A Comparative Study on the Switching Performance of GaN and Si Power Devices for Bipolar Complementary Modulated Converter Legs
Abstract
:1. Introduction
2. Experiment Platform
3. Comparative Study of Elementary Static and Dynamic Characteristics
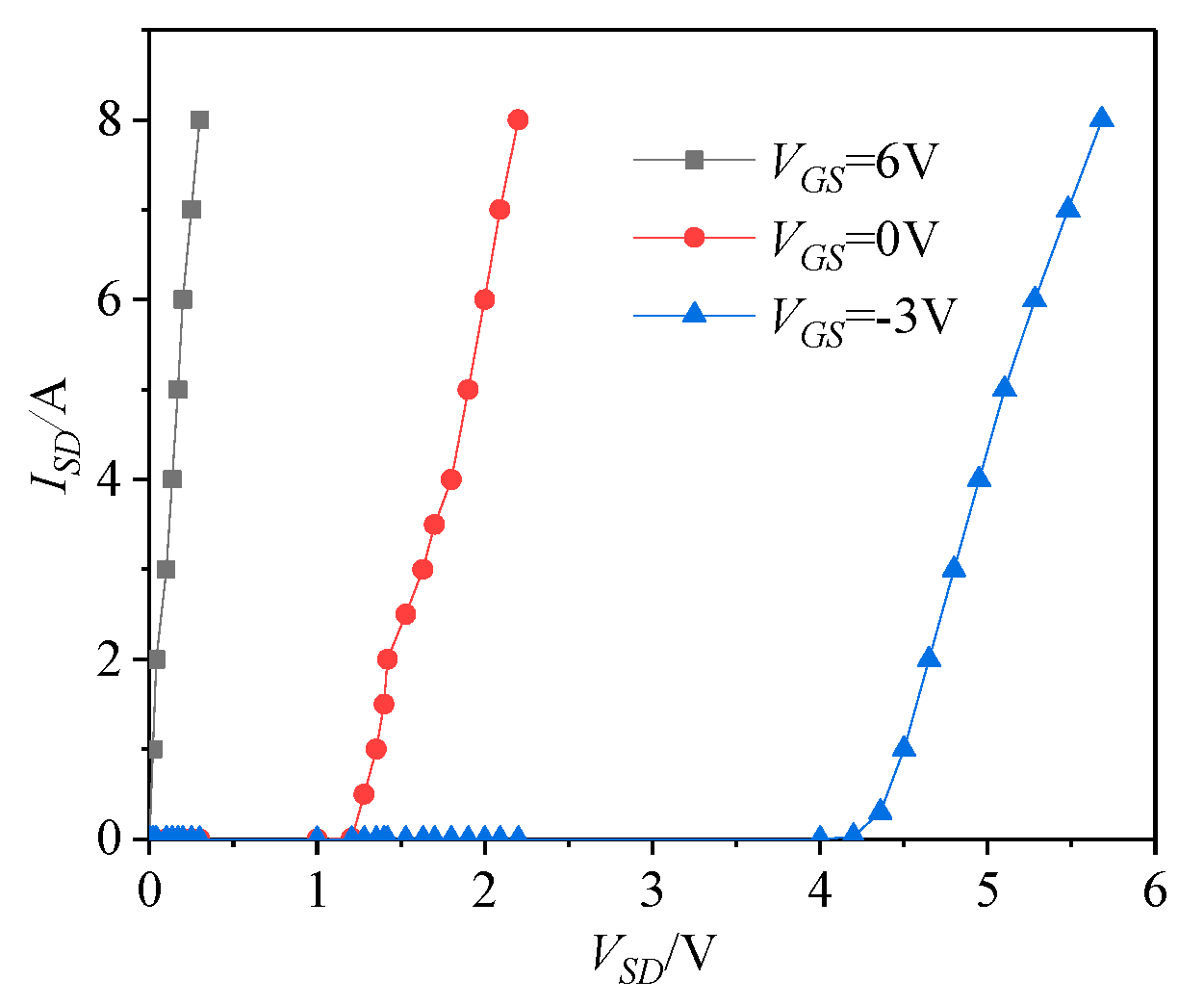
3.1. Static Characteristic
3.2. Dynamic Characteristics
4. Element Loss Measurement and Analysis
4.1. Switching Losses
4.2. Reverse Conduction Loss
4.3. Forward Conduction Loss
5. Converter Performance Analysis
5.1. Overall Efficiency of the Complementary Buck Converter Leg
5.2. Common Mode Interference
6. Conclusions
Author Contributions
Funding
Conflicts of Interest
References
- Ikeda, N.; Niiyama, Y.; Kambayashi, H.; Sato, Y.; Nomura, T.; Kato, S.; Yoshida, S. GaN Power Transistors on Si Substrates for Switching Applications. Proc. IEEE 2010, 98, 1151–1161. [Google Scholar] [CrossRef]
- Cen, K.; Jianjun, Z.; Yuechan, K.; Kai, Z.; Tangsheng, C. Enhancement-mode GaN HEMT power electronic device with low specific on resistance. In Proceedings of the 2017 14th China International Forum on Solid State Lighting: International Forum on Wide Bandgap Semiconductors China (SSLChina: IFWS), Beijing, China, 1–3 November 2017; pp. 183–185. [Google Scholar]
- Jones, E.A.; Wang, F.F.; Costinett, D. Review of Commercial GaN Power Devices and GaN-Based Converter Design Challenges. IEEE J. Emerg. Sel. Top. Power Electron. 2016, 4, 707–719. [Google Scholar] [CrossRef]
- Xie, R.; Wang, H.; Tang, G.; Yang, X.; Chen, K.J. An Analytical Model for False Turn-On Evaluation of High-Voltage Enhancement-Mode GaN Transistor in Bridge-Leg Configuration. IEEE Trans. Power Electron. 2017, 32, 6416–6433. [Google Scholar] [CrossRef]
- Chow, T.P. Wide bandgap semiconductor power devices for energy efficient systems. In Proceedings of the 2015 IEEE 3rd Workshop on Wide Bandgap Power Devices and Applications (WiPDA), Blacksburg, VA, USA, 2–4 November 2015; pp. 402–405. [Google Scholar]
- Chowdhury, S.; Stum, Z.; Li, Z.D.; Ueno, K.; Chow, T.P. Comparison of 600V Si SiC and GaN power devices. Mater. Sci. Forum 2014, 778, 971–974. [Google Scholar] [CrossRef]
- Millan, J.; Godignon, P.; Perpina, X.; Perez-Tomas, A.; Rebollo, J. A survey of wide bandgap power semiconductor devices. IEEE Trans. Power Electron. 2014, 29, 2155–2163. [Google Scholar] [CrossRef]
- Xue, F.; Yu, R.; Huang, A.Q. A 98.3% Efficient GaN Isolated Bidirectional DC–DC Converter for DC Microgrid Energy Storage System Applications. IEEE Trans. Ind. Electron. 2017, 64, 9094–9103. [Google Scholar] [CrossRef]
- Lu, J.; Liu, G.; Bai, H.; Brown, A.; Johnson, P.M.; McAmmond, M.; Taylor, A.R. Applying Variable-Switching-Frequency Variable-Phase-Shift Control and E-Mode GaN HEMTs to an Indirect Matrix Converter-Based EV Battery Charger. IEEE Trans. Transp. Electrif. 2017, 3, 554–564. [Google Scholar] [CrossRef]
- Choi, H.-S. Improvement of turn-off energy loss (Eoff) variations by low Mg doping in p-GaN gate power devices. Electron. Lett. 2017, 53, 196–198. [Google Scholar] [CrossRef]
- Choi, H. Remained p-GaN effect to turn-off energy loss (Eoff) in p-GaN gate power devices. Electron. Lett. 2015, 51, 523–525. [Google Scholar] [CrossRef]
- Hou, R.; Lu, J.; Chen, D. Parasitic capacitance Eqoss loss mechanism, calculation, and measurement in hard-switching for GaN HEMTs. In Proceedings of the 2018 IEEE Applied Power Electronics Conference and Exposition (APEC), San Antonio, TX, USA, 4–8 March 2018; pp. 919–924. [Google Scholar]
- Hou, R.; Xu, J.; Chen, D. A multivariable turn-on/turn-off switching loss scaling approach for high-voltage GaN HEMTs in a hard-switching half-bridge configuration. In Proceedings of the 2017 IEEE 5th Workshop on Wide Bandgap Power Devices and Applications (WiPDA), Albuquerque, NM, USA, 30 October–1 November 2017; pp. 171–176. [Google Scholar]
- Chou, P.-C.; Chen, S.-H.; Hsieh, T.-E.; Cheng, S.; del Alamo, J.; Chang, E. Evaluation and Reliability Assessment of GaN-on-Si MIS-HEMT for Power Switching Applications. Energies 2017, 10, 233. [Google Scholar] [CrossRef]
- Meneghini, M.; Hilt, O.; Wuerfl, J.; Meneghesso, G. Technology and Reliability of Normally-Off GaN HEMTs with p-Type Gate. Energies 2017, 10, 153. [Google Scholar] [CrossRef]
- Lautner, J.; Piepenbreier, B. Analysis of GaN HEMT switching behavior. In Proceedings of the 2015 9th International Conference on Power Electronics and ECCE Asia (ICPE-ECCE Asia), Seoul, Korea, 1–4 June 2015; pp. 567–574. [Google Scholar]
- Aghdam, G.H. Model characterization and performance evaluation of GaN FET in DC-DC POL regulators. In Proceedings of the 2015 IEEE International Telecommunications Energy Conference (INTELEC), Osaka, Japan, 18–22 October 2015; pp. 1–4. [Google Scholar]
- Lee, W.; Han, D.; Choi, W.; Sarlioglu, B. Reducing reverse conduction and switching losses in GaN HEMT-based high-speed permanent magnet brushless dc motor drive. In Proceedings of the 2017 IEEE Energy Conversion Congress and Exposition (ECCE), Cincinnati, OH, USA, 1–5 October 2017; pp. 3522–3528. [Google Scholar]
- Han, D.; Li, S.; Wu, Y.; Choi, W.; Sarlioglu, B. Comparative Analysis on Conducted CM EMI Emission of Motor Drives: WBG Versus Si Devices. IEEE Trans. Ind. Electron. 2017, 64, 8353–8363. [Google Scholar] [CrossRef]
- Gong, X.; Ferreira, J.A. Comparison and reduction of conducted EMI in SiC JFET and Si IGBT-based motor drives. IEEE Trans. Power Electron. 2014, 29, 1757–1767. [Google Scholar] [CrossRef]



















| Device | Rated Voltage | Rated Current | Conduction Characteristic | Reverse Conducting Voltage Drop (VF) |
|---|---|---|---|---|
| GS66516T | 650 V | 60 A | RDS(on) = 25 mΩ | 5.28 V ( = −3 V) 0.2 V ( = 6 V) |
| FS50R06W1E3 | 600 V | 50 A | = 1.60 V | 1.50 V |
| Parameters | IDC/A | ||
|---|---|---|---|
| Value | 300 | 50 | 2 or 0.2 |
© 2019 by the authors. Licensee MDPI, Basel, Switzerland. This article is an open access article distributed under the terms and conditions of the Creative Commons Attribution (CC BY) license (http://creativecommons.org/licenses/by/4.0/).
Share and Cite
Wang, B.; Dong, S.; Jiang, S.; He, C.; Hu, J.; Ye, H.; Ding, X. A Comparative Study on the Switching Performance of GaN and Si Power Devices for Bipolar Complementary Modulated Converter Legs. Energies 2019, 12, 1146. https://doi.org/10.3390/en12061146
Wang B, Dong S, Jiang S, He C, Hu J, Ye H, Ding X. A Comparative Study on the Switching Performance of GaN and Si Power Devices for Bipolar Complementary Modulated Converter Legs. Energies. 2019; 12(6):1146. https://doi.org/10.3390/en12061146
Chicago/Turabian StyleWang, Baochao, Shili Dong, Shanlin Jiang, Chun He, Jianhui Hu, Hui Ye, and Xuezhen Ding. 2019. "A Comparative Study on the Switching Performance of GaN and Si Power Devices for Bipolar Complementary Modulated Converter Legs" Energies 12, no. 6: 1146. https://doi.org/10.3390/en12061146
APA StyleWang, B., Dong, S., Jiang, S., He, C., Hu, J., Ye, H., & Ding, X. (2019). A Comparative Study on the Switching Performance of GaN and Si Power Devices for Bipolar Complementary Modulated Converter Legs. Energies, 12(6), 1146. https://doi.org/10.3390/en12061146

