Next Article in Journal
Data-Driven Ohmic Resistance Estimation of Battery Packs for Electric Vehicles
Previous Article in Journal
Method of Early Detection of Cyber-Attacks on Telecommunication Networks Based on Traffic Analysis by Extreme Filtering
 
 
Font Type:
Arial Georgia Verdana
Font Size:
Aa Aa Aa
Line Spacing:
Column Width:
Background:
Article

The Influence of Room and Pillar Method Geometry on the Deposit Utilization Rate and Rock Bolt Load

by
Krzysztof Skrzypkowski
Faculty of Mining and Geoengineering, AGH University of Science and Technology, Mickiewicza 30 av., 30-059 Kraków, Poland
Energies 2019, 12(24), 4770; https://doi.org/10.3390/en12244770
Submission received: 18 November 2019 / Revised: 11 December 2019 / Accepted: 12 December 2019 / Published: 13 December 2019

Abstract

In this article, a model of ore deposit in form of a lense carried out in the MineScape program, is presented. The lense had a thickness of 30 m, length along the strike 200 m, and the depth buried was for 80 m to 110 m below the surface. In the first layer, counting from the lowest level, a room and pillar method with variable geometry was designed. The width and length dimensions for rooms and pillars were: 4 m, 5 m and 6 m, respectively. For the selected part of the deposit, three variants of the system with variable geometry of rooms and pillars were designed, for which the deposit utilization coefficient was determined. The next stage of the research was to determine the influence of the geometry of the pillars and rooms on the range of the rock destruction zone around room excavations. For this purpose, numerical calculations using the three-dimensional Examine 3D program, based on the boundary element method, were made. The results of numerical tests were used to calculate the load of the rock bolt support, which is currently used in the zinc and lead underground mine “Olkusz-Pomorzany” in Poland. Currently in the mine, the bolt spacing is 1 m × 1 m, and the technology for fixing the bolt rod is based on resin cartridges that completely fill the bolt hole. In order to spread the spacing of the rock bolt support and to apply segmental fixing of the bolt rod, in the laboratory tests, rock bolt supports with increased strength were tested. Based on the results obtained, it was found that the rock bolt can be installed segmentally, using a cement grout, and its spacing can be increased to 2 m.

Graphical Abstract

1. Introduction

Contemporary underground mining of mineral resources is increasingly associated with geological and mining software packages. Computer-aided design (CAD) programs support the work of engineers from the point of exploration of the deposit, determination of the size of its resources, mineral quality, geological, hydrogeological, tectonic conditions, through planning of access and cutting of the deposit. In addition, software programs are used for daily or long-term mining planning, taking into account natural hazards, cost, quantity and quality constraints. The development related to the implementation and use of specialized software in mining plants, facilitates business management and the control of technological processes. The process of planning and scheduling exploitation requires the combination of a large amount of diverse data, geological, operational or economic, which is the basis for most of the available computer-aided design programs. During the process of production planning and scheduling, the boundaries of individual exploitation filed, and the order of their execution, as well as the directions of preparatory and accessing excavations, are determined [1]. At present, when designing underground operations, calculations for operational losses, and consequently, the deposit utilization factor [2], are separately performed. Also, calculations of rock bolt support loads [3,4,5,6] are separately carried out. In underground mining systems, the relationship between room and pillar geometry is known as a deposit utilization factor.
Increasing or decreasing the dimensions of the pillar results in decreasing or increasing the geometrical dimensions of the room; therefore the extraction rate decreases accordingly and increases with increasing size and decreasing dimensions of the pillar [7]. In particular, in room and pillar methods, excessive room width may contribute to smaller operating losses at the same pillar width, but at the same time, the danger of a large roof deflection, which in consequence leads to a collapse of roof rocks, increases.
There are no references in the literature that together present both issues (cut off deposit with rock bolt load). Therefore, this article presents the results of computer-aided design combining with numerical modeling and tensile tests of a rock bolt support with increased strength. By interlocking results of individual stages of research, it is possible to determine the permissible width of the room and the pillar, for which the coefficient of deposit utilization will be maintained, while ensuring the room’s safety by means of a rock bolt support.

2. Room and Pillar Method for Thick Ore Deposit in the Zinc and Lead Underground Mine “Olkusz–Pomorzany”

Underground zinc and lead mine “Olkusz–Pomorzany” belongs to ZGH Bolesław, and is located in the Silesian Voivodeship in Poland. The deposit occurs in the form of nests and lenses, and lies at a small depth from 60 m to 120 m. Zinc and lead sulfide ores contain sphalerite, galena, marcasite and pyrite. Dolomite, barite, calcite, chalcedony and quartz are waste rocks. Galena contains silver (<10 ppm), and sphalerite –cadmium (0.01–0.05% by weight). Annual production is 1.7 million Mg of ore with zinc and lead content: 2.65% and 0.8% respectively. The average daily production is about 6000 Mg. The mine uses two methods of exploitations: room and pillar and shortwall. The post-mining area is liquidated by application hydraulic backfilling [8,9]. Exploitation fields with a length of 100 m are divided into haulage rooms and within operating pillars up to 30 m. So separated pillars are selected with rooms usually 5–6 m wide, and 5–6 m high, driving parallel to the front line. The maximal field opening on the front includes two rows of pillars and rooms. On the line of the penultimate row of pillars, wooden dams are built in the room sections. A filling pipeline is fed through one of them, which is shortened as fillings are filled. Thick ore deposit is divided into layers up to 5 m thickness. Layers are separated, which are horizontal or parallel to the stratification. Mining begins by selecting the bottom layer with the liquidation of the goaf with a hydraulic backfilling (Figure 1a). Then the top layers on the backfilling are selected successively (Figure 1b). In subsequent layers, appropriate preparatory excavations are made, and if possible, roadway excavations in adjacent layers are used. In the first layer, the room and pillar method is always used. In the second, third and fourth layers, however, the shortwall method is used.
Under the conditions of the zinc and lead mine “Olkusz–Pomorzany” in the room and pillar method, it is assumed that the immediate roof is a layer of ore-bearing dolomites with a balance or off-balance metal content, and with a well-developed fracture net. In addition, the diploporous dolomite layer and the roof part of ore-bearing dolomites with a poorly developed fracture net are considered as the main roof. Calculating the dimensions of inter-room pillars, a static load scheme is assumed in the considered horizontal section, treating the pillar as a column, subjected to uniaxial compression by the weight of the rock column calculated from the surface [10]. It is also assumed that the immediate roof will be temporarily supported in the work space by other pillars with a rectangular cross-section. According to Borisow [11], the width of the pillar (d) can be calculated according to the following formula:
d = 10 γ 1 H ξ C d K 0.5 m γ 2 2 H γ 1 ,
where: d—pillar width/m, γ1—average bulk density of roof rocks/MN/m3, H—mining depth/m, ξ—creep coefficient for deposit rocks at compression test (for fractured rocks is 0.6, and for slightly fractured rocks, equals 0.8), Cd—compressive strength of deposit rocks/MPa, K—stress concentration factor (for heavily fractures rocks equals 2.25), m—thickness of the mined layer/m, γ2—average bulk density of deposit rocks/MN/m3.
The width of mining rooms is most often assumed based on observations of the rock mass in the base mine, i.e., operating in similar geological and mining conditions. The allowable width of rooms is calculated assuming certain models of roof beam support or support, assuming that the beam is a homogeneous and elastic material [12]. In the formulas for the permissible width of the room, it is assumed that the roof of the rooms is a beam easily supported or with fixed edges. After making the room, the beam bends under the influence of its own weight, and is separated from the higher layers. Assuming that the rocks achieve maximal bending deformations without violating the continuity and that the first fissures appear, the permissible width of the room M can be calculated according to the formula [12]:
M = 2 T s k n γ 1 ,
where: M—room width/m, Ts—tensile strength of roof rocks/MPa, k—thickness of the bearing layer/m, n—safety factor, γ1—average bulk density of roof rocks/MN/m3.

Deposit Utilization Rate for Room and Pillar Method

To model the geometry of the room and pillar method, the MineScape software program was used. According to the manufacturer, MineScape is currently used in over 200 mining plants around the world [13]. For example, in Poland the program is used in the underground hard coal mines of Jastrzębska Spółka Węglowa and in the open pit brown coal mine “Bełchatów”. The MineScape program operates as one application in which modules are loaded. Each module refers to individual mining activities. The following modules were used in the work: Core, Stratmodel and Underground. The Core module is the basic computer-aided 3D design environment required to support other modules.
In this module design files with layers were created. Using the Stratmodel module, data from the boreholes was entered. Whereas, the Underground module was used to model the geometry of the room and pillar method. In addition, based on the variable geometry of the pillars and rooms, the deposit utilization rate was calculated and determined. The ore deposit model in the form of a lense had a thickness of 30 m, length along the strike 200 m, and the depth buried was for 80 m to 110 m below the surface (Figure 2).
Then, the division of the deposit into horizontal layers parallel to each other, whose thickness was 5 m (Figure 3), was designed. In the first layer, counting from the lowest level, a room and pillar method with variable geometry was designed. The width and length dimensions for rooms and pillars were: 4 m, 5 m and 6 m, respectively (Figure 4a–c). For all three variants it was assumed, that the height of the room and pillar equal 5 m. The aim of the study was to determine the deposit utilization rate for various geometries of pillars and rooms in the first layer. In Figure 4a–c, the utilization rate of the deposit for the opening width in the first stage of cutting the deposit is marked in a green color in the frame. The opening width of the working space includes two rows of pillars and two rows of operating rooms. The deposit utilization rate for subsequent stages of exploitation is marked in a red color.

3. Determination the Extent of the Rock Destruction Area around Room Excavations

In order to determine the impact of geometry of the room and pillar on the range of the rock destruction zone in the roof of room excavations, a spatial model was created for three variants of the geometry of rooms and pillars in the Examine 3D numerical program, which is based on the boundary elements method.
In this method, the solution of boundary integral equations was to determine the value sought, which was the extent of the destruction zone. The model discretized the edge by introducing a finite number of edge elements. In each element, boundary functions have been approximated by means of nodal values and interpolation functions called shape functions. As a result, a finite number of algebraic equations were obtained. Modeling uses elements with a constant boundary size distribution. Each of these elements had a node in the middle of its length, while surface values and displacements were assumed to be constant throughout the entire element and equal values in the node. In the calculations, the Hoek-Brown [14] criterion was adopted, taking into account uniaxial compression strength and empirical material constants m and s selected using the RocLab program [14]. Rock lumps for laboratory tests were taken from the forehead of the exploitation room and the mining chute (Figure 5a,b). Ten cylindrical samples with a diameter of 50 mm and a height of 100 mm were cut from the rock solids, which were then tested on a testing machine in order to determine strength and deformation parameters (Figure 6a–c). Dolomite rock samples were characterized by the following parameters: compressive strength 30 MPa, tensile strength 3 MPa, Young’s Modulus 14,700 MPa, Poisson’s ratio 0.22. In addition, the bulk density was 27 kN/m3.
The Strength Factor (SF) criterion, expressing the ratio of rock strength to reduced stress at a given point, was used to analyze and determine the zones of rock mass destruction around excavations in the numerical model. If the SF value is less than 1, this means that the reduced stress exceeds the strength of the rock mass at the point and material destruction may occur (plastic analysis). Assuming that the system is elastic, material damage does not occur.
In numerical modeling, it was assumed that the excavations were made in a 40 m thick dolomite layer. The results of the range of the rock destruction zone around room excavations are presented in the Figure 7a–c. In each of the figures, two sections (A-A and B-B) are perpendicular to each other, on which the maximum extent of the destruction zone is marked.
The maximal range of the rock destruction in the roof of room excavation is: 1 m, 1.27 m and 1.55 m, respectively, for rooms and pillars geometry: 4 m, 5 m and 6 m. Assuming that relaxed rocks are located within the designated zone, and taking into account the spacing of rock bolt supports in the mine, which is 1 m × 1 m, as well as the bulk density of rocks, it is possible to calculate the load per bolt support. In the calculation, we assumed three safety factors: 1, 1.5 and 2, respectively. The load model in the form of a cuboid, based on the spacing of the bolt support and the height of the zone of rock destruction, must be less than the tensile strength of the rock bolt support. From January 2019 in the Polish zinc and lead mine “Olkusz—Pomorzany”, only full column resin rock bolt support with a wound rod with a diameter of 24 mm rod, for which the maximal tensile load is 111 kN are used [15]. Bolt supports are installed manually and tightened with a torque wrench. At least two resin cartridges with a diameter of 30 mm and a total length of 1200 mm are used to fix the rock bolt. Resin cartridges have a setting time of 120 s. For three production shifts, 240 units are installed. In Table 1, calculations of the rock bolt load for a room with a width of 4 m, 5 m and 6 m by changing the rock bolt support spacing from 1 m to 2 m every 0.5 m and the safety factor also from 1 to 2 in steps of 0.5 were presented.
For rock bolt support with a wound rod, the maximal support spacing may be 1 m with a maximum room width of 5 m, and this applies to the safety factor equal to 1. In addition, assuming that the maximal width of the pillar according to formula no. 1 is 5.57 m, and the maximal width of the room according to formula no. 2 is 5.16 m, it can be stated that the maximal width of the room and pillar should not exceed 5 m, therefore the rock bolt spacing may be 1.5 m × 1.5 m, but the safety factor for the rock bolt support is only 1.
In order to spread the bolt support and based on Table 1, in the laboratory tests, rock bolts with increased strength parameters were tested. In addition, the second goal in the laboratory testing, was to achieve a safety factor greater than 1.

4. Load—Displacement Characteristics of Rock Bolt Support for Various Connection Mechanisms

Laboratory tensile tests of the rock bolt support were carried out in the bolting laboratory of the Department of Mining Engineering and Work Safety at the AGH University of Science and Technology in Krakow. Bolt supports made of SAS 650/800 steel grade were tested. Steel has a conventional yield strength Re equal to 650 MPa, tensile strength equal to 800 MPa and a minimal percentage elongation A5 of 18% [16]. The bolt support consisted of a 1.8 m long bolt rib (Figure 8a). The bolt rod along the entire length is equipped with ribs 3.6 mm wide, 1 mm high, which are spaced apart by 8 mm. The cross-section of the bolt rod has an oval shape, the diameter of the bolt rod without ribs is 21.70 mm, while the diameter of the bolt rod after a 90° rotation is 21.4 mm (Figure 8b). Furthermore, the bolt rod worked with a profiled square washer with a length of 150 mm, sheet thickness 10 mm and height 25 mm, or a flat round washer with a diameter of 150 mm. A nut with a height of 47.11 mm and a width of 41.58 mm was screwed onto the bolt rod. The nut on the lateral plane has a hole inside, which has a steel spiro pin with a diameter of 6 mm, which was broken before testing to screw on the second nut (Figure 8c). In addition, between the washer and nut there was a plastic washer 1.34 mm thick and a spherical washer 21.81 mm high with an external diameter of 47 mm (Figure 8d). The rock bolt supports for three configurations of bolt rod with nut connection, namely: one nut and flat washer (Figure 9a), one nut and square shaped washer (Figure 9b) and two nuts and one square shaped washer (Figure 9c), were tested.
At the laboratory test facility, the rock mass was simulated with a concrete block made of a 2 mm sand mixture, class 42.5R Portland cement, diabase aggregate with a grain size from 2 mm to 5 mm. The water to cement ratio was 0.40. In addition, the concrete mix was enriched with the Sika ViscoCrete-20HE superplasticizer and SikaFume-HR/-TU microsilica. The concrete had a compressive strength of at least 45 MPa. The concrete mix was placed into steel cylinders with a diameter of 100 mm, length 600 mm and sheet thickness 5 mm. In order not to drill holes in the concrete, polyester tubes were placed inside the steel cylinders (Figure 10a). After removing the pipes from the concrete block, the bolt hole diameter was 32 mm (Figure 10b). Bolt rod with a diameter of 23.7 mm and a length of 1.8 m was fixed in the concrete blocks with a cement grout by means of one-component cement KL [17]. In order to obtain the grout, 25 kg of cement and 7 liters of water were used. The grout ingredients were mixed using a drill equipped with a mixer for a period of 3 min (Figure 10c). Then the grout was poured into the concrete blocks, in which the bolt rod was located (Figure 10d). The embedment length was 600 mm (Figure 10e).

Load–Displacement Characteristics for Rock Bolt Support Installed Segmentally

The SAS 650/800 rock bolt support installed over a 600 mm section was subjected to tensile tests on a testing machine in the rock bolting laboratory (Figure 11a,b). Each type of connection between the bolt rod and the nut has been tested five times. A total of 15 rock bolts were tested. The rate of load increase was 0.5 kN/s. The tests of static tensile test of the rock bolts support consisted of a periodic increase in pressure of 10 bar, which were carried out using a reduction valve located on the control panel of the laboratory stand. Each increase in pressure was preceded by a hold time of 10 s. The average test duration, up to the rupture was 600 s. During the entire load cycle, the tensile force was constantly measured by means of four KKM50 force sensors mounted on the withdrawable hydraulic disk of the device. In addition, the station was equipped with one line encoder, recording the total elongation to break. During the entire duration of the static tensile process, all data from individual sensors was recorded using a specialized Catman-Easy measuring technique program [18,19,20]. To Figure 12b, Figure 13b and Figure 14b have been attached Figure 12a, Figure 13a and Figure 14a, showing the standard deviations for five tests.

5. Discussion

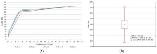
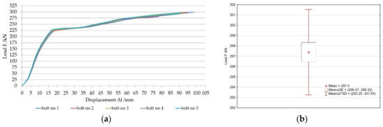
Using the MineScape computer-aided program, it was calculated that the largest area is occupied by inter-room pillars for the 6 m × 6 m method geometry and the smallest for the 4 m × 4 m method. The deposit utilization rate in the first stage of operation is: 80.473%, 72.308% and 72.00%, respectively, for 4 m × 4 m, 5 m × 5 m and 6 m × 6 m geometry. This means that the largest mining losses are obtained for the rooms and pillars geometry 6 m × 6 m (Figure 4a–c). Based on the numerical calculations, it was found that with the increase in the width of the pillars and rooms: 4 m × 4 m, 5 m × 5 m and 6 m × 6 m, respectively, while maintaining the same height of 5 m, the range of the rock destruction zone in the room excavations increases (Figure 7a–c). In addition, it was calculated that for the currently used rock bolt support with a wound rod, the maximal spacing of the support can be 1 m with a maximal room width of 5 m, this applies to a safety factor of 1. The obtained results of laboratory tests of the tensile SAS 650/800 rock bolt support allows us to state, that for the support equipped with a flat washer and one nut, the weakest construction point is the inlet to the spiro steel pin (Figure 15a). The use of a shaped washer and one nut equipped with a spiro pin causes the support to absorb almost 12% more load. Under load, the thread of the bolt rod and the nut were cut off (Figure 15b). On the other hand, adding a second nut causes the support to work in full load-displacement range. Material breaks occur on the bolt rod. Comparing the results of the average value of the maximal load F and the average value of the maximal displacement Δl (Table 2) of the rock bolt support installed to the length of 600 mm, it should be stated that to ensure full load-displacement characteristics of the support, it should be equipped with a shaped washer, which is a form of yielding, and a steel spiro pin, and above all a longer nut or two nuts.
Based on the results of numerical tests, the extent of the rock destruction zone around room excavations (Table 1) and the results of laboratory tests of tensile the rock bolt support installed on the basis of cement grout over a section of 600 mm (Table 1) and taking into account the results of computer-aided design (Figure 4), it can be stated that for a room with a width of 5 m, the maximal support spacing can be 2 m, while maintaining a safety factor of 2. However, for a room width of 6 m, the maximal support spacing may be 2 m but for a safety factor of 1.5. According to Polish requirements [21], regarding the minimal load-bearing capacity of an adhesive rock bolt support, whose load capacity should be at least 90 kN, it can be stated that the high-strength bolt support works with a safety factor above 3. Such a high factor can contribute to improving the working conditions in a situation sudden, unexpected roof falls.

6. Conclusions

For geological and mining conditions in the zinc and lead underground mine “Olkusz–Pomorzany”, the optimal geometry of pillars and rooms, due to the deposit utilization factor and the load of the rock bolt support, is 5 m × 5 m. For a pillar and room width equal to 5 m, the deposit utilization rate is 72.3%. Based on numerical calculations, it was found that the currently used rock bolt support can be installed only in 1.5 m × 1.5 m spacing, but with a safety factor of only 1. From the laboratory tests of the rock bolt support with increased strength parameters of the SAS 650/800 type, the following conclusions have been drawn:
  • for sectional fixing on a 600 mm section with a cement grout, the bolt support does not slide out of the hole,
  • break in material continuity occurs at the bolt rod,
  • the rock bolt support works in full load-displacement range, when two nuts are screwed on the bolt rod,
  • the maximal load bearing capacity of the rock bolt support is 312 kN, which is three times higher than required by Polish mining standards.
By comparing the results of the maximal load capacity of the rock bolt support with increased strength parameters with the maximal width of the room and the calculated load per rock bolt support, it can be stated that the bolt support can be installed at a spacing of 2 m × 2 m while maintaining a safety factor of 1.5. The proposed bolting technology is fundamentally different from the one currently used in the zinc and lead mine “Olkusz–Pomorzany”, where adhesive loads are used. However, due to the possibility of using the rock bolt support with increased strength parameters, it is possible to achieve spreading of the support, while maintaining an increased safety factor.

Funding

Article prepared as part of AGH’s statutory work, under number: 11.11.100.005.

Conflicts of Interest

The author declares no conflict of interest.

References

  1. Skrzypkowski, K.; Korzeniowski, W.; Gądek, A.; Misiak, R. Possibilities of using MineScape software to analyze the model of cutting ore deposit. Bull. Miner. Energy Econ. Res. Inst. Pol. Acad. Sci. 2018, 103, 91–102. [Google Scholar] [CrossRef]
  2. Kecojevic, V.; Willis, D.; Wilkinson, W.; Schissler, A. Computer mapping of faults in coal mining. Int. J. Coal. Geol. 2005, 64, 79–84. [Google Scholar] [CrossRef]
  3. Waclawik, P.; Ptacek, J.; Konicek, P.; Kukutsch, R.; Nemcik, J. Stress-state monitoring of coal pillars during room and pillar extraction. J. Sustain. Min. 2016, 15, 49–56. [Google Scholar] [CrossRef]
  4. Westman, E.C.; Molka, R.J.; Conrad, W.J. Ground control monitoring of retreat room–and–pillar mine in Central Appalachia. Int. J. Min. Sci. Technol. 2017, 27, 65–69. [Google Scholar] [CrossRef]
  5. Klemetti, T.M.; Sears, M.M.; Tulu, I.B. Design concerns of room and pillar retreat panels. Int. J. Min. Sci. Technol. 2017, 27, 29–35. [Google Scholar] [CrossRef] [PubMed]
  6. Tesarik, D.R.; Seymour, J.B.; Yanske, T.R. Long-term stability of a backfilled room-and-pillar test section at the Buick Mine, Missouri, USA. Int. J. Rock Mech. Min. 2009, 46, 1182–1196. [Google Scholar] [CrossRef]
  7. Sherizadeh, T.; Kulatilake, P.H.S.W. Assessment of roof stability in a room and pillar coal mine in the U.S. using three-dimensional distinct element method. Tunn. Undergr. Space Technol. 2016, 10, 24–37. [Google Scholar] [CrossRef]
  8. Skrzypkowski, K. Compressibility of materials and backfilling mixtures with addition of solid wastes from flue-gas treatment and fly ashes. E3S Web Conf. 2018, 71, 1–6. [Google Scholar] [CrossRef]
  9. Skrzypkowski, K.; Korzeniowski, W.; Poborska-Młynarska, K. Binding capability of ashes and dusts from municipal solid waste incineration with salt brine and geotechnical parameters of the cemented samples. Arch. Min. Sci. 2018, 63, 903–918. [Google Scholar] [CrossRef]
  10. Zvarivadza, T.; Van der Merwe, J.N. Reflections on narrow-reef platinum mining pillar design systems as applied to a large platinum exploration feasibility project. J. S. Afr. Inst. Min. Metall. 2017, 117, 169–178. [Google Scholar] [CrossRef]
  11. Borisow, A.A. Miechanika Gornych Porod i Massiwow; Niedra: Moscow, Russia, 1980; p. 50. [Google Scholar]
  12. Piechota, S. Technika Podziemnej Eksploatacji Złóż Rud (Techniques of Underground Mining of Ore Deposits); University Script No. 1129; AGH Publishing House: Kraków, Poland, 1998; p. 200. [Google Scholar]
  13. MineScape. Available online: http://www.dataminesoftware.com/minescape-solution (accessed on 18 October 2019).
  14. Rocscience. Available online: https://www.rocscience.com (accessed on 29 April 2019).
  15. Skrzypkowski, K.; Korzeniowski, W.; Zagórski, K.; Zagórska, A. Flexibility and Load-Bearing Capacity of Roof Bolting as Functions of Mounting Depth and Hole Diameter. Energies 2019, 12, 3754. [Google Scholar] [CrossRef]
  16. ATM. Available online: https://atm-tech.pl (accessed on 20 September 2019).
  17. Minova. Available online: http://www.minova.pl/pdf/Cement_KL_pl.pdf (accessed on 11 October 2019).
  18. Korzeniowski, W.; Skrzypkowski, K.; Herezy, Ł. Laboratory method for evaluating the characteristics of expansion rock bolts subjected to axial tension. Arch. Min. Sci. 2015, 60, 209–224. [Google Scholar] [CrossRef]
  19. Skrzypkowski, K. Evaluation of Rock Bolt Support for Polish Hard Rock Mines. E3S Web Conf. 2018, 35, 1–8. [Google Scholar] [CrossRef]
  20. Skrzypkowski, K.; Korzeniowski, W.; Zagórski, K.; Dominik, I.; Lalik, K. Fast non-destructive measurement of roof-bolt loads. Stud. Geotech. Mech. 2019, 41, 93–101. [Google Scholar] [CrossRef]
  21. Polish Committee for Standardization. Polish Standard: PN-G-15091; Requirements; Polish Committee for Standardization: Warszawa, Poland, 1998. [Google Scholar]
Figure 1. Exploitation of a thick ore deposit: (a) Division into layers; (b) View of rock bolts and fillings from the first layer.
Figure 1. Exploitation of a thick ore deposit: (a) Division into layers; (b) View of rock bolts and fillings from the first layer.
Energies 12 04770 g001
Figure 2. Ore deposit in form of lense.
Figure 2. Ore deposit in form of lense.
Energies 12 04770 g002
Figure 3. Division of the deposit into 5 m thick layers (−80 to −110).
Figure 3. Division of the deposit into 5 m thick layers (−80 to −110).
Energies 12 04770 g003
Figure 4. Room and pillar method with variable geometry: (a) 4 m × 4 m; (b) 5 m × 5 m; (c) 6 m × 6 m.
Figure 4. Room and pillar method with variable geometry: (a) 4 m × 4 m; (b) 5 m × 5 m; (c) 6 m × 6 m.
Energies 12 04770 g004
Figure 5. Forehead of exploitation room: (a) Drilling blasting holes; (b) Discharge point of output.
Figure 5. Forehead of exploitation room: (a) Drilling blasting holes; (b) Discharge point of output.
Energies 12 04770 g005
Figure 6. Dolomite samples: (a) Cutting out regular samples; (b) Sample after the compression test; (c) Sample after the tensile test.
Figure 6. Dolomite samples: (a) Cutting out regular samples; (b) Sample after the compression test; (c) Sample after the tensile test.
Energies 12 04770 g006
Figure 7. Ranges of the rock destruction zone around excavations for the geometry of the room and pillar method: (a) 4 m × 4 m; (b) 5 m × 5 m; (c) 6 m × 6 m.
Figure 7. Ranges of the rock destruction zone around excavations for the geometry of the room and pillar method: (a) 4 m × 4 m; (b) 5 m × 5 m; (c) 6 m × 6 m.
Energies 12 04770 g007
Figure 8. SAS 650/800 rock bolt support: (a) Bolt rod—general view; (b) Geometry of bolt rod; (c) Steel spiro pin; (d) Bolt rod with shaped washer.
Figure 8. SAS 650/800 rock bolt support: (a) Bolt rod—general view; (b) Geometry of bolt rod; (c) Steel spiro pin; (d) Bolt rod with shaped washer.
Energies 12 04770 g008
Figure 9. Configuration of the bolt rod and nut connection: (a) Flat washer; (b) Shaped washer and one nut; (c) Shaped washer and two nuts.
Figure 9. Configuration of the bolt rod and nut connection: (a) Flat washer; (b) Shaped washer and one nut; (c) Shaped washer and two nuts.
Energies 12 04770 g009
Figure 10. Preparation for tests: (a) View of steel cylinders with polyester pipes with an outer diameter of 32 mm; (b) Diameter of the hole in the concrete block; (c) Mixing of the binder; (d) Bolt rod embedded on the cement binder; (e) View of installed bolt rods to steel cylinders filled with concrete.
Figure 10. Preparation for tests: (a) View of steel cylinders with polyester pipes with an outer diameter of 32 mm; (b) Diameter of the hole in the concrete block; (c) Mixing of the binder; (d) Bolt rod embedded on the cement binder; (e) View of installed bolt rods to steel cylinders filled with concrete.
Energies 12 04770 g010
Figure 11. Laboratory test facility: (a) General view; (b) Block diagram.
Figure 11. Laboratory test facility: (a) General view; (b) Block diagram.
Energies 12 04770 g011
Figure 12. Load-displacement characteristic of the SAS 650/800 rock bolt support with a flat washer and one nut: (a) Characterization course; (b) Load range.
Figure 12. Load-displacement characteristic of the SAS 650/800 rock bolt support with a flat washer and one nut: (a) Characterization course; (b) Load range.
Energies 12 04770 g012
Figure 13. Load-displacement characteristic of the SAS 650/800 rock bolt support with a shaped washer and one nut: (a) Characterization course; (b) Load range.
Figure 13. Load-displacement characteristic of the SAS 650/800 rock bolt support with a shaped washer and one nut: (a) Characterization course; (b) Load range.
Energies 12 04770 g013
Figure 14. Load-displacement characteristic of the SAS 650/800 rock bolt support with a shaped washer and two nuts: (a) Characterization course; (b) Load range.
Figure 14. Load-displacement characteristic of the SAS 650/800 rock bolt support with a shaped washer and two nuts: (a) Characterization course; (b) Load range.
Energies 12 04770 g014
Figure 15. Loss of support load capacity through: (a) Break on the rod in place of the spiro pin; (b) Thread cutting; (c) Break on the bolt rod.
Figure 15. Loss of support load capacity through: (a) Break on the rod in place of the spiro pin; (b) Thread cutting; (c) Break on the bolt rod.
Energies 12 04770 g015
Table 1. Load on the rock bolt support for a variable room width and support spacing.
Table 1. Load on the rock bolt support for a variable room width and support spacing.
Room Width/mSupport Spacing/mRange of Rock Destruction Zone in the Roof of the Room/mRock Bolt Support Load /kN
n = 1n = 1.5n = 2
4112740.554
51.51.2777.15115.73154.3
621.55167.4251.1334.8
n—safety factor
Table 2. Load tensile results of SAS 650/800 rock bolt support.
Table 2. Load tensile results of SAS 650/800 rock bolt support.
Connection MechanismAverage Value of the Maximal Load F/kNAverage Value of the Maximal Displacement Δl/mmComments
Flat washer and one nut without spiro pin265.8833.91Break on the bolt rod in place of the spiro pin (Figure 15a)
Shaped washer and one nut with spiro pin297.493.58Thread cutting (Figure 15b)
Shaped washer and two nuts with spiro pin312.24109.79Break on the bolt rod (Figure 15c)

Share and Cite

MDPI and ACS Style

Skrzypkowski, K. The Influence of Room and Pillar Method Geometry on the Deposit Utilization Rate and Rock Bolt Load. Energies 2019, 12, 4770. https://doi.org/10.3390/en12244770

AMA Style

Skrzypkowski K. The Influence of Room and Pillar Method Geometry on the Deposit Utilization Rate and Rock Bolt Load. Energies. 2019; 12(24):4770. https://doi.org/10.3390/en12244770

Chicago/Turabian Style

Skrzypkowski, Krzysztof. 2019. "The Influence of Room and Pillar Method Geometry on the Deposit Utilization Rate and Rock Bolt Load" Energies 12, no. 24: 4770. https://doi.org/10.3390/en12244770

APA Style

Skrzypkowski, K. (2019). The Influence of Room and Pillar Method Geometry on the Deposit Utilization Rate and Rock Bolt Load. Energies, 12(24), 4770. https://doi.org/10.3390/en12244770

Note that from the first issue of 2016, this journal uses article numbers instead of page numbers. See further details here.

Article Metrics

Back to TopTop