Well-Placement Optimization in an Enhanced Geothermal System Based on the Fracture Continuum Method and 0-1 Programming
Abstract
1. Introduction
2. Method
2.1. Fracture Continuum Method
2.1.1. Backbone Network’s Extraction
2.1.2. Permeability Mapping Approach
2.2. Governing Equation
2.3. Well-Placement Optimization of EGS FCM Model
2.3.1. Well-Placement Optimization Problem with 0-1 Programming
2.3.2. Genetic Algorithm
- Initialization: N individuals are randomly generated before iterations, which is used as the first generation in GA.
- Fitness calculation: the fitness (objective function) of each individual is calculated by a numerical simulation.
- Selection: roulette is used to select parent individuals from the current population, which means that individuals with greater fitness are more likely to be selected, and the selected individuals enter the parents pool.
- Crossover: do the single-point crossover of individuals in the parent pool based on crossover probability.
- Mutation: single-point mutation is employed to make small random changes in the individuals in the parent pool
- Elitist strategy: an elitist strategy is applied in the process of evolution. The individual with the best fitness in the current generation is retained to the next generation without crossover and mutation.
- Stopping criteria: when the number of generations achieves the pre-set value, GA will stop.
- Constraint: the constraint in this work is the number of wells. The first generation is initialized in the feasible region, and the infeasible solution generated in the iteration will be repaired.
- Repair method: the production well closest to the center would be removed if the number of wells is above the upper bound of the number of wells, and the well would be added at random locations if the number of wells is below the lower bound.
3. A Well-Placement Optimization Case
3.1. Computational Model
3.2. Model Parameters
3.3. Objective Function
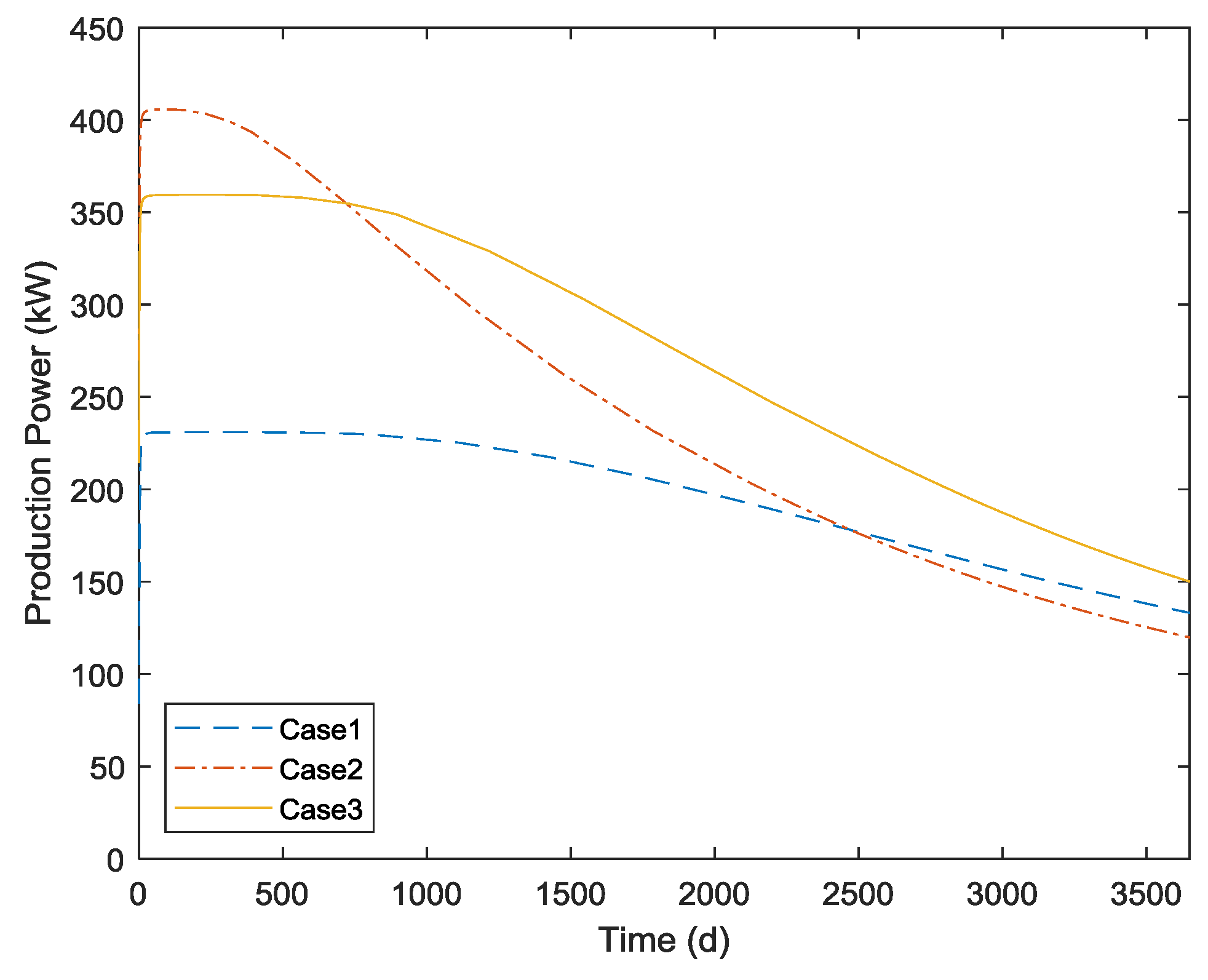
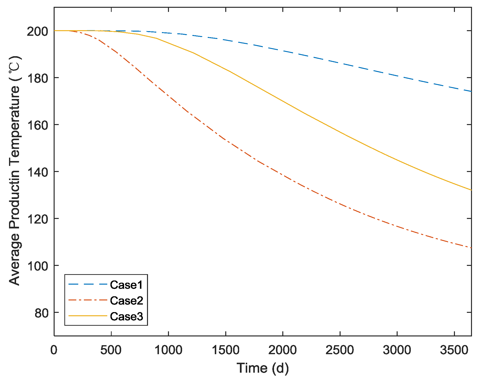
3.4. Results and Discussion
4. Conclusions and Future Work
- The developed framework is efficient in the EGS well-placement optimization problem. The extracted thermal energy, which was the objective function, has increased in the convergence process of GA. And the optimization result shows better performance than comparison.
- The FCM model can reflect the effect of fractures on seepage and heat transfer to a certain extent.
- Regarding the well-placement optimization problem as a 0-1 programming problem can reduce the potential well-placements and improve the optimization effect. It also has the potential in joint optimization for well-placement and the number of wells.
- In the well-placement design of EGS, the connectivity between the injection well and production well should be considered as the primary factor. The well in low-permeability contributes little to heat extraction.
- Strong connectivity between wells does not mean better performance. Strong connectivity may lead to preferential flow and early heat breakthrough.
Author Contributions
Funding
Conflicts of Interest
Nomenclature
| fracture permeability tensor (m2) | |
| angle between the fracture and the x-axis (°) | |
| fracture permeability (m2) | |
| fracture hydraulic conductivity (m/s) | |
| sub-grid size in FCM model (m) | |
| permeability contribution of fracture to the sub-grid (m2) | |
| fracture width (m) | |
| sub-grid (i, j) permeability (m2) | |
| matrix permeability (m2) | |
| fracture numbers | |
| corrected permeability of sub-grid (i, j) (m2) | |
| permeability correction factor | |
| matrix porosity | |
| fluid density (kg/m3) | |
| time (s) | |
| Darcy velocity (m/s) | |
| matrix storage coefficient (1/Pa) | |
| pressure (Pa) | |
| porous media permeability (m2) | |
| fluid dynamic viscosity | |
| source-sink term (1/s) | |
| matrix density (kg/m3) | |
| matrix temperature (K) | |
| fluid temperature (K) | |
| matrix specific Heat capacity (J/kg/K) | |
| fluid specific heat capacity (J/kg/K) | |
| matrix thermal conductivity (W/m/K) | |
| fluid thermal conductivity (W/m/K) | |
| interstitial convective heat transfer coefficient (W/m3/K) | |
| Darcy velocity in Fracture (m/s) | |
| fluid temperature in fracture (K) | |
| The decline in thermal energy of the reservoir (J) | |
| accumulative extracted thermal energy (J) | |
| the length of the boundary of well (m) | |
| simulation runtime (s) | |
| mass flow rate in time t (m3/s) | |
| production water temperature In time T (K) | |
| injection water temperature (K) | |
| average production temperature (K) | |
| output thermal power (kW) | |
| length of the outlet boundary (m) |
References
- Massachusetts Institute of Technology. The Future of Geothermal Energy: Impact of Enhanced Geothermal Systems (EGS) on the United States in the 21st Century; MIT: Cambridge, MA, USA, 2006. [Google Scholar]
- Brown, D. The US hot dry rock program-20 years of experience in reservoir testing. In Proceedings of the World Geothermal Congress, Florence, Italy, 18–31 May 1995; pp. 2607–2611. [Google Scholar]
- Office of Energy Efficiency and Renewable Energy; Lasala, R. An Evaluation of Enhanced Geothermal Systems Technology; Department of Energy: Washington, DC, USA, 2009.
- Tenzer, H. Development of hot dry rock technology. Geo-Heat Cent. Q. Bull. 2001, 32, 14–22. [Google Scholar]
- Polski, Y.; Capuano, L.; Finger, J.; Huh, M.; Knudsen, S.; Chip, M.A.; Raymond, D.; Swanson, R. Enhanced Geothermal Systems (EGS) Well Construction Technology Evaluation Report; Department of Energy: Washington, DC, USA, 2006. [Google Scholar]
- Procesi, M.; Cantucci, B.; Buttinelli, M.; Armezzani, G.; Quattrocchi, F.; Boschi, E. Strategic use of the underground in an energy mix plan: Synergies among CO2, CH4 geological storage and geothermal energy. Latium Region case study (Central Italy). Appl. Energy 2013, 110, 104–131. [Google Scholar] [CrossRef]
- Gan, Q.; Elsworth, D.; Cai, J. Heat transfer in enhanced geothermal systems: Thermal-Hydro-Mechanical coupled modeling. In Petrophysical Characterization and Fluids Transport in Unconventional Reservoirs; Cai, J., Hu, X., Eds.; Elsevier: Amsterdam, The Netherlands, 2019; pp. 201–205. [Google Scholar]
- Qin, X.; Cai, J.; Xu, P.; Dai, S.; Gan, Q. A fractal model of effective thermal conductivity for porous media with various liquid saturation. Int. J. Heat Mass Trans. 2019, 128, 1149–1156. [Google Scholar] [CrossRef]
- Abuaisha, M.; Loret, B.; Eaton, D. Enhanced Geothermal Systems (EGS): Hydraulic fracturing in a thermo–poroelastic framework. J. Pet. Sci. Eng. 2016, 146, 1179–1191. [Google Scholar] [CrossRef]
- Bear, J.; Fel, L.G. A Phenomenological Approach to Modeling Transport in Porous Media. Transp. Porous Media 2012, 92, 649–665. [Google Scholar] [CrossRef]
- Pruess, K.A. Practical method for modeling fluid and heat flow in fractured porous media. SPE J. 1985, 25, 14–26. [Google Scholar] [CrossRef]
- Yang, Y.; Liu, Z.; Sun, Z.; An, S.; Zhang, W.; Liu, P.; Yao, J.; Ma, J. Research on stress sensitivity of fractured carbonate reservoirs based on CT technology. Energies 2017, 10, 1833. [Google Scholar] [CrossRef]
- Ji, S.; Koh, Y. Appropriate Domain Size for Groundwater Flow Modeling with a Discrete Fracture Network Model. Groundwater 2017, 55, 51–62. [Google Scholar] [CrossRef]
- Neuman, S.P.; Depner, J.S. Use of variable-scale pressure test data to estimate the log hydraulic conductivity covariance and dispersivity of fractured granites near Oracle, Arizona. J. Hydrol. 2015, 102, 475–501. [Google Scholar] [CrossRef]
- Svensson, U. A continuum representation of fracture networks. Part I: Method and basic test cases. J. Hydrol. 2001, 250, 170–186. [Google Scholar] [CrossRef]
- Yang, Y.; Liu, Z.; Yao, J.; Zhang, L.; Ma, J.; Hejazi, S.; Luquot, L.; Ngarta, T. Flow simulation of artificially induced microfractures using digital rock and lattice Boltzmann methods. Energies 2018, 11, 2145. [Google Scholar] [CrossRef]
- Feyen, L.; Gorelick, S.M. Framework to evaluate the worth of hydraulic conductivity data for optimal groundwater resources management in ecologically sensitive areas. Water Resour. Res. 2005, 41, 147–159. [Google Scholar] [CrossRef]
- Yang, Y.; Yao, J.; Wang, C.; Gao, Y.; Zhang, Q.; An, S.; Song, W. New pore space characterization method of shale matrix formation by considering organic and inorganic pores. J. Nat. Gas Sci. Eng. 2015, 27, 496–503. [Google Scholar] [CrossRef]
- Chen, B.; Reynolds, A.C. Optimal Control of ICV’s and Well Operating Conditions for the Water-Alternating-Gas Injection Process. J. Pet. Sci. Eng. 2016, 149, 623–640. [Google Scholar] [CrossRef]
- Zhang, K.; Li, G.; Reynolds, A.C.; Yao, J.; Zhang, L. Optimal well placement using an adjoint gradient. J. Pet. Sci. Eng. 2010, 73, 220–226. [Google Scholar] [CrossRef]
- Janiga, D.; Czarnota, R.; Stopa, J.; Paweł, W. Self-adapt reservoir clusterization method to enhance robustness of well placement optimization. J. Pet. Sci. Eng. 2019, 173, 37–52. [Google Scholar] [CrossRef]
- Zhang, K.; Zhang, W.; Zhang, L.; Yao, J.; Chen, Y.; Lu, R. A study on the construction and optimization of triangular adaptive well pattern. Comput. Geosci. 2014, 18, 139–156. [Google Scholar] [CrossRef]
- Zhang, K.; Zhang, H.; Zhang, L.; Li, P.; Zhang, X.; Yao, J. A new method for the construction and optimization of quadrangular adaptive well pattern. Comput. Geosci. 2017, 21, 499–518. [Google Scholar] [CrossRef]
- Volkov, O.; Bellout, M.C. Gradient-based constrained well placement optimization. J. Pet. Sci. Eng. 2018, 171, 1052–1066. [Google Scholar] [CrossRef]
- Zhang, L.; Zhang, K.; Chen, Y.; Li, M.; Yao, J.; Li, L.; Lee, J. Smart Well Pattern Optimization Using Gradient Algorithm. J. Energy Resour.-Technol. 2015, 138, 012901. [Google Scholar] [CrossRef]
- Guyaguler, B.; Horne, R.N. Uncertainty Assessment of Well Placement Optimization. In Proceedings of the SPE Annual Technical Conference and Exhibition, New Orleans, LA, USA, 30 September–3 October 2001. [Google Scholar]
- Jesmani, M.; Bellout, M.C.; Hanea, R.; Foss, B. Well placement optimization subject to realistic field development constraints. Comput. Geosci. 2016, 20, 1185–1209. [Google Scholar] [CrossRef]
- Zhang, K.; Chen, Y.; Zhang, L.; Yao, J.; Ni, W.; Wu, H.; Zhao, H.; Lee, J. Well pattern optimization using NEWUOA algorithm. J. Pet. Sci. Eng. 2015, 134, 257–272. [Google Scholar] [CrossRef]
- Akın, S.; Kok, M.V.; Uraz, I. Optimization of well placement geothermal reservoirs using artificial intelligence. Comput. Geosci. 2010, 36, 776–785. [Google Scholar] [CrossRef]
- Chen, J.; Jiang, F. Designing multi-well layout for enhanced geothermal system to better exploit hot dry rock geothermal energy. Renew. Energy 2015, 74, 37–48. [Google Scholar] [CrossRef]
- Chen, M.; Tompson, A.F.B.; Mellors, R.J.; Abdalla, O. An efficient optimization of well placement and control for a geothermal prospect under geological uncertainty. Appl. Energy 2015, 137, 352–363. [Google Scholar] [CrossRef]
- Wu, B.; Zhang, G.; Zhang, X.; Jeffrey, R.G.; Kear, G.; Zhao, T. Semi-analytical model for a geothermal system considering the effect of areal flow between dipole wells on heat extraction. Energy 2017, 138, 290–305. [Google Scholar] [CrossRef]
- Guo, X.; Song, H.; Killough, J.; Du, L.; Sun, P. Numerical investigation of the efficiency of emission reduction and heat extraction in a sedimentary geothermal reservoir: A case study of the Daming geothermal field in China. Environ. Sci. Pollut. Res. 2018, 25, 4690–4706. [Google Scholar] [CrossRef]
- Matthäi, S.K.; Belayneh, M. Fluid flow partitioning between fractures and a permeable rock matrix. Geophys. Res. Lett. 2004, 31, L07602. [Google Scholar] [CrossRef]
- Chen, B. Study on Numerical Methods for Coupled Fluid Flow and Heat Transfer in Fractured Rocks of Doublet System. Ph.D. Thesis, Tsinghua University, Beijing, China, 2009. (In Chinese). [Google Scholar]
- Botros, F.E.; Hassan, A.E.; Reeves, D.M.; Pohll, G. On mapping fracture networks onto continuum. Water Resour. Res. 2008, 44, 134–143. [Google Scholar] [CrossRef]
- Xu, C.; Dowd, P.A. Zhao, F.T. A simplified coupled hydro-thermal model for enhanced geothermal systems. Appl. Energy 2015, 140, 135–145. [Google Scholar] [CrossRef]
- Saeid, S.; Al-Khoury, R.; Barends, F. An efficient computational model for deep low-enthalpy geothermal systems. Comput. Geosci. 2013, 51, 400–409. [Google Scholar] [CrossRef]
- Chen, B.; Song, E.; Cheng, X. Plane-Symmetrical Simulation of Flow and Heat Transport in Fractured Geological Media: A Discrete Fracture Model with Comsol. In Multiphysical Testing of Soils and Shales; Laloui, L., Ferrari, A., Eds.; Proceeding of Springer Series in Geomechanics and Geoengineering; Springer: Berlin/Heidelberg, Germany, 2013. [Google Scholar]
- Tenma, N.; Yamaguchi, T.; Zyvoloski, G. The Hijiori hot dry rock test site, Japan: Evaluation and optimization of heat extraction from a two-layered reservoir. Geothermics 2008, 37, 19–52. [Google Scholar] [CrossRef]
- Zhang, L.; Cui, C.; Ma, X.; Sun, Z.; Liu, F.; Zhang, K. A Fractal Discrete Fracture Network Model for History Matching of Naturally Fractured Reservoirs. Fractals 2019, 27, 1940008. [Google Scholar]
- Zhang, K.; Ma, X.; Li, Y.; Wu, H.; Cui, C.; Zhang, X.; Zhang, H.; Yao, J. Parameter prediction of hydraulic fracture for tight reservoir based on micro-seismic and history matching. Fractals 2018, 26, 1840009. [Google Scholar] [CrossRef]
- Zhang, K.; Guo, Y.; Zhang, B.; Trumbo, A.M.; Marfurt, J.K. Seismic azimuthal anisotropy analysis after hydraulic fracturing. Interpretation 2013, 1, SB27–SB36. [Google Scholar] [CrossRef]
- Sun, Z.; Zhang, X.; Xu, Y.; Yao, J.; Wang, H.; Lv, S.; Sun, Z.; Huang, Y.; Cai, M.; Huang, X. Numerical simulation of the heat extraction in EGS with thermal-hydraulic-mechanical coupling method based on discrete fractures model. Energy 2017, 120, 20–33. [Google Scholar] [CrossRef]
- Song, X.; Shi, Y.; Li, G.; Yang, R.; Wang, G.; Zheng, R.; Li, J.; Lyu, Z. Numerical simulation of heat extraction performance in enhanced geothermal system with multilateral wells. Appl. Energy 2018, 218, 325–337. [Google Scholar] [CrossRef]
- Zhang, L.; Wang, S.; Zhang, K.; Sun, Z.; Zhang, X.; Zhang, H.; Chipecane, M.T.; Yao, J. Cooperative Artificial Bee Colony Algorithm with Multiple Populations for Interval Multi-Objective Optimization Problems. IEEE Trans. Fuzzy Syst. 2018. [Google Scholar] [CrossRef]
- Wang, J.; Xu, C.; Yang, X.; Zurada, J.M. A Novel Pruning Algorithm for Smoothing Feedforward Neural Networks Based on Group Lasso Method. IEEE Trans. Neural Netw. Learn. Syst. 2018, 29, 2012–2024. [Google Scholar] [CrossRef] [PubMed]

















| Parameters | Value |
|---|---|
| Population size | 400 |
| Max generation | 40 |
| Crossover rate | 0.6 |
| Mutation rate | 0.02 |
| Number of wells | 5 |
| Parameters | Value |
|---|---|
| Matrix density (kg/m3) | 2700 |
| Matrix porosity | 0.01 |
| Matrix permeability (m2) | 1 × 10−17 |
| Matrix heat capacity (J/(kg·K)) | 1000 |
| Matrix heat conductivity (W/m·K) | 3 |
| Fracture permeability (m2) | 1 × 10−10 |
| Fracture width (m) | 0.001 |
| Water density (kg/m3) | 1000 |
| Water viscosity (Pa·s) | 0.001 |
| Water heat capacity (J/(kg·K)) | 4200 |
| Water heat conductivity (W/m·K) | 0.6 |
| Storage coefficient (1/Pa) | 1 × 10−10 |
| Thickness of permeable stratum(m) | 10 |
| Correction factor | 0.79 |
| Conditions | Value |
|---|---|
| Initial pressure (MPa) | 20 |
| Initial temperature (°C) | 200 |
| Injection pressure (MPa) | 30 |
| Injection temperature (°C) | 65 |
| Production pressure (MPa) | 20 |
© 2019 by the authors. Licensee MDPI, Basel, Switzerland. This article is an open access article distributed under the terms and conditions of the Creative Commons Attribution (CC BY) license (http://creativecommons.org/licenses/by/4.0/).
Share and Cite
Zhang, L.; Deng, Z.; Zhang, K.; Long, T.; Desbordes, J.K.; Sun, H.; Yang, Y. Well-Placement Optimization in an Enhanced Geothermal System Based on the Fracture Continuum Method and 0-1 Programming. Energies 2019, 12, 709. https://doi.org/10.3390/en12040709
Zhang L, Deng Z, Zhang K, Long T, Desbordes JK, Sun H, Yang Y. Well-Placement Optimization in an Enhanced Geothermal System Based on the Fracture Continuum Method and 0-1 Programming. Energies. 2019; 12(4):709. https://doi.org/10.3390/en12040709
Chicago/Turabian StyleZhang, Liming, Zekun Deng, Kai Zhang, Tao Long, Joshua Kwesi Desbordes, Hai Sun, and Yongfei Yang. 2019. "Well-Placement Optimization in an Enhanced Geothermal System Based on the Fracture Continuum Method and 0-1 Programming" Energies 12, no. 4: 709. https://doi.org/10.3390/en12040709
APA StyleZhang, L., Deng, Z., Zhang, K., Long, T., Desbordes, J. K., Sun, H., & Yang, Y. (2019). Well-Placement Optimization in an Enhanced Geothermal System Based on the Fracture Continuum Method and 0-1 Programming. Energies, 12(4), 709. https://doi.org/10.3390/en12040709

