Memory Effect and Fractional Differential Dynamics in Planar Microsupercapacitors Based on Multiwalled Carbon Nanotube Arrays
Abstract
1. Introduction
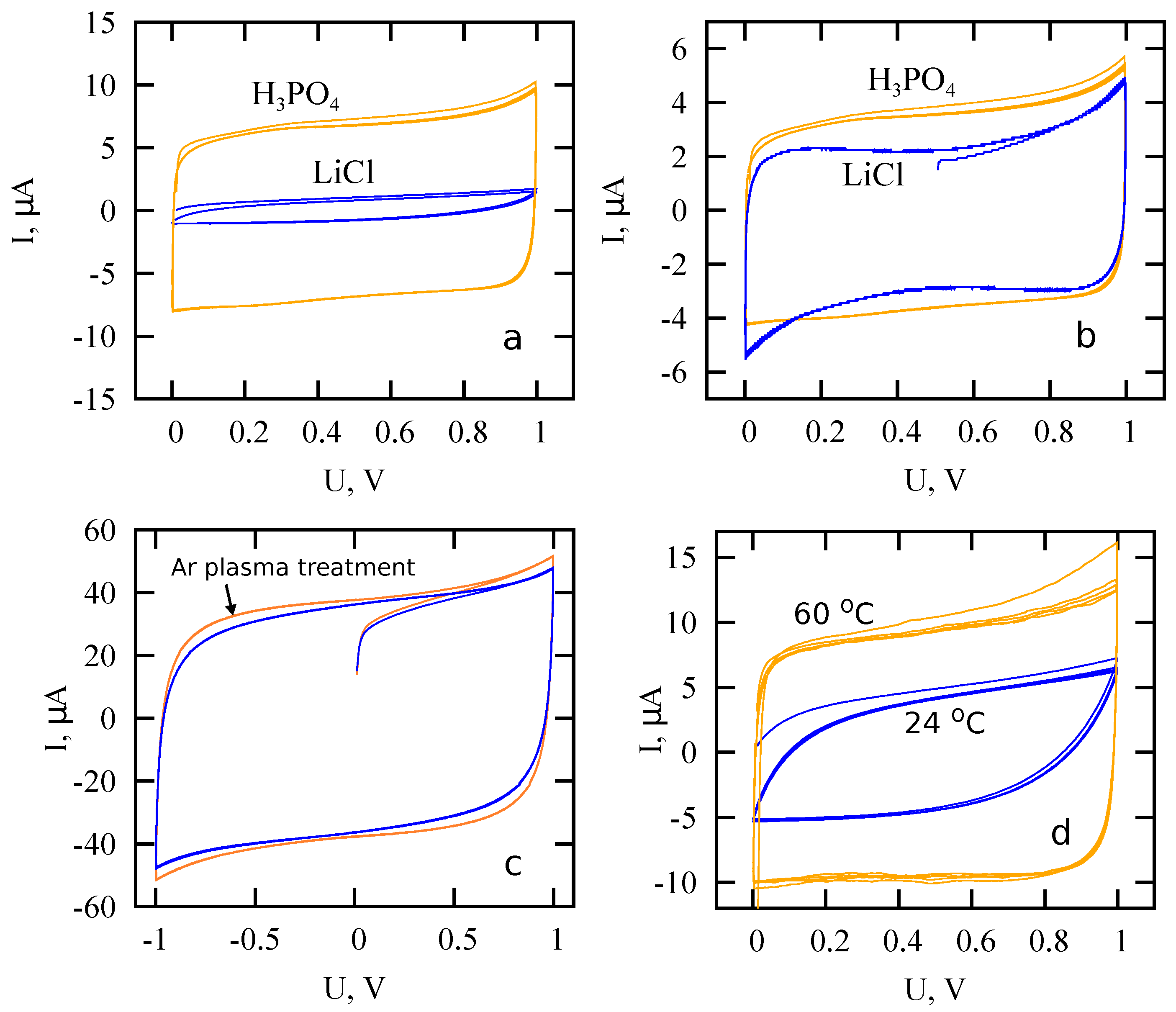
2. Carbon Nanotubes in Planar Microsupercapacitors
3. Linear Response and Anomalous Diffusion Model
- It is causal: if for all then for all .
- It is linear: for any pair of functions and of some family of functions and any pair of constants and , the following equality takes place:
- If the kernel K is invariant with respect to shift, , and for , we deal with the Standard Linear Response Theory (SRLT).
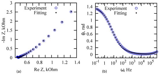
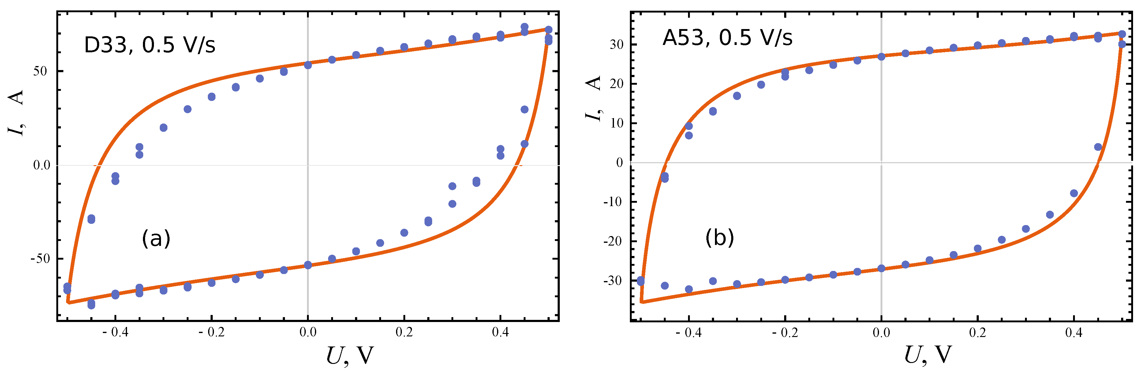
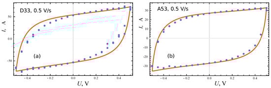
4. Equivalent Circuit Model
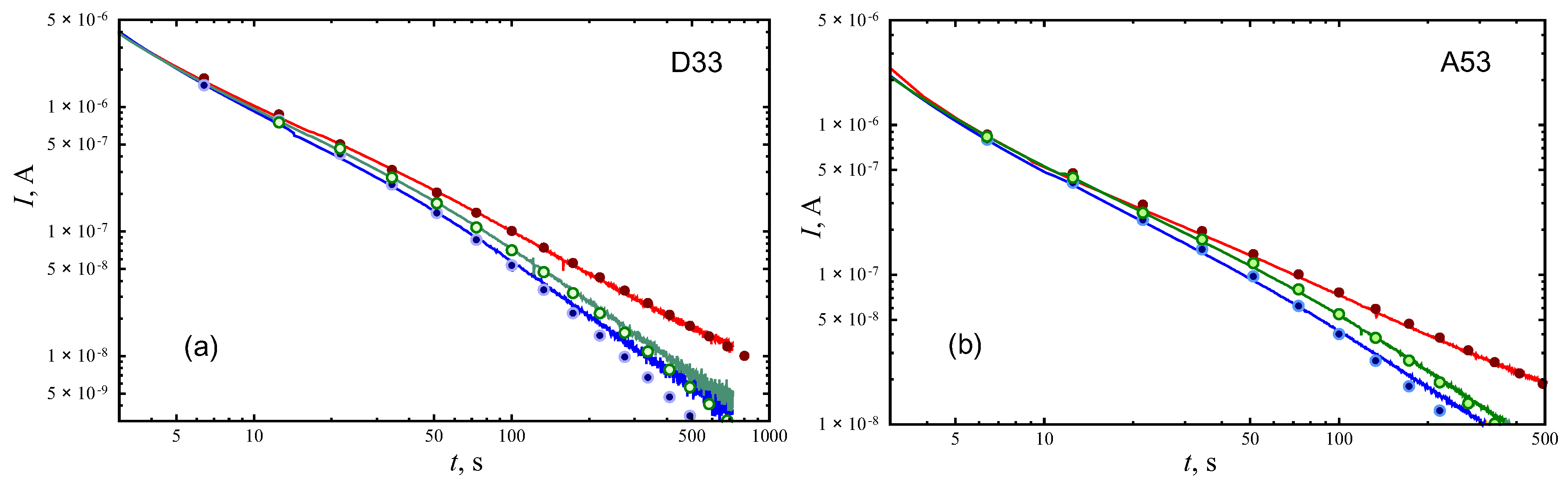
5. Distributed-Order Fractional Model
5.1. Subdiffusion Exponent Distributed Over Electrodes
5.2. Variation of Subdiffusion Order with MWCNT Height
6. Conclusions
Author Contributions
Funding
Conflicts of Interest
References
- Wu, Z.S.; Feng, X.; Cheng, H.M. Recent advances in graphene-based planar micro-supercapacitors for on-chip energy storage. Natl. Sci. Rev. 2014, 1, 277–292. [Google Scholar] [CrossRef]
- Chen, Y.T.; Ma, C.W.; Chang, C.M.; Yang, Y.J. Micromachined Planar Supercapacitor with Interdigital Buckypaper Electrodes. Micromachines 2018, 9, 242. [Google Scholar] [CrossRef]
- Hu, H.; Pei, Z.; Ye, C. Recent advances in designing and fabrication of planar micro-supercapacitors for on-chip energy storage. Energy Storage Mater. 2015, 1, 82–102. [Google Scholar] [CrossRef]
- Shao, Y.; Li, J.; Li, Y.; Wang, H.; Zhang, Q.; Kaner, R.B. Flexible quasi-solid-state planar micro-supercapacitor based on cellular graphene films. Mater. Horizons 2017, 4, 1145–1150. [Google Scholar] [CrossRef]
- Quintana, J.; Ramos, A.; Nuez, I. Identification of the fractional impedance of ultracapacitors. Fract. Differ. Its Appl. 2006, 2, 432–436. [Google Scholar] [CrossRef]
- Martin, R.; Quintana, J.J.; Ramos, A.; de la Nuez, I. Modeling of electrochemical double layer capacitors by means of fractional impedance. J. Comput. Nonlinear Dyn. 2008, 3, 021303. [Google Scholar] [CrossRef]
- Dzielinski, A.; Sierociuk, D. Ultracapacitor modelling and control using discrete fractional order state-space model. Acta Montan. Slovaca 2008, 13, 136–145. [Google Scholar]
- Bertrand, N.; Sabatier, J.; Briat, O.; Vinassa, J.M. Embedded fractional nonlinear supercapacitor model and its parametric estimation method. IEEE Trans. Ind. Electron. 2010, 57, 3991–4000. [Google Scholar]
- Elwakil, A.S. Fractional-order circuits and systems: An emerging interdisciplinary research area. IEEE Circuits Syst. Mag. 2010, 10, 40–50. [Google Scholar] [CrossRef]
- Freeborn, T.J.; Maundy, B.; Elwakil, A.S. Fractional-order models of supercapacitors, batteries and fuel cells: A survey. Mater. Renew. Sustain. Energy 2015, 4, 9. [Google Scholar] [CrossRef]
- Sibatov, R.; Uchaikin, V.; Ambrozevich, S. Fractional derivative formalism for non-destructive insulation diagnosis by polarization–depolarization current measurements. J. Vib. Control. 2016, 22, 2109–2119. [Google Scholar] [CrossRef]
- Jesus, I.S.; Tenreiro Machado, J. Application of integer and fractional models in electrochemical systems. Math. Probl. Eng. 2012, 2012, 248175. [Google Scholar] [CrossRef]
- Westerlund, S.; Ekstam, L. Capacitor theory. IEEE Trans. Dielectr. Electr. Insul. 1994, 1, 826–839. [Google Scholar] [CrossRef]
- Biswas, K.; Bohannan, G.; Caponetto, R.; Lopes, A.M.; Machado, J.A.T. Fractional-Order Devices; Springer: Berlin/Heidelberg, Germany, 2017. [Google Scholar]
- Gil’mutdinov, A.K.; Ushakov, P.A.; El-Khazali, R. Fractal Elements and their Applications; Springer: Berlin/Heidelberg, Germany, 2017. [Google Scholar]
- Sabatier, J. Fractional Order Models for Electrochemical Devices. In Fractional Dynamics; Sciendo Migration: Boston, MA, USA, 2015; pp. 141–160. [Google Scholar]
- Allagui, A.; Freeborn, T.J.; Elwakil, A.S.; Fouda, M.E.; Maundy, B.J.; Radwan, A.G.; Said, Z.; Abdelkareem, M.A. Review of fractional-order electrical characterization of supercapacitors. J. Power Sources 2018, 400, 457–467. [Google Scholar] [CrossRef]
- Kopka, R. Changes in Derivative Orders for Fractional Models of Supercapacitors as a Function of Operating Temperature. IEEE Access 2019, 7, 47674–47681. [Google Scholar] [CrossRef]
- Cahela, D.R.; Tatarchuk, B. Impedance modeling of nickel fiber/carbon fiber composite electrodes for electrochemical capacitors. In Proceedings of the IECON’97 23rd International Conference on Industrial Electronics, Control, and Instrumentation (Cat. No.97CH36066), New Orleans, LA, USA, 14 November 1997; Volume 3, pp. 1080–1085. [Google Scholar]
- Mahon, P.J.; Paul, G.L.; Keshishian, S.M.; Vassallo, A.M. Measurement and modelling of the high-power performance of carbon-based supercapacitors. J. Power Sources 2000, 91, 68–76. [Google Scholar] [CrossRef]
- Wang, Y.; Hartley, T.T.; Lorenzo, C.F.; Adams, J.L.; Carletta, J.E.; Veillette, R.J. Modeling ultracapacitors as fractional-order systems. In New Trends in Nanotechnology and Fractional Calculus Applications; Springer: Berlin/Heidelberg, Germany, 2010; pp. 257–262. [Google Scholar]
- Uchaikin, V.; Sibatov, R.; Ambrozevich, S. Comment on “Review of characterization methods for supercapacitor modelling”. J. Power Sources 2016, 307, 112–113. [Google Scholar] [CrossRef]
- Uchaikin, V.; Ambrozevich, A.; Sibatov, R.; Ambrozevich, S.; Morozova, E. Memory and nonlinear transport effects in charging–discharging of a supercapacitor. Tech. Phys. 2016, 61, 250–259. [Google Scholar] [CrossRef]
- Dzieliński, A.; Sarwas, G.; Sierociuk, D. Time domain validation of ultracapacitor fractional order model. In Proceedings of the 49th IEEE Conference on Decision and Control (CDC), Atlanta, GA, USA, 15–17 December 2010; pp. 3730–3735. [Google Scholar]
- Freeborn, T.J.; Maundy, B.; Elwakil, A.S. Measurement of supercapacitor fractional-order model parameters from voltage-excited step response. IEEE J. Emerg. Sel. Top. Circuits Syst. 2013, 3, 367–376. [Google Scholar] [CrossRef]
- Bertrand, N.; Sabatier, J.; Briat, O.; Vinassa, J.M. Fractional non-linear modelling of ultracapacitors. Commun. Nonlinear Sci. Numer. Simul. 2010, 15, 1327–1337. [Google Scholar] [CrossRef]
- Lebedev, E.; Kitsyuk, E.; Gavrilin, I.; Gromov, D.; Gruzdev, N.; Gavrilov, S.; Dronov, A.; Pavlov, A. Fabrication technology of CNT-Nickel Oxide based planar pseudocapacitor for MEMS and NEMS. J. Physics Conf. Ser. 2015, 643, 012092. [Google Scholar] [CrossRef]
- Uchaikin, V. On fractional differential Liouville equation describing open systems dynamics. Belgogrod State Univ. Sci. Bull. Math. Phys. 2014, 37, 58–67. [Google Scholar]
- Chechkin, A.V.; Gorenflo, R.; Sokolov, I.M.; Gonchar, V.Y. Distributed order time fractional diffusion equation. Fract. Calc. Appl. Anal. 2003, 6, 259–280. [Google Scholar]
- Sokolov, I.; Chechkin, A.; Klafter, J. Distributed-order fractional kinetics. arXiv 2004, arXiv:0401146. [Google Scholar]
- Allagui, A.; Freeborn, T.J.; Elwakil, A.S.; Maundy, B.J. Reevaluation of performance of electric double-layer capacitors from constant-current charge/discharge and cyclic voltammetry. Sci. Rep. 2016, 6, 38568. [Google Scholar] [CrossRef] [PubMed]
- Sibatov, R.T.; Uchaikin, V.V. Fractional kinetics of charge carriers in supercapacitors. Appl. Eng. Life Soc. Sci. 2019, 87. [Google Scholar] [CrossRef]
- Uchaikin, V.V.; Sibatov, R.T. Fractional Kinetics in Solids: Anomalous Charge Transport in Semiconductors, Dielectrics, and Nanosystems; World Scientific: Singapore, 2013. [Google Scholar]
- Metzler, R.; Klafter, J. The random walk’s guide to anomalous diffusion: A fractional dynamics approach. Phys. Rep. 2000, 339, 1–77. [Google Scholar] [CrossRef]
- Barkai, E.; Metzler, R.; Klafter, J. From continuous time random walks to the fractional Fokker–Planck equation. Phys. Rev. E 2000, 61, 132. [Google Scholar] [CrossRef]
- Metzler, R.; Barkai, E.; Klafter, J. Deriving fractional Fokker–Planck equations from a generalised master equation. EPL (Europhys. Lett.) 1999, 46, 431. [Google Scholar] [CrossRef]
- Samko, S.G.; Kilbas, A.A.; Marichev, O.I. Fractional Integrals and Derivatives; Gordon and Breach Science Publishers: Yverdon Yverdon-les-Bains, Switzerland, 1993; Volume 1993. [Google Scholar]
- Uchaikin, V.V. Self-similar anomalous diffusion and Levy-stable laws. Physics-Uspekhi 2003, 46, 821. [Google Scholar] [CrossRef]
- Balakrishnan, V. Anomalous diffusion in one dimension. Phys. A Stat. Mech. Its Appl. 1985, 132, 569–580. [Google Scholar] [CrossRef]
- Bisquert, J.; Compte, A. Theory of the electrochemical impedance of anomalous diffusion. J. Electroanal. Chem. 2001, 499, 112–120. [Google Scholar] [CrossRef]
- Lenzi, E.; Evangelista, L.; Barbero, G. Fractional diffusion equation and impedance spectroscopy of electrolytic cells. J. Phys. Chem. B 2009, 113, 11371–11374. [Google Scholar] [CrossRef] [PubMed]
- Ciuchi, F.; Mazzulla, A.; Scaramuzza, N.; Lenzi, E.; Evangelista, L. Fractional diffusion equation and the electrical impedance: Experimental evidence in liquid-crystalline cells. J. Phys. Chem. C 2012, 116, 8773–8777. [Google Scholar] [CrossRef]
- Sibatov, R.T.; Svetukhin, V.V.; Kitsyuk, E.P.; Pavlov, A.A. Fractional Differential Generalization of the Single Particle Model of a Lithium-Ion Cell. Electronics 2019, 8, 650. [Google Scholar] [CrossRef]
- Bondarenko, A.; Ragoisha, G. Progress in Chemometrics Research; Nova Science Publishers: New York, NY, USA, 2005; pp. 89–102. [Google Scholar]
- Valkó, P.P.; Abate, J. Comparison of sequence accelerators forthe Gaver method of numerical Laplace transform inversion. Comput. Math. Appl. 2004, 48, 629–636. [Google Scholar] [CrossRef]










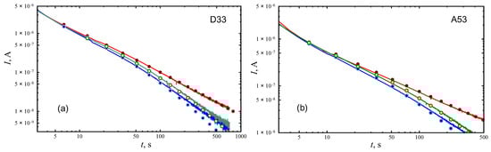
| Parameter | D33 | A54 |
|---|---|---|
| R, Ohm | 1450 | 1275 |
| , F | ||
| , Ohm | 0 | 0 |
| , sβ/Ohm | ||
| 1.0 | 0.91 | |
| , sα/Ohm | ||
| 0.70 | 0.78 |
© 2020 by the authors. Licensee MDPI, Basel, Switzerland. This article is an open access article distributed under the terms and conditions of the Creative Commons Attribution (CC BY) license (http://creativecommons.org/licenses/by/4.0/).
Share and Cite
Kitsyuk, E.P.; Sibatov, R.T.; Svetukhin, V.V. Memory Effect and Fractional Differential Dynamics in Planar Microsupercapacitors Based on Multiwalled Carbon Nanotube Arrays. Energies 2020, 13, 213. https://doi.org/10.3390/en13010213
Kitsyuk EP, Sibatov RT, Svetukhin VV. Memory Effect and Fractional Differential Dynamics in Planar Microsupercapacitors Based on Multiwalled Carbon Nanotube Arrays. Energies. 2020; 13(1):213. https://doi.org/10.3390/en13010213
Chicago/Turabian StyleKitsyuk, Evgeny P., Renat T. Sibatov, and Vyacheslav V. Svetukhin. 2020. "Memory Effect and Fractional Differential Dynamics in Planar Microsupercapacitors Based on Multiwalled Carbon Nanotube Arrays" Energies 13, no. 1: 213. https://doi.org/10.3390/en13010213
APA StyleKitsyuk, E. P., Sibatov, R. T., & Svetukhin, V. V. (2020). Memory Effect and Fractional Differential Dynamics in Planar Microsupercapacitors Based on Multiwalled Carbon Nanotube Arrays. Energies, 13(1), 213. https://doi.org/10.3390/en13010213

