wilson, D.S. Quality of Life in Intentional Communities. Soc. Indic. Res. 2018, 137, 625–640. [Google Scholar] [CrossRef]
- Yu, E.; Liu, J. Environmental impacts of divorce. Proc. Natl. Acad. Sci. USA 2007, 104, 20629–20634. [Google Scholar] [CrossRef] [PubMed]
- Lenzen, M.; Wier, M.; Cohen, C.; Hayami, H.; Pachauri, S.; Schaeffer, R. A comparative multivariate analysis of household energy requirements in Australia, Brazil, Denmark, India and Japan. Energy 2006, 31, 181–207. [Google Scholar] [CrossRef]
- Ottelin, J.; Heinonen, J.; Junnila, S. New Energy Efficient Housing Has Reduced Carbon Footprints in Outer but Not in Inner Urban Areas. Environ. Sci. Technol. 2015, 49, 9574–9583. [Google Scholar] [CrossRef] [PubMed]
- Gill, B.; Moeller, S. GHG Emissions and the Rural-Urban Divide. A Carbon Footprint Analysis Based on the German Official Income and Expenditure Survey. Ecol. Econ. 2018, 145, 160–169. [Google Scholar] [CrossRef]
- Hamamura, T. Cross-temporal changes in people’s ways of thinking, feeling, and behaving. Curr. Opin. Psychol. 2020, 32, 17–21. [Google Scholar] [CrossRef]
- Easthope, H.; Liu, E.; Burnley, I.; Judd, B. Changing perceptions of family: A study of multigenerational households in Australia. J. Sociol. 2017, 53, 182–200. [Google Scholar] [CrossRef]
- Three, T.; Economies, P. The Three Political Economies of the Welfare State. In Three Worlds of Welfare Capitalism; Polity Press: Cambridge, UK, 1995. [Google Scholar]
- Creutzig, F.; Fernandez, B.; Haberl, H.; Khosla, R.; Mulugetta, Y.; Seto, K.C. Beyond Technology: Demand-Side Solutions for Climate Change Mitigation. Annu. Rev. Environ. Resour. 2016, 41, 173–198. [Google Scholar] [CrossRef]
- Jones, C.M.; Kammen, D.M. Spatial distribution of U.S. household carbon footprints reveals suburbanisation undermines greenhouse gas benefits of urban population density. Environ. Sci. Technol. 2014, 48, 895–902. [Google Scholar] [CrossRef]
- Poom, A.; Ahas, R. How does the environmental load of Household consumption depend on residential location? Sustainability 2016, 8, 799. [Google Scholar] [CrossRef]
- Ottelin, J.; Heinonen, J.; Nässén, J.; Junnila, S. Household carbon footprint patterns by the degree of urbanisation in Europe. Environ. Res. Lett. 2019, 14, 114016. [Google Scholar] [CrossRef]
- Fremstad, A.; Underwood, A.; Zahran, S. The Environmental Impact of Sharing: Household and Urban Economies in CO2 Emissions. Ecol. Econ. 2018, 145, 137–147. [Google Scholar] [CrossRef]
- Ala-Mantila, S.; Ottelin, J.; Heinonen, J.; Junnila, S. To each their own? The greenhouse gas impacts of intra-household sharing in different urban zones. J. Clean. Prod. 2017, 163, S79–S90. [Google Scholar] [CrossRef]
- Eurostat EU Quality Report of the Household Budget Surveys 2010. Available online: http://epp.eurostat.ec.europa.eu/portal/page/portal/eurostat/home (accessed on 27 January 2020).
- Stadler, K.; Wood, R.; Bulavskaya, T.; Södersten, C.-J.; Simas, M.; Schmidt, S.; Usubiaga, A.; Acosta-Fernández, J.; Kuenen, J.; Bruckner, M.; et al. EXIOBASE 3: Developing a Time Series of Detailed Environmentally Extended Multi-Regional Input-Output Tables. J. Ind. Ecol. 2018, 22, 502–515. [Google Scholar] [CrossRef]
- Solomon, S.; Qin, D.; Manning, M.; Marquis, M.; Averyt, K.; Tignor, M.M.B.; LeRoy Miller, H.; Chen, Z. Contribution of Working Group I to the Fourth Assessment Report of the Intergovernmental Panel on Climate Change: Climate Change 2007 The Physical Science Basis; Cambridge University Press: Cambridge, UK, 2007. [Google Scholar]
- Schenau, S. The Dutch Energy Accounts. Available online: https://unstats.un.org/unsd/envaccounting/londongroup/meeting10/LG10_10a.pdf (accessed on 27 January 2020).
- Wood, R.; Stadler, K.; Bulavskaya, T.; Lutter, S.; Giljum, S.; de Koning, A.; Kuenen, J.; Schütz, H.; Acosta-Fernández, J.; Usubiaga, A.; et al. Global sustainability accounting-developing EXIOBASE for multi-regional footprint analysis. Sustainability 2015, 7, 138–163. [Google Scholar] [CrossRef]
- Ivanova, D.; Wood, R. The unequal distribution of household carbon footprints in Europe and its link to sustainability. Rev. Glob. Sustain. 2020. [Google Scholar]
- EUROSTAT. Description of the Data Transmission for HBS (Reference Year) 2010 Version: Final; Eurostat: Brussels, Belgium, 2012. [Google Scholar]
- Eurostat Degree of Urbanisation Classification -2011 Revision. Available online: https://ec.europa.eu/eurostat/statistics-explained/index.php/Degree_of_urbanisation_classification_-_2011_revision (accessed on 3 February 2020).
- Eurostat Glossary: Local Administrative Unit (LAU). Available online: https://ec.europa.eu/eurostat/statistics-explained/index.php?title=Glossary:LAU2 (accessed on 3 February 2020).
- Eurostat Local Administrative Units (LAU). Available online: https://ec.europa.eu/eurostat/web/nuts/local-administrative-units (accessed on 3 February 2020).
- Zhang, X.; Luo, L.; Skitmore, M. Household carbon emission research: An analytical review of measurement, influencing factors and mitigation prospects. J. Clean. Prod. 2015, 103, 873–883. [Google Scholar] [CrossRef]
- Galvin, R.; Sunikka-Blank, M. Economic Inequality and Household Energy Consumption in High-income Countries: A Challenge for Social Science Based Energy Research. Ecol. Econ. 2018, 153, 78–88. [Google Scholar] [CrossRef]
- Dubois, G.; Sovacool, B.; Aall, C.; Nilsson, M.; Barbier, C.; Herrmann, A.; Bruyère, S.; Andersson, C.; Skold, B.; Nadaud, F.; et al. It starts at home? Climate policies targeting household consumption and behavioral decisions are key to low-carbon futures. Energy Res. Soc. Sci. 2019, 52, 144–158. [Google Scholar] [CrossRef]
- Chancel, L.; Piketty, T. Carbon and Inequality: From Kyoto to Paris; Paris School of Economics: Paris, France, 2015. [Google Scholar]
- Strandell, A.; Hall, C.M. Impact of the residential environment on second home use in Finland—Testing the compensation hypothesis. Landsc. Urban Plan. 2015, 133, 12–23. [Google Scholar] [CrossRef]
- Hertwich, E.; Peters, G. Carbon footprint of nations: A global, trade-linked analysis. Environ. Sci. Technol. 2009, 43, 6414–6420. [Google Scholar] [CrossRef] [PubMed]
- Ivanova, D.; Barrett, J.; Wiedenhofer, D.; Macura, B.; Callaghan, M.; Creutzig, F. Quantifying the potential for climate change mitigation of consumption options. Environ. Res. Lett. under review. [CrossRef]
- Ivanova, D.; Stadler, K.; Steen-Olsen, K.; Wood, R.; Vita, G.; Tukker, A.; Hertwich, E.G. Environmental impact assessment of household consumption. J. Ind. Ecol. 2016, 20, 526–536. [Google Scholar] [CrossRef]
- Girod, B.; De Haan, P. More or Better? A Model for Changes in Household Greenhouse Gas Emissions due to Higher Income. J. Ind. Ecol. 2010, 14, 31–49. [Google Scholar] [CrossRef]
- Usubiaga, A.; Acosta-Fernández, J. Carbon emission accounting in MRIO models: The territory vs. the residence principle. Econ. Syst. Res. 2015, 27, 458–477. [Google Scholar] [CrossRef]
- Schaffrin, A.; Reibling, N. Household energy and climate mitigation policies: Investigating energy practices in the housing sector. Energy Policy 2015, 77, 1–10. [Google Scholar] [CrossRef]
- Abela, A.M. Youth, religion and community care in Malta. Soc. Compass 1995, 1, 59–67. [Google Scholar] [CrossRef]
- Ellsworth-Krebs, K. Implications of declining household sizes and expectations of home comfort for domestic energy demand. Nat. Energy 2019, 1–6. [Google Scholar] [CrossRef]
- Quested, T.; Ingle, R.; Parry, A. Household Food and Drink Waste in the UK; WRAP: Oxon, UK, 2012. [Google Scholar]
- Ricciuto, L.; Tarasuk, V.; Yatchew, A. Socio-demographic influences on food purchasing among Canadian households. Eur. J. Clin. Nutr. 2006, 60, 778–790. [Google Scholar] [CrossRef] [PubMed]
- Ritter, N.; Vance, C. Do fewer people mean fewer cars? Population decline and car ownership in Germany. Transp. Res. Part A Policy Pract. 2013, 50, 74–85. [Google Scholar] [CrossRef]
- Soltani, A.; Pojani, D.; Askari, S.; Masoumi, H.E. Socio-demographic and built environment determinants of car use among older adults in Iran. J. Transp. Geogr. 2018, 68, 109–117. [Google Scholar] [CrossRef]
- Papon, F.; Hivert, L. Adulterous behaviour within the car-owner couple: Some analyses from french panel data on car rental and car sharing within households. IATSS Res. 2008, 32, 6–15. [Google Scholar] [CrossRef]
- Clark, B.; Chatterjee, K.; Melia, S. Changes in level of household car ownership: The role of life events and spatial context. Transportation 2016, 43, 565–599. [Google Scholar] [CrossRef]
- ONS National Travel Survey: 2010. Available online: https://assets.publishing.service.gov.uk/government/uploads/system/uploads/attachment_data/file/8938/nts2010-07.pdf (accessed on 13 February 2020).
- Lauzadyte-Tutliene, A.; Balezentis, T.; Goculenko, E. Welfare state in central and eastern Europe. Econ. Sociol. 2018, 11, 100–123. [Google Scholar] [CrossRef]
- Ferrera, M. The “southern model” of welfare in social Europe. J. Eur. Soc. Policy 1996, 6, 17–37. [Google Scholar] [CrossRef]
- Voicu, M.; Voicu, B.; Strapcova, K. Housework and gender inequality in European countries. Eur. Sociol. Rev. 2009, 25, 365–377. [Google Scholar] [CrossRef]
- Tavora, I. The southern European social model: Familialism and the high rates of female employment in Portugal. J. Eur. Soc. Policy 2012, 22, 63–76. [Google Scholar] [CrossRef]
- Gentile, M.; Tammaru, T.; Van Kempen, R. Heteropolitanization: Social and spatial change in Central and East European Cities. Cities 2012, 29, 291–299. [Google Scholar] [CrossRef]
- Keilman, N. Biodiversity: The threat of small households. Nature 2003, 421, 489–490. [Google Scholar] [CrossRef]
- Balaras, C.A.; Gaglia, A.G.; Georgopoulou, E.; Mirasgedis, S.; Sarafidis, Y.; Lalas, D.P. European residential buildings and empirical assessment of the Hellenic building stock, energy consumption, emissions and potential energy savings. Build. Environ. 2007, 42, 1298–1314. [Google Scholar] [CrossRef]
- Ellsworth-Krebs, K.; Reid, L.; Hunter, C.J. Home Comfort and “Peak Household”: Implications for Energy Demand. Hous. Theory Soc. 2019, 1–20. [Google Scholar] [CrossRef]
- Liu, J.; Daily, G.C.; Ehrlich, P.R.; Luck, G.W. Effects of household dynamics on resource consumption and biodiversity. Nature 2003, 421, 530–533. [Google Scholar] [CrossRef] [PubMed]
- Esping-Andersen, G.; Billari, F.C. Re-theorizing Family Demographics. Popul. Dev. Rev. 2015, 41, 1–31. [Google Scholar] [CrossRef]
- OECD. Doing Better for Families: United States; OECD Publishing: Paris, France, 2011; ISBN 9789264098732. [Google Scholar]
- Nyborg, K.; Anderies, J.M.; Dannenberg, A.; Lindahl, T.; Schill, C.; Schlüter, M.; Adger, W.N.; Arrow, K.J.; Barrett, S.; Carpenter, S.; et al. Social norms as solutions: Policies may influence large-scale behavioral tipping. Science 2016, 354, 42–43. [Google Scholar] [CrossRef] [PubMed]
- Freudendal-Pedersen, M.; Kesselring, S. Sharing mobilities. Some propaedeutic considerations. Appl. Mobilities 2018, 3, 1–7. [Google Scholar] [CrossRef][Green Version]
- The Social Prosperity. Network Social Prosperity for the Future: A Proposal for Universal Basic Services. 2017, p. 55. Available online: https://www.ucl.ac.uk/bartlett/igp/sites/bartlett/files/universal_basic_services_-_the_institute_for_global_prosperity_.pdf (accessed on 3 March 2020).
- Kwan, S.C.; Tainio, M.; Woodcock, J.; Sutan, R.; Hashim, J.H. The carbon savings and health co-benefits from the introduction of mass rapid transit system in Greater Kuala Lumpur, Malaysia. J. Transp. Heal. 2017, 6, 187–200. [Google Scholar] [CrossRef]
- Ivanova, D.; Büchs, M. Carbon and Energy Footprints of European Households (EU HBS); University of Leeds: Leeds, England, 2020; [Dataset]. [Google Scholar] [CrossRef]












| Country Code | Country Name | Coefficients for Household Size (HHSIZE) | ||||
|---|---|---|---|---|---|---|
| Densely Populated | Sparsely Populated | Carbon Footprint | Energy Footprint | Income | ||
| EU | European Union | −0.040*** | 0.042*** | −0.170*** | −0.196*** | −0.208*** |
| BE | Belgium | −0.102*** | 0.011 | −0.310*** | −0.341*** | −0.297*** |
| BG | Bulgaria | −0.007 | −0.025 | −0.132*** | −0.195*** | −0.356*** |
| CY | Cyprus | −0.072*** | 0.01 | −0.274*** | −0.293*** | −0.276*** |
| CZ | Czech Republic | −0.083*** | 0.054** | −0.384*** | −0.437*** | −0.291*** |
| DE | Germany | −0.179*** | 0.114*** | −0.169*** | −0.182*** | −0.196*** |
| DK | Denmark | −0.114*** | 0.087*** | −0.162*** | −0.228*** | −0.154*** |
| EE | Estonia | −0.009 | −0.003 | −0.196*** | −0.241*** | −0.239*** |
| ES | Spain | −0.046*** | 0.016* | −0.191*** | −0.217*** | −0.416*** |
| FI | Finland | −0.150*** | 0.128*** | −0.159*** | −0.195*** | −0.181*** |
| FR | France | −0.082*** | 0.101*** | −0.229*** | −0.294*** | −0.242*** |
| GB | United Kingdom | 0.017 | −0.000 | −0.139*** | −0.141*** | −0.161*** |
| GR | Greece | −0.026 | −0.008 | −0.193*** | −0.190*** | −0.263*** |
| HR | Croatia | −0.095*** | 0.048** | −0.156*** | −0.200*** | −0.326*** |
| HU | Hungary | −0.147*** | 0.118*** | −0.282*** | −0.264*** | −0.415*** |
| IE | Ireland | −0.052*** | 0.082*** | −0.261*** | −0.236*** | −0.261*** |
| IT | Italy | −0.053*** | 0.013* | −0.273*** | −0.259*** | − |
| LT | Lithuania | −0.152*** | 0.150*** | −0.143*** | −0.146*** | −0.325*** |
| LU | Luxembourg | −0.109*** | 0.084*** | −0.391*** | −0.379*** | −0.391*** |
| LV | Latvia | −0.076*** | 0.076*** | −0.157*** | −0.224*** | −0.214*** |
| MT | Malta | −0.001 | − | −0.253*** | −0.245*** | −0.240*** |
| PL | Poland | −0.187*** | 0.144*** | −0.296*** | −0.306*** | −0.295*** |
| PT | Portugal | −0.02 | −0.044*** | −0.127*** | −0.134*** | −0.243*** |
| RO | Romania | − | − | −0.116*** | −0.122*** | −0.422*** |
| SE | Sweden | −0.011 | −0.002 | −0.184*** | −0.170*** | −0.231*** |
| SI | Slovenia | −0.079*** | 0.061*** | −0.277*** | −0.316*** | −0.179*** |
| SK | Slovakia | −0.098*** | 0.052*** | −0.202*** | −0.216*** | −0.355*** |
| Country Clusters | Example Countries | Mean Household Size and T-test | Household Economies of Scale by Consumption Domains | Interaction with Population Density | |
|---|---|---|---|---|---|
| 1 | Countries with high/moderate/low household economies of scale | LU, SI, CZ, BE, DE, FI, FR, GB, MT, DK, HU, IE, LV, PL, SE, SK | 2.54 (0.003) | Strong household economies of scale for actual and imputed rent (GB, CZ, DK, SE), electricity (GB, BE, CZ, DK, FR, SI), household services (SK, LV), food (MT, SI, LU), housing fuels (CZ, HU), other goods and services (MT, LU, LV), appliances and equipment (LU, SI); | Higher household economies of scale in rural areas compared to urban areas (DE, CZ) |
| 2 | Countries with no household economies of scale/Countries with positive HHSIZE effect | CY, LT, EE, ES, IT, GR, PT, HR, BG | 2.64 (0.005) | Some of the lowest household economies of scale (or positive coefficients) for actual and imputed rent (EE, CY), electricity (CY), household services (GR), food (PT, ES, GR), housing fuels (CY), other goods and services (EE, ES, LT, IT), appliances and equipment (EE, BG, GR, LT, IT) and transport (GR, BG); | Higher household economies of scale in urban areas (GR, EE, CY, HR), relatively low share of urban population and higher environmental impacts in urban areas. |
| Difference | *** | ||||
© 2020 by the authors. Licensee MDPI, Basel, Switzerland. This article is an open access article distributed under the terms and conditions of the Creative Commons Attribution (CC BY) license (http://creativecommons.org/licenses/by/4.0/).
Share and Cite
Ivanova, D.; Büchs, M. Household Sharing for Carbon and Energy Reductions: The Case of EU Countries. Energies 2020, 13, 1909. https://doi.org/10.3390/en13081909
Ivanova D, Büchs M. Household Sharing for Carbon and Energy Reductions: The Case of EU Countries. Energies. 2020; 13(8):1909. https://doi.org/10.3390/en13081909
Chicago/Turabian StyleIvanova, Diana, and Milena Büchs. 2020. "Household Sharing for Carbon and Energy Reductions: The Case of EU Countries" Energies 13, no. 8: 1909. https://doi.org/10.3390/en13081909
APA StyleIvanova, D., & Büchs, M. (2020). Household Sharing for Carbon and Energy Reductions: The Case of EU Countries. Energies, 13(8), 1909. https://doi.org/10.3390/en13081909
