Optimal Scheduling of Microgrid with Distributed Power Based on Water Cycle Algorithm
Abstract
1. Introduction
2. Models of Distributed Power and Energy Storage Systems in Microgrids
2.1. The Structure of the Microgrid
2.2. The Model of Photovoltaic Power Generation ()
2.3. The Model of Wind Power Generation ()
2.4. The Model of Micro Turbine ()
2.5. The Model of Diesel Engine Generator ()
2.6. The Model of Energy Storage System ()
3. Optimized Scheduling Model of the Microgrid
3.1. Objective Function
3.2. Constraints
3.3. Scheduling Strategy in Grid-Connected Mode
4. Water Cycle Algorithm
4.1. The Basic Concepts and Procedures of WCA
4.1.1. Basic Concepts
4.1.2. The Procedure of WCA
4.2. The Characteristics and Development of WCA Algorithm
4.3. The Introduction of Some Other Algorithms
5. Case Study
5.1. The Optimized Result by Using WCA
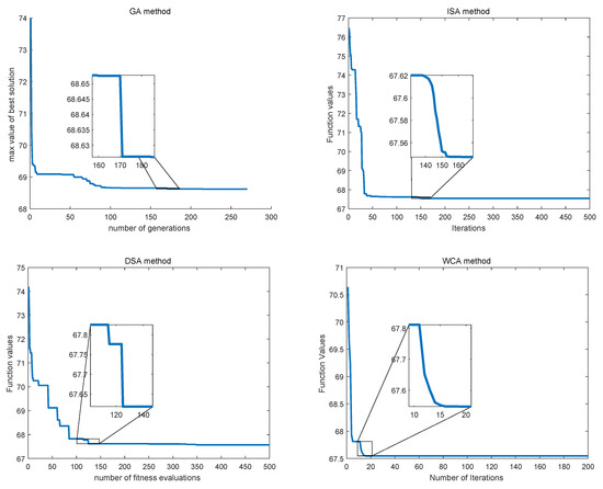
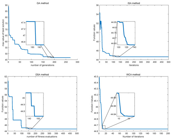
5.2. The Optimized Result by Using GA, DSA, ISA and WCA
5.3. The Analysis of Simulation Results
6. Conclusions
Author Contributions
Funding
Conflicts of Interest
References
- Naderi, Y.; Hosseini, S.H.; Zadeh, S.G.; Mohammadi-Ivatloo, B.; Vasquez, J.C.; Guerrero, J.M. An overview of power quality enhancement techniques applied to distributed generation in electrical distribution networks. Renew. Sustain. Energy Rev. 2018, 93, 201–214. [Google Scholar] [CrossRef]
- Walling, R.; Saint, R.; Dugan, R.C.; Burke, J.; Kojovic, L.A. Summary of distributed resources impact on power delivery systems. IEEE Trans. Power Deliv. 2008, 23, 1636–1644. [Google Scholar] [CrossRef]
- Hatziargyriou, N.; Asano, H.; Iravani, R.; Marnay, C. Microgrids. IEEE Power Energy Mag. 2007, 5, 78–94. [Google Scholar] [CrossRef]
- Modiri-Delshad, M.; Koohi-Kamali, S.; Taslimi, E.; Kaboli, S.H.A.; Rahim, N. Economic dispatch in a microgrid through an iterated-based algorithm. In Proceedings of the 2013 IEEE Conference on Clean Energy and Technology (CEAT), Lankgkawi, Malaysia, 18–20 November 2013; pp. 82–87. [Google Scholar]
- Pisei, S.; Choi, J.Y.; Lee, W.P.; Won, D.J. Optimal Power Scheduling in Multi-Microgrid System Using Particle Swarm Optimization. J. Electr. Eng. Technol. 2017, 12, 1329–1339. [Google Scholar]
- Hassan, M.; Abido, M. Optimal design of microgrids in autonomous and grid-connected modes using particle swarm optimization. IEEE Trans. Power Electron. 2011, 26, 755. [Google Scholar] [CrossRef]
- Jeong, Y.W.; Park, J.B.; Jang, S.H.; Lee, K.Y. A new quantum-inspired binary PSO: Application to unit commitment problems for power systems. IEEE Trans. Power Syst. 2010, 25, 1486–1495. [Google Scholar] [CrossRef]
- Marzband, M.; Yousefnejad, E.; Sumper, A.; Domínguez-García, J.L. Real time experimental implementation of optimum energy management system in standalone microgrid by using multi-layer ant colony optimization. Int. J. Electr. Power Energy Syst. 2016, 75, 265–274. [Google Scholar] [CrossRef]
- Hemmati, M.; Amjady, N.; Ehsan, M. System modeling and optimization for islanded micro-grid using multi-cross learning-based chaotic differential evolution algorithm. Int. J. Electr. Power Energy Syst. 2014, 56, 349–360. [Google Scholar] [CrossRef]
- Marzband, M.; Parhizi, N.; Adabi, J. Optimal energy management for stand-alone microgrids based on multi-period imperialist competition algorithm considering uncertainties: Experimental validation. Int. Trans. Electr. Energy Syst. 2016, 26, 1358–1372. [Google Scholar] [CrossRef]
- Maharsi, A.L.; Wijaya, F.D.; Mustika, I.W. Cost-based power distribution optimization scheduling in microgrid. In Proceedings of the 2017 3rd International Conference on Science and Technology-Computer (ICST), Yogyakarta, Indonesia, 11–12 July 2017; pp. 87–92. [Google Scholar]
- Tiwari, N.; Srivastava, L. Generation scheduling and micro-grid energy management using differential evolution algorithm. In Proceedings of the 2016 International Conference on Circuit, Power and Computing Technologies (ICCPCT), Nagercoil, India, 18–19 March 2016; pp. 1–7. [Google Scholar]
- Liu, Q.; Wang, R.; Zhang, Y.; Wu, G.; Shi, J. An Optimal and Distributed Demand Response Strategy for Energy Internet Management. Energies 2018, 11, 215. [Google Scholar] [CrossRef]
- El-Hendawi, M.; Gabbar, H.A.; El-Saady, G.; Ibrahim, E.N.A. Control and EMS of a Grid-Connected Microgrid with Economical Analysis. Energies 2018, 11, 129. [Google Scholar] [CrossRef]
- Hato, M.M.; Bouallègue, S.; Ayadi, M. Water cycle algorithm-tuned PI control of a doubly fed induction generator for wind energy conversion. In Proceedings of the 9th International Renewable Energy Congress (IREC), Hammamet, Tunisia, 20–22 March 2018; pp. 1–6. [Google Scholar]
- Rezk, H.; Fathy, A. A novel optimal parameters identification of triple-junction solar cell based on a recently meta-heuristic water cycle algorithm. Sol. Energy 2017, 157, 778–791. [Google Scholar] [CrossRef]
- Elhameed, M.; El-Fergany, A. Water cycle algorithm-based economic dispatcher for sequential and simultaneous objectives including practical constraints. Appl. Soft Comput. 2017, 58, 145–154. [Google Scholar] [CrossRef]
- Makeen, P.; Swief, R.; Abdel-Salam, T.; El-Amary, N.H. Smart Hybrid Micro-Grid Integration for Optimal Power Sharing-Based Water Cycle Optimization Technique. Energies 2018, 11, 1083. [Google Scholar] [CrossRef]
- ElAzab, H.A.I.; Swief, R.; El-Amary, N.H.; Temraz, H. Unit Commitment Towards Decarbonized Network Facing Fixed and Stochastic Resources Applying Water Cycle Optimization. Energies 2018, 11, 1140. [Google Scholar] [CrossRef]
- Tsikalakis, A.G.; Hatziargyriou, N.D. Centralized control for optimizing microgrids operation. In Proceedings of the 2011 IEEE Power and Energy Society General Meeting, Detroit, MI, USA, 24–29 July 2011; pp. 1–8. [Google Scholar]
- Wang, H.; Wang, T.; Xie, X.; Ling, Z.; Gao, G.; Dong, X. Optimal Capacity Configuration of a Hybrid Energy Storage System for an Isolated Microgrid Using Quantum-Behaved Particle Swarm Optimization. Energies 2018, 11, 454. [Google Scholar] [CrossRef]
- Deshmukh, M.; Deshmukh, S. Modeling of hybrid renewable energy systems. Renew. Sustain. Energy Rev. 2008, 12, 235–249. [Google Scholar] [CrossRef]
- Hetzer, J.; David, C.Y.; Bhattarai, K. An economic dispatch model incorporating wind power. IEEE Trans. Energy Convers. 2008, 23, 603–611. [Google Scholar] [CrossRef]
- Chedid, R.; Akiki, H.; Rahman, S. A decision support technique for the design of hybrid solar-wind power systems. IEEE Trans. Energy Convers. 1998, 13, 76–83. [Google Scholar] [CrossRef]
- Tyagi, A.; Chauhan, Y.K. A prospective on modeling and performance analysis of micro-turbine generation system. In Proceedings of the 2013 International Conference on Energy Efficient Technologies for Sustainability (ICEETS), Nagercoil, India, 10–12 April 2013; pp. 1057–1063. [Google Scholar]
- Chen, J.; Yang, X.; Zhu, L.; Zhang, M.; Li, Z. Microgrid multi-objective economic dispatch optimization. Proc. CSEE 2013, 33, 57–66. [Google Scholar]
- Zhu, J. Optimization of Power System Operation, 2nd ed.; John Wiley & Sons: Hoboken, NJ, USA, 2015; Volume 47. [Google Scholar]
- Wang, Y.; Huang, Y.; Wang, Y.; Li, F.; Zhang, Y.; Tian, C. Operation optimization in a smart micro-grid in the presence of distributed generation and demand response. Sustainability 2018, 10, 847. [Google Scholar] [CrossRef]
- Eskandar, H.; Sadollah, A.; Bahreininejad, A.; Hamdi, M. Water cycle algorithm–A novel metaheuristic optimization method for solving constrained engineering optimization problems. Comput. Struct. 2012, 110, 151–166. [Google Scholar] [CrossRef]
- Haddad, O.B.; Moravej, M.; Loáiciga, H.A. Application of the water cycle algorithm to the optimal operation of reservoir systems. J. Irrig. Drain. Eng. 2014, 141, 04014064. [Google Scholar] [CrossRef]
- Ongsakul, W.; Dieu, V.N. Artificial Intelligence in Power System Optimization, 1st, ed.; Crc Press: Boca Raton, FL, USA, 2013. [Google Scholar]
- Wang, L.; Zhong, X.; Liu, M. A novel group search optimizer for multi-objective optimization. Expert Syst. Appl. 2012, 39, 2939–2946. [Google Scholar] [CrossRef]
- Yang, X.S. Engineering Optimization: An Introduction with Metaheuristic Applications; John Wiley & Sons: Hoboken, NJ, USA, 2010. [Google Scholar]
- Deihimi, A.; Zahed, B.K.; Iravani, R. An interactive operation management of a micro-grid with multiple distributed generations using multi-objective uniform water cycle algorithm. Energy 2016, 106, 482–509. [Google Scholar] [CrossRef]
- Sarvi, M.; Avanaki, I.N. An optimized fuzzy logic controller by water cycle algorithm for power management of stand-alone hybrid green power generation. Energy Convers. Manag. 2015, 106, 118–126. [Google Scholar] [CrossRef]
- Esfahani, I.J.; Yoo, C. An optimization algorithm-based pinch analysis and GA for an off-grid batteryless photovoltaic-powered reverse osmosis desalination system. Renew. Energy 2016, 91, 233–248. [Google Scholar] [CrossRef]
- El-Hameed, M.A.; El-Fergany, A.A. Water cycle algorithm-based load frequency controller for interconnected power systems comprising non-linearity. IET Gene. Transm. Distrib. 2016, 10, 3950–3961. [Google Scholar] [CrossRef]
- Sadollah, A.; Eskandar, H.; Kim, J.H. Water cycle algorithm for solving constrained multi-objective optimization problems. Appl. Soft Comput. 2015, 27, 279–298. [Google Scholar] [CrossRef]
- Sadollah, A.; Eskandar, H.; Bahreininejad, A.; Kim, J.H. Water cycle algorithm with evaporation rate for solving constrained and unconstrained optimization problems. Appl. Soft Comput. 2015, 30, 58–71. [Google Scholar] [CrossRef]
- Sadollah, A.; Eskandar, H.; Yoo, D.G.; Kim, J.H. Approximate solving of nonlinear ordinary differential equations using least square weight function and metaheuristic algorithms. Eng. Appl. Artif. Intell. 2015, 40, 117–132. [Google Scholar] [CrossRef]
- Coello, C.A.C. Theoretical and numerical constraint-handling techniques used with evolutionary algorithms: A survey of the state of the art. Comput. Methods Appl. Mech. Eng. 2002, 191, 1245–1287. [Google Scholar] [CrossRef]
- Huang, Z.; Yi, L.; Wan, J. Research on optimization control of SRM system based on APSO algorithm. In Proceedings of the 2015 27th Chinese Control and Decision Conference (CCDC), Qingdao, China, 23–25 May 2015; pp. 4953–4958. [Google Scholar]
- Goldberg, D.E.; Holland, J.H. Genetic algorithms and machine learning. Mach. Learn. 1988, 3, 95–99. [Google Scholar] [CrossRef]
- Gandomi, A.H. Interior search algorithm (ISA): A novel approach for global optimization. ISA Trans. 2014, 53, 1168–1183. [Google Scholar] [CrossRef] [PubMed]
- Civicioglu, P. Transforming geocentric cartesian coordinates to geodetic coordinates by using differential search algorithm. Comput. Geosci. 2012, 46, 229–247. [Google Scholar] [CrossRef]









| Time slot | Purchasing Price [yuan] | Selling Price [yuan] | Time Slot | Purchasing Price [yuan] | Selling Price [yuan] |
|---|---|---|---|---|---|
| 1 | 0.2400 | 0.1836 | 13 | 0.7960 | 0.6209 |
| 2 | 0.17770 | 0.1356 | 14 | 0.7213 | 0.5770 |
| 3 | 0.1301 | 0.1015 | 15 | 0.6547 | 0.5107 |
| 4 | 0.0969 | 0.0746 | 16 | 0.5320 | 0.4150 |
| 5 | 0.0300 | 0.0234 | 17 | 0.4000 | 0.3120 |
| 6 | 0.7101 | 0.1310 | 18 | 0.5647 | 0.4320 |
| 7 | 0.2710 | 0.2113 | 19 | 0.9900 | 0.7723 |
| 8 | 0.3864 | 0.3014 | 20 | 1.4923 | 1.1620 |
| 9 | 0.5169 | 0.4032 | 21 | 0.8801 | 0.6690 |
| 10 | 0.5260 | 0.4050 | 22 | 0.3480 | 0.2732 |
| 11 | 0.8100 | 0.6299 | 23 | 0.3000 | 0.2350 |
| 12 | 0.8530 | 0.6225 | 24 | 0.2250 | 0.1730 |
| Kinds of DG | Installation Cost/[104 yuan·kW−1] | Operation and Maintenance Cost/[yuan/kW·h] | Life/year |
|---|---|---|---|
| 1.2 | 0.045 | 10 | |
| 2 | 0.0096 | 20 | |
| 1 | 0.128 | 10 | |
| 1.5 | 0.0825 | 10 | |
| 0.0667 | 0.045 | 10 |
| Pollutants | Gas Emission of MT [kg/kW·h] | Gas Emission of FC [kg/kW·h] | Environmental [yuan·kg−1] | Penalty [yuan·kg−1] |
|---|---|---|---|---|
| 6.188 × 10−4 | 2.300 × 10−5 | 6.8 | 1.7 | |
| 0.18408 | 0.63504 | 0.00288 | 0.00125 | |
| 1.702 × 10−4 | 5.440 × 10−5 | 0.12500 | 0.02000 | |
| 9.280 × 10−7 | 0.00002 | 0.75000 | 0.12500 |
© 2018 by the authors. Licensee MDPI, Basel, Switzerland. This article is an open access article distributed under the terms and conditions of the Creative Commons Attribution (CC BY) license (http://creativecommons.org/licenses/by/4.0/).
Share and Cite
Yang, X.; Long, J.; Liu, P.; Zhang, X.; Liu, X. Optimal Scheduling of Microgrid with Distributed Power Based on Water Cycle Algorithm. Energies 2018, 11, 2381. https://doi.org/10.3390/en11092381
Yang X, Long J, Liu P, Zhang X, Liu X. Optimal Scheduling of Microgrid with Distributed Power Based on Water Cycle Algorithm. Energies. 2018; 11(9):2381. https://doi.org/10.3390/en11092381
Chicago/Turabian StyleYang, Xiaohui, Jiating Long, Peiyun Liu, Xiaolong Zhang, and Xiaoping Liu. 2018. "Optimal Scheduling of Microgrid with Distributed Power Based on Water Cycle Algorithm" Energies 11, no. 9: 2381. https://doi.org/10.3390/en11092381
APA StyleYang, X., Long, J., Liu, P., Zhang, X., & Liu, X. (2018). Optimal Scheduling of Microgrid with Distributed Power Based on Water Cycle Algorithm. Energies, 11(9), 2381. https://doi.org/10.3390/en11092381

