Comparative Analysis of the Combustion Stability of Diesel-Methanol and Diesel-Ethanol in a Dual Fuel Engine
Abstract
1. Introduction
2. Materials and Methods
2.1. Cycle-to-Cycle Variability Determination
- -
- flow processes occurring in the engine cylinder,
- -
- variability of air-fuel ratio in individual cycles,
- -
- uneven composition of the combustible mixture in the cylinder due to incomplete mixing of air, fuel and residual gas,
- -
- ignition non-repeatability.
2.2. Test Stand
- -
- compression ignition engine 1CA90,
- -
- digital acquisition system for analysis of fast changing data consisted of: pressure transducer, Kistler 6061B of sensitivity: ±0.5%, charge amplifier, Kistler 5011B of linearity of FS < ±0.05%, data acquisition module, crank angle encoder, resolution of 360 pulses/rev, Measurement Computing USB-1608HS–16 bits resolution of sampling frequency 20 kHz,
- -
- exhaust gas analyzer Bosch BEA 350 for:
THC: range 0–9999 ppm vol, accuracy: 12 ppm vol, CO: range 0–10% vol, accuracy: 0.06% vol, CO2: range 0–18% vol, accuracy: 0.4% vol, O2: range 0–22% vol, accuracy: 0.1% vol, λ: range 0.5–9.999 accuracy: 0.01, NOx: range: 0–5000 ppm, According to OIML R99 Ed. 1998. - -
- Roots flowmeter Common CGR-01, range 0.2 650 m3/h, accuracy < ±1%.
- -
- temperature sensor TP-204K-1b-100-1.5, range +200 °C, resolution 0.1 °C.
2.3. Fuels
3. Results and Discussion
3.1. Combustion Characteristics
3.2. Cycle-to-Cycle Variation of the Engine
4. Conclusions
- -
- presence and increase in the share of methanol and ethanol used for co-combustion with diesel causes an increase in compression ignition delay and increases the heat release rate and maximum combustion pressure values,
- -
- for high energy percentages of over 30%, methanol, compared to ethyl alcohol, turned out to be a fuel that is accompanied by a higher rate of charge combustion, contributing to intensification of the process and the increase in the contribution of the kinetic combustion period while decreasing the contribution of the diffusion combustion stage,
- -
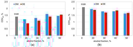
- the analysis of the operation of a dual fuel engine based on the value of the coefficient of variation of the indicated mean effective pressure (COVIMEP) for 200 operation cycles revealed an improvement in the stability of its operation with an increase in the percentage of alcohol. With the largest share of alcohol (50%), methanol proved to be a better fuel than ethanol. For DM50, the lowest COVIMEP value of 1.63% was obtained.
- -
- based on the function of probability density of the indicated mean effective pressure (f(IMEP)) prepared for 200 engine operation cycles, it can be concluded that the increase in the percentage of alcohol fuel used for co-combustion with diesel is conducive to stability of operation of the dual-fuel engine. For a 50% share of alcoholic fuel, the higher value of f(IMEP), which demonstrates better engine stability, was characterized by methanol and was equal to 37.5%.
- -
- assessment of engine operation stability based on the probability density function of selected engine performance parameters such as indicated mean effective pressure, leads to results similar to those obtained from the assessment based on the analysis of changes in the coefficient of variation of the indicated mean effective pressure,
- -
- with the increase in the percentage of methanol and ethanol used for co-combustion with diesel, the dependence of the indicated mean effective pressure on the maximum combustion pressure becomes lower. Although combustion in a dual fuel engine was characterized by greater differences in maximum pressure compared to combustion in a conventional engine, the values of the indicated mean effective pressure (that reflect engine performance) were similar for both engines.
Author Contributions
Funding
Conflicts of Interest
Abbreviations
| CI | compression ignition engine |
| IMEP | indicated mean effective pressure, MPa |
| pmax | maximum pressure, MPa |
| COVIMEP | coefficient of variation of the indicated mean effective pressure, % |
| COVpp | coefficient of variation of peak pressure, % |
| σIMEP | standard deviation of the IMEP, MPa |
| σpmax | standard deviation of peak pressure, MPa |
| f(IMEP) | probability density of the indicated mean effective pressure, % |
| HRR | heat release rate, J/deg |
| Vd | displaced cylinder volume, m3 |
| p | pressure, bar |
| n | engine speed, rpm |
| TDC | top dead centre |
| λ | excess air ratio |
| SOI | start of injection |
| NOx | nitrogen oxides |
| THC | total hydrocarbons |
| CO | carbon monoxide |
| CO2 | carbon dioxide |
| O2 | oxygen |
| PM | particulate matter |
References
- Yoon, S.K.; Kim, M.S.; Kim, H.J.; Choi, N.J. Effects of canola oil biodiesel fuel blends on combustion, performance, and emissions reduction in a common rail diesel engine. Energies 2014, 7, 8132–8149. [Google Scholar] [CrossRef]
- Qasim, M.; Ansari, T.M.; Hussain, M. Combustion, performance, and emission evaluation of a diesel engine with biodiesel like fuel blends derived from a mixture of Pakistani waste canola and waste transformer oils. Energies 2017, 10, 1023. [Google Scholar] [CrossRef]
- Tutak, W.; Jamrozik, A.; Bereczky, Á.; Lukács, K. Effects of injection timing of diesel fuel on performance and emission of dual fuel diesel engine powered by diesel/E85 fuels. Transport 2018, 33, 633–646. [Google Scholar] [CrossRef]
- Chen, Z.; Yao, C.; Wang, Q.; Han, G.; Dou, Z.; Wei, H.; Wang, B.; Liu, M.; Wu, T. Study of cylinder-to-cylinder variation in a diesel engine fueled with diesel/methanol dual fuel. Fuel 2016, 170, 67–76. [Google Scholar] [CrossRef]
- Directive 2009/28/EC of the European Parliament and of the Council, 23 April 2009. 2017. Available online: http://eur-lex.europa.eu/legal-content/PL/ALL/?uri=celex%3A32009L0028/ (accessed on 12 January 2019).
- Atmanli, A.; Yilmaz, N. A comparative analysis of n-butanol/diesel and 1-pentanol/diesel blends in a compression ignition engine. Fuel 2018, 234, 161–169. [Google Scholar] [CrossRef]
- Yilmaz, N.; Atmanli, A.; Vigil, F.M. Quaternary blends of diesel, biodiesel, higher alcohols and vegetable oil in a compression ignition engine. Fuel 2018, 212, 462–469. [Google Scholar] [CrossRef]
- Ge, J.C.; Kim, M.S.; Yoon, S.K.; Choi, N.J. Effects of pilot injection timing and EGR on combustion, performance and exhaust emissions in a common rail diesel engine fueled with a canola oil biodiesel-diesel blend. Energies 2015, 8, 7312–7325. [Google Scholar] [CrossRef]
- Tutak, W.; Jamrozik, A.; Gnatowska, R. Combustion of different reactivity fuel mixture in a dual fuel engine. Therm. Sci. 2018, 22/3, 1285–1297. [Google Scholar] [CrossRef]
- Jamrozik, A.; Tutak, W.; Gruca, M.; Pyrc, M. Performance, emission and combustion characteristics of CI dual fuel engine powered by diesel/ethanol and diesel/gasoline fuels. J. Mech. Sci. Technol. 2018, 32, 2947–2957. [Google Scholar] [CrossRef]
- Zahos-Siagos, I.; Karathanassis, V.; Karonis, D. Exhaust Emissions and Physicochemical Properties of n-Butanol/Diesel Blends with 2-Ethylhexyl Nitrate (EHN) or Hydrotreated Used Cooking Oil (HUCO) as Cetane Improvers. Energies 2018, 11, 3413. [Google Scholar] [CrossRef]
- Kamaraj, R.K.; Raghuvaran, J.G.T.; Panimayam, A.F.; Allasi, H.L. Performance and Exhaust Emission Optimization of a Dual Fuel Engine by Response Surface Methodology. Energies 2018, 11, 3508. [Google Scholar] [CrossRef]
- Tutak, W.; Jamrozik, A.; Pyrc, M.; Sobiepański, M. Investigation on combustion process and emissions characteristic in direct injection diesel engine powered by wet ethanol using blend mode. Fuel Process. Technol. 2016, 149, 86–95. [Google Scholar] [CrossRef]
- Tutak, W.; Jamrozik, A.; Pyrc, M.; Sobiepański, M. A comparative study of co-combustion process of diesel-ethanol and biodiesel-ethanol blends in the direct injection diesel engine. Appl. Therm. Eng. 2017, 117, 155–163. [Google Scholar] [CrossRef]
- Tutak, W.; Lukács, K.; Szwaja, S.; Bereczky, Á. Alcohol–diesel fuel combustion in the compression ignition engine. Fuel 2015, 154, 196–206. [Google Scholar] [CrossRef]
- Tutak, W. Bioethanol E85 as a fuel for dual fuel diesel engine. Energy Convers. Manag. 2014, 86, 39–48. [Google Scholar] [CrossRef]
- Kuszewski, H. Experimental investigation of the effect of ambient gas temperature on the auto-ignition properties of ethanol–diesel fuel blends. Fuel 2018, 214, 26–38. [Google Scholar] [CrossRef]
- Huang, H.; Liu, Q.; Teng, W.; Pan, M.; Liu, Ch.; Wang, Q. Improvement of combustion performance and emissions in diesel engines by fueling n-butanol/diesel/PODE3–4 mixtures. Appl. Energy 2018, 227, 38–48. [Google Scholar] [CrossRef]
- Paul, A.; Panua, R.; Debroy, D. An experimental study of combustion, performance, exergy and emission characteristics of a CI engine fueled by diesel-ethanol-biodiesel blends. Energy 2017, 141, 839–852. [Google Scholar] [CrossRef]
- Alptekin, E. Evaluation of ethanol and isopropanol as additives with diesel fuel in a CRDI diesel engine. Fuel 2017, 205, 161–172. [Google Scholar] [CrossRef]
- Wei, L.; Yao, C.; Han, G.; Pan, W. Effects of methanol to diesel ratio and diesel injection timing on combustion, performance and emissions of a methanol port premixed diesel engine. Energy 2016, 95, 223–232. [Google Scholar] [CrossRef]
- Al-Hassan, M.; Mujafet, H.; Al-Shannag, M. An experimental study on the solubility of a diesel-ethanol blend and on the performance of a diesel engine fueled with diesel-biodiesel-ethanol blends. Jordan J. Mech. Ind. Eng. 2012, 6, 147–153. [Google Scholar]
- Jamrozik, A. The effect of the alcohol content in the fuel mixture on the performance and emissions of a direct injection diesel engine fueled with diesel-methanol and diesel-ethanol blends. Energy Convers. Manag. 2017, 148, 461–476. [Google Scholar] [CrossRef]
- Singh, P.; Chauhan, S.R.; Goel, V. Assessment of diesel engine combustion, performance and emission characteristics fuelled with dual fuel blends. Renew. Energy 2018, 125, 501–510. [Google Scholar] [CrossRef]
- Jamrozik, A.; Tutak, W.; Pyrc, M.; Sobiepański, M. Experimental investigations on combustion, performance and emission characteristics of stationary CI engine fuelled with diesel-methanol and biodiesel-methanol blends. Environ. Prog. Sustain. Energy 2017, 36, 1151–1163. [Google Scholar] [CrossRef]
- Li, T.; Zhang, X.Q.; Wang, B.; Guo, T.; Shi, Q.; Zheng, M. Characteristics of non-evaporating, evaporating and burning sprays of hydrous ethanol diesel emulsified fuels. Fuel 2017, 191, 251–265. [Google Scholar] [CrossRef]
- Liu, H.; Ma, G.; Hu, B.; Zheng, Z.; Yao, M. Effects of port injection of hydrous ethanol on combustion and emission characteristics in dual-fuel reactivity controlled compression ignition (RCCI) mode. Energy 2018, 145, 592–602. [Google Scholar] [CrossRef]
- Kyrtatos, P.; Brückner, C.; Boulouchos, K. Cycle-to-cycle variations in diesel engines. Appl. Energy 2016, 171, 120–132. [Google Scholar] [CrossRef]
- Yasin, M.H.; Mamat, R.; Abdullah, A.A.; Abdullah, N.R.; Wyszynski, M.L. Cycle-to-Cycle Variations of a Diesel Engine Operating with Palm Biodiesel. J. Kones 2013, 20/3, 443–450. [Google Scholar]
- Kyrtatos, P.; Zivolic, A.; Brückner, C.; Boulouchos, K. Cycle-to-cycle variations of NO emissions in diesel engines under long ignition delay conditions. Combust. Flame 2017, 178, 82–96. [Google Scholar] [CrossRef]
- Pedrozo, V.B.; May, I.; Guan, W.; Zhao, H. High efficiency ethanol-diesel dual-fuel combustion: A comparison against conventional diesel combustion from low to full engine load. Fuel 2018, 230, 440–451. [Google Scholar] [CrossRef]
- Taylor, J.R. Introduction to Error Analysis: The Study of Uncertainties in Physical Measurements; University Science Books: Sausalito, CA, USA, 1997. [Google Scholar]
- Fayyazbakhsh, A.; Pirouzfar, V. Comprehensive overview on diesel additives to reduce emissions, enhance fuel properties and improve engine performance. Renew. Sustain. Energy Rev. 2017, 74, 891–901. [Google Scholar] [CrossRef]
- Yusri, I.M.; Mamat, R.; Najafi, G.; Razman, A.; Awad, O.I.; Azmi, W.H.; Ishak, W.F.W.; Shaiful, A.I.M. Alcohol based automotive fuels from first four alcohol family in compression and spark ignition engine: A review on engine performance and exhaust emissions. Renew. Sustain. Energy Rev. 2017, 77, 169–181. [Google Scholar] [CrossRef]
- Heywood, J.B. Internal Combustion Engine Fundamentals, 2nd ed.; McGraw-Hill Education: New York, NY, USA, 2018. [Google Scholar]
- Kumar, M.S.; Nataraj, G.; Arulselvan, S. A comprehensive assessment on the effect of high octane fuels induction on engine’s combustion behaviour of a Mahua oil based dual fuel engine. Fuel 2017, 199, 176–184. [Google Scholar] [CrossRef]
- Wei, L.; Yao, C.; Wang, Q.; Pan, W.; Han, G. Combustion and emission characteristics of a turbocharged diesel engine using high premixed ratio of methanol and diesel fuel. Fuel 2015, 140, 156–163. [Google Scholar] [CrossRef]
- Liu, J.; Yao, A.; Yao, C. Effects of injection timing on performance and emissions of a HD diesel engine with DMCC. Fuel 2014, 134, 107–113. [Google Scholar] [CrossRef]
- Jamuwa, D.K.; Sharma, D.; Soni, S.L. Experimental investigation of performance, exhaust emission and combustion parameters of stationary compression ignition engine using ethanol fumigation in dual fuel mode. Energy Convers. Manag. 2016, 115, 221–231. [Google Scholar] [CrossRef]
- Li, Y.; Zhang, C.; Yu, W.; Wu, H. Effects of rapid burning characteristics on the vibration of a common-rail diesel engine fueled with diesel-methanol dual-fuel. Fuel 2016, 170, 176–184. [Google Scholar] [CrossRef]
- Chen, Z.; Yao, C.; Yao, A.; Dou, Z.; Wang, B.; Wei, H.; Liu, M.; Chen, C.; Shi, J. The impact of methanol injecting position on cylinder-to-cylinder variation in a diesel methanol dual fuel engine. Fuel 2017, 191, 150–163. [Google Scholar] [CrossRef]
- Reyes, M.; Tinaut, F.V.; Giménez, B.; Pérez, A. Characterization of cycle-to-cycle variations in a natural gas spark ignition engine. Fuel 2015, 140, 752–761. [Google Scholar] [CrossRef]
- Li, G.; Zhang, C.; Li, Y. Effects of diesel injection parameters on the rapid combustion and emissions of an HD common-rail diesel engine fueled with diesel-methanol dual-fuel. Appl. Therm. Eng. 2016, 108, 1214–1225. [Google Scholar] [CrossRef]
- Liu, J.; Yao, A.; Yao, C. Effects of diesel injection pressure on the performance and emissions of a HD common-rail diesel engine fueled with diesel/methanol dual fuel. Fuel 2015, 140, 192–200. [Google Scholar] [CrossRef]








| Parameter | Value | Unit |
|---|---|---|
| Displacement volume | 0.000573 | m3 |
| Bore | 90 | mm |
| Stroke | 90 | mm |
| Compression ratio | 17:1 | - |
| Rated power | 7 | kW |
| Crankshaft rotational speed | 1500 | rpm |
| Diesel injection pressure | 21 | MPa |
| Alcohol injection pressure | 0.3 | MPa |
| Injection timing | 17 | deg bTDC |
| Properties | Unit | Diesel | Methanol | Ethanol |
|---|---|---|---|---|
| Molecular formula | - | C14H30 | CH3OH | C2H5OH |
| Molecular weight | g | 198.4 | 32.04 | 46.068 |
| Cetane number | - | 51 | 3 | 8 |
| Research octane number | - | 15–25 | 136 | 129 |
| Boiling point | K | 453–643 | 338 | 351 |
| Liquid density | kg/m3 | 840 | 796 | 789 |
| Lower heating value (LHV) | MJ/kg | 42.5 | 19.5 | 26.9 |
| LHV of stoichiometric mixture | MJ/kg | 2.85 | 2.68 | 2.69 |
| Heat of evaporation | MJ/kg | 243 | 1100 | 840 |
| Auto-ignition temperature | K | 503 | 736 | 698 |
| Stoichiometric air-fuel ratio | - | 14.6 | 6.45 | 9.06 |
| Viscosity (at 40 °C) | cSt | 4.59 | 0.65 | 1.52 |
| Carbon content | % | 85 | 37.5 | 52.2 |
| Hydrogen content | % | 15 | 12.5 | 13 |
| Oxygen content | % | 0 | 50 | 34.8 |
© 2019 by the authors. Licensee MDPI, Basel, Switzerland. This article is an open access article distributed under the terms and conditions of the Creative Commons Attribution (CC BY) license (http://creativecommons.org/licenses/by/4.0/).
Share and Cite
Jamrozik, A.; Tutak, W.; Gnatowska, R.; Nowak, Ł. Comparative Analysis of the Combustion Stability of Diesel-Methanol and Diesel-Ethanol in a Dual Fuel Engine. Energies 2019, 12, 971. https://doi.org/10.3390/en12060971
Jamrozik A, Tutak W, Gnatowska R, Nowak Ł. Comparative Analysis of the Combustion Stability of Diesel-Methanol and Diesel-Ethanol in a Dual Fuel Engine. Energies. 2019; 12(6):971. https://doi.org/10.3390/en12060971
Chicago/Turabian StyleJamrozik, Arkadiusz, Wojciech Tutak, Renata Gnatowska, and Łukasz Nowak. 2019. "Comparative Analysis of the Combustion Stability of Diesel-Methanol and Diesel-Ethanol in a Dual Fuel Engine" Energies 12, no. 6: 971. https://doi.org/10.3390/en12060971
APA StyleJamrozik, A., Tutak, W., Gnatowska, R., & Nowak, Ł. (2019). Comparative Analysis of the Combustion Stability of Diesel-Methanol and Diesel-Ethanol in a Dual Fuel Engine. Energies, 12(6), 971. https://doi.org/10.3390/en12060971

