Cloud Based IoT Solution for Fault Detection and Localization in Power Distribution Systems
Abstract
1. Introduction
- A centralized cloud based IoT solution is developed that can detect individual and multiple simultaneous faults in power distribution systems.
- The edge intelligence is implemented by using CAP that has significantly reduced the amount of data transfer to the cloud.
- The scheme has a novel feature to detect multiple simultaneous faults in the presence of single or multiple device failures in large and complex power networks that show the robustness and scalability of the solution.
- A detailed comparison of the proposed method is performed with existing fault detection methods and other smart solutions that further highlights the benefits and effectiveness of our technique.
2. Fault Identification and Localization
- (a)
- If current flows into zone then set to 1.
- (b)
- If current flows out of zone then set to -1.
- (c)
- Otherwise set to 0.
3. IoT Framework
| Algorithm 1: Algorithm for CE |
![]() |
4. Results and Discussion
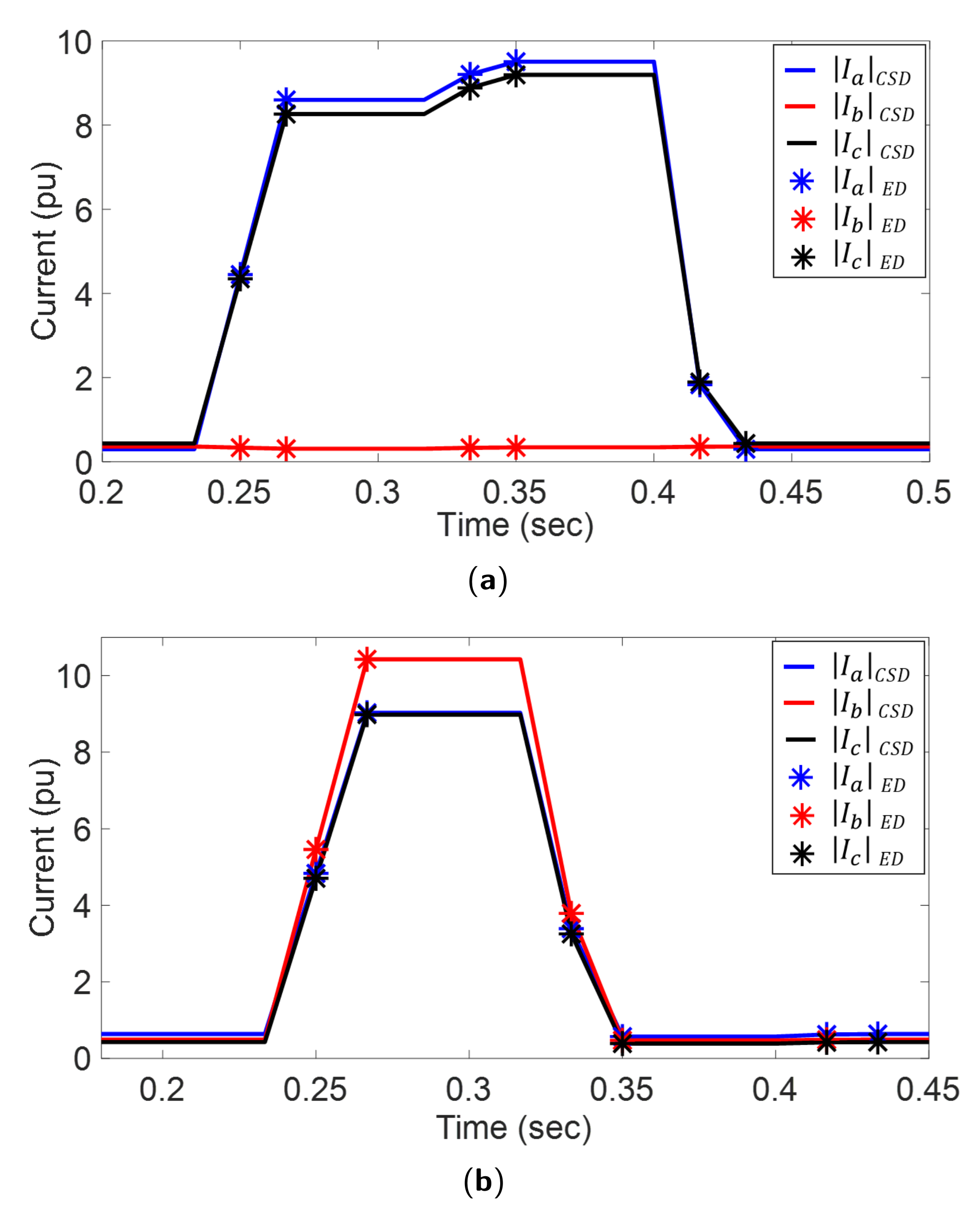
4.1. Case 1: Individual Faults
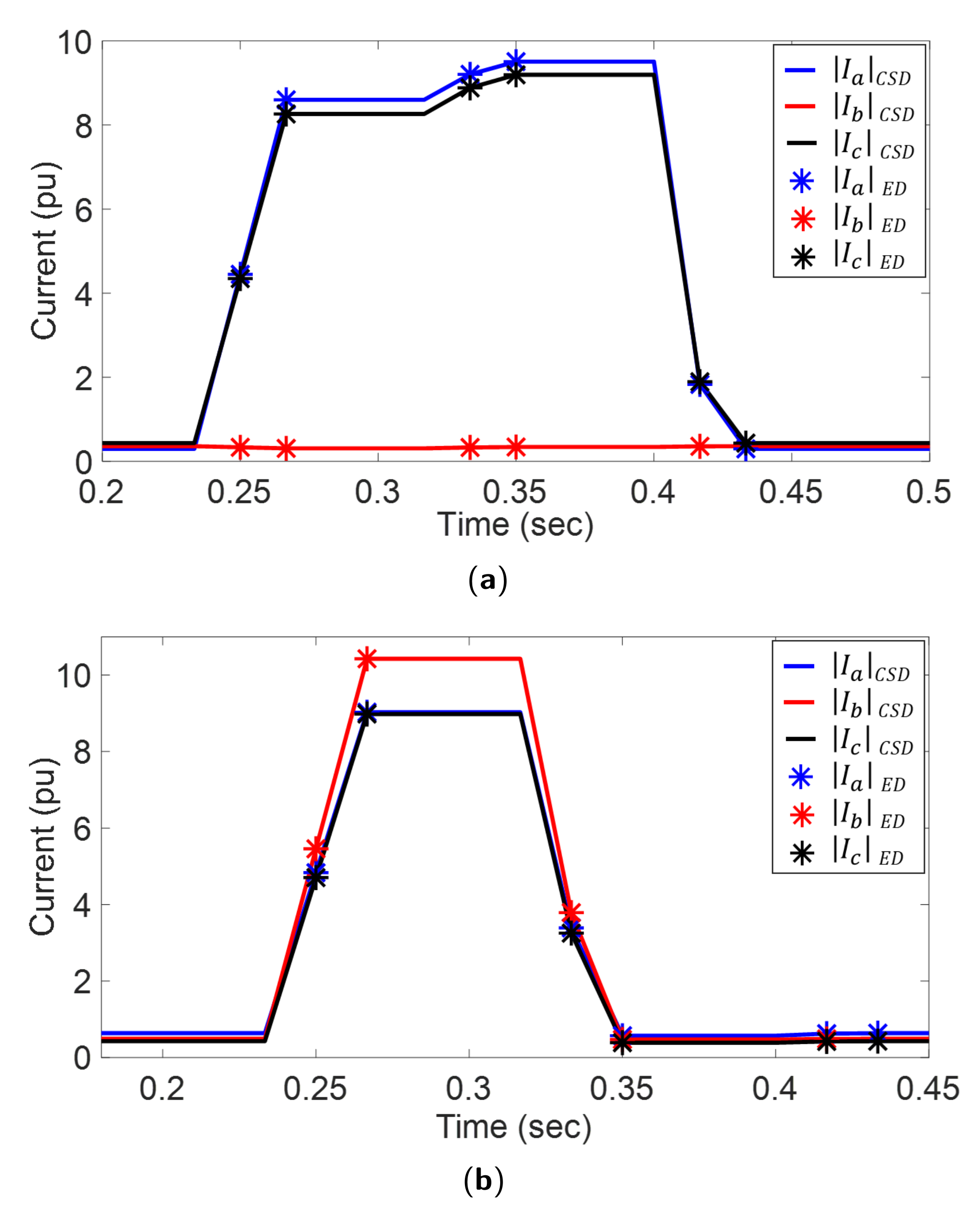
4.2. Case 2: Multiple Simultaneous Faults
4.3. Case 3: Multiple Simultaneous Fault with Sensor Failure
4.4. Data Reduction
4.5. Latency Evaluation
5. Conclusions
Author Contributions
Funding
Conflicts of Interest
Abbreviations
| , , | Difference between two consecutive vectors for phase A, B and C |
| CAP | Context Aware Policy |
| Current Identification Matrix | |
| Configuration ID for a particular zone configuration | |
| CSD | Current Sensing Device |
| Timestamp from the current message recieved | |
| ED | Edge Device |
| , , | Per phase current in P.u |
| , , | Phase current vectors |
| , , | Phase current vectors from previous iteration |
| List of IDs of failed sensors | |
| Value of ZIV vector stored in memory during operation of CE | |
| Total number of failed sensors | |
| PDS | Power Distribution Systems |
| Timestamp in memory from the previous message received | |
| PMU | Phasor Measurement Unit |
| S1, S2, S3, S4, S5 | Sensor 1, Sensor 2, Sensor 3, Sensor 4, Sensor 5 |
| t | Instant of time |
| T | Time between successive measurements |
| VMS | Vessel Monitoring System |
| WAMS | Wide Area Monitoring Systems |
| ZIV | Zone Identification Vector |
| , , | ZIV vectors for seperate phases |
References
- Hojabri, M.; Dersch, U.; Papaemmanouil, A.; Bosshart, P. A Comprehensive Survey on Phasor Measurement Unit Applications in Distribution Systems. Energies 2019, 12, 4552. [Google Scholar] [CrossRef]
- Kleineidam, G.; Krasser, M.; Reischböck, M. The cellular approach: Smart energy region Wunsiedel. Testbed for smart grid, smart metering and smart home solutions. Electr. Eng. 2016, 98, 335–340. [Google Scholar] [CrossRef]
- Ghasemkhani, A.; Monsef, H.; Rahimi-Kian, A.; Anvari-Moghaddam, A. Optimal design of a wide area measurement system for improvement of power network monitoring using a dynamic multiobjective shortest path algorithm. IEEE Syst. J. 2015, 11, 2303–2314. [Google Scholar] [CrossRef]
- Wen, M.H.; Xu, J.; Li, V.O. Optimal multistage PMU placement for wide-area monitoring. IEEE Trans. Power Syst. 2013, 28, 4134–4143. [Google Scholar] [CrossRef]
- Mohammadi, P.; Mehraeen, S. PMU Optimal Placement using sensitivity analysis for power systems fault location. In Proceedings of the 2015 IEEE Electrical Power and Energy Conference (EPEC), London, ON, Canada, 26–28 October 2015; pp. 244–249. [Google Scholar]
- Mahmood, A.; Javaid, N.; Razzaq, S. A review of wireless communications for smart grid. Renew. Sustain. Energy Rev. 2015, 41, 248–260. [Google Scholar] [CrossRef]
- Yigit, M.; Gungor, V.C.; Tuna, G.; Rangoussi, M.; Fadel, E. Power line communication technologies for smart grid applications: A review of advances and challenges. Comput. Netw. 2014, 70, 366–383. [Google Scholar] [CrossRef]
- Kezunovic, M.; Xie, L.; Grijalva, S. The role of big data in improving power system operation and protection. In Proceedings of the 2013 IREP Symposium Bulk Power System Dynamics and Control-IX Optimization, Security and Control of the Emerging Power Grid, Rethymnon, Greece, 25–30 August 2013; pp. 1–9. [Google Scholar]
- Zhuang, Y.t.; Wu, F.; Chen, C.; Pan, Y.H. Challenges and opportunities: From big data to knowledge in AI 2.0. Front. Inf. Technol. Electron. Eng. 2017, 18, 3–14. [Google Scholar] [CrossRef]
- Barik, R.K.; Gudey, S.K.; Reddy, G.G.; Pant, M.; Dubey, H.; Mankodiya, K.; Kumar, V. FogGrid: Leveraging fog computing for enhanced smart grid network. In Proceedings of the 2017 14th IEEE India Council International Conference (INDICON), Roorkee, India, 15–17 December 2017; pp. 1–6. [Google Scholar]
- Suryadevara, N.K.; Biswal, G.R. Smart Plugs: Paradigms and Applications in the Smart City-and-Smart Grid. Energies 2019, 12, 1957. [Google Scholar] [CrossRef]
- Talari, S.; Shafie-Khah, M.; Siano, P.; Loia, V.; Tommasetti, A.; Catalão, J.P. A review of smart cities based on the internet of things concept. Energies 2017, 10, 421. [Google Scholar] [CrossRef]
- Al-Ali, A. Role of internet of things in the smart grid technology. J. Comput. Commun. 2015, 3, 229. [Google Scholar] [CrossRef]
- Swathika, O.V.G.; Hemapala, K.T.M.U. IOT Based Energy Management System for Standalone PV Systems. J. Electr. Eng. Technol. 2019, 14, 1811–1821. [Google Scholar] [CrossRef]
- Maryska, M.; Doucek, P.; Sladek, P.; Nedomova, L. Economic Efficiency of the Internet of Things Solution in the Energy Industry: A Very High Voltage Frosting Case Study. Energies 2019, 12, 585. [Google Scholar] [CrossRef]
- Vakili, M.; Jahangiri, N.; Sharifi, M. Cloud service selection using cloud service brokers: Approaches and challenges. Front. Comput. Sci. 2019, 13, 599–617. [Google Scholar] [CrossRef]
- Zhang, J.; Huang, T.; Wang, S.; Liu, Y.J. Future Internet: Trends and challenges. Front. Inf. Technol. Electron. Eng. 2019, 20, 1185–1194. [Google Scholar] [CrossRef]
- Chen, S.; Wen, H.; Wu, J.; Lei, W.; Hou, W.; Liu, W.; Xu, A.; Jiang, Y. Internet of Things based smart grids supported by intelligent edge computing. IEEE Access 2019, 7, 74089–74102. [Google Scholar] [CrossRef]
- Chen, H.; Wu, S.; Jin, H.; Chen, W.; Zhai, J.; Luo, Y.; Wang, X. A survey of cloud resource management for complex engineering applications. Front. Comput. Sci. 2016, 10, 447–461. [Google Scholar] [CrossRef]
- Zhang, G.; Shu, H.; Lopes, F.; Liao, Y. Single-ended travelling wave-based protection scheme for double-circuit transmission lines. Int. J. Electr. Power Energy Syst. 2018, 97, 93–105. [Google Scholar] [CrossRef]
- Naidu, O.; Pradhan, A.K. A traveling wave-based fault location method using unsynchronized current measurements. IEEE Trans. Power Deliv. 2018, 34, 505–513. [Google Scholar] [CrossRef]
- Aslan, Y.; Yağan, Y.E. Artificial neural-network-based fault location for power distribution lines using the frequency spectra of fault data. Electr. Eng. 2017, 99, 301–311. [Google Scholar] [CrossRef]
- Ngaopitakkul, A.; Leelajindakrairerk, M. Application of probabilistic neural network with transmission and distribution protection schemes for classification of fault types on radial, loop, and underground structures. Electr. Eng. 2018, 100, 461–479. [Google Scholar] [CrossRef]
- Rafinia, A.; Moshtagh, J. A new approach to fault location in three-phase underground distribution system using combination of wavelet analysis with ANN and FLS. Int. J. Electr. Power Energy Syst. 2014, 55, 261–274. [Google Scholar] [CrossRef]
- Bhalja, B.; Maheshwari, R. Wavelet-based fault classification scheme for a transmission line using a support vector machine. Electr. Power Compon. Syst. 2008, 36, 1017–1030. [Google Scholar] [CrossRef]
- Bretas, A.S.; Salim, R.H. A new fault location technique for distribution feeders with distributed generation. WSEAS Trans. Power Syst. 2006, 1, 894. [Google Scholar]
- Nikkhajoei, H.; Lasseter, R.H. Microgrid Fault Protection Based on Symmetrical and Differential Current Components; Power System Engineering Research Center: Tempe, AZ, USA, 2006; pp. 71–74. [Google Scholar]
- Lin, T.C.; Lin, P.Y.; Liu, C.W. An algorithm for locating faults in three-terminal multisection nonhomogeneous transmission lines using synchrophasor measurements. IEEE Trans. Smart Grid 2013, 5, 38–50. [Google Scholar] [CrossRef]
- Fan, W.; Liao, Y. Wide area measurements based fault detection and location method for transmission lines. Prot. Control. Mod. Power Syst. 2019, 4, 7. [Google Scholar] [CrossRef]
- Meloni, A.; Pegoraro, P.A.; Atzori, L.; Benigni, A.; Sulis, S. Cloud-based IoT solution for state estimation in smart grids: Exploiting virtualization and edge-intelligence technologies. Comput. Netw. 2018, 130, 156–165. [Google Scholar] [CrossRef]
- Farris, I.; Girau, R.; Militano, L.; Nitti, M.; Atzori, L.; Iera, A.; Morabito, G. Social virtual objects in the edge cloud. IEEE Cloud Comput. 2015, 2, 20–28. [Google Scholar] [CrossRef]
- Koley, E.; Kumar, R.; Ghosh, S. Low cost microcontroller based fault detector, classifier, zone identifier and locator for transmission lines using wavelet transform and artificial neural network: A hardware co-simulation approach. Int. J. Electr. Power Energy Syst. 2016, 81, 346–360. [Google Scholar] [CrossRef]
- Katyara, S.; Izykowski, J.; Chowdhry, B.S.; Musavi, H.A.; Hussain, R. WSN-based monitoring and fault detection over a medium-voltage power line using two-end synchronized method. Electr. Eng. 2018, 100, 83–90. [Google Scholar] [CrossRef]
- Sahni, Y.; Cao, J.; Zhang, S.; Yang, L. Edge mesh: A new paradigm to enable distributed intelligence in internet of things. IEEE Access 2017, 5, 16441–16458. [Google Scholar] [CrossRef]
- Batista, N.; Melício, R.; Matias, J.; Catalão, J. Photovoltaic and wind energy systems monitoring and building/home energy management using ZigBee devices within a smart grid. Energy 2013, 49, 306–315. [Google Scholar] [CrossRef]
- Christin, D.; Reinhardt, A.; Mogre, P.S.; Steinmetz, R. Wireless sensor networks and the internet of things: Selected challenges. In Proceedings of the 8th GI/ITG KuVS Fachgespräch Drahtlose Sensornetze, Hamburg, Germany, 13–14 August 2009; pp. 31–34. [Google Scholar]
- Ferreira, J.C.; Martins, A.L. Edge Computing Approach for Vessel Monitoring System. Energies 2019, 12, 3087. [Google Scholar] [CrossRef]
- Standard, O. MQTT Version 3.1. 1. 2014, Volume 1. Available online: http://docs.oasis-open.org/mqtt/mqtt/v3 (accessed on 23 April 2020).
- Martin, K.; Hamai, D.; Adamiak, M.; Anderson, S.; Begovic, M.; Benmouyal, G.; Brunello, G.; Burger, J.; Cai, J.; Dickerson, B.; et al. Exploring the IEEE standard C37. 118–2005 synchrophasors for power systems. IEEE Trans. Power Deliv. 2008, 23, 1805–1811. [Google Scholar] [CrossRef]
- Association, I.S. IEEE Standard for Synchrophasor Measurements for Power Systems—Amendment 1: Modification of Selected Performance Requirements; IEEE: Piscataway, NJ, USA, 2014. [Google Scholar]
- Mosquitto, E. An Open Source MQTT Broker. Eclipse Mosquitto™. 2018. Available online: Mosquitto.org (accessed on 23 April 2018).










| Zone | At Time = 0.233 | At Time | Difference | ||||||||
|---|---|---|---|---|---|---|---|---|---|---|---|
| 1 | 0.599 | 0.346 | 0.535 | 0.599 | 0.301 | 0.541 | 0 | 0.045 | 0.006 | ||
| 2 | 0.295 | 0.359 | 0.433 | 0.295 | 1.588 | 0.427 | 0 | 1.229 | 0.006 | ||
| 3 | 0.294 | 0.176 | 0.221 | 0.294 | 0.176 | 0.221 | 0 | 0 | 0 | ||
| 4 | 0.241 | 0.186 | 0.284 | 0.241 | 0.186 | 0.284 | 0 | 0 | 0 | ||
| 5 | 0.395 | 0.303 | 0.143 | 0.395 | 0.303 | 0.143 | 0 | 0 | 0 | ||
| Zone | At Time s | At Time s | Difference | ||||||||
|---|---|---|---|---|---|---|---|---|---|---|---|
| 1 | 0.599 | 0.346 | 0.535 | 0.545 | 0.344 | 0.498 | 0.054 | 0.002 | 0.03 | ||
| 2 | 0.295 | 0.359 | 0.433 | 4.448 | 0.333 | 4.348 | 4.152 | 0.003 | 3.915 | ||
| 3 | 0.294 | 0.176 | 0.221 | 0.246 | 0.147 | 0.191 | 0.047 | 0.003 | 0.03 | ||
| 4 | 0.241 | 0.186 | 0.284 | 4.510 | 5.202 | 4.589 | 4.265 | 5.017 | 4.304 | ||
| 5 | 0.395 | 0.303 | 0.143 | 0.327 | 0.255 | 0.116 | −0.068 | 0.004 | 0.027 | ||
| Timestamp | Type of Fault | Zone Number | config-id | ||||
|---|---|---|---|---|---|---|---|
| Case 1 | 3668306115.11743 | Phase B | 2 | 0.295 | 1.588 | 0.427 | 0 |
| Case 2 | 3668305299.40703 | Phase A and C | 2 | 4.448 | 0.339 | 4.348 | 0 |
| 3668305299.40703 | Phase A, B, C | 4 | 4.835 | 5.458 | 4.705 | 0 |
| Zone | At Time s | At Time s | Difference | ||||||||
|---|---|---|---|---|---|---|---|---|---|---|---|
| Scenario 1: Single sensor failure (sensor 2) | |||||||||||
| 1 | 0.894 | 0.705 | 0.968 | 4.993 | 0.678 | 4.846 | 4.10 | 0.027 | 3.878 | ||
| 2 | 0.293 | 0.176 | 0.221 | 0.246 | 0.147 | 0.190 | 0.04 | 0.029 | 0.031 | ||
| 3 | 0.241 | 0.186 | 0.284 | 4.506 | 5.203 | 4.589 | 4.265 | 5.017 | 4.304 | ||
| 4 | 0.395 | 0.303 | 0.143 | 0.327 | 0.255 | 0.116 | 0.06 | 0.048 | 0.027 | ||
| Scenario 2: Multiple sensor failures (sensor 2 and sensor 4) | |||||||||||
| 1 | 0.894 | 0.705 | 0.968 | 4.993 | 0.678 | 4.846 | 4.10 | 0.025 | 3.878 | ||
| 2 | 0.705 | 0.362 | 0.505 | 4.752 | 5.350 | 4.780 | 4.217 | 4.998 | 4.273 | ||
| 3 | 0.968 | 0.303 | 0.143 | 0.327 | 0.255 | 0.116 | 0.06 | 0.048 | 0.027 | ||
© 2020 by the authors. Licensee MDPI, Basel, Switzerland. This article is an open access article distributed under the terms and conditions of the Creative Commons Attribution (CC BY) license (http://creativecommons.org/licenses/by/4.0/).
Share and Cite
Ul Mehmood, M.; Ulasyar, A.; Khattak, A.; Imran, K.; Sheh Zad, H.; Nisar, S. Cloud Based IoT Solution for Fault Detection and Localization in Power Distribution Systems. Energies 2020, 13, 2686. https://doi.org/10.3390/en13112686
Ul Mehmood M, Ulasyar A, Khattak A, Imran K, Sheh Zad H, Nisar S. Cloud Based IoT Solution for Fault Detection and Localization in Power Distribution Systems. Energies. 2020; 13(11):2686. https://doi.org/10.3390/en13112686
Chicago/Turabian StyleUl Mehmood, Mussawir, Abasin Ulasyar, Abraiz Khattak, Kashif Imran, Haris Sheh Zad, and Shibli Nisar. 2020. "Cloud Based IoT Solution for Fault Detection and Localization in Power Distribution Systems" Energies 13, no. 11: 2686. https://doi.org/10.3390/en13112686
APA StyleUl Mehmood, M., Ulasyar, A., Khattak, A., Imran, K., Sheh Zad, H., & Nisar, S. (2020). Cloud Based IoT Solution for Fault Detection and Localization in Power Distribution Systems. Energies, 13(11), 2686. https://doi.org/10.3390/en13112686


