Damage Evolution and Failure Behavior of Post-Mainshock Damaged Rocks under Aftershock Effects
Abstract
1. Introduction
2. Experimental Materials and Procedures
2.1. Sample Preparation
2.2. Experimental Apparatus
2.3. Testing Procedures
3. Experimental Results and Discussion
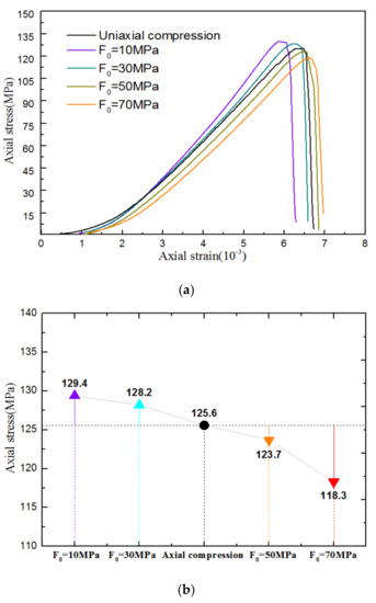
3.1. Deformation Behavior
3.2. Energy Evolution
3.3. P-Wave Velocity
3.4. AE Characteristics
3.5. Failure Morphology
4. Conclusions
- Owing to the increase of initial cycle amplitude, the irreversible deformation and dissipated energy increased. The bearing capacity increases under the low amplitude of initial cycle (e.g., 10 and 30 MPa) below the threshold of crack initiation, whereas it decreases under the high amplitude of initial cycle (e.g., 50 and 70 MPa).
- The variation of P-wave velocity shows a downward parabola trend for each loading scheme. The damage evolution of P-wave velocity shows that various initial cyclic amplitudes make it have different damage responses. UPVs with the higher initial cycle amplitude (e.g., 50 and 70 MPa) are significantly lower than that of other initial amplitudes.
- With various peak stresses in the first cycle, the tested samples exhibit significantly different AE activities under cyclic loading. A small amount of acoustic emission is mainly released in the loading stage under the low amplitude of initial cycle (e.g., 10 and 30 MPa). Increasing the amplitude of initial cycle (e.g., 50 and 70 MPa) significantly intensifies the number of AE ring counts, indicating that the higher amplitude of initial cycle causes more and more serious damage.
- The final failure morphologies of specimens were obviously affected by the initial cyclic amplitude. With the increase of initial cycle amplitude, the number of cracks on the rock surface gradually increases. The failure patterns gradually change from tension failure to the mixture of tension and shear, which was verified by the crack identification method of acoustic emission AF–RA value.
- The final macro-fracture scales of tested marble were obviously intensified with the increase of initial cyclic amplitude, which was verified by the fragment size distribution and AE b-value.
Author Contributions
Funding
Acknowledgments
Conflicts of Interest
References
- Cording, E.J.; Hashash, Y.M.A.; Oh, J. Analysis of pillar stability of mined gas storage caverns in shale formations. Eng. Geol. 2015, 184, 71–80. [Google Scholar]
- Tong, L.; Liu, L.; Qiu, Y.; Liu, S. Tunneling in abandoned coal mine areas: Problems, impacts and protection measures. Tunn. Undergr. Space Technol. 2013, 38, 409–422. [Google Scholar] [CrossRef]
- Kuz’min, M.P.; Larionov, L.M.; Kondratiev, V.V.; Kuz’mina, M.Y.; Grigoriev, V.G.; Kuz’mina, A.S. Use of the burnt rock of coal deposits slag heaps in the concrete products manufacturing. Constr. Build. Mater. 2018, 179, 117–124. [Google Scholar] [CrossRef]
- Li, H.B.; Yang, X.G.; Zhang, X.B.; Zhou, J.W. Deformation and failure analyses of large underground caverns during construction of the Houziyan Hydropower Station, Southwest China. Eng. Fail. Anal. 2017, 80, 164–185. [Google Scholar] [CrossRef]
- Fan, J.; Jiang, D.; Liu, W.; Wu, F.; Chen, J.; Daemen, J. Discontinuous fatigue of salt rock with low-stress intervals. Int. J. Rock Mech. Min. Sci. 2019, 115, 77–86. [Google Scholar] [CrossRef]
- Liu, G.; Feng, X.T.; Jiang, Q.; Yao, Z.; Li, S. In situ observation of spalling process of intact rock mass at large cavern excavation. Eng. Geol. 2017, 226, 52–69. [Google Scholar] [CrossRef]
- Bérest, P.; Brouard, B.; Feuga, B.; Karimi-Jafari, M. The 1873 collapse of the Saint-Maximilien panel at the Varangeville salt mine. Int. J. Rock Mech. Min. Sci. 2008, 45, 1025–1043. [Google Scholar] [CrossRef]
- Naji, A.M.; Emad, M.Z.; Rehman, H.; Yoo, H. Geological and geomechanical heterogeneity in deep hydropower tunnels: A rock burst failure case study. Tunn. Undergr. Space Technol. 2019, 84, 507–521. [Google Scholar] [CrossRef]
- Wu, Q.; Chen, L.; Shen, B.; Dlamini, B.; Li, S.; Zhu, Y. Experimental Investigation on Rockbolt Performance Under the Tension Load. Rock Mech. Rock Eng. 2019, 4605–4618. [Google Scholar] [CrossRef]
- Zhou, Z.; Cai, X.; Ma, D.; Chen, L.; Wang, S.; Tan, L. Dynamic tensile properties of sandstone subjected to wetting and drying cycles. Constr. Build. Mater. 2018, 182, 215–232. [Google Scholar] [CrossRef]
- Zhou, Z.; Cai, X.; Li, X.; Cao, W.; Du, X. Dynamic Response and Energy Evolution of Sandstone Under Coupled Static–Dynamic Compression: Insights from Experimental Study into Deep Rock Engineering Applications. Rock Mech. Rock Eng. 2019, 1–27. [Google Scholar] [CrossRef]
- Lu, C.P.; Dou, L.M.; Zhang, N.; Xue, J.H.; Wang, X.N.; Liu, H.; Zhang, J.W. Microseismic frequency-spectrum evolutionary rule of rockburst triggered by roof fall. Int. J. Rock Mech. Min. Sci. 2013, 64, 6–16. [Google Scholar] [CrossRef]
- Bagde, M.N.; Petroš, V. Fatigue properties of intact sandstone samples subjected to dynamic uniaxial cyclical loading. Int. J. Rock Mech. Min. Sci. 2005, 42, 237–250. [Google Scholar] [CrossRef]
- Martin, C.D.; Chandler, N.A. The progressive fracture of Lac du Bonnet granite. Int. J. Rock Mech. Min. Sci. 1994, 31, 643–659. [Google Scholar] [CrossRef]
- Liu, Y.; Dai, F.; Feng, P.; Xu, N. Mechanical behavior of intermittent jointed rocks under random cyclic compression with different loading parameters. Soil Dyn. Earthq. Eng. 2018, 113, 12–24. [Google Scholar] [CrossRef]
- Heap, M.J.; Vinciguerra, S.; Meredith, P.G. The evolution of elastic moduli with increasing crack damage during cyclic stressing of a basalt from Mt. Etna volcano. Tectonophysics 2009, 471, 153–160. [Google Scholar] [CrossRef]
- Wang, S.; Li, X.; Yao, J.; Gong, F.; Li, X.; Du, K.; Tao, M.; Huang, L.; Du, S. Experimental investigation of rock breakage by a conical pick and its application to non-explosive mechanized mining in deep hard rock. Int. J. Rock Mech. Min. Sci. 2019, 122, 104063. [Google Scholar] [CrossRef]
- Xiao, J.Q.; Ding, D.X.; Jiang, F.L.; Xu, G. Fatigue damage variable and evolution of rock subjected to cyclic loading. Int. J. Rock Mech. Min. Sci. 2010, 47, 461–468. [Google Scholar] [CrossRef]
- Fan, J.; Chen, J.; Jiang, D.; Ren, S.; Wu, J. Fatigue properties of rock salt subjected to interval cyclic pressure. Int. J. Fatigue 2016, 90, 109–115. [Google Scholar] [CrossRef]
- Liu, X.S.; Ning, J.G.; Tan, Y.L.; Gu, Q.H. Damage constitutive model based on energy dissipation for intact rock subjected to cyclic loading. Int. J. Rock Mech. Min. Sci. 2016, 85, 27–32. [Google Scholar] [CrossRef]
- Jia, C.; Xu, W.; Wang, R.; Wang, W.; Zhang, J.; Yu, J. Characterization of the deformation behavior of fine-grained sandstone by triaxial cyclic loading. Constr. Build. Mater. 2018, 162, 113–123. [Google Scholar] [CrossRef]
- Peng, K.; Zhou, J.; Zou, Q.; Yan, F. Deformation characteristics of sandstones during cyclic loading and unloading with varying lower limits of stress under different confining pressures. Int. J. Fatigue 2019, 127, 82–100. [Google Scholar] [CrossRef]
- Meng, Q.; Zhang, M.; Han, L.; Pu, H.; Chen, Y. Acoustic Emission Characteristics of Red Sandstone Specimens Under Uniaxial Cyclic Loading and Unloading Compression. Rock Mech. Rock Eng. 2018, 51, 969–988. [Google Scholar] [CrossRef]
- Jia, H.; Wang, E.; Song, D.; Wang, X.; Ali, M. Precursory changes in wave velocity for coal and rock samples under cyclic loading. Results Phys. 2019, 12, 432–434. [Google Scholar] [CrossRef]
- Zhai, C.H.; Zheng, Z.; Li, S.; Xie, L.L. Seismic analyses of a RCC building under mainshock-aftershock seismic sequences. Soil Dyn. Earthq. Eng. 2015, 74, 46–55. [Google Scholar] [CrossRef]
- Varma, M.; Maji, V.B.; Boominathan, A. Numerical modeling of a tunnel in jointed rocks subjected to seismic loading. Undergr. Space 2019, 4, 133–146. [Google Scholar] [CrossRef]
- Hatheway, A.W. Fundamentals of earthquake prediction. Eng. Geol. 1996, 43, 81–82. [Google Scholar] [CrossRef]
- Zhai, C.H.; Bao, X.; Zheng, Z.; Wang, X.Y. Impact of aftershocks on a post-mainshock damaged containment structure considering duration. Soil Dyn. Earthq. Eng. 2018, 115, 129–141. [Google Scholar] [CrossRef]
- Tesfamariam, S.; Goda, K.; Mondal, G. Seismic vulnerability of reinforced concrete frame with unreinforced masonry infill due to main shock-aftershock earthquake sequences. Earthq. Spectra 2015, 31, 1427–1449. [Google Scholar] [CrossRef]
- Sanaz, R.; Armen, D.K. A stochastic ground motion model with separable temporal and spectral nonstationarities. Earthq. Eng. Struct. Dyn. 2012, 41, 1549–1568. [Google Scholar]
- Goda, K.; Salami, M.R. Inelastic seismic demand estimation of wood-frame houses subjected to mainshock-aftershock sequences. Bull. Earthq. Eng. 2014, 12, 855–874. [Google Scholar] [CrossRef]
- Ulusay, R. The ISRM Suggested Methods for Rock Characterization, Testing and Monitoring: 2007–2014. Springer. 2014. Available online: https://www.springer.com/gp/book/9783319077123 (accessed on 19 November 2019).
- Hatton, C.G.; Main, I.G.; Meredith, P.G. A comparison of seismic and structural measurements of scaling exponents during tensile subcritical crack growth. J. Struct. Geol. 1993, 15, 1485–1495. [Google Scholar] [CrossRef]
- Brindley, B.J.; Holt, J.; Palmer, I.G. The use of ring-down counting. Non-Destr. Test. 1973, 6, 299–306. [Google Scholar] [CrossRef]
- Song, Z.; Konietzky, H.; Frühwirt, T. Hysteresis energy-based failure indicators for concrete and brittle rocks under the condition of fatigue loading. Int. J. Fatigue 2018, 114, 298–310. [Google Scholar] [CrossRef]
- Song, Z.; Konietzky, H.; Herbst, M. Bonded-particle model-based simulation of artificial rock subjected to cyclic loading. Acta Geotech. 2019, 14, 955–971. [Google Scholar] [CrossRef]
- Li, X.; Huai, Z.; Konietzky, H.; Li, X.; Wang, Y. A numerical study of brittle failure in rocks with distinct microcrack characteristics. Int. J. Rock Mech. Min. Sci. 2018, 106, 289–299. [Google Scholar] [CrossRef]
- Cai, M.; Kaiser, P.K.; Tasaka, Y.; Maejima, T.; Morioka, H.; Minami, M. Generalized crack initiation and crack damage stress thresholds of brittle rock masses near underground excavations. Int. J. Rock Mech. Min. Sci. 2004, 41, 833–847. [Google Scholar] [CrossRef]
- Brace, W.F.; Paulding, B.W.; Scholz, C. Dilatancy in the fracture of crystalline rocks. J. Geophys. Res. 1966, 71, 3939–3953. [Google Scholar] [CrossRef]
- Song, D.; Wang, E.; Liu, J. Relationship between EMR and dissipated energy of coal rock mass during cyclic loading process. Saf. Sci. 2012, 50, 751–760. [Google Scholar] [CrossRef]
- Ye, D.; Wang, Z. A new approach to low-cycle fatigue damage based on exhaustion of static toughness and dissipation of cyclic plastic strain energy during fatigue. Int. J. Fatigue 2001, 23, 679–687. [Google Scholar]
- Yilmaz, T.; Ercikdi, B.; Karaman, K.; Külekçi, G. Assessment of strength properties of cemented paste backfill by ultrasonic pulse velocity test. Ultrasonics 2014, 54, 1386–1394. [Google Scholar] [CrossRef] [PubMed]
- Ayaz, Y.; Kocamaz, A.F.; Karakoç, M.B. Modeling of compressive strength and UPV of high-volume mineral-admixtured concrete using rule-based M5 rule and tree model M5P classifiers. Constr. Build. Mater. 2015, 94, 235–240. [Google Scholar] [CrossRef]
- Ercikdi, B.; Karaman, K.; Cihangir, F.; Yılmaz, T.; Aliyazıcıoğlu, Ş.; Kesimal, A. Core size effect on the dry and saturated ultrasonic pulse velocity of limestone samples. Ultrasonics 2016, 72, 143–149. [Google Scholar] [CrossRef] [PubMed]
- Scuderi, M.M.; Marone, C.; Tinti, E.; Di Stefano, G.; Collettini, C. Precursory changes in seismic velocity for the spectrum of earthquake failure modes. Nat. Geosci. 2016, 9, 695–700. [Google Scholar] [CrossRef] [PubMed]
- Korneev, V.; Glubokovskikh, S. Seismic velocity changes caused by an overburden stress. Geophysics 2013, 78, WC25–WC31. [Google Scholar] [CrossRef]
- Li, D.; Wang, E.; Kong, X.; Jia, H.; Wang, D.; Muhammad, A. Damage precursor of construction rocks under uniaxial cyclic loading tests analyzed by acoustic emission. Constr. Build. Mater. 2019, 206, 169–178. [Google Scholar]
- Mansurov, V.A. Acoustic emission from failing rock behaviour. Rock Mech. Rock Eng. 1994, 27, 173–182. [Google Scholar] [CrossRef]
- Lou, Q.; Song, D.; He, X.; Li, Z.; Qiu, L.; Wei, M.; He, S. Correlations between acoustic and electromagnetic emissions and stress drop induced by burst-prone coal and rock fracture. Saf. Sci. 2019, 115, 310–319. [Google Scholar] [CrossRef]
- Du, K.; Su, R.; Tao, M.; Yang, C.; Momeni, A.; Wang, S. Specimen shape and cross-section effects on the mechanical properties of rocks under uniaxial compressive stress. Bull. Eng. Geol. Environ. 2019, 78, 6061–6074. [Google Scholar] [CrossRef]
- Zhou, Z.; Cai, X.; Ma, D.; Du, X.; Chen, L.; Wang, H.; Zang, H. Water saturation effects on dynamic fracture behavior of sandstone. Int. J. Rock Mech. Min. Sci. 2019, 114, 46–61. [Google Scholar] [CrossRef]
- Zhu, Q.; Li, D.; Han, Z.; Li, X.; Zhou, Z. Mechanical properties and fracture evolution of sandstone specimens containing different inclusions under uniaxial compression. Int. J. Rock Mech. Min. Sci. 2019, 115, 33–47. [Google Scholar] [CrossRef]
- Ono, K. Structural Integrity Evaluation by Means of Acoustic Emission. Acoust. Emiss. Crit. Phenom. 2008, 13–27. [Google Scholar]
- Kencanawati, N.N.; Lizasa, S.; Shigeishi, M. Fracture process and reliability of concrete made from high grade recycled aggregate using acoustic emission technique under compression. Mater. Struct. Constr. 2013, 46, 1441–1448. [Google Scholar] [CrossRef]
- Elfergani, H.A.; Pullin, R.; Holford, K.M. Damage assessment of corrosion in prestressed concrete by acoustic emission. Constr. Build. Mater. 2013, 40, 925–933. [Google Scholar] [CrossRef]
- Ohno, K.; Ohtsu, M. Crack classification in concrete based on acoustic emission. Constr. Build. Mater. 2010, 24, 2339–2346. [Google Scholar] [CrossRef]
- Farhidzadeh, A.; Mpalaskas, A.C.; Matikas, T.E.; Farhidzadeh, H.; Aggelis, D.G. Fracture mode identification in cementitious materials using supervised pattern recognition of acoustic emission features. Constr. Build. Mater. 2014, 67, 129–138. [Google Scholar] [CrossRef]
- Cai, X.; Zhou, Z.; Liu, K.; Du, X.; Zang, H. Water-Weakening E ff ects on the Mechanical Behavior of Di ff erent Rock Types: Phenomena and Mechanisms. Appl. Sci. 2019, 9, 4450. [Google Scholar] [CrossRef]
- Lockner, D.A.; Byerlee, J.D.; Kuksenko, V.; Ponomarev, A.; Sidorin, A. Quasi-static fault growth and shear fracture energy in granite. Nature 1991, 350, 39–42. [Google Scholar] [CrossRef]
- Smith, W.D. The b-value as an earthquake precursor. Nature 1981, 289, 136–139. [Google Scholar] [CrossRef]
- Zhang, Q.; Zhang, X.P. A numerical study on cracking processes in limestone by the b-value analysis of acoustic emissions. Comput. Geotech. 2017, 92, 1–10. [Google Scholar] [CrossRef]
- Scholz, C.H. The frequency-magnitude relation of microfracturing in rock and its relation to earthquakes. Bull. Seismol. Soc. Am. 1968, 58, 399–415. [Google Scholar]
- Gutenberg, B.; Richter, C.F. Frequency of earthquakes in California. Nature 1945, 156, 371. [Google Scholar]
















| Mineral Composition | Content (%) | Particle Size (mm) |
|---|---|---|
| Dolomite | 96.2 | 0.2–0.6 |
| Opaque minerals | 2 | 0.05–0.1 |
| Carbonaceous substance | 1.8 | ≤0.05 |
| Initial Stress | Mass of Each Particle Size (g) | Total Mass (g) | |||||
|---|---|---|---|---|---|---|---|
| <0.63 mm | 0.63–1.25 mm | 1.25–2.5 mm | 2.5–5 mm | 5–10 mm | ≥10 mm | ||
| 10 MPa | 42.24 | 3.25 | 3.23 | 7.21 | 15.24 | 491.28 | 562.45 |
| 30 MPa | 45.58 | 3.51 | 3.66 | 6.85 | 14.53 | 484.63 | 558.76 |
| 50 MPa | 48.37 | 4.42 | 3.45 | 5.61 | 12.44 | 482.88 | 557.17 |
| 70 MPa | 57.33 | 5.96 | 4.39 | 5.17 | 9.47 | 476.31 | 558.63 |
© 2019 by the authors. Licensee MDPI, Basel, Switzerland. This article is an open access article distributed under the terms and conditions of the Creative Commons Attribution (CC BY) license (http://creativecommons.org/licenses/by/4.0/).
Share and Cite
Zhou, Z.; Wang, H.; Cai, X.; Chen, L.; E, Y.; Cheng, R. Damage Evolution and Failure Behavior of Post-Mainshock Damaged Rocks under Aftershock Effects. Energies 2019, 12, 4429. https://doi.org/10.3390/en12234429
Zhou Z, Wang H, Cai X, Chen L, E Y, Cheng R. Damage Evolution and Failure Behavior of Post-Mainshock Damaged Rocks under Aftershock Effects. Energies. 2019; 12(23):4429. https://doi.org/10.3390/en12234429
Chicago/Turabian StyleZhou, Zilong, Haiquan Wang, Xin Cai, Lu Chen, Yude E, and Ruishan Cheng. 2019. "Damage Evolution and Failure Behavior of Post-Mainshock Damaged Rocks under Aftershock Effects" Energies 12, no. 23: 4429. https://doi.org/10.3390/en12234429
APA StyleZhou, Z., Wang, H., Cai, X., Chen, L., E, Y., & Cheng, R. (2019). Damage Evolution and Failure Behavior of Post-Mainshock Damaged Rocks under Aftershock Effects. Energies, 12(23), 4429. https://doi.org/10.3390/en12234429

