Space Charge Accumulation Characteristics in HVDC Cable under Temperature Gradient
Abstract
1. Introduction
2. Simulation Methods
2.1. Improved Geometric Model
2.2. Conductivity Model
2.3. BCT Model for Cylindrical Geometry
3. Experimental Methods
3.1. Experimental Setup
3.2. Experimental Results
4. Simulation Results
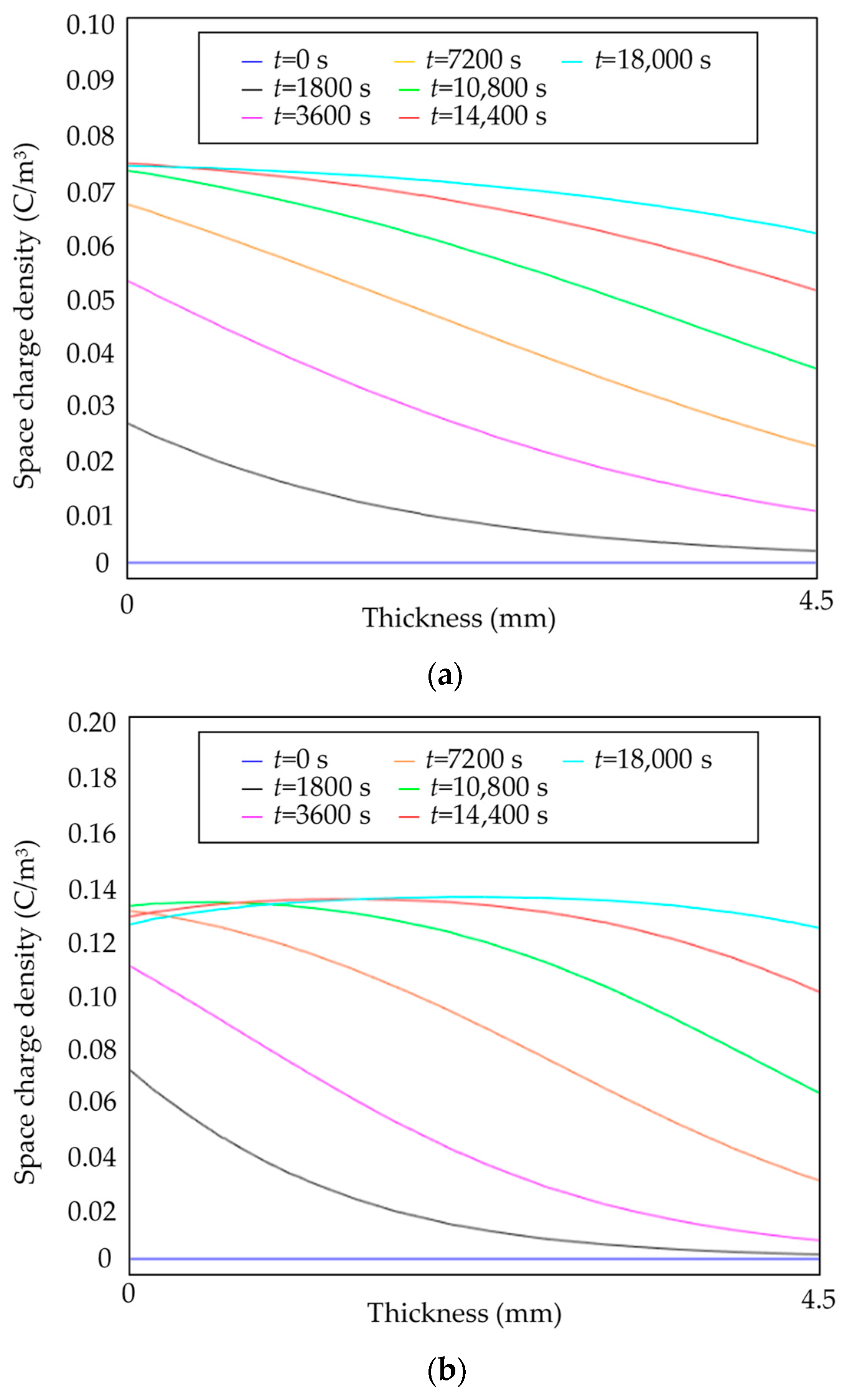
4.1. Simulation Results Based on the Conductivity Model
4.2. Simulation Results Based on the BCT Model
5. Comparison between Experimental and Simulated Results
6. Conclusions
Author Contributions
Funding
Conflicts of Interest
References
- Mazzanti, G.; Marzinotto, M. Extruded Cables for High-Voltage Direct-Current Transmission: Advances in Research and Development; John Wiley & Sons: Hoboken, NJ, USA, 2013. [Google Scholar]
- Fabiani, D.; Montanari, G.C.; Laurent, C.; Teyssedre, G.; Morshuis, P.H.F.; Bodega, R.; Dissado, L.A.; Campus, A.; Nilsson, U.H. Polymeric HVDC cable design and space charge accumulation. Part 1: Insulation/semicon interface. IEEE Electr. Insul. Mag. 2007, 23, 11–19. [Google Scholar] [CrossRef]
- Li, Z.; Du, B. Polymeric insulation for high-voltage DC extruded cables: Challenges and development directions. IEEE Electr. Insul. Mag. 2018, 34, 30–43. [Google Scholar] [CrossRef]
- Dissado, L.A.; Fothergill, J.C. Electrical Degradation and Breakdown in Polymers; Peter Peregrinus: London, UK, 1992. [Google Scholar]
- Montanari, G.C. Bringing an insulation to failure: The role of space charge. IEEE Trans. Dielectr. Electr. Insul. 2011, 18, 339–364. [Google Scholar] [CrossRef]
- Zhang, Y.; Lewiner, J.; Alquie, C.; Hampton, N. Evidence of strong correlation between space-charge buildup and breakdown in cable insulation. IEEE Trans. Dielectr. Electr. Insul. 1996, 3, 778–783. [Google Scholar] [CrossRef]
- Dissado, L.A.; Mazzanti, G.; Montanari, G.C. The role of trapped space charges in the electrical aging of insulating materials. IEEE Trans. Dielectr. Electr. Insul. 1997, 4, 496–506. [Google Scholar] [CrossRef]
- Mazzanti, G.; Montanari, G.C.; Dissado, L.A. Electrical aging and life models: The role of space charge. IEEE Trans. Dielectr. Electr. Insul. 2005, 12, 876–890. [Google Scholar] [CrossRef]
- Li, Y.; Yasuda, M.; Takada, T. Pulsed electroacoustic method for measurement of charge accumulation in solid dielectrics. IEEE Trans. Dielectr. Electr. Insul. 1994, 1, 188–195. [Google Scholar]
- Liu, R.; Takada, T.; Takasu, N. Pulsed electroacoustic method for measurement of charge distribution in power cables under both dc and ac electric fields. J. Phys. D Appl. Phys. 1993, 26, 986–993. [Google Scholar] [CrossRef]
- Bodega, R. Space Charge Accumulation in Polymeric High Voltage DC Cable Systems. Ph.D. Thesis, Delft University of Technology, Delft, The Netherlands, 2006. [Google Scholar]
- Delpino, S.; Fabiani, D.; Montanari, G.C.; Laurent, C.; Teyssedre, G.; Morshuis, P.H.F.; Bodega, R.; Dissado, L.A. Polymeric HVDC cable design and space charge accumulation. Part 2: Insulation interfaces. IEEE Electr. Insul. Mag. 2008, 24, 14–24. [Google Scholar] [CrossRef]
- Fu, M.; Dissado, L.A.; Chen, G.; Fothergill, J.C. Space charge formation and its modified electric field under applied voltage reversal and temperature gradient in XLPE cable. IEEE Trans. Dielectr. Electr. Insul. 2008, 15, 851–860. [Google Scholar] [CrossRef]
- Choo, W.; Chen, G.; Swingler, S.G. Electric field in polymeric cable due to space charge accumulation under DC and temperature gradient. IEEE Trans. Dielectr. Electr. Insul. 2011, 18, 596–606. [Google Scholar] [CrossRef]
- Chen, C.; Bu, Y.; Wang, X.; Cheng, C.H.; Wu, K. A comparison of space charge behaviors in coaxial cable and film sample under temperature gradient. IEEE Trans. Dielectr. Electr. Insul. 2019, 26, 1941–1948. [Google Scholar]
- Jeroense, M.J.P.; Morshuis, P.H.F. Electric fields in HVDC paper-insulated cables. IEEE Trans. Dielectr. Electr. Insul. 1998, 5, 225–236. [Google Scholar] [CrossRef]
- Morshuis, P.H.F.; Bodega, R.; Fabiani, D.; Montanari, G.C.; Dissad, L.A.; Smituthor, J.J. Calculation and measurement of space charge in MV-size extruded cables systems under load conditions. In Proceedings of the 2007 IEEE International Conference on Solid Dielectrics, Winchester, UK, 8–13 July 2007; pp. 502–505. [Google Scholar]
- Vu, T.T.N.; Teyssedre, G.; Vissouvanadin, B.; Le Roy, S.; Laurent, C. Correlating conductivity and space charge measurements in multi-dielectrics under various electrical and thermal stresses. IEEE Trans. Dielectr. Electr. Insul. 2015, 22, 117–127. [Google Scholar] [CrossRef]
- Liu, Y.; Zhang, S.; Cao, X.; Zhang, C.; Li, W. Simulation of electric field distribution in the XLPE insulation of a 320 kV DC cable under steady and time-varying states. IEEE Trans. Dielectr. Electr. Insul. 2018, 25, 954–964. [Google Scholar] [CrossRef]
- Jörgens, C.; Clemens, M. Electric field model at interfaces in high voltage cable systems. In Proceedings of the 2019 19th International Symposium on Electromagnetic Fields in Mechatronics, Nancy, France, 29–31 August 2019; pp. 1–3. [Google Scholar]
- Alison, J.M.; Hill, R.M. A model for bipolar charge transport, trapping and recombination in degassed crosslinked polyethene. J. Phys. D Appl. Phys. 1994, 27, 1291–1299. [Google Scholar] [CrossRef]
- Le Roy, S.; Teyssedre, G.; Laurent, G. Charge transport and dissipative processes in insulating polymers: Experiments and model. IEEE Trans. Dielectr. Electr. Insul. 2005, 12, 644–654. [Google Scholar] [CrossRef]
- Lv, Z.P.; Cao, J.Z.; Wang, X.; Wang, H.T.; Wu, K.; Dissado, L.A. Mechanism of space charge formation in cross linked polyethylene (XLPE) under temperature gradient. IEEE Trans. Dielectr. Electr. Insul. 2015, 22, 3186–3196. [Google Scholar] [CrossRef]
- Le Roy, S.; Teyssedre, G.; Laurent, C. Modelling space charge in a cable geometry. IEEE Trans. Dielectr. Electr. Insul. 2016, 23, 2361–2367. [Google Scholar] [CrossRef]
- Zhan, Y.; Chen, G.; Hao, M. Space charge modelling in HVDC extruded cable insulation. IEEE Trans. Dielectr. Electr. Insul. 2019, 26, 43–50. [Google Scholar] [CrossRef]
- Fabiani, D.; Montanari, G.C.; Laurent, C.; Teyssedre, G.; Morshuis, P.H.F.; Bodega, R.; Dissado, L.A. HVDC cable design and space charge accumulation. Part 3: Effect of temperature gradient. IEEE Electr. Insul. Mag. 2008, 24, 5–14. [Google Scholar] [CrossRef]
- Boggs, S.; Damon, D.H.; Hjerrild, J.; Holboll, J.T.; Henriksen, M. Effect of insulation properties on the field grading of solid dielectric DC cable. IEEE Trans. Power Deliv. 2001, 16, 456–461. [Google Scholar] [CrossRef]
- Boufayed, F.; Teyssedre, G.; Laurent, C.; Le Roy, S. Models of bipolar charge transport in polyethylene. J. Phys. D Appl. Phys. 2006, 100, 104105. [Google Scholar] [CrossRef]
- Teyssedre, G.; Laurent, C. Charge transport modeling in insulating polymers: From molecular to macroscopic scale. IEEE Trans. Dielectr. Electr. Insul. 2005, 12, 857–875. [Google Scholar] [CrossRef]
- Baudoin, F.; Le Roy, S.; Teyssedre, G.; Laurent, C. Bipolar charge transport model with trapping and recombination an analysis of the current versus applied electric field characteristic in steady state conditions. J. Phys. D Appl. Phys. 2007, 41, 025306. [Google Scholar] [CrossRef]
- Wang, W.; He, D.; Chen, S. Correction of acoustic wave in PEA space charge measurement on cable under temperature gradient. High Volt. Eng. 2015, 41, 1084–1089. [Google Scholar]
- Le Roy, S. Numerical methods in the simulation of charge transport in solid dielectrics. IEEE Trans. Dielectr. Electr. Insul. 2006, 13, 239–246. [Google Scholar] [CrossRef]
- Lan, L. Effect of Temperature on Space Charge Distribution in Polymer Insulation. Ph.D. Thesis, Shanghai Jiao Tong University, Shanghai, China, 2015. [Google Scholar]











| Symbol | Value | Value | Unit |
|---|---|---|---|
| Current | 450 | 610 | A |
| Temperature of conductor | 55.3 | 86.8 | °C |
| Temperature of insulation shield layer | 40.2 | 57.1 | °C |
| Parameter | Value | Unit |
| A | 3.18 × 107 | V/(Ω·m2) |
| B | 1.65 × 10−7 | m/V |
| φ | 0.89 | eV |
| Symbol | Value | Unit |
|---|---|---|
| φih | 1.3 | eV |
| φie | 1.27 | eV |
| Be | 0.05 | s−1 |
| Bh | 0.05 | s−1 |
| wμe | 0.71 | eV |
| wμh | 0.65 | eV |
| Ψet | 0.9 | eV |
| Ψht | 0.9 | eV |
| noet | 100 | C/m3 |
| noht | 100 | C/m3 |
| S0 | 4 × 10−3 | m3/(C·s) |
| S1 | 4 × 10−3 | m3/(C·s) |
| S2 | 4 × 10−3 | m3/(C·s) |
| S3 | 0 | m3/(C·s) |
Publisher’s Note: MDPI stays neutral with regard to jurisdictional claims in published maps and institutional affiliations. |
© 2020 by the authors. Licensee MDPI, Basel, Switzerland. This article is an open access article distributed under the terms and conditions of the Creative Commons Attribution (CC BY) license (http://creativecommons.org/licenses/by/4.0/).
Share and Cite
Zhou, Y.; Wang, W.; Guo, T. Space Charge Accumulation Characteristics in HVDC Cable under Temperature Gradient. Energies 2020, 13, 5571. https://doi.org/10.3390/en13215571
Zhou Y, Wang W, Guo T. Space Charge Accumulation Characteristics in HVDC Cable under Temperature Gradient. Energies. 2020; 13(21):5571. https://doi.org/10.3390/en13215571
Chicago/Turabian StyleZhou, Yifan, Wei Wang, and Tailong Guo. 2020. "Space Charge Accumulation Characteristics in HVDC Cable under Temperature Gradient" Energies 13, no. 21: 5571. https://doi.org/10.3390/en13215571
APA StyleZhou, Y., Wang, W., & Guo, T. (2020). Space Charge Accumulation Characteristics in HVDC Cable under Temperature Gradient. Energies, 13(21), 5571. https://doi.org/10.3390/en13215571

