Abstract
The lower cost of sensors is making possible the acquisition of big data sets in several applications and research areas. Indoor air quality and commuter exposure to pollutants are some of these areas, which can have impacts on our livelihood. The main objective of this exploratory research was to assemble portable equipment along with a prototype, one low-cost and easy to replicate in any location worldwide. We answer how CO2, noise and energy expenditure compare in different transportation modes with indoor environments (metro, bus and car). It was intended to be carried by a subject on all commutes. The low-cost equipment assembled has the ability to measure ambient CO2, noise levels, heart rate and geographic coordinates. The field campaign was conducted on an urban commuting route, in Lisbon city, between Rossio (downtown of Lisbon city) and Campo Grande (near FCUL campus). It took place during 3 weeks in school break and 3 weeks in the school period to grasp some differences between these periods of the year. The heart rate data was used to calculate the subject energy expenditure and the geographic coordinate data allowed for time and spatial analysis using a geospatial software package. Our measurements totaled 70 one-way trips and 358,140 data points. Temporal and spatial analysis yielded the following results: The metro presents the lowest median CO2 concentrations of 693 ppm and the bus the highest with 1085 ppm. The bus had an equivalent continuous sound average (Leq) of 75 dBA, while the metro had 85.2 dBA. Based on the metabolic equivalent of task (MET) calculations, the metro displays the least sedentary behavior, while the bus presents the most sedentary behavior with up to 96.5% of its commute spent in this classification. The metro was the fastest mode of transportation based on the consistency of its travel times compared to the bus, which despite also being consistent, was slower by 1.8 times. The car measurement values reside in the middle of the metro and bus results. Despite this, it is considered the worst mode of transportation, as it goes against the idea of a less congested and clean city. It also has a highly variable commuting time, which sometimes makes it slower than the metro, especially during the school period. According to our results, we concluded that the metro had efficient indoor ventilation while the bus did not. There were several instances of inefficient ventilation with concentrations exceeding 1000 ppm, particularly between Restauradores and Saldanha due to overcrowding. Referring to the health impacts of noise, the metro dBA levels are not sustained for enough time to have any measurable negative impact. Sensor performance was considered acceptable for the CO2 sensor. The dBA and heart rate (HR) sensors were considered acceptable to sometimes irregular in nature, which was expected and taken into consideration.
1. Introduction
The lower cost of sensors is making possible the acquisition of big data sets in several applications and research areas [1]. Indoor air quality and commuter exposure to pollutants are some of these areas, which can have impacts on our livelihood. Quantifying these impacts is not always straightforward. We considered activities that mostly happen outdoors, such as public and private transportation while commuting, to take place in indoor environments that can accumulate CO2. To aggravate this situation, mainly as a result of the metabolic process in humans, the simple use of indoor space by people produces and accumulates CO2 that further degrades the overall air quality. This is why CO2 is often considered a good indicator of inefficient ventilation and sick building syndrome (SBS), as stated in O. Seppänen literature review [2], which goes on saying that in about half of the CO2 papers it reviewed, there is evidence to suggest that concentrations below 800 parts per million (ppm) significantly decrease symptoms associated with SBS. Usually, these studies are conducted in office environments; however, CO2 concentrations have also been researched inside public transportation too. A study conducted inside Hong Kong buses has shown that high CO2 averages of 3692 ppm and brief peaks such as 5773 ppm are possible. Other similar studies inside public transportation have reported lower averages with ranges from 714 to 1801 ppm [3]. These values do not present serious health risks, as they do not come close to the short term exposure limit (STEL) of 30,000 ppm established by the U.S. Occupational Safety and Health Administration (OSHA). Concentrations that high for 15 min can cause death [4]. Nonetheless, it should be stated that studies related to CO2 effects on humans, as recently as 2016, have taken notice of the possible effects that constant 8-hour exposure to levels as low as 1000 ppm can have on cognitive ability. It is worth pointing out that they also mention it is impossible to be sure these effects are solely due to the CO2 increase [5].
Another type of annoyance prevalent in cities is noise pollution. Noise is a stressor, and there is scientific evidence to relate prolonged exposure to excessive noise with a vast array of cardiovascular and auditory problems [6]. Research conducted in the New York metro system registered equivalent continuous averages (Leq) of 79.3 dBA inside the metro carriage and 90.2 dBA on the metro platform [7]. This 90.2 dBA level is not sustained for enough time to surpass the Environmental Protection Agency’s (EPA) recommendation of a 70 dBA over 24 h exposure limit [8]. Similar research was conducted inside urban buses, claiming that 56 out of 60 buses examined had noise levels below 82 dBA [9]. Drawing parallels between stress and noise is not straightforward and often involves complex methodologies [10,11]. Research on heart rate and cardiovascular effects is usually veered towards characterizing energy expenditure (EE) instead [12]. This is done by classifying the level of physical activity or sedentary behavior when performing different activities; in our case, commuting. Research states that choosing walking or cycling will always trump more stationary modes of transportation such as buses or cars when it comes to the benefits to our health [13]. While this may seem obvious, we were more interested in comparing less physically active modes of transportation with each other and characterizing the typical EE of a commuter in those settings. To do so, we standardized EE using the metabolic equivalent of task (MET) and compared the following modes of transportation: metro, bus and car [14].
The duration of exposure to these variables changes as the commuting times vary. The commuting times average can be found in the Organisation for Economic Cooperation and Development (OECD) surveys and other articles: these range from around 35 min in China [15] to 21 min in the US and to 25 min in Europe [16]. In Portugal, Lisbon commuters claim to take around 24 min on average to reach their destination [17]. A typical commuter in any city must live and commute within these parameters, which we believe can affect a commuter’s well being.
We realize quantifying any type of pollution is not something that is usually accessible to everyone. Reliable sensors that quantify pollution can cost upward of hundreds of thousands of euros [18]. Despite this, in the last decade, sensor technology has been greatly improved, creating new markets with cheaper and smaller sensors referred to as low-cost sensors [1]. For this research we used the low-cost sensor SCD30 to gauge the CO2, temperature and relative humidity. We also used a smartwatch and a smartphone to gather noise (dBA) and heart rate (HR) data. The overall cost of the equipment was of 330 euros.
Measurements were made during commuting trips between Rossio and Campo Grande, in Lisbon. We undertook this measurement campaign during school break (July and August) and during school period (September and October). In total 35 round-trips were made, and these include measurements made both in the morning while going from Rossio to Campo Grande and the afternoon returning from Campo Grande to Rossio. We commuted by metro, bus and a private car, gathering data for a total of roughly 29 h with resolution times between 0.2 and 10 s. A total of 358,140 data points was collected. The focus of this exploratory research was to use this data to quantify a commuter’s personal exposure to indoor carbon dioxide, temperature, humidity and noise in urban commuting. We also compared energy expenditures and searched for trends and correlations between all the variables.
2. Materials and Methods
2.1. Study Setting and Commuter Subject
This study was conducted in Lisbon, the largest city in Portugal—roughly 100 km2 with around 3 million inhabitants. We considered transportation modes with potential for high indoor CO2 concentrations; i.e., the metro, the bus and the car.
The Lisbon metro network has 4 lines and 56 stations. According to 2017 data, these lines had 169.15 million riders. The bus network is less busy, with 125.7 million passengers in 2018 [19,20].
We started by outlining the metro route. For this first exploratory field campaign, we chose a familiar location to start the study. Campo Grande is the closest station to the Faculty of Sciences where our commuter works. For practical reasons, it made sense to start there. We chose a direct destination in the inner city, so as to not complicate this first attempt. We decided Rossio would satisfy our intents by being in the very heart of Lisbon. To compare the other modes of transportation, we chose a route that would encompass these two locations. The shortest path possible by bus is the 736 bus route. The car route was based on the bus route and is nearly identical. See Figure 1 with the routes of all modes of transportation.
Figure 1.
A map of the metro, bus and car routes.
The rolling stock of the Lisbon metro system is the ML90, ML95, ML97 and ML99 (Sorefame/Bombardier), which were constructed between 1993 and the 2000s [21]. The bus on this route was articulated and powered by natural gas, part of a set of measures by the Lisbon town hall to decrease emissions in the inner city. The windows on the bus are always closed and the bus is equipped with air conditioning (A/C), which seems to be on at all times. The car was a 1992 Nissan Sunny 1.4 SLX. The average age of cars in Portugal is 12.7 years, and 18% of the car stock is more than 20 years old [22].
From the aforementioned information, it should be made clear that we had no control over the A/C in the metro carriage or the bus. For this reason, we did not use A/C in the car. We also had no particular care for the control of noise or airflow inside the car. If the commuter felt discomfort he would simply open or close the windows. We are aware that the methodology for private transportation should be reviewed and be made stronger in future iterations.
The paths represented in Figure 1 correspond to the different modes of transportation: metro, bus or car, and their routes span 6.9 km for the metro and 6 km for the bus and car.
We divided our campaign into two distinct periods: school break (July and August) and school period (September and October). We expected the second period to have the highest CO2 averages, since most people were coming back to work/school from summer vacations, increasing the commuting flow. The campaign can also be divided between mornings and afternoons when it makes sense to make such comparisons.
The commuter subject of this study was male, 30 years old, 185 cm high and has a basal HR of 55 beats per minute (bpm) in deep sleep. Has a resting heart rate (RHR) of 70 bpm while sitting at a desk. Those values were used for MET calculations. The subject is physically active 2–3 times per week, considered clinically healthy and has a body mass index (BMI) of 21.
With our measurement campaign, it was possible to characterize and discern how much difference there was in CO2, noise and energy expenditure between modes of transportation and commuting periods. We also made assessments of commuting times.
2.2. Instrumentation
We assembled our own CO2 low-cost device for the measurement campaign and decided to add a smartphone and a smartwatch. Thus we had the ability to measure CO2, temperature, relative humidity, A-weighted noise (dBA), heart rate and geographic coordinates throughout the route. These individual data points or samples are denoted as N throughout the text. The whole apparatus includes the following components seen in Table 1.
Table 1.
Device components.
The low-cost prototype we assembled cost 140 euros. The main sensor is the Sensirion SCD30 [23,24]. This sensor comes fully factory calibrated. It operates based on nondispersive infrared technology (NDIR) to measure CO2. Its dimensions are 35 × 23 × 7 mm. It has a 63% of 20 s according to the datasheet. This is the time it takes for the sensor to detect 63% of an instant change in the gas quantity present in the air. Usually, this is not as good an indicator of performance as 90%. We contacted the fabricator, but it seems such a value is either nonexistent or not made available for research. It communicates through Universal Asynchronous Receiver-Transmitter (UART) or Inter-Integrated Circuit (I2C) and has a minimum resolution of 2 s, which was the one used. Its range goes from 400 to 10,000 ppm, and has an accuracy of ±30 ppm + 3%. Sensirion claims the sensor has a lifetime of 15 years, with a maximum drift of ±100 ppm and an error in repeatability of ±10 ppm.
The remaining two components, the smartphone and smartwatch used in the campaign, were the Vodafone VFD820 and an Amazfit BIP. It is inconclusive whether it uses a microelectromechanical systems (MEMS) appropriate. microphone or not, but this seemed to be the case with similar models from past years. The smartphone is priced at 129 euros. It was used to measure A-weighted decibels and run two applications. Both of the applications were bought from the Google Play Store and served to facilitate the process of storing data. These applications are called Decibel X PRO, which is a sound meter, and Notify and Fitness for Amazfit to keep track of heart rate data. They offered very convenient methods of data export in comma-separated value (CSV) files. The Amazfit BIP smartwatch can be acquired for 59 euros. It operates through an optical sensor that measures the heart rate. They are based on the principles of photoplethysmography (PPG) and is used to detect blood volume changes in the microvascular beds of tissue [25]. These smartwatches come with their drawbacks, as the quality of the optical sensor data are sometimes of doubtful accuracy and repeatability. The smartwatch was used to take real-time heart rate measurements with a resolution of 1 to 9 s. Academic research considers that occupational sensors have made great strides in recent years with the push for cheap and portable sensors, but even though they are less unreliable then they were, they are still not considered scientific grade [25].
The smartphone and smartwatch were also used for GPS tracking data. The use of these two pieces of equipment made the whole ensemble more cumbersome, but still less complex than if we had to incorporate all those capabilities in our box, as seen in Figure 2.
Figure 2.
Box with 105 × 105 × 55 mm dimensions containing all the components in Table 1 except the smartphone and smartwatch.
Regarding the box where the SCD30 is mounted, during construction, the only thing worthy of note is positioning the sensor in a way that makes air flow parallel to it. The box has 3 air entries to reduce air pockets, and the battery pack can last up to a month if used for up to 75 min every day of the week.
2.3. Data Collection Procedure
We define commuting as the time spent from the moment the commuter turns on all the devices and moves towards the metro platform or bus stop, until he arrives at the destination and walks away from the metro platform or bus stop and turns them off. This adds an extra minute of walking, prior to and after the trip, and also includes the mode of transportation waiting times. These waiting times can go from 5 min maximum for the metro carriage to 11 min maximum for the bus. For practicality reasons, this definition does not apply to the measurements made in the car commute, which started and ended inside the vehicle. Having said that, the car windows were opened before starting the commute for at least 30 s to let the sensor stabilize.
To capture the typical commuter’s exposure to the variables in this exploratory research, we based our schedule on what metro de Lisboa considers as the busiest times of the day, between 7:15 and 10:00 AM, and between 4:15 and 8:30 PM [26]. In our measurements campaign, we narrowed down these times to the periods between 8:00–9:00 AM and 5:00 and 6:00 PM—a typical workday.
Commuter departure began every day between 8 and 9 AM at Rossio with Campo Grande as the final destination. Before starting the commuting journey, the box was fitted to the side of a backpack carried by the commuter. With the box, the smartwatch and the smartphone were equipped, the commuter began data collection procedures and the following steps were taken:
- Start the continuous heart rate measurements on the watch;
- Start the heart rate monitor application;
- Start the sound monitor application;
- Connect the battery cable to the box to power the Arduino.
At this point, all devices were fully operational. Points 3 and 4 were executed at the same time so as to have a timestamp of when the experience began and when it ended. The commuter then moved towards the metro platform or bus stop and waited for the mode of transportation.
At the arrival destination, after the commuter exited the mode of transportation, within 1 min he would walk away from the mode of transportation and turn off the equipment as such:
- Turn the sound application off;
- Disconnect the battery;
- Turn off the heart rate application;
- Turn off the watch continuous heart rate measurements.
Points 1 and 2 were executed at the same time for the same reason of providing a timestamp.
In the afternoon, the commuter did the trips back at 17:00–18:00 PM and repeated all the steps aforementioned, except those times he departed from Campo Grande and arrived at Rossio.
Each day of the week, he commuted on a different mode of transportation out of three modes: metro, bus and car. We decided to execute the experience in this manner to reduce the variance of weather and biological factors that could impact the measurements taken.
2.4. Data Processing
Each variable measured during the campaign was registered in an excel file that was then read into MATLAB and ArcGIS in the form of an array or vector. All these files can be found in the Supplementary Data.
Pertaining to the use of MATLAB, statistical analysis was done based on linear interpolation and Pearson correlation coefficient [27,28]. In MATLAB these functions are the interp1 and corrcoef respectively. The function cat, which concatenates arrays, was also used.
Linear interpolation was used to upsample or downsample some vectors in order to make them all the same length. These methods are necessary and incur almost no loss of data, as the datasets are homogeneous and commensurable in nature.
The correlation function corrcoef was used to search for individual correlations between the variable samples; e.g., temperature against RH, CO2 against temperature and so on and so forth.
We used concatenation to group all the data from all the independent measurements so we could compare school break period to the school period, mornings to the afternoons and also compare each mode of transportation.
For the spatial analysis of the data, EsriTM technologies (ArcMap) were used for the bus and the car journeys. These data visualization methods made exclusive use of a process proposed by Getis and Ord, which consists of the spatial association of data using distance statistics. In other words, an inferential statistics method is applied with a null hypothesis stating there is no significant spatial clustering of data. The resultant z-scores and p-values tell us if there is a cluster of predominantly high or low values in a given area and the degree of certainty associated with those scores [29].
GIS spatial analysis of the metro was discarded, leaving it only with temporal and statistical analysis. This was due to not having coordinate data underground or specific timestamps for all the events, which included waiting on the platforms and how long he was stopped at a given metro stop.
Considerations and Hardware Constraints
The extra 1-min walk in the data collection procedure serves the purpose of allowing the SCD30 CO2 sensor to warm-up and stabilize its readings. By doing this, when the commuter reaches the station the device should be fully functional. It also makes up for odd behavior, which the Sensirion technical team explained as being the warm-up of the infrared detectors. Every time the device is first turned on outside, its values repeatedly spike to above 1500 ppm before returning to atmospheric background concentrations of around 415 ppm. This behavior proved convenient for identifying initial warm-up data and cropping it accordingly if necessary.
When considering the Decibel X PRO application and the Vodafone VFD820 smartphone values for noise data, our intent was not only to characterize sound levels on each mode of transportation but also to compare them to international safety guidelines and similar study findings [7,8]. We used information values such as the equivalent continuous sound level (Leq), absolute highest sound noise level (Lpeak) and the root mean squared (RMS) of the wave over a given time measurement Lmax, in dBA, to identify the differences in noise levels between modes of transportation. Moreover, we attempted calibrations of the Vodafone VFD820 versus an Extech 407760, a USB sound level datalogger. The datalogger meets ANSI and IEC 61672 Class 2 standards with a 1.4dB accuracy. These calibration tests gave us varying results ranging from minimally acceptable to a decent enough performance for high dbA measurements (65 dBA+). For the lower end of the dBA scale, some measurements were dubious and some were acceptable. Coefficients of determination (R2) gave us values ranging from 50% to 78%. No adjustment in the decibel threshold was made for the measurement campaigns. It should be noted that findings as recently as 2014 claim that smartphones and some sound applications may be appropriate for occupational noise measurements [30].
Upon looking at the timestamps of all the commuting trips, there were some existing errors due to odd timekeeping on the smartphone, and missing GPS values or wrong timestamps in the Decibel X PRO. We are not sure why some of these errors happened, but we ended up using the timekeeping from the Notify and Fitness application, which was more reliable. It should be stated that this application was always the first being turned on and the last being turned off, which can add up to 30 s total error to the overall times. This value represents the maximum time difference from turning one application on and then the other.
Another issue pertaining the timekeeping is the fact that the CO2, noise and HR had different resolution times; this is the main reason why concatenation and interpolation were necessary in order to match the resolutions.
2.5. Equations for Energy Expenditure and Mets
For the EE calculations we used the methodology proposed in [12] using the low activity level equation:
In order to use Equation (1) we require the following data: age (A), weight (W), height (H), resting heart rate (RHR), maximal heart rate (HRmax), heart rate (HR) and percentage of HR reserve (HRR) of the test subject. RHR was registered based on a series of measurements with the individual sitting at a desk quietly.
Thus, we calculated HRR with another relation taken from the same EE methodology [12]:
and obtained the HRmax according to the following relation [31]:
We know that a MET by definition is the ratio of EE in an activity to the EE in rest (EErest). Therefore:
where EErest is taken from the Harris Benedict equation [32]:
With this information, we have standardized the EE of the subject in the study and categorized commuting accordingly.
3. Results
The commuter made a total of 35 round-trips, which included going from Rossio to Campo Grande in the morning and returning from Campo Grande to Rossio in the afternoon. Of these round-trips, 12 were made by metro, 11 by bus and 12 by car. This gives us a total of 70 one-way measurement trips.
Our sample sizes for each variable are as follows: 32,794 for CO2, 27,825 for HR and 297,521 for noise. These are individual measurements with resolutions of 0.2 s minimum for noise and a maximum of 9 s for HR. CO2, temperature and relative humidity have a constant 2-s interval, as these are dependent on the SCD30. Independent of the resolution, all the data were collected in the same time frame.
In Figure 3 we have plotted all the CO2 raw data points in the form of box plots. Metro measurements exhibit less variation compared to other modes of transportation with interquartile ranges (IQR) of 117 and 154 ppm. Its median values are also amongst the lowest values of all modes of transportation with 693 ppm for school break and 822 ppm for school period. Although school period measurements were consistently higher on average, the maximum value registered, of 1391 ppm, was reached during school break.
Figure 3.
CO2 level measurements comparison of school break and school period.
Bus measurements have the highest variability with IQRs of 471 and 773 ppm. We also observed that the highest medians were registered during the bus commute with values of 925 and 1085 ppm. The highest CO2 value of 2190 ppm was also registered in the bus commute. Granted, this level was reached for a short amount of time, but it is still significantly higher than the other modes of transportation.
Car data also present high variability with IQRs of 206 and 413 ppm. There was a slight increase in ppm value from school break to school period. The highest CO2 levels registered inside the car were 1685 ppm and the median was 628 ppm for school break and 746 ppm for the school period. The car seems to sit somewhere in-between the metro and the bus for CO2 measurements. It is noteworthy that these car measurements are for only one passenger.
We observe across the board that higher values were registered during the school period.
In regard to the spatial analysis, we search for hotspots where higher CO2 levels are prevalent. These are areas where high or low CO2 concentrations tend to occur. In the Figure 4 we display our results.
Figure 4.
Bus CO2 hotspots.
We can see from Figure 4 that both the morning and afternoon have hotspots in closely related locations. These red spots tell us that in those locations there are predominantly higher concentrations of CO2 with a confidence interval of 99%.
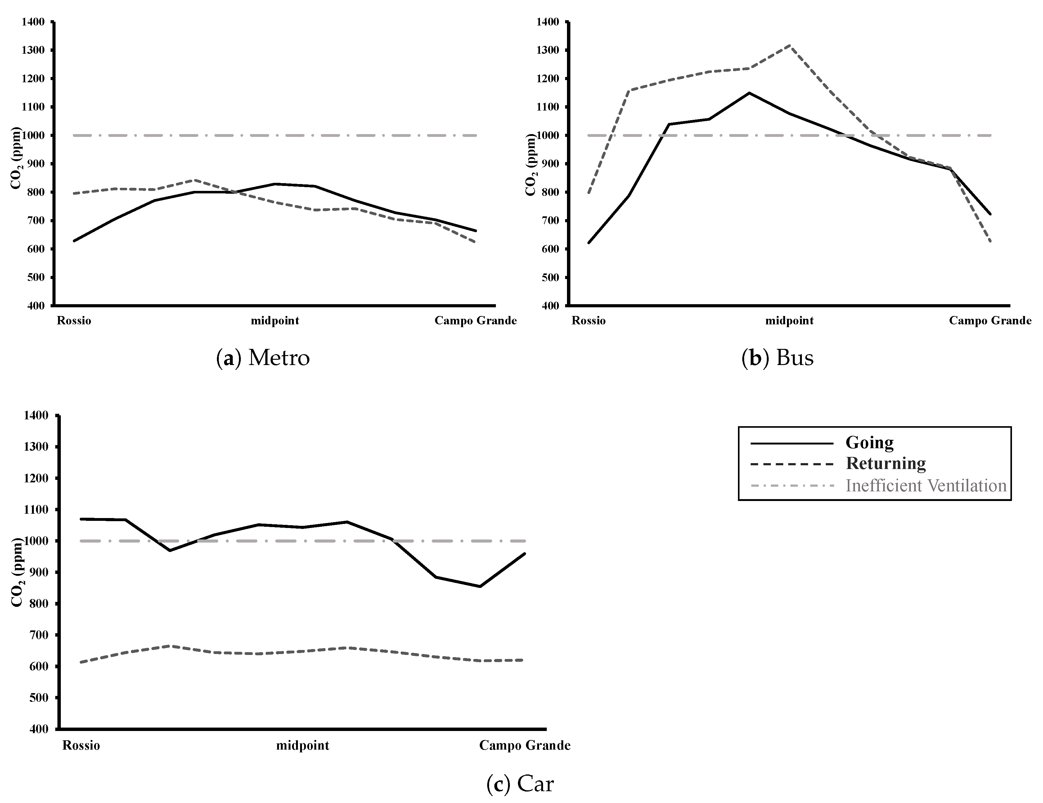
In the following figures, we plotted simplified curves out of the raw data. These curves consist of locally averaged points evenly spaced along the commuting trip. These representations are a lower resolution version of the raw data. Regardless, this is deliberate as they serve their purpose in comparing trends and mean values to STELs. Due to the nature of the lower resolutions, these values tend to underestimate real peak data. The temporal analysis focused on the differences between morning (going from Rossio to Campo Grande) and the afternoon (returning from Campo Grande to Rossio). Results can be seen in Figure 5 and Figure 6.
Figure 5.
Temporal analysis of CO2. The dashed line is read from right to left. The dash-dotted line represents the threshold for efficient ventilation of 1000 ppm [33].
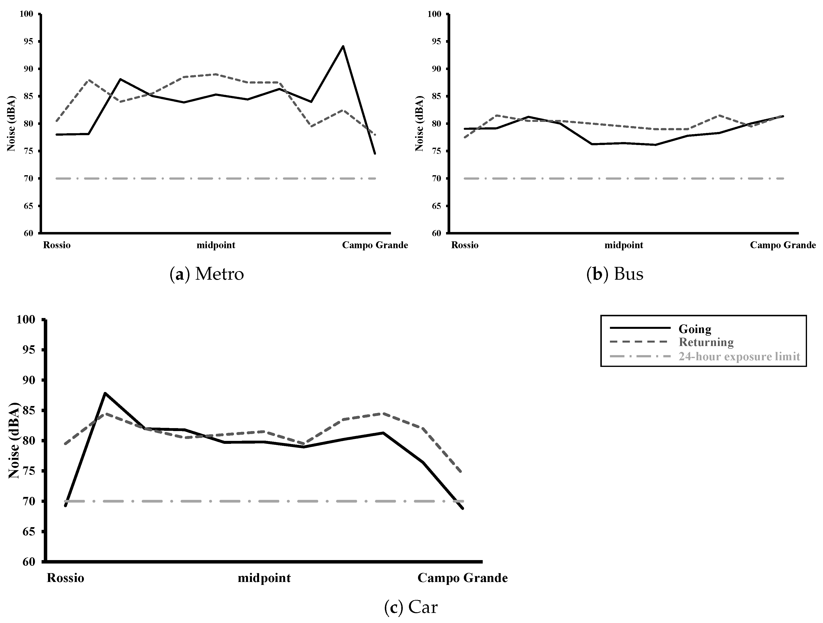
Figure 6.
Temporal analysis of Leq.
Through Figure 5, we can see that the locally averaged values for the metro never surpass the target line of 1000 ppm representing inefficient ventilation [33]. The bus commute often registers values above it. Lastly, the car commute shows us that in the morning the CO2 inside the car was considerably higher than in the afternoon. This is due to the lack of a more rigorous methodology. During the afternoon, temperatures were higher; therefore, windows were opened more frequently.
Noise data are presented in Table 2. Here we compare all modes of transportation raw noise data and their respective standard deviations (SDs).
Table 2.
Average values of Leq, Lpeak and Lmax in dBA for each mode of transportation and respective SD values (N = 297,521).
According to the noise data collected, it is apparent the metro commute is consistently noisier throughout the 35 round-trips. The highest Lpeak in all commutes also belongs to the metro with a value of 106 ± 1.2 dBA. The highest Lpeak values of the car almost reach metro levels. For the most part, bus and car noise levels are very similar to each other, and both their Leq values can be 5–10 dBA lower than the metro. We have also elaborated a temporal analysis of this data with lower resolution. The following simplified curves aid visual assertions:
The EPA recommends a 70 dBA over 24 h average exposure limit for environmental noise. These values are easily surpassed inside the metro but they are not sustained for longer than 20 min. Thus, they pose no short term hearing impact [8].
In Figure 6 we can see lower sound levels on the extremities of the metro measurements, which correspond to the waiting time in the metro platform and the 1-minute walk after arrival. The same can be seen in the car because the roads where we turn the box on and off are relatively quiet. The same cannot be said about the bus measurements as there is constant traffic on both Rossio and Campo Grande bus stops.
Now we present our heart rate analysis, seen in Figure 7, which includes the representation of EE through the use of METs standardization for the individual at study [14].
Figure 7.
Metabolic equivalents of task measurements during school break and school periods based on heart rate measurements. The graphic represents the percentage of metabolic equivalent of task (MET) data that belong in each category for each corresponding period. The classification of the commuting activity is divided into categories: sedentary (<2 MET), light (2–3 MET), moderate (3–6 MET) and vigorous (>6 MET) [34].
The difference in the metro periods is significant and there is a clear decrease in sedentary activity followed by an increase of 16.3% in light physical activity. This is in line with expectations given that the metro is busier during school period. The metro commute also presents the highest levels of light physical activity of all three modes of transportation.
In the bus we see the highest percentage of the sedentary classification; up to 96.5% of the commute is spent in this category. This makes the bus the mode of transportation with the least metabolic equivalent of task cost.
The car is relatively balanced with its values for sedentary and light physical activity, sitting somewhere in-between the other two modes of transportation. The noticeable difference in comparison with the other modes is the fact that light physical activity went down from the school break period to the school period, which is the inverse of what happened in the metro and bus. One possible reason is that more time was spent halted in traffic, making for a more sedentary commute.
Table 3 shows the correlation between all variables in research to see their dependence on each other.
Table 3.
Correlation table for all modes of transportation (all datasets upsampled to N = 136,212).
In regard to Table 3, the inverse relation between temperature and relative humidity was expected. Regarding CO2, the metro and the bus present no significant relation. This is not true for the car, as it shows significant coefficients of correlation of -0.69 and 0.65 with temperature and relative humidity respectively. This stronger relation is suspected to have its origin on the opening or closing of the driver’s window, since there is no influence of A/C.
Based on the time tracking of the Decibel X PRO and the Notify and Fitness application, travel times for all independent commutes were registered, and average commuting time results are displayed on the Table 4.
Table 4.
Average commuting times and SDs in MM:SS (N = 70).
The metro has a maximum waiting time of 5 min, while the bus can take up to 11 min. The car has no waiting time. Even so, the metro was the fastest mode of transportation during school break, as the roads become busier for the car and the bus. The bus was the slowest by all standards. The car presents a high SD, which makes it an unreliable mode of transportation.
4. Discussion
There were no significant differences in CO2 between morning (going) and afternoon (returning) measurements. These factors seem related to the location and/or affluence of people instead. We can see this in Figure 4. It makes sense that hotspots happen between Restauradores and Saldanha. These are busy locations due to the presence of IT and financial workplaces.
There was a significant CO2 difference between school break and school periods with higher values registered during the latter. This was expected, as the school period is often associated with busier public and private transportation.
CO2 concentrations inside the metro platform and metro carriage presented lower concentrations than the Shanghai metro system carriages [3]. We averaged the median values for both periods, giving us a concentration of 757.5 ± 135.5 ppm, while the Shanghai metro carriages had mean values of 1253.1 ± 449.1 ppm [35]. We conclude that given the average of 757.5 ± 135.5 ppm, the IQR values and the data presented in Figure 5, the Lisbon metro carriages have appropriate ventilation [33]. During the rush hour, we can still reach levels above 1000 ppm, as seen in Figure 3, but these last for a very short duration. These values are within OSHA STEL recommendations and do not pose a health risk [4].
The CO2 measurements: The bus had median values of 1085 and 925 ppm. Regardless of how low these values were when compared to Hong Kong buses [36], we can argue that medians of 1085 ppm are a product of inefficient ventilation according to the American Society of Heating, Refrigerating and Air-Conditioning Engineers (ASHRAE) [33]. We do not know if the A/C was on maximum intensity or not; we would advise it should be set to a higher setting during overcrowding moments. We observed these concentrations when all the seats were occupied and the commuter had to avoid people while traversing the bus corridor. During these moments, between Restauradores and Saldanha, CO2 concentrations on the bus reached 2076 ppm.
The car CO2 measurements were considered uneventful for the most part and were mainly dependent on the windows being opened or not. This can be argued with by Figure 5, where we see that during the morning the CO2 levels are consistently higher than in the afternoon. This is due to the fact that mornings had lower temperatures than the afternoons. This means that for comfort, the windows would mostly be closed during the morning and open during the afternoon. This would also explain the higher correlation of CO2, temperature and relative humidity inside the car. The methodology will be reviewed for future campaigns to make sure the CO2 characterization inside private transportation can be accurately measured and compared with the remaining modes.
Regarding the health implications of all the CO2 concentration measurements, these do not exceed the OSHA STEL recommendations [4]. The maximum level of 2076 ppm comes close to 2500 ppm, a quantity that could generate complaints of drowsiness and loss of attention if sustained for longer than 8 h [5,37]. This was not the case; these levels were not registered and are unlikely to provoke such complaints when experienced for such a short duration. The health risks associated with inefficient ventilation and CO2 concentrations are well described in [2].
With respect to noise data, a difference in periods was not observed. This could be due to the fact that conversational noise levels are below the noise produced by a moving vehicle; therefore, overcrowding did not seem to influence noise levels. There was also no influence from open windows on the bus or the metro. All the windows are permanently closed as a public measure to control indoor air through A/C only.
According to our data, the metro commutes had the highest Leq values. Similar studies conducted in the New York metro system have registered mean Leq values of 80.4 ± 4.3 dBA [7]. Our data presents a mean Leq of 84.85 ± 2.3 dBA. Despite the margin of error; this is a considerable difference, which could be explained by several factors. The most obvious would be that our sensor needs an offset. Other reasons include older rolling stock (degraded rubber seals) or the complex terrain geography of the metro line.
The bus commutes had fairly consistent Leq values of 75 ± 1.3 to 76 ± 2.1 dBA. These are very similar to the levels registered in similar bi-articulated buses in Brasil, which present values ranging from 73.8 to 79 dBA Leq. These noise levels do not pose a health concern unless they are sustained for over 24 h based on EPA recommendations [8].
Despite no significant negative health risks so far, an argument could be made for the positive health benefits regarding the MET calculations seen in Figure 7. The metro appears the most physically active of the modes of transportation due to its less sedentary nature [14]. The car and the bus are the least physically active and share relatively high percentages of 96.5 and 94.7% in the sedentary classification. This is a pattern observed over the 35 round-trips in analysis. We understand that these measurements can be highly biased due to having data from only one commuter. For that, we rely solely on the fact that data were not analyzed before the end of the campaign, so as to not influence the judgment of the commuter in any way. As will be discussed in the limitations section, we are fully aware that for future iterations of this exploratory study, more subjects need to participate in the measurements.
With regard to commuting times, we have established that during school break the car was the fastest commuting mode at 18.23 ± 6.4 min. The SD of 6.4 min registered is of concern to someone who is trying to get to school/work on time. This makes the metro the best choice for commuting, even during the school break. SD is low across the metro and bus measurements, as seen in Table 4. Despite the positive argument that could be made about the bus lanes in Lisbon, which seem to be working as intended based on the low SD values, the bus travel times can still be up to 19 min longer than the car.
Limitations
Based on the data collected, we agree with the proposition that low-cost sensors have become more robust and reliable [1]. SCD30’s performance was acceptable. However, a difference between absolute minimum values was observed for school break and school period with an average drift of 63 ppm. This deviation of rising absolute minimum values is within specifications, but should be discussed nonetheless. Possible causes are the lower temperature registered during the school period, which might have skewed the data up to ± 2.5 ppm per °C. Using our best judgment, as the commuter got more proficient at turning on all the devices, the most probable cause was not giving a full minute of atmospheric CO2 before starting the walk towards the mode of transportation. To corroborate this, we refer to the car measurements where we had the biggest drift of 105 ppm. It appears that not enough time was given to renew the air inside the vehicle cabin before starting the experiment. We conclude that to be safe, in future measurements, we should give the sensor 3 to 5 min of outdoor atmospheric levels of CO2 before starting the experiment.
Both the Amazfit BIP HR sensor and the smartphone dBA sensor had seemingly acceptable performances. We base our assumptions solely on the consistency of the value trends for each mode of transportation and each period. However, it should be noted the majority of the measurement trips had some erroneous points of data with 5% of the samples being removed upon visual data inspection. These points can be seen as peaks that are well above the mean values in the neighboring data. Regardless, the remaining data made sense from an empirical and geographical point of view. The commuter noted that in certain places during the commute, the ride was noisier or more stressful due to bad road conditions or overcrowding.
Despite our best efforts at recording heart rate and noise values during the campaign, we understand the main flaws are the use of only one test subject and the sometimes doubtful accuracy that recreational PPG and MEMS sensors can have. In future research, we intend to replicate the experience with more modes of transportation, inter-model transportation and several volunteer subjects. We will also make use of more sensors and stronger calibration as a way to estimate the replication quality and feasibility of sensor networks.
5. Conclusions
The main objective of this exploratory research was to assemble portable equipment and a prototype, all of low-cost and easy to replicate in any location worldwide. We have achieved our goals and were able to quantify how CO2, noise and stress levels compare in transportation modes with indoor environments (metro, bus and car). Part of this equipment is an SCD30, a Vodafone VFD820 and an Amazfit BIP. Our recommendation is that low-cost sensors, such as the SCD30, should be given more time before measurements to stabilize readings to decrease any possible drift or erroneous data.
The big data collected for 6 weeks produced the following preliminary findings: The metro had the most efficient indoor ventilation based on the CO2 indicator. It was the best choice for a systematic fast commuting time, while also being the least sedentary. In comparison, the bus had several instances of inefficient ventilation. It had the longest travel times, while also being the most sedentary. In the scope of our exploratory research, the only advantage of the bus versus the metro is the lower sound level.
Geospatial analysis proved its usefulness to detect hotspots in commuting. In our case the bus hotspot is between Restauradores and Saldanha where a higher flow of subjects enter the bus.
Supplementary Materials
The following are available at https://www.mdpi.com/1996-1073/13/4/861/s1.
Author Contributions
A.S. built the low-cost sensor apparatus, did all the experiments, analyzed the data and wrote parts of the manuscript as part of his PhD thesis; C.C. contributed to the GIS data evaluation. C.S., and A.S., PhD supervisor, coordinated the research, the manuscript preparation and wrote parts of the manuscript. All authors have read and agreed to the published version of the manuscript.
Funding
The authors would like to acknowledge the financial support FCT through project UIDB/50019/ 2020—IDL.
Conflicts of Interest
The authors declare that they have no conflict of interest.
Abbreviations
The following abbreviations are used in this manuscript:
| MDPI | Multidisciplinary Digital Publishing Institute |
| DOAJ | Directory of open access journals |
| CO2 | Carbon dioxide |
| ppm | parts per million |
| TWA | Time-weighted average |
| STEL | Short term exposure limits |
| WHO | World health organization |
| EPA | Environment protection agency |
| EE | Energy expenditure |
| MET | Metabolic equivalent of task |
| OECD | Organisation for economic co-operation and development |
| dBA | A-weighted decibel |
| HR | Heart rate |
| A/C | Air conditioning |
| Bpm | Beats per minute |
| IQR | Inter quartile range |
| SD | Standard deviation |
| RHR | Resting heart rate |
| BMI | Body mass index |
| MEMS | Microelectromechanical systems |
| PPG | Photoplethysmogram |
| NDIR | Nondispersive infrared |
| ASC | Automatic self-calibration |
| CSV | Comma-separated values |
| GIS | Geographic information system |
| RMS | Root mean square |
| ms | miliseconds |
| A | Age |
| W | Weight |
| H | height |
| HRmax | Maximum heart rate |
| HRR | Percentage of health rate reserve |
References
- Kumar, P.; Morawska, L.; Martani, C.; Biskos, G.; Neophytou, M.; Di Sabatino, S.; Bell, M.; Norford, L.; Britter, R. The rise of low-cost sensing for managing air pollution in cities. Environ. Int. 2015, 75, 199–205. [Google Scholar] [CrossRef]
- Seppänen, O.A. Association of ventilation rates and CO2 concentrations with health and other responses in commercial and institutional buildings. Indoor Air 1999, 9, 226–252. [Google Scholar] [CrossRef]
- Zheng, H.L.; Deng, W.J.; Cheng, Y.; Guo, W. Characteristics of PM2.5, CO2 and particle-number concentration in mass transit railway carriages in Hong Kong. Environ. Geochem. Health 2017, 39, 739–750. [Google Scholar] [CrossRef]
- Cohen, J.M.; Peterson, R.D. COmplete Guide to Osha Compliance; CRC Press: Boca Raton, FL, USA, 2019. [Google Scholar]
- Vehviläinen, T.; Lindholm, H.; Rintamäki, H.; Pääkkönen, R.; Hirvonen, A.; Niemi, O.; Vinha, J. High indoor CO2 concentrations in an office environment increases the transcutaneous CO2 level and sleepiness during cognitive work. J. Occup. Environ. Hyg. 2016, 13, 19–29. [Google Scholar] [CrossRef]
- Passchier-Vermeer, W.; Passchier, W.F. Noise exposure and public health. Environ. Health Perspect. 2000, 108 (Suppl. 1), 123–131. [Google Scholar] [CrossRef]
- Neitzel, R.; Gershon, R.R.; Zeltser, M.; Canton, A.; Akram, M. Noise levels associated with New York City’s mass transit systems. Am. J. Public Health 2009. [Google Scholar] [CrossRef] [PubMed]
- U.S. Environmental Protection Agency. Information on Levels of Environmental Noise Requisite to Protect Public Health and Welfare with an Adequate Margin of Safety; Report 550/9-74-004; Office of Noise Abatement and Control: Washington, DC, USA, 1974.
- Zannin, P.H.T. Occupational noise in urban buses. Int. J. Ind. Ergon. 2006, 38, 232–237. [Google Scholar] [CrossRef]
- Obrist, P.A.; Gaebelein, C.J.; Teller, E.S.; Langer, A.W.; Grignolo, A.; Light, K.C.; McCubbin, J.A. The Relationship among Heart Rate, Carotid dP/dt, and Blood Pressure in Humans as a Function of the Type of Stress. Psychophysiology 1978, 15, 102–115. [Google Scholar] [CrossRef] [PubMed]
- Schubert, C.; Lambertz, M.; Nelesen, R.A.; Bardwell, W.; Choi, J.B.; Dimsdale, J.E. Effects of stress on heart rate complexity-A comparison between short-term and chronic stress. Biol. Psychol. 2009. [Google Scholar] [CrossRef]
- Hiilloskorpi, H.K.; Pasanen, M.E.; Fogelholm, M.G.; Laukkanen, R.M.; Mänttäri, A.T. Use of heart rate to predict energy expenditure from low to high activity levels. Int. J. Sport. Med. 2003, 24, 332–336. [Google Scholar] [CrossRef]
- Costa, S.; Ogilvie, D.; Dalton, A.; Westgate, K.; Brage, S.; Panter, J. Quantifying the physical activity energy expenditure of commuters using a combination of global positioning system and combined heart rate and movement sensors. Prev. Med. 2015, 81, 339–344. [Google Scholar] [CrossRef] [PubMed]
- Ainsworth, B.E.; Haskell, W.L.; Whitt, M.C.; Irwin, M.L.; Swartz, A.M.; Strath, S.J.; O’Brien, W.L.; Bassett, J.; Schmitz, K.H.; Emplaincourt, P.O.; et al. Compendium of physical activities: An update of activity codes and MET intensities. Med. Sci. Sport. Exerc. 2000, 32, S498–S516. [Google Scholar] [CrossRef] [PubMed]
- Engelfriet, L.; Koomen, E. The impact of urban form on commuting in large Chinese cities. Transportation 2018, 45, 1269–1295. [Google Scholar] [CrossRef]
- OECD. Available online: http://www.oecd.org/els/family/lmf2_6_time_spent_travelling_to_and_from_work.pdf_2019 (accessed on 22 October 2019).
- INE—Instituto Nacional de Estatística. Inquérito à Mobilidade nas Áreas Metropolitanas do Porto e de Lisboa; INE—Instituto Nacional de Estatística: Cittadella, Italy, 2018. [Google Scholar]
- Castell, N.; Dauge, F.R.; Schneider, P.; Vogt, M.; Lerner, U.; Fishbain, B.; Broday, D.; Bartonova, A. Can commercial low-cost sensor platforms contribute to air quality monitoring and exposure estimates? Environ. Int. 2017. [Google Scholar] [CrossRef] [PubMed]
- Seara. Metro em Números. Available online: https://www.metrolisboa.pt/institucional/conhecer/metro-em-numeros (accessed on 22 October 2019).
- Carris. Activity Indicators of CARRIS. Available online: http://www.carris.pt/pt/indicadores-de-atividade/ (accessed on 22 October 2019).
- De lisboa, M. Material Circulante. Available online: www.metrolisboa.pt/institucional/conhecer/metro-em-numeros/material-circulante/ (accessed on 22 October 2019).
- ACAP. Available online: https://www.acap.pt/pt/publicacao/2/estatisticas-do-sector-automovel-em-portugal (accessed on 22 October 2019).
- Molnár, J.; Lorinc, T.; Slavko, O. Design and Implementation of an Intelligent Air Quality Sensor. In Proceedings of the International Conference on Modern Electrical and Energy Systems (MEES 2019), Los Angeles, CA, USA, 23–25 September 2019. [Google Scholar] [CrossRef]
- Yasuda, T.; Yonemura, S.; Tani, A. Comparison of the characteristics of small commercial NDIR CO2 sensor models and development of a portable CO2 measurement device. Sensors 2012, 12, 3641–3655. [Google Scholar] [CrossRef]
- Allen, J. Photoplethysmography and its application in clinical physiological measurement. Physiol. Meas. 2007, 28, R1. [Google Scholar] [CrossRef]
- De Lisboa Horarios, M. Available online: https://www.metrolisboa.pt/viajar/horarios-e-frequencias/ (accessed on 22 October 2019).
- Bayen, A.M.; Siauw, T. An Introduction to MATLAB® Programming and Numerical Methods for Engineers. In An Introduction to MATLAB® Programming and Numerical Methods for Engineers; Academic Press: London, UK, 2015. [Google Scholar] [CrossRef]
- Lury, D.A.; Fisher, R.A. Statistical Methods for Research Workers. Statistician 1972. [Google Scholar] [CrossRef]
- Getis, A.; Ord, J.K. The Analysis of Spatial Association by Use of Distance Statistics. Geogr. Anal. 1992. [Google Scholar] [CrossRef]
- Kardous, C.A.; Shaw, P.B. Evaluation of smartphone sound measurement applications (apps) using external microphones—A follow-up study. J. Acoust. Soc. Am. 2016, 140, EL327–EL333. [Google Scholar] [CrossRef]
- Tanaka, H.; Monahan, K.D.; Seals, D.R. Age-predicted maximal heart rate revisited. J. Am. Coll. Cardiol. 2001, 37, 153–156. [Google Scholar] [CrossRef]
- Roza, A.M.; Shizgal, H.M. The Harris Benedict equation reevaluated: Resting energy requirements and the body cell mass. Am. J. Clin. Nutr. 1984, 40, 168–182. [Google Scholar] [CrossRef] [PubMed]
- ANSI/ASHRAE Standard 62.1-2010: Ventilation for Acceptable Indoor Air Quality; ANSI/ASHRAE Standard: New York, NY, USA, 2010.
- Salmon, J.; Crawford, D.; Owen, N.; Bauman, A.; Sallis, J.F. Physical activity and sedentary behavior: A population-based study of barriers, enjoyment, and preference. Health Psychol. 2003, 22, 178. [Google Scholar] [CrossRef] [PubMed]
- Xu, B.; Yu, X.; Gu, H.; Miao, B.; Wang, M.; Huang, H. Commuters’ exposure to PM 2.5 and CO2 in metro carriages of Shanghai metro system. Transp. Res. Part Transp. Environ. 2016, 47, 162–170. [Google Scholar] [CrossRef]
- Chan, A.T. Commuter exposure and indoor-outdoor relationships of carbon oxides in buses in Hong Kong. Atmos. Environ. 2003, 37, 3809–3815. [Google Scholar] [CrossRef]
- Satish, U.; Mendell, M.J.; Shekhar, K.; Hotchi, T.; Sullivan, D.; Streufert, S.; Fisk, W.J. Is CO2 an indoor pollutant? direct effects of low-to-moderate CO2 concentrations on human decision-making performance. Environ. Health Perspect. 2012, 120, 1671–1677. [Google Scholar] [CrossRef]
© 2020 by the authors. Licensee MDPI, Basel, Switzerland. This article is an open access article distributed under the terms and conditions of the Creative Commons Attribution (CC BY) license (http://creativecommons.org/licenses/by/4.0/).






