A Decentralized Solution for Transmission Expansion Planning: Getting Inspiration from Nature
Abstract
1. Introduction
- Initialize a lattice of food pipes over the area under optimization.
- Calculate food flows.
- Update pipe capacities, increasing the capacities of the pipes that are used in full and decreasing the capacity of the pipes that are not used in full.
- -
- A lattice cannot capture the discreteness of transmission lines (a transmission line should be considered as one investment, with a single capacity, from the start to the end node).
- -
- The physics of power flows is not considered.
- We design an ABM to solve TEP. This ABM is inspired by the behavior of the slime mold and incorporating the physics of power flows and the idiosyncracies of the power system.
- We demonstrate its performance in a case study that shows that the resulting networks are consistently good across all case studies and might present some interesting properties with respect to robustness.
1.1. Power Transmission Planning
1.2. Agent-Based Modeling in Power Systems and Power Network Design
2. Materials and Methods
2.1. How Power Networks Differ from Other Network Problems
2.2. Transmission Expansion Planning Translated into Framework of Slime Mold-Inspired Agent-Based Model (ABM)
3. Case-Study Description
4. Results and Discussion
4.1. Comparing the Performance of Mold-Inspired ABM to Classical Optimization Methods
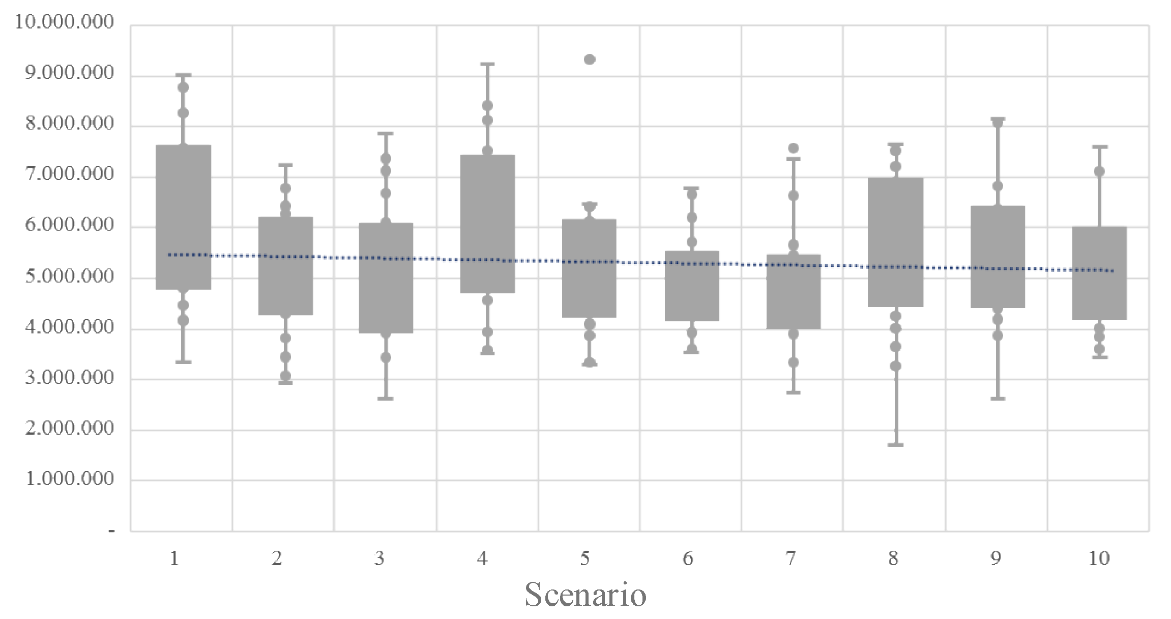
4.2. Sensitivity Analysis
4.3. Impact of the Technology Mix
Impact of Cable Investment Cost and Power Not Served (PNS) Penalty
5. Conclusions
Author Contributions
Funding
Conflicts of Interest
References
- Lumbreras, S.; Ramos, A. The new challenges to transmission expansion planning. Survey of recent practice and literature review. Electr. Power Syst. Res. 2016, 134, 19–29. [Google Scholar] [CrossRef]
- Tero, A.; Takagi, S.; Saigusa, T.; Ito, K.; Bebber, D.P.; Fricker, M.D.; Yumiki, K.; Kobayashi, R.; Nakagaki, T. Rules for biologically inspired adaptive network design. Science 2010, 327, 439–442. [Google Scholar] [CrossRef] [PubMed]
- Galán, J.M.; Izquierdo, L.R.; Izquierdo, S.S.; Santos, J.I.; del Olmo, R.; López-Paredes, A.; Edmonds, B. Errors and artefacts in agent-based modelling. J. Artif. Soc. Soc. Simul. 2009, 12, 1. [Google Scholar]
- Nakagaki, T. Smart behavior of true slime mold in a labyrinth. Res. Microbiol. 2001, 152, 767–770. [Google Scholar] [CrossRef]
- Adamatzky, A. Developing proximity graphs by Physarum polycephalum: Does the plasmodium follow the Toussaint hierarchy? LETT. Parallel Process. 2009, 19, 105–127. [Google Scholar] [CrossRef]
- Tsuda, S.; Aono, M.; Gunji, Y. Robust and emergent Physarum logical-computing. BioSystems 2004, 73, 45–55. [Google Scholar] [CrossRef]
- Takamatsu, A.; Takaba, E.G. Takizawa, Environment-dependent morphology in plasmodium of true slime mold Physarum polycephalum and a network growth model. J. Biol. 2009, 256, 29–44. [Google Scholar]
- Gonzalez-Romero, I.; Wogrin, S.; Gomez, T. Proactive transmission expansion planning with storage considerations. Energy Strategy Rev. 2019, 24, 154–165. [Google Scholar] [CrossRef]
- Gonzalez-Romero, I.C.; Wogrin, S.; Gomez, T. A Review on Generation and Transmission Expansion Co-Planning Models under a Market Environment. IET Gener. Transm. Distrib. 2019. Under Review. [Google Scholar]
- Binato, S.; Pereira, M.V.F.; Granville, S. A New Benders Decomposition Approach to Solve Power Transmission Network Design Problems. IEEE Trans. Power Syst. 2001, 16, 235. [Google Scholar] [CrossRef]
- Lumbreras, S.; Ramos, A. How to solve the transmission expansion planning problem faster: Acceleration techniques applied to Benders’ decomposition. IET Gener. Transm. Distrib. 2016, 10, 2351–2359. [Google Scholar] [CrossRef]
- Zhuo, Z.; Du, E.; Zhang, N.; Kang, C.; Xia, Q.; Wang, Z. Incorporating Massive Scenarios in Transmission Expansion Planning with High Renewable Energy Penetration. IEEE Trans. Power Syst. 2019. [Google Scholar] [CrossRef]
- Kim, W.W.; Park, J.K.; Yoon, Y.T.; Kim, M.K. Transmission Expansion Planning under Uncertainty for Investment Options with Various Lead-Times. Energies 2018, 11, 2429. [Google Scholar] [CrossRef]
- Wang, S.; Geng, G.; Jiang, Q. Robust Co-Planning of Energy Storage and Transmission Line with Mixed Integer Recourse. IEEE Trans. Power Syst. 2019, 34, 4728–4738. [Google Scholar] [CrossRef]
- Zhang, X.; Tomsovic, K.; Dimitrovski, A. Security constrained multi-stage transmission expansion planning considering a continuously variable series reactor. IEEE Trans. Power Syst. 2017, 32, 4442–4450. [Google Scholar] [CrossRef]
- Lumbreras, S.; Ramos, A.; Banez-Chicharro, F.; Olmos, L.; Panciatici, P.; Pache, C.; Maeght, J. Large-scale transmission expansion planning: From zonal results to a nodal expansion plan. IET Gener. Transm. Distrib. 2017, 11, 2778–2786. [Google Scholar] [CrossRef]
- McArthur, S.D.J.; Davidson, E.M.; Catterson, V.M.; Dimeas, A.L.; Hatziargyrio, N.D.; Ponci, F.; Funabashi, T. Multi-Agent Systems for Power Engineering Applications—Part I: Concepts, Approaches, and Technical Challenges. IEEE Trans. Power Syst. 2007, 22, 1743–1752. [Google Scholar] [CrossRef]
- Kiose, D.; Voudouris, V. The ACEWEM framework: An integrated agent-based and statistical modelling laboratory for repeated power auctions. Expert Syst. Appl. 2015, 42, 2731–2748. [Google Scholar] [CrossRef]
- Shafie-Khah, M.; Catalao, J.P.S. A Stochastic Multi-Layer Agent-Based Model to Study Electricity Market Participants Behavior. IEEE Trans. Power Syst. 2015, 30, 867–881. [Google Scholar] [CrossRef]
- Li, G.; Shi, J. Agent-based modeling for trading wind power with uncertainty in the day-ahead wholesale electricity markets of single-sided auctions. Appl. Energy 2012, 99, 13–22. [Google Scholar] [CrossRef]
- Thimmapuram, P.R.; Kim, J. Consumers’ Price Elasticity of Demand Modeling With Economic Effects on Electricity Markets Using an Agent-Based Model. IEEE Trans. Smart Grid 2013, 4, 390–397. [Google Scholar] [CrossRef]
- Karfopoulos, E.; Tena, L.; Torres, A.; Salas, P.; Jorda, J.G.; Dimeas, A.L.; Hatziargyriou, N.D. A multi-agent system providing demand response services from residential consumers. Electr. Power Syst. Res. 2015, 120, 163–176. [Google Scholar] [CrossRef]
- Divenyi, D.; Dan, A.M. Agent-Based Modeling of Distributed Generation in Power System Control. IEEE Trans. Sustain. Energy 2013, 4, 886–893. [Google Scholar] [CrossRef]
- Niese, A.; Lehnhoff, S.; Tröschel, M.; Uslar, M.; Wissing, C.; Appelrath, H.-J.; Sonnenschein, M. Market-based self-organized provision of active power and ancillary services: An agent-based approach for smart distribution grids. Complex. Eng. (CompEng) 2012, 2012. [Google Scholar] [CrossRef]
- Prostejovsky, A.; Merdan, M.; Schitter, G.; Dimeas, A. Demonstration of a multi-agent-based control system for active electric power distribution grids. In Proceedings of the Intelligent Energy Systems (IWIES), 2013 IEEE International Workshop, Vienna, Austria, 14 November 2013; pp. 76–81. [Google Scholar]
- Ross, K.J.; Hopkinson, K.M.; Pachter, M. Using a Distributed Agent-Based Communication Enabled Special Protection System to Enhance Smart Grid Security. IEEE Trans Smart Grid 2013, 4, 1216–1224. [Google Scholar] [CrossRef]
- Nguyen, C.P.; Flueck, A.J. A Novel Agent-Based Distributed Power Flow Solver for Smart Grids. IEEE Trans. Smart Grid 2015, 6, 1261–1270. [Google Scholar] [CrossRef]
- Dimeas, A.L.; Hatziargyriou, N.D. Operation of a multiagent system for microgrid control. IEEE Trans. Power Syst. 2005, 20, 1447–1455. [Google Scholar] [CrossRef]
- Colson, C.M.; Nehrir, M.H. Agent-based power management of microgrids including renewable energy power generation. In Proceedings of the Power and Energy Society General Meeting, Detroit, MI, USA, 24–28 July 2011; IEEE: Piscataway, NJ, USA, 2011; pp. 1–3. [Google Scholar]
- Dou, C.; Liu, B. Multi-Agent Based Hierarchical Hybrid Control for Smart Microgrid. IEEE Trans. Smart Grid 2013, 4, 771–778. [Google Scholar] [CrossRef]
- Davidson, E.M.; McArthur, S.D.J.; McDonald, J.R.; Cumming, T.; Watt, I. Applying multi-agent system technology in practice: Automated management and analysis of SCADA and digital fault recorder data. IEEE Trans. Power Syst. 2006, 21, 559–567. [Google Scholar] [CrossRef]
- Sharma, A.; Srivastava, S.C.; Chakrabarti, S. A multi-agent-based power system hybrid dynamic state estimator. IEEE Intell. Syst. 2015, 30, 52–59. [Google Scholar] [CrossRef]
- Koesrindartoto, D.; Sun, J.; Tesfatsion, L. An agent-based computational laboratory for testing the economic reliability of wholesale power market designs. In Proceedings of the Power Engineering Society General Meeting, San Francisco, CA, USA, 16 June 2005; IEEE: Piscataway, NJ, USA, 2005; pp. 2818–2823. [Google Scholar]
- Yan, X.; Shi, L.; Yao, L.; Ni, Y.; Bazargan, M. A multi-agent based autonomous decentralized framework for power system restoration. In Proceedings of the Power System Technology (POWERCON) International Conference, Chengdu, China, 20–22 October 2014; pp. 871–876. [Google Scholar]
- Xu, Y.; Liu, W.; Gong, J. Stable Multi-Agent-Based Load Shedding Algorithm for Power Systems. IEEE Trans. Power Syst. 2011, 26, 2006–2014. [Google Scholar]
- Nasri, M.; Farhangi, H.; Palizban, A.; Moallem, M. Multi-agent control system for real-time adaptive VVO/CVR in smart substation. In Proceedings of the Electrical Power and Energy Conference (EPEC), London, ON, Canada, 10–12 October 2012; IEEE: Piscataway, NJ, USA, 2012; pp. 1–7. [Google Scholar]
- Buse, D.; Sun, P.; Wu, Q.H.; Fitch, J. Agent-based substation automation. IEEE Power Energy Mag. 2003, 1, 50–55. [Google Scholar] [CrossRef]
- Kumar, R.; Sharma, D.; Sadu, A. A hybrid multi-agent based particle swarm optimization algorithm for economic power dispatch. Int. J. Electr. Power Energy Syst. 2011, 33, 115–123. [Google Scholar] [CrossRef]
- Fichera, A.; Pluchino, A.; Volpe, R. A multi-layer agent-based model for the analysis of energy distribution networks in urban areas. Phys. A Stat. Mech. Appl. 2018, 508, 710–725. [Google Scholar] [CrossRef]
- Volpe, R.; Frasca, M.; Fichera, A.; Fortuna, L. The role of autonomous energy production systems in urban energy networks. J. Complex Netw. 2016, 5, 461–472. [Google Scholar] [CrossRef]
- Fichera, A.; Volpe, R.; Frasca, M. Assessment of the energy distribution in urban areas by using the framework of complex network theory. Int. J. Heat Technol. 2016, 34, 430–434. [Google Scholar] [CrossRef]
- Kremers, E.; de Durana, J.G.; Barambones, O. Multi-agent modeling for the simulation of a simple smart microgrid. Energy Convers. Manag. 2013, 75, 643–650. [Google Scholar] [CrossRef]
- Gnansounou, E.; Dong, J.; Pierre, S.; Quintero, A. Market oriented planning of power generation expansion using agent-based model. In Proceedings of the Power Systems Conference and Exposition, New York, NY, USA, 10–13 October 2004; IEEE PES: Piscataway, NJ, USA, 2004; Volume 3, pp. 1306–1311. [Google Scholar]
- Lumbreras, S. Decision Support Methods for Large-Scale Flexible Transmission Expansion Planning. Ph.D. Thesis, Universidad Pontificia Comillas, Madrid, Spain, 2014. [Google Scholar]
- Hemmati, R.; Hooshmand, R.; Khodabakhshian, A. Comprehensive review of generation and transmission expansion planning. IET Gener. Transm. Distrib. 2013, 7, 955–964. [Google Scholar] [CrossRef]
- Motamedi, A.; Zareipour, H.; Buygi, M.O.; Rosehart, W.D. A Transmission Planning Framework Considering Future Generation Expansions in Electricity Markets. IEEE Trans. Power Syst. 2010, 25, 1987–1995. [Google Scholar] [CrossRef]
- Yen, J.; Contreras, J.; Klusch, M. Multi-agent approach to the planning of power transmission expansion. Decis. Support Syst. 2000, 28, 279–290. [Google Scholar] [CrossRef]
- Palma-Benhke, R.; Philpott, A.; Jofré, A.; Cortés-Carmona, M. Modelling network constrained economic dispatch problems. Optim. Eng. 2013, 14, 417–430. [Google Scholar] [CrossRef][Green Version]
- Grimm, V.; Berger, U.; Bastiansen, F.; Eliassen, S.; Ginot, V.; Giske, J.; Goss-Custard, J.; Grand, T.; Heinz, S.K.; Huse, G.; et al. A standard protocol for describing individual-based and agent-based models. Ecol. Model. 2006, 198, 115–126. [Google Scholar] [CrossRef]
- EWEA. Wind in Power: 2014 European Statistics; EWEA: Brussels, Belgium, 2015. [Google Scholar]
- Lorscheid, I.; Heine, B.; Meyer, M. Opening the ‘black box’ of simulations: Increased transparency and effective communication through the systematic design of experiments. Comput. Math. Organ. Theory 2012, 18, 22–62. [Google Scholar] [CrossRef]





| Technology | Relative Penetration (%) | Capacity Lower Bound (MW) | Capacity Upper Bound (MW) | Marginal Cost (€/MWh) |
|---|---|---|---|---|
| Wind | 19.1% | 10 | 500 | 1.0 |
| Solar | 5.2% | 10 | 500 | 3.0 |
| Hydro | 11.1% | 10 | 500 | 3.0 |
| Nuclear | 21.7% | 1000 | 1500 | 18.0 |
| Coal | 20.3% | 500 | 100 | 58.6 |
| CCGT | 10.6% | 100 | 500 | 56.9 |
| OCGT | 12.0% | 100 | 500 | 100.0 |
| Basic Cable Characteristics | |
|---|---|
| Cable investment cost (€/km) | 50,000 |
| Initial cable capacity (MW) | 1000 |
| Reactance (ohm pu/km) | 0.008 |
| ABM | MIP | Δ (%) | |||||
|---|---|---|---|---|---|---|---|
| Op Cost (€) | Inv Cost (€) | Total Cost (€) | Op Cost (€) | Inv Cost (€) | Total Cost (€) | Total Cost | |
| 1 | 5912 | 2,851,647 | 297,522 | 2757 | 2,149,000 | 247,323 | 16.9% |
| 2 | 3556 | 5,156,841 | 530,894 | 3298 | 4,385,500 | 435,025 | 18.1% |
| 3 | 2027 | 5,609,869 | 575,693 | 1157 | 4,574,100 | 477,062 | 17.1% |
| 4 | 2755 | 3,602,599 | 311,157 | 3492 | 2,443,300 | 251,760 | 19.0% |
| Scenario | % Wind | % Solar | % Hydro | % Nuclear | % Coal | % OCGT | % CCGT |
|---|---|---|---|---|---|---|---|
| 1 | - | - | - | - | - | - | 100 |
| 2 | - | - | - | - | 10 | 10 | 80 |
| 3 | - | - | - | - | 20 | 20 | 60 |
| 4 | - | - | - | 10 | 30 | 30 | 30 |
| 5 | - | - | - | 25 | 25 | 25 | 25 |
| 6 | 5 | 5 | 5 | 25 | 20 | 20 | 20 |
| 7 | 10 | 10 | 10 | 40 | 10 | 10 | 10 |
| 8 | 25 | 25 | 25 | 25 | - | - | - |
| 9 | 30 | 30 | 30 | 10 | - | - | - |
| 10 | 33.4 | 33.3 | 33.3 | - | - | - | - |
© 2019 by the authors. Licensee MDPI, Basel, Switzerland. This article is an open access article distributed under the terms and conditions of the Creative Commons Attribution (CC BY) license (http://creativecommons.org/licenses/by/4.0/).
Share and Cite
Lumbreras, S.; Wogrin, S.; Navarro, G.; Bertazzi, I.; Pereda, M. A Decentralized Solution for Transmission Expansion Planning: Getting Inspiration from Nature. Energies 2019, 12, 4427. https://doi.org/10.3390/en12234427
Lumbreras S, Wogrin S, Navarro G, Bertazzi I, Pereda M. A Decentralized Solution for Transmission Expansion Planning: Getting Inspiration from Nature. Energies. 2019; 12(23):4427. https://doi.org/10.3390/en12234427
Chicago/Turabian StyleLumbreras, Sara, Sonja Wogrin, Guillermo Navarro, Ilaria Bertazzi, and Maria Pereda. 2019. "A Decentralized Solution for Transmission Expansion Planning: Getting Inspiration from Nature" Energies 12, no. 23: 4427. https://doi.org/10.3390/en12234427
APA StyleLumbreras, S., Wogrin, S., Navarro, G., Bertazzi, I., & Pereda, M. (2019). A Decentralized Solution for Transmission Expansion Planning: Getting Inspiration from Nature. Energies, 12(23), 4427. https://doi.org/10.3390/en12234427

