Abstract
The present study explores the entropy generation, flow, and heat transfer characteristics of a dissipative nanofluid in the presence of transpiration effects at the boundary. The non-isothermal boundary conditions are taken into consideration to guarantee self-similar solutions. The electrically conducting nanofluid flow is influenced by a magnetic field of constant strength. The ultrafine particles (nanoparticles of ) are dispersed in the technological fluid water (). Both the base fluid and the nanofluid have the same bulk velocity and are assumed to be in thermal equilibrium. Tiwari and Dass’s idea is used for the mathematical modeling of the problem. Furthermore, the ultrafine particles are supposed to be spherical, and Maxwell Garnett’s model is used for the effective thermal conductivity of the nanofluid. Closed-form solutions are derived for boundary layer momentum and energy equations. These solutions are then utilized to access the entropy generation and the irreversibility parameter. The relative importance of different sources of entropy generation in the boundary layer is discussed through various graphs. The effects of space free physical parameters such as mass suction parameter , viscous dissipation parameter , magnetic heating parameter , and solid volume fraction of the ultrafine particles on the velocity, Bejan number, temperature, and entropy generation are elaborated through various graphs. It is found that the parabolic wall temperature facilitates similarity transformations so that self-similar equations can be achieved in the presence of viscous dissipation. It is observed that the entropy generation number is an increasing function of the Eckert number and solid volume fraction. The entropy production rate in the nanofluid is higher than that in the nanofluid under the same circumstances.
1. Introduction
The Navier-Stokes equations, which are second-order nonlinear partial differential equations, govern the viscous fluid–fluid flow. The exact solution of the complete Navier–Stokes equations has not yet been computed. However, closed-form solutions can be established in certain physical circumstances under reasonable suppositions [1,2,3,4,5]. Exact solutions are important since such solutions can be utilized to validate asymptotic analytical and numerical solutions. Crane [6] found the closed-form solution of the simplified Navier-Stokes equations under the boundary layer approximations to analyze the flow over a stretched surface. Some researchers determined the closed-form solutions of boundary layer flow after the pioneering work of Crane with various physical conditions [7,8,9,10,11].
It is essential to examine heat transfer issues in industrial engineering. Recently, heat transfer analysis has been limited to the first law of thermodynamics, which only concerns energy conservation during the interactions of the systems and surroundings. It deals solely with the amount of energy regardless of its quality. Moreover, the first law does not distinguish between heat and work. It assumes that work and heat are fully interchangeable, but work is high-quality energy and can be fully converted into heat, while heat is low-quality energy and cannot be fully converted into work. Heat is an unorganized form of energy. The law of entropy shows that the entropy increase in the cold object is higher than the decrease of entropy in the hot object. This means that the final state is more random in the thermodynamic system. This analysis suggests that the heat transfer phenomenon decreases energy quality or increases the system entropy. To investigate this energy quality reduction, Bejan [12,13] proposed a method called entropy minimization that is based on the law of entropy. The law of entropy (second law of thermodynamics) is used to maintain energy quality [14,15,16,17,18,19,20]. In addition to heat transfer, frictional heating and magnetic dissipation also generate entropy in fluid flow problems [21,22,23,24,25].
Conventional working fluids such as kerosene, gasoline, water, engine oil, and fluid mixtures have exceptionally poor thermal conductivity, as demonstrated by the vast number of industries dealing with these conventional working fluids. However, due to their inefficiency in thermal conductivity, they face several problems. The use of nanoscale elements in base fluids is one of the most important techniques used to resolve this deficiency. Such a mixture of nanometer-sized particles and a working fluid is called a nanofluid. In comparison to base liquids, nanofluids possess high thermal conductivity [26,27,28,29,30,31,32]. Many researchers firmly agree on the remarkable characteristics of nanofluids. Over the past two decades, this new type of fluid has attracted the attention of many researchers. Nanofluid studies have a variety of important applications, such as product provision for cancer, cooling systems, nuclear power plant cooling, and computer equipment cooling. Hsiao [33] conducted stagnation nanofluid energy conversion analysis for the conjugate problem of conduction–convection and heat source/sink. Ma et al. [34] explored the gravitational convection term of heat management in a shell and tube heat exchanger filled with a nanoliquid by utilizing a lattice Boltzmann scheme. Wakif et al. [35] reported the impacts of thermal radiation and surface roughness on the complex dynamics of water transporting alumina and copper oxide nanoparticles. Hsiao [36] reported nanofluid flow for conjugating mixed convection and radiation with interactive physical characteristics. In a channel with active heaters and coolers, a numerical simulation was introduced by Ma et al. [37] to examine the impacts of magnetic field on heat transfer in a nanoliquid. Prasad et al. [38] examined the upper-convected Maxwell three-dimensional rotational flow with a convective boundary condition and zero mass flux for the concentration of nanoparticles. Frictional heating is the conversion of fluid kinetic energy to heat due to the frictional forces between all the neighboring fluid layers. Frictional heating is the main factor in the study of heat transfer in boundary layer flows. Since large velocity gradients exist within the boundary layer, the viscous dissipation effects cannot be neglected. When there is a viscous dissipation, a term for viscous dissipation is incorporated into the energy equation [39,40,41,42,43,44,45,46].
In this research, the exact solutions of transformed nonlinear dimensionless momentum and energy equations that occur in the magnetohydrodynamic (MHD) boundary layer flow of nanofluid are obtained. The goal of the work, apart from providing a benchmark solution for numerical simulation, is the parametric analysis of entropy generation. The work also describes how boundary conditions facilitate similarity transformations to get self-similar equations. The literature review reveals that nonsimilar problems are treated as self-similar problems. Furthermore, the entropy generation analysis exists in literature, but the analysis is limited to the low temperature difference between the boundary and bulk fluid. The present work is free from such a constraint and is valid for both low and high temperature differences. In addition, the terms for frictional heating and magnetic dissipation are added to the energy equation and the expression for entropy generation. To the best of our knowledge, no one has reported the exact solutions for nanofluid flow induced by a linearly stretching surface with a parabolic temperature profile at the boundary. Obtained exact solutions are used for calculating entropy generation and the Bejan number. Visual representations are used to investigate the effects of physical parameters on the nanofluid flow, thermal field, entropy generation profile, and Bejan number.
2. Statement of the Problem and Governing Equations
Consider the electrically conducting and dissipative nanofluid flow over a stretching surface as shown in Figure 1. The nanofluid is supposed to be a mixture of base fluid (water) and nanoparticles . The Cartesian coordinate system is chosen in such a way that the is taken along the solid boundary and the is normal to it. Let be the velocity of the stretching boundary and be the temperature variation at the surface of the stretching boundary; here, and the subscript represent the bulk fluid temperature and the condition at the solid boundary, while and represent the dimensional constants. The imposed magnetic field is constant and of strength . The generalized Ohm’s law in the absence of an electrical field is , where and show the electrical conductivity of nanofluid and bulk velocity field of the nanofluid, respectively. The magnetic force and magnetic dissipation are simplified to and , respectively.
Figure 1.
Physical flow model and coordinate system.
The equations governing the incompressible nanofluid flow for the present problem are
The imposed boundary conditions are as follows:
The governing self-similar equations are obtained from Equations (2) and (3) by using the following dimensionless variables:
Equations (2) and (3) under the transformation in Equation (5) become
The imposed boundary conditions are transformed to
where , , , , , and (Eckert number), and the subscripts and are used for base fluid and nanoparticles, respectively. (Prandtl number); indicates base fluid thermal diffusivity; and shows the dimensionless mass-transfer parameter; and , , , , and are defined in Table 1. The thermophysical properties of , , and working fluid are shown in Table 2.
Table 1.
Effective thermophysical properties of nanofluid [47,48,49,50,51,52].
Table 2.
Thermophysical properties of , , and working fluid .
3. Solution Methodology
3.1. Closed-Form Solution of Momentum Balance Equation
The closed-form exact solution of Equation (6) with associated boundary conditions of Equation (8) is supposed as follows:
Using the first two boundary conditions defined in Equation (8), the computed arbitrary constants and are
Putting Equation (11) into Equation (10), we get
The above closed-form solution trivially satisfies the far-field boundary condition as defined in Equation (8) for . To find , we insert Equation (12) into Equation (6) and get
By solving the above equation, we have
The closed-form solution of the boundary value problem (Equations (6) and (7)) is given by
3.2. Solution of Energy Balance Equation via Laplace Transform
Equation (7) is decoupled from Equation (6) by substituting Equation (12) into Equation (7) as follows:
To get rid of exponential coefficients, we define a new variable, , as follows:
By utilizing the above transformation, Equation (7) and the related boundary conditions take the following form:
with
By employing Laplace transform on Equation (18) and then using Equation (19), we obtain
where is the Laplace transform of the function Equation (21) is a Leibnitz first-type linear equation with integrating factor
Solving Equation (21) by utilizing Equation (22), we have
By taking Laplace inverse of Equation (23), we get
Here, an asterisk () indicates convolution and shows a gamma function. The convolution of two functions, and , is defined as follows:
By taking and , Equation (24) takes the following form:
By employing the transformation , the above equation takes the following form:
By utilizing the integral form of Kummer’s confluent hypergeometric function, i.e., , Equation (27) becomes
The boundary condition at the surface of the stretching surface is satisfied identically. However, the constant of integration is obtained by using the far-field boundary condition and is given by
Finally, by inserting Equation (29) into Equation (28) and using the transformation , we obtain the exact solution of the energy equation:
4. Analysis of Entropy Generation
The rate of entropy generation in the presence of heat dissipation phenomenon with magnetic heating is given by
Using Equation (6), Equation (31) becomes
Here, indicates characteristic entropy generation; indicates entropy production rate in dimensionless form; shows the temperature parameter; and , , and represent the dimensionless form of entropy generation due to heat transfer, viscous dissipation, and magnetic heating, respectively.
By utilizing the obtained exact solutions, the three sources of entropy generation stated above take the following forms:
and
4.1. Bejan Number
To compare the spatial distribution of entropy generation in a flow field due to various sources, an irreversibility ratio parameter known as Bejan number is defined as given below
After the utilization of similarity variables, Equation (36) takes the following form:
5. Results and Discussion
The nondimensional complicated differential equations (momentum and energy equations) are solved by taking into consideration the exponential form solution and the Laplace transform. The exact expressions are obtained for entropy generation via heat transfer, magnetic heating, and frictional heating. The dimensionless entropy production , velocity , and temperature are plotted against by taking various values of relevant parameters. The Bejan number profile is also plotted against the similarity variable by considering different values of the relevant embedded parameters. All the figures are plotted by taking water as a base fluid. Nanoparticles of are dispersed in.
Figure 2a demonstrates the impact of mass suction on the velocity of and nanoliquids. The decrement in motion is seen for both and nanoliquids with increasing . For a fixed value of , the velocity of the nanoliquid is higher than the velocity of the nanoliquid. Furthermore, the velocity of both nanoliquids satisfies the boundary condition at asymptotically. Figure 2b demonstrates the influence of the magnetic parameter on . It is seen that reduces as increases. It is a well-known fact that the Lorentz force acts as a decelerating force for fluid flow and varies directly as increases. Due to this fact, varies inversely with Furthermore, the velocity of the nanoliquid is lower than the velocity of the nanoliquid, and this is because of the low density of compared to . Figure 3a shows the variation of temperature with by taking , , , and . The temperature drop is observed with increasing values of . The width of the thermal boundary layer (TBL) of the nanoliquid is greater than that of the nanoliquid. Furthermore, the difference in TBL thickness reduces as increases. The effects of on temperature are presented in Figure 3b. It is seen that is augmented as increases. The rising behavior of temperature is because of magnetic heating. The effective thermal conductivity of nanoliquids is directly related to the solid volume fraction of nanoparticles and this augments the temperature of nanoliquids, as shown in Figure 3c. Furthermore, the width of TBL is smaller for base fluid and larger for . This is due to the low thermal conductivity of water and the high effective thermal conductivity of the nanoliquid. Figure 3d reveals the influence of the Eckert number on . It is found that increasing leads to a rising temperature. The dissipation function implies that frictional heating varies directly with velocity gradients, and the velocity gradients are high in the vicinity of stretching surface. Due to this fact, the temperature shoots up suddenly, resulting in a higher Eckert number in the vicinity of the stretching plate, as shown in Figure 3d.
Figure 2.
Variation of the velocity profile with (a) and (b).
Figure 3.
Variation of the temperature profile with (a) , (b) , (c) ,and (d) .
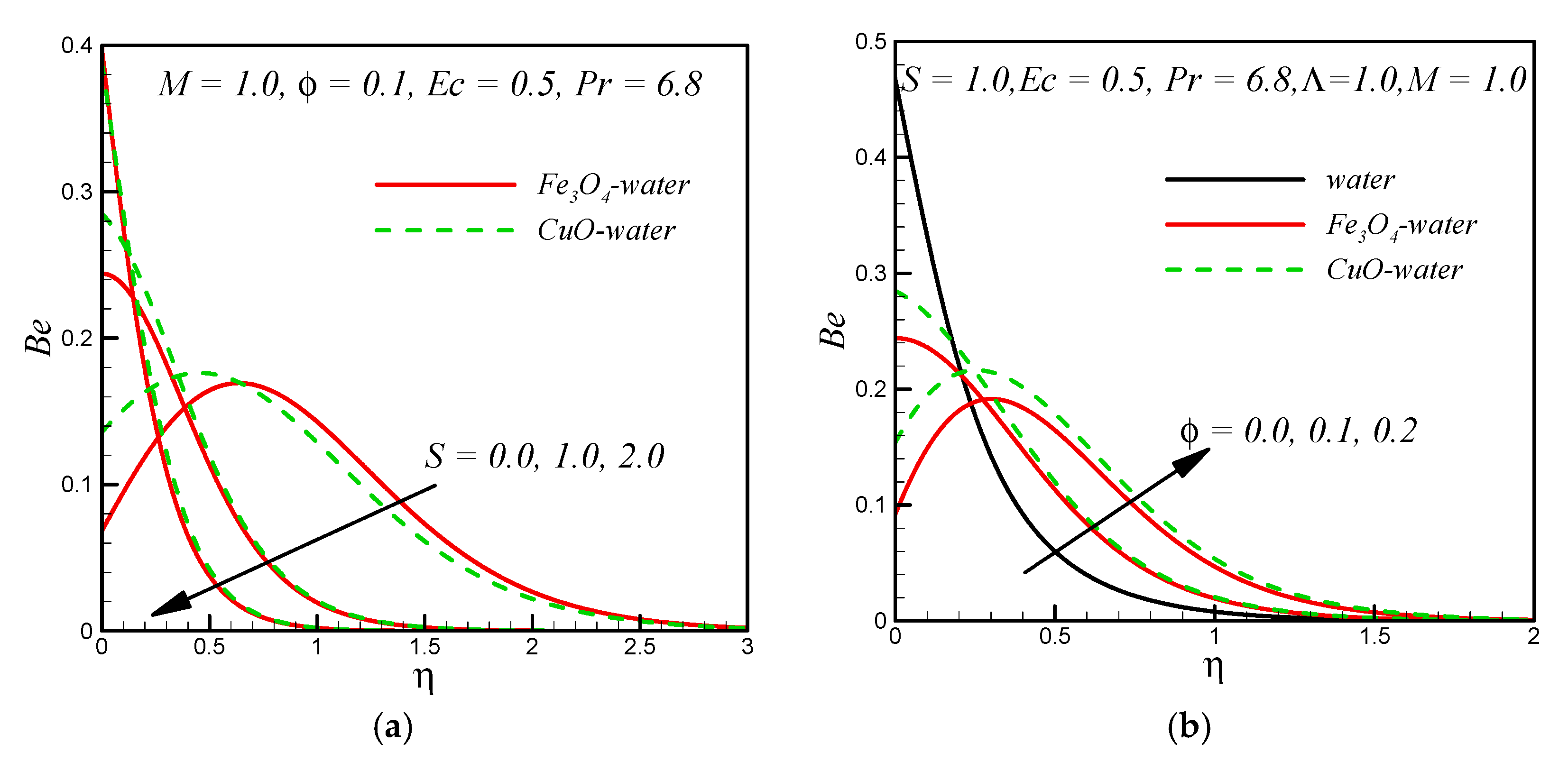
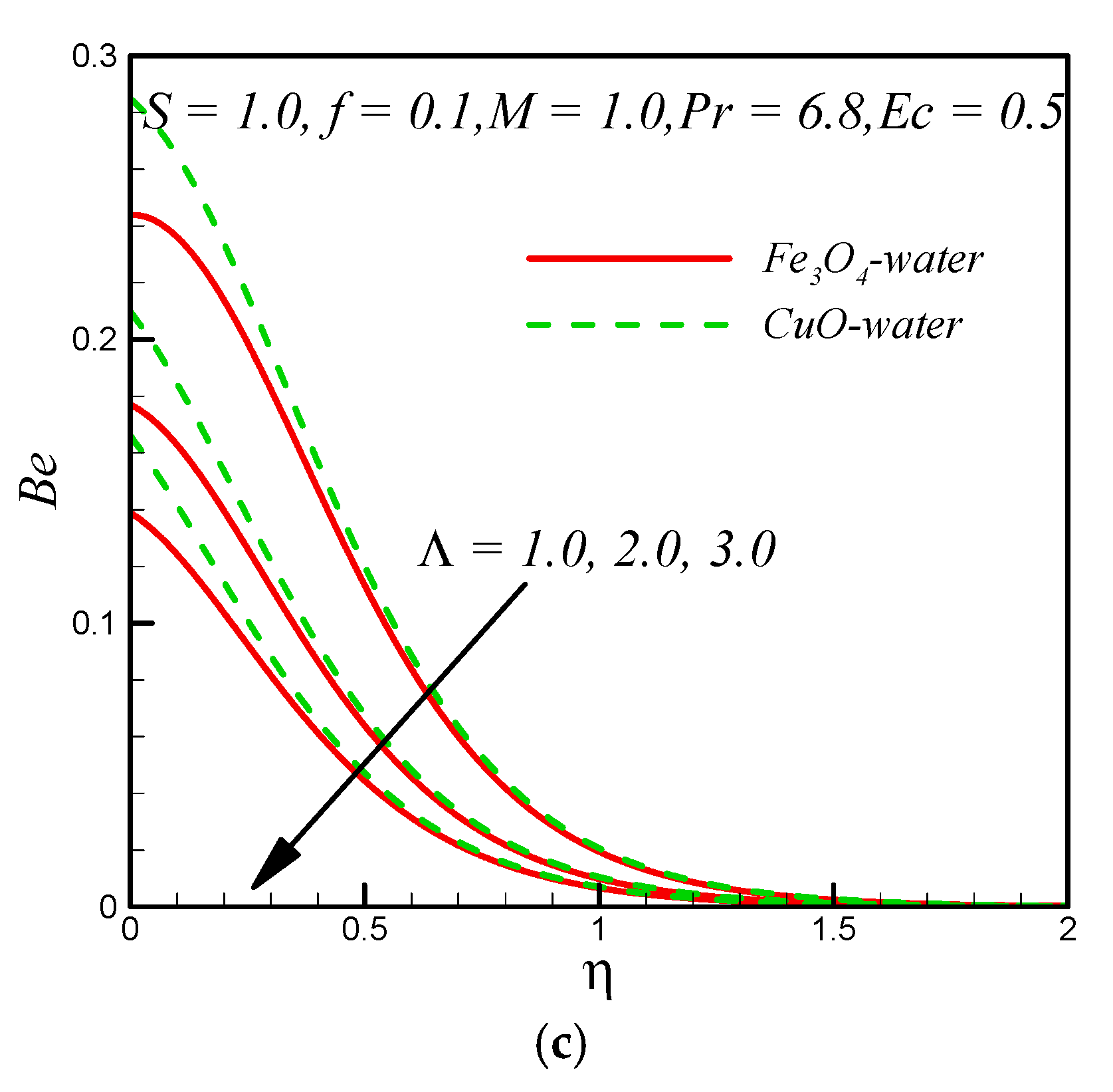
Figure 4a portrays the effects of the Eckert number on the entropy generation number . As seen from the plot, is directly related to the Eckert number. This happens since frictional heating increases with the increasing Eckert number. The entropy generation in the nanoliquid than that in the nanoliquid. Furthermore, the surface of the solid boundary is the region where maximum entropy is generated. The features of mass suction on are revealed in Figure 4b. As increases, entropy generation rises at the solid wall and its vicinity, but the opposite trend is observed to start at a certain distance away from the boundary. Furthermore, entropy generation is higher in the nanoliquid at the solid boundary and its neighborhood as compared to the nanoliquid, but the trend becomes the opposite at a certain distance from the boundary. The nature of entropy generation with disparate values of the solid volume fraction of nanoparticles is shown in Figure 4c. From this plot, it can be seen that increases as increases. This increase in is due to the boost of heat transfer with increasing . It is well known that the magnetic force is nonconservative. The entropy generation is directly related to the nonconservative forces, and this fact is depicted in Figure 4d. The variations of with temperature difference function are presented in Figure 4e. The decreases with increasing values of . Figure 5a shows that the Bejan number has a maximum value at the surface of the stretching boundary for a nonzero suction parameter . In the case of an impermeable stretching boundary, the entropy generation in the nanoliquid is due to dissipative forces (viscous and magnetic) near and on the boundary, which are high in comparison to those of the nanoliquid. An opposite trend is observed to start at a certain vertical distance from the stretching surface. In the case of , the entropy generation on the stretching surface and inside the boundary layer due to magnetic and viscous heating is more dominant in the nanoliquid as compared to the nanoliquid. It is noticed from Figure 5b that is directly related to the solid volume fraction in the region away from the stretching boundary. In the vicinity of an elastic boundary, the opposite trend is observed. From Figure 5c, it can be seen that the Bejan number diminishes as increases. Furthermore, the entropy generation by nonconservative forces (viscous and magnetic) is higher in the nanoliquid than in the nanoliquid.

Figure 4.
Variation of entropy generation profile with (a) , (b) (c) , (d) , and (e).

Figure 5.
Variation of Bejan number with (a) , (b) and (c) .
6. Concluding Remarks
In this study, we investigated flow, heat transfer, and entropy production in a dissipative nanofluid flow under the influence of a magnetic field. The following findings can be drawn from the exact results:
- The decrement in motion is seen for both and nanofluids with increasing and .
- The velocity of the nanofluid is higher than that of the nanofluid.
- The temperature is observed to decrease with increasing values of .
- The temperature increases as , , and increase.
- The thermal boundary layer (TBL) width of the nanoliquid is greater than that of the nanoliquid.
- The entropy generation number is directly related to the Eckert number and solid volume fraction .
- Entropy generation by nonconservative forces is higher in the nanoliquid than in the nanoliquid.
Author Contributions
M.I.A. and M.Q. formulated the problem. D.L. and U.A. solved the problem. U.F. and M.I.A. computed the results. All the authors equally contributed in writing and proofreading the paper. All authors have read and agreed to the published version of the manuscript.
Funding
This work was supported by the China Post-doctoral science foundation, China (Grant No. 2018M632237).
Acknowledgments
The authors would like to acknowledge the Department of Mathematics, Faculty of Science, Jiangsu University, Zhenjiang China for technical support.
Conflicts of Interest
The authors declare no conflict of interest.
Nomenclature
| Dimensional constant | ||
| (Dimensionless) | Bejan number | |
| The applied magnetic field. (“I” shows electric current) | ||
| Specific heat at a constant pressure of a base fluid | ||
| Specific heat at a constant pressure of nanofluid | ||
| (Dimensionless) | Eckert number | |
| (Dimensionless) | Velocity normal to the solid surface | |
| (Dimensionless) | Velocity along the solid surface | |
| Current density | ||
| Thermal conductivity of nanofluid | ||
| Thermal conductivity of the base fluid | ||
| Thermal conductivity of nanoparticle | ||
| (Dimensionless) | Magnetic parameter | |
| (Dimensionless) | Entropy generation due to heat transfer | |
| (Dimensionless) | Entropy generation due to viscous dissipation | |
| (Dimensionless) | Entropy generation due to the magnetic field | |
| (Dimensionless) | Entropy generation number | |
| (Dimensionless) | Prandtl number | |
| (Dimensionless) | Mass transfer parameter | |
| Rate of volumetric entropy generation | ||
| Characteristic entropy generation | ||
| The temperature inside the boundary layer | ||
| The temperature at the solid boundary | ||
| The temperature of fluid outside the thermal boundary layer | ||
| The velocity of a stretching sheet | ||
| Velocity component along the surface of the solid body | ||
| Constant | ||
| Velocity component normal to the surface of the solid body | ||
| Normal velocity component at the boundary | ||
| ) | Cartesian coordinates |
Greek Symbols
| (Dimensionless) | Similarity variable | |
| Dynamic viscosity of a base fluid | ||
| Dynamic viscosity of nanofluid | ||
| Kinematic viscosity of nanofluid | ||
| Nanofluid density | ||
| The density of a base fluid | ||
| Density of nanoparticles | ||
| Electric conductivity | ||
| The electric conductivity of a base fluid | ||
| The electric conductivity of nanoparticle | ||
| (Dimensionless) | Temperature | |
| (Dimensionless) | The solid volume fraction of nanoparticles | |
| (Dimensionless) | Temperature difference parameter |
References
- Wang, C.Y. Exact solutions of the steady-state Navier-Stockes equations. Annu. Rev. Fluid Mech. 1991, 23, 159–177. [Google Scholar] [CrossRef]
- Hui, W.H. Exact solutions of the unsteady two-dimensional Navier-Stokes equations. J. Appl. Math. Phys. 1987, 38, 689–702. [Google Scholar] [CrossRef]
- Polyanin, A.D. Exact solutions to the Navier-Stokes equations with generalized separation of variables. Dokl. Phys. 2001, 46, 726–731. [Google Scholar] [CrossRef]
- Al-Mdallal, Q.M. A new family of exact solutions to the unsteady Navier–Stokes equations using canonical transformation with complex coefficients. Appl. Math. Comput. 2008, 196, 303–308. [Google Scholar] [CrossRef]
- Daly, E.; Basser, H.; Rudman, M. Exact solutions of the Navier-Stokes equations generalized for flow in porous media. Eur. Phys. J. Plus 2018, 133, 173. [Google Scholar] [CrossRef]
- Crane, L.J. Flow past a stretching plate. Zeitschrift für Angewandte Mathematik und Physik 1970, 4, 645–647. [Google Scholar] [CrossRef]
- Fang, T.; Zhang, J.; Yao, S. Slip MHD viscous flow over a stretching sheet—An exact solution. Commun. Nonlinear Sci. Numer. Simul. 2009, 14, 3731–3737. [Google Scholar] [CrossRef]
- Fang, T.; Zhang, J. Closed-form exact solutions of MHD viscous flow over a shrinking sheet. Commun. Nonlinear Sci. Numer. Simul. 2009, 14, 2853–2857. [Google Scholar] [CrossRef]
- Liu, I.-C. Exact Solutions for a Fluid-Saturated Porous Medium with Heat and Mass Transfer. J. Mech. 2011, 21, 57–62. [Google Scholar] [CrossRef]
- Turkyilmazoglu, M. Mixed convection flow of magnetohydrodynamic micropolar fluid due to a porous heated/cooled deformable plate: Exact solutions. Int. J. Heat Mass Transf. 2017, 106, 127–134. [Google Scholar] [CrossRef]
- Khan, Z.H.; Qasim, M.; Ishfaq, N.; Khan, W.A. Dual Solutions of MHD Boundary Layer Flow of a Micropolar Fluid with Weak Concentration over a Stretching/Shrinking Sheet. Commun. Theor. Phys. 2017, 67, 449. [Google Scholar] [CrossRef]
- Bejan, A. A Study of Entropy Generation in Fundamental Convective Heat Transfer. J. Heat Transf. 1979, 101, 718–725. [Google Scholar] [CrossRef]
- Bejan, A. The thermodynamic design of heat and mass transfer processes and devices. Int. J. Heat Fluid Flow 1987, 8, 258–276. [Google Scholar] [CrossRef]
- Butt, A.S.; Ali, A.; Mehmood, A. Entropy analysis in MHD nanofluid flow near a convectively heated stretching surface. Int. J. Exergy 2016, 20, 318–342. [Google Scholar] [CrossRef]
- Das, S.; Chakraborty, S.; Jana, R.N.; Makinde, O.D. Entropy analysis of unsteady magneto-nanofluid flow past accelerating stretching sheet with convective boundary condition. Appl. Math. Mech. 2015, 36, 1593–1610. [Google Scholar] [CrossRef]
- Hakeem, A.K.A.; Govindaraju, M.; Ganga, B.; Kayalvizhi, M. Second law analysis for radiative MHD slip flow of a nanofluid over a stretching sheet with non-uniform heat source effect. Sci. Iran. 2016, 23, 1524–1538. [Google Scholar] [CrossRef]
- Rashidi, M.M.; Freidoonimehr, N. Analysis of Entropy Generation in MHD Stagnation-Point Flow in Porous Media with Heat Transfer. Int. J. Comput. Methods Eng. Sci. Mech. 2014, 15, 345–355. [Google Scholar] [CrossRef]
- Makinde, O.D. Entropy analysis for MHD boundary layer flow and heat transfer over a flat plate with a convective surface boundary condition. Int. J. Exergy 2012, 10, 142. [Google Scholar] [CrossRef]
- Butt, A.S.; Ali, A.; Mehmood, A. Numerical investigation of magnetic field effects on entropy generation in viscous flow over a stretching cylinder embedded in a porous medium. Energy 2016, 99, 237–249. [Google Scholar] [CrossRef]
- Ding, H.; Li, Y.; Lakzian, E.; Wen, C.; Wang, C. Entropy generation and exergy destruction in condensing steam flow through turbine blade with surface roughness. Energy Convers. Manag. 2019, 196, 1089–1104. [Google Scholar] [CrossRef]
- Al-Odat, M.Q.; Damseh, R.A.; Al-Nimr, M.A. Effect of Magnetic Field on Entropy Generation Due to Laminar Forced Convection Past a Horizontal Flat Plate. Entropy 2004, 4, 293–303. [Google Scholar] [CrossRef]
- Rashidi, M.M.; Mohammadi, F.; Abbasbandy, S.; Alhuthali, M.S. Entropy Generation Analysis for Stagnation Point Flow in a Porous Medium over a Permeable Stretching Surface. J. Appl. Fluid Mech. 2015, 8, 753–765. [Google Scholar] [CrossRef]
- Das, S.; Jana, R.N.; Makinde, O.D. Entropy generation in hydromagnetic and thermal boundary layer flow due to radial stretching sheet with Newtonian heating. J. Heat Mass Transf. Res. 2015, 2, 51–61. [Google Scholar]
- Ajibade, A.O.; Jha, B.K.; Omame, A. Entropy generation under the effect of suction/injection. Appl. Math. Model. 2011, 35, 4630–4646. [Google Scholar] [CrossRef]
- Govindaraju, M.; Ganga, B.; Hakeem, A.K.A. Second law analysis on radiative slip flow of nanofluid over a stretching sheet in the presence of lorentz force and heat generation/absorption. Front. Heat Mass Transf. 2017, 8, 1–8. [Google Scholar] [CrossRef]
- Milanese, M.; Iacobazzi, F.; Colangelo, G.; Risi, A. An investigation of layering phenomenon at the liquid–solid interface in Cu and CuO based nanofluids. Int. J. Heat Mass Transf. 2016, 103, 564–571. [Google Scholar] [CrossRef]
- Iacobazzi, F.; Milanese, M.; Colangelo, G.; Lomascolo, M.; Risi, A. An explanation of the Al2O3 nanofluid thermal conductivity based on the phonon theory of liquid. Energy 2016, 116, 786–794. [Google Scholar] [CrossRef]
- Colangelo, G.; Milanese, M.; De Risi, A. Numerical simulation of thermal efficiency of an innovative Al2O3 nanofluid solar thermal collector: Influence of nanoparticles concentration. Therm. Sci. 2017, 21, 2769–2779. [Google Scholar] [CrossRef]
- Colangelo, G.; Favale, E.; Milanese, M.; de Risi, A.; Laforgia, D. Cooling of electronic devices: Nanofluids contribution. Appl. Therm. Eng. 2017, 127, 421–435. [Google Scholar] [CrossRef]
- Colangelo, G.; Favale, E.; Miglietta, P.; Milanese, M.; de Risi, M. Thermal conductivity, viscosity and stability of Al2O3-diathermic oil nanofluids for solar energy systems. Energy 2016, 95, 124–136. [Google Scholar] [CrossRef]
- Colangelo, G.; Favale, E.; Milanese, M.; Starace, G.; De Risi, A. Experimental Measurements of Al2O3 and CuO Nanofluids Interaction with Microwaves. J. Energy Eng. 2017, 143, 04016045. [Google Scholar] [CrossRef]
- Iacobazzi, F.; Milanese, M.; Colangelo, G.; de Risi, A. A critical analysis of clustering phenomenon in Al2O3 nanofluids. J. Therm. Anal. Calorim. 2018, 135, 371–377. [Google Scholar] [CrossRef]
- Hsiao, K.-L. Stagnation electrical MHD nanofluid mixed convection with slip boundary on a stretching sheet. Appl. Therm. Eng. 2016, 98, 850–861. [Google Scholar] [CrossRef]
- Ma, Y.; Mohebbi, R.; Rashidi, M.; Yang, Z.; Sheremet, M. Nanoliquid thermal convection in I-shaped multiple-pipe heat exchanger under magnetic field influence. Phys. A Stat. Mech. Its Appl. 2020, 550, 124028. [Google Scholar] [CrossRef]
- Wakif, A.; Chamkha, A.; Thumma, T.; Animasaun, I.L.; Sehaqui, R. Thermal radiation and surface roughness effects on the thermo-magneto-hydrodynamic stability of alumina–copper oxide hybrid nanofluids utilizing the generalized Buongiorno’s nanofluid model. J. Therm. Anal. Calorim. 2020, 1–20. [Google Scholar] [CrossRef]
- Hsiao, K.-L. Nanofluid flow with multimedia physical features for conjugate mixed convection and radiation. Comput. Fluids 2014, 104, 1–8. [Google Scholar] [CrossRef]
- Ma, Y.; Mohebbi, R.; Rashidi, M.M.; Yang, Z. MHD convective heat transfer of Ag-MgO/water hybrid nanofluid in a channel with active heaters and coolers. Int. J. Heat Mass Transf. 2019, 137, 714–726. [Google Scholar] [CrossRef]
- Prasad, K.V.; Vaidya, H.; Makinde, O.D.; Vajravelu, K.; Wakif, A.; Basha, H. Comprehensive examination of the three-dimensional rotating flow of a UCM nanoliquid over an exponentially stretchable convective surface utilizing the optimal homotopy analysis method. Front. Heat Mass Transf. 2020, 14. [Google Scholar] [CrossRef]
- Gebhart, B. Effects of viscous dissipation in natural convection. J. Fluid Mech. 1962, 14, 225–232. [Google Scholar] [CrossRef]
- Desale, S.; Pradhan, V.H. Numerical Solution of Boundary Layer Flow Equation with Viscous Dissipation Effect Along a Flat Plate with Variable Temperature. Procedia Eng. 2015, 127, 846–853. [Google Scholar] [CrossRef]
- Vajravelu, K.; Hadjinicolaou, A. Heat transfer in a viscous fluid over a stretching sheet with viscous dissipation and internal heat generation. Int. Commun. Heat Mass Transf. 1993, 20, 417–430. [Google Scholar] [CrossRef]
- Alsabery, A.; Saleh, H.; Hashim, I. Effects of Viscous Dissipation and Radiation on MHD Natural Convection in Oblique Porous Cavity with Constant Heat Flux. Adv. Appl. Math. Mech. 2017, 9, 463–484. [Google Scholar] [CrossRef]
- Mohamed, M.K.A.; Sarif, N.M.; Noar, N.A.Z.M.; Salleh, M.Z.; Ishak, A. Viscous dissipation effect on the mixed convection boundary layer flow towards solid sphere. Trans. Sci. Technol. 2016, 3, 59–67. [Google Scholar]
- Jamaludin, A.; Nazar, R.; Khan, I. AIP Conference Proceedings; Boundary Layer Flow and Heat Transfer in a Viscous Fluid over a Stretching Sheet with Viscous Dissipation, Internal Heat Generation and Prescribed Heat Flux; AIP Publishing LLC: New York, NY, USA, 2017; Volume 1870, p. 040029. [Google Scholar] [CrossRef]
- Makinde, O.D. Effects of viscous dissipation and Newtonian heating on boundary-layer flow of nanofluids over a flat plate. Int. J. Numer. Methods Heat Fluid Flow 2013, 23, 1291–1303. [Google Scholar] [CrossRef]
- Motsumi, T.G.; Makinde, O.D. Effects of thermal radiation and viscous dissipation on boundary layer flow of nanofluids over a permeable moving flat plate. Phys. Scr. 2012, 86, 1–8. [Google Scholar] [CrossRef]
- Minkowycz, W.J.; Sparrow, E.M.; Abraham, J.P. Nanoparticle Heat Transfer and Fluid Flow; CRC Press: Boca Raton, FL, USA, 2012. [Google Scholar]
- Bianco, V.; Manca, O.; Nardini, S.; Vafai, K. Heat Transfer Enhancement of Nanofluids; CRC Press: Boca Raton, FL, USA, 2015. [Google Scholar]
- Kleinstreuer, C.; Feng, Y. Experimental and Theoretical Studies of Nanofluid Thermal Conductivity Enhancement: A Review. Nanoscale Res. Lett. 2011, 6, 229. [Google Scholar] [CrossRef]
- Bashirnezhad, K.; Bazri, S.; Safaei, M.R.; Goodarzi, M.; Dahari, M.; Mahian, O.; Dalkılıça, A.S.; Wongwises, S. Viscosity of nanofluids: A review of recent experimental studies. Int Commun Heat Mass Transf. 2016, 73, 114–123. [Google Scholar] [CrossRef]
- Sheikholeslami, M. Nanofluid Heat and Mass Transfer in Engineering Problems; Intech Open: Rijeka, Croatia, 2017. [Google Scholar]
- Sajid, M.U.; Ali, H.M. Recent advances in application of nanofluids in heat transfer devices: A critical review. Renew. Sustain. Energy Rev. 2019, 103, 556–592. [Google Scholar] [CrossRef]
Publisher’s Note: MDPI stays neutral with regard to jurisdictional claims in published maps and institutional affiliations. |
© 2020 by the authors. Licensee MDPI, Basel, Switzerland. This article is an open access article distributed under the terms and conditions of the Creative Commons Attribution (CC BY) license (http://creativecommons.org/licenses/by/4.0/).






