Abstract
The large deployment of plug-in electric vehicles (PEVs) challenges the operation of the distribution network. Uncoordinated charging of PEVs will cause a heavy load burden at rush hour and lead to increased power loss and voltage fluctuation. To overcome these problems, a novel coordinated charging strategy which considers the moving characteristics of PEVs is proposed in this paper. Firstly, the concept of trip chain is introduced to analyze the spatial and temporal distribution of PEVs. Then, a stochastic optimization model for PEV charging is established to minimize the distribution network power loss (DNPL) and maximal voltage deviation (MVD). After that, the particle swarm optimization (PSO) algorithm with an embedded power flow program is adopted to solve the model, due to its simplicity and practicality. Last, the feasibility and efficiency of the proposed strategy is tested on the IEEE 33 distribution system. Simulation results show that the proposed charging strategy not only reduces power loss and the peak valley difference, but also improves voltage profile greatly.
1. Introduction
The intensification of environmental pollution has drawn people’s attention to renewable energy generation, electric vehicles (EVs) and some other energy scavenging technologies []. As a clean, efficient and eco-friendly means of transportation, plug-in electric vehicles (PEVs) are widely used throughout the whole world. However, the high penetration of PEVs will lead to large amount of power consumption, which will increase the load burden of the distribution network []. Meanwhile, the uncoordinated charging of PEVs will also bring negative impacts on the distribution network, such as overloading, increased power loss, voltage drop and so on []. In [], the specific impacts including power loss and voltage deviation have been discussed under uncoordinated and coordinated charging scenarios, the results showed that the uncoordinated charging of plug-in hybrid electric vehicles (PHEVs) reduces the efficiency of the distribution network. The potential impacts from various levels were investigated in [], where simulation results illustrated that the uncontrolled charging of EVs could also result in levels of unbalance. The power quality impact assessment was conducted in [], which considered the random operating characteristics of PHEVs. A stochastic approach based on actual measurements and survey data was proposed in [] to analyze the voltage and congestion impacts of electric vehicles (EVs), the conclusion was that the security problems caused by EVs can be mitigated by smart charging. Therefore, the proper control of PEVs is critical to ensure the safe and economical operation of the distribution network.
Much research has focused on the coordinated charging of PEVs. In [], a centralized control charging method has been proposed to maximize the total power that could be transmitted to EVs by controlling the charging rates. In [], a decentralized charging strategy was proposed to fill load valleys, whereby the charging profile of each EV was updated according to the delivered control signals. In [], an intelligent pricing scheme was proposed to coordinate PEV charging, in which the price and quantity information were sent to the load aggregators by the system operator. In [], a new application system was designed for EV management in a smart distribution network. Environmental issues, economic issues and various driving patterns of EVs owners were all considered in the proposed multi-objective optimization model. The benders decomposition technique was adopted to solve the problem, and results showed that this method has good convergence. In [], EV charging was formulated as a linear optimization problem taking distribution network constraints into account, which was suitable for charging large numbers of EVs. In [], two charging pricing mechanisms under non-cooperative and cooperative scenarios were presented to guide the charging schedules of EV owners. The coordinated charging strategies for different scenarios were designed according to different requirements, which reduced the computational complexity and guaranteed quick convergence. In [], a novel valley-filling strategy for large-scale EVs was proposed to mitigate negative impacts on the power grid. It defined two important indexes to select proper target time slots and determine the charging priority of EVs. The results showed that the centralized charging strategy was highly efficient. In [], coordination of PEVs was proposed to achieve valley filling and charging cost reduction, coupling the customer and grid-based objectives prominently.
Although these charging strategies are effective for solving the corresponding problems, the changing characteristics that lead to the random charging behavior of PEVs are more or less ignored. Compared with previous research, this paper proposes a novel charging strategy which considers the moving characteristics of PEVs to mitigate impacts on distribution network. First, the spatial-temporal distribution of PEVs is discussed based on trip chain and national household trip survey (NHTS) data. Second, for both economic and power quality concern, a stochastic optimization model for PEV charging is established to minimize the distribution network power loss (DNPL) and maximal voltage deviation (MVD). Then, the particle swarm optimization (PSO) algorithm with an embedded power flow program is adopted to solve the model by shifting the charging load of PEVs to different locations. Finally, simulations are conducted to verify the proposed model and strategy.
The rest of this paper is organized as follows: Section 2 describes the spatial and temporal distribution of PEVs. Section 3 presents the optimization model and solving method of the proposed charging strategy. In Section 4, the simulation results and discussions are presented. Finally, Section 5 draws the conclusions.
2. The Spatial and Temporal Distribution of PEVs
2.1. PEVs’ Daily Movement
Due to the mobility of PEVs and users’ travel habits, the charging behavior of PEVs is full of randomness. To obtain the spatial and temporal distribution of PEVs, the concept of the trip chain is introduced here to analyze users’ travel behavior []. According to national household trip survey (NHTS) data [], the trip destinations of PEVs can be classified into four types: Home (H), Work (W), Public leisure (P) and Other transactions (O). The typical daily movement of PEVs based on trip chain is shown in Figure 1.

Figure 1.
The typical daily movement of PEVs based on trip chain.
2.2. Construction of Trip Chain and the Transition Probability
Studies reveal that drivers usually both start and end all their trips at home. In addition, for private cars, the average length of trip chain is 3.02 []. Therefore, no more than three trip destinations are considered in this paper and the starting and terminal point is specified as home. Therefore, the trip chains of PEVs are constructed only between these four zones, as shown in Table 1.

Table 1.
Trip chains of PEVs.
In Table 1, a trip represents the movement between the original and final locations. For example, a trip from home to public place is defined as H-P. It is assumed that the movement of PEVs between different zones conforms to the discrete markov process [], then transitional probability from state Di to state Dj is given by (1):
Correspondingly, the transition probability matrix of PEVs between zones in this paper can be obtained as:
where the transition probability of each trip can be obtained by NHTS data.
2.3. Charging Load of PEVs
The charging load of PEVs depends on many important factors, such as charging location, charging mode and the number of PEVs. As mentioned in Section 2.1 and Section 2.2, the trip destination appearing in a trip chain indicates that users may stay and charge at the corresponding charging location. However, it is unreasonable to assume that PEVs could be charged anywhere, because of limited charging facilities. Therefore, the charging location is specified as the charging station in different zones, including residential charging station (RCS), working area charging station (WCS), public leisure area charging station (PCS) and other regional charging station (OCS).
Generally, the PEV charging mode can be divided into slow charging mode and fast charging mode []. The slow charging mode is usually adopted at home or the workplace, with low charging power and long charging duration. It is assumed that slow charging mode is used at RCS and WCS. The fast charging mode provides a high charging power, which is also called urgent charging. In fast charging mode, PEVs can be fully charged in a short time. Therefore, the fast charging mode is adopted in PCS and OCS.
After the determination of charging location and charging mode, the charging load can be obtained by (3):
where PZ,t is the load of charging station Z at time t, Z ∈ {RCS, WCS, PCS, OCS}; NZ is the number of PEVs in charging station Z; PCh ∈ {PChF, PChS} is the charging power, PChF is the fast charging power, PChS is the slow charging power; Sne,t is the charging state of the ne th PEV at time t, if charging, Sne,t = 1,else, Sne,t = 0.
In this paper, the number of PEVs in each charging station is not deterministic, it varies in a range, and depends on the demand of users. Its formula is as follows:
where NEV is the total number of PEVs in the distribution network; pZ is the parking probability for charging station Z; pZ,max and pZ,min are the maximum and minimum value of pZ, which can be obtained through the analysis of historical information and the transition probability.
The charging condition of PEVs is set as follows:
where Ta is the arrival time, and the arrival time for each charging station is different, but each follows the normal distribution [] denoted by Ta~N (μT, ), μT is the average value and σT is the standard deviation. In this paper, it is assumed that PEVs can be charged immediately when arriving at the station. Therefore, the initial charging time of PEV is the arrival time. Tc is the charging duration, which can be calculated by (6):
where SOCs and SOCf are the initial and final state of charge (SOC), respectively; Bc is the battery capacity, λ is the charging efficiency.
On this basis, the spatial-temporal load model of PEVs that can be directly applied in the coordinated charging procedure is established, and the flow chart is shown in Figure 2.

Figure 2.
The determination of the spatial and temporal distribution of PEVs.
3. Problem Formulation and Methodology
In this paper, the specific spatial and temporal optimal charging strategy of PEVs is proposed to mitigate impacts on distribution network, including power loss reduction and voltage profile improvement. It considers the moving characteristics of PEVs and expands the charging location from a single residential charge to a full-area charge. Based on the analysis of the spatial and temporal distribution of PEVs, the optimal strategy is achieved by adjusting the number of PEVs to shift charging load to different areas.
3.1. Objective Function
Power loss is an important economic concern of distribution networks, and occupies more than 40% of the total network loss []. It is necessary to minimize power loss for the economic operation of the distribution network. The expression of DNPL is as follows:
where Tt is the total number of charging periods, and is set as 24; Nbranch is the total number of branches; Rl is the resistance of branch l; Il,t is the current of branch l at time t.
From the distribution network operator, the voltage deviation partly represents the power quality concern, which is essential to the safe operation of the distribution network []. It is important to avoid large voltage deviations. The expression of MVD is as follows:
where Nnode is the total number of nodes; Ui,t is the voltage of node i at time t; UN is the rated voltage.
The problem involves multi-objective optimization, and two optimization targets are considered in the proposed model. Although some algorithms, such as the Pareto solution set method [] and the lexicographic method [], are efficient for solving multi-objective optimization, the linear weighting-sum method [] is used here for its better practicability and convenience. The two optimization goals are first normalized to the same range and then processed into a single objective function. The total objective function is formulated as follows:
where f1 is the normalized maximal voltage deviation; f2 is the normalized power loss; α and β are the weight coefficients.
3.2. Determination of Weight Coefficient
The judgment matrix method is a reliable quantification method to determine the weight coefficients []. It classifies all objectives into different scales according to importance, and then form a square matrix based on standardized scores. Usually, the scales 1, 2, 3, ⋯, 9 and their reciprocals are used to represent the relative importance. The meanings are shown in Table 2 [].

Table 2.
The rule of constructing the judgment matrix.
In this paper, the DNPL is considered slightly more important than the MVD. Therefore, the judgment matrix is formed as:
By solving the eigenvalues and characteristic vectors of the matrix [], the weight coefficients of each subgoal can be obtained α = 0.75, β = 0.25.
3.3. System Constraints
The first equality constraint is set for the power flow, which is as follows:
where Pi,t is the active power of node i at time t; Qi,t is the reactive power of node i at time t; Ui,t and Uj,t are the voltage amplitude of node i and node j at time t, respectively; δij,t is the voltage angle between node i and node j at time t; Gij is the conductance between node i and node j; Bij is the susceptance between node i and node j.
The second constraint is set for the node voltage, which is as follows:
where Umin is the minimum value of node voltage, which is set as 0.9 pu; Umax is the maximum value of node voltage, which is set as 1.1 pu.
The third constraint is set for PEVs:
3.4. Solving Method
The coordinated charging of PEVs is a complex nonlinear optimization problem, which can be solved by many kinds of modern heuristics algorithm, such as ant colony algorithms [], genetic algorithms [] and PSO algorithms []. Due to its simplicity and convenience, the PSO algorithm with an embedded power flow program is applied to solve the optimization problem. The inner-layer power flow calculation is carried out by back/forward sweep method, which is widely used in power systems. According to the calculated fitness function, the outer PSO algorithm constantly searches for the optimal results until the termination condition is satisfied. The specific steps are as follows:
Step 1: Input raw data, including parameters of the distribution network and PEVs.
Step 2: Specify some parameters associated with PSO, such as the population size NS, the dimension of particle D, the maximum number of iterations M.
Step 3: Randomly generate the initial particle swarm. In the optimization model of this paper, once the parking probability of PEVs in area Z is determined, the number of PEVs parked at different charging stations is also obtained. Therefore, the parking probability of PEVs is set as unknown quantity X in the PSO algorithm. Every particle has D dimensions, each dimension represents the number of PEVs parking at the corresponding charging station besides RCS. Because for all PEVs in this paper, the last trip destination is specified as home, the parking probability in RCS is a constant.
Step 4: Carry out the power flow calculation to initialize the fitness function. In the inner-layer program, set the sample array of the charging load of different charging stations including Ppcs [T], PRcs [T], POcs [T], PWcs [T] and perform the power flow calculation, T = 24. During the calculation, the power flow equation and voltage constraint would be satisfied automatically. In addition, the load distribution of PEVs is also initialized.
Step 5: Update the inertia weight and learning factors of particle swarm by (14):
where ω is the inertia weight, ωmax is the maximum value of ω, ωmin is the minimum value of ω; ca and cb are two learning factors; caini is initial value of ca and cafin is the final value of ca; cbini and cbfin are the initial and final value of cb, respectively.
Step 6: Update the velocity and position of particle swarm by (15):
where xnd(m) and vnd(m) are the position and velocity along dimension d of particle n in iteration m, respectively; xpn(m) is the best position of each particle; xg(m) is the best position among all the particles in the population; randa and randb are random numbers within a range of [0,1].
Step 7: To avoid the particle flying beyond its scope of velocity and position, the constraints of charging demand are handled as follows:
where vmin and vmax are the minimum and maximum value of velocity, respectively; xmax is the maximum value of position, xmin is the minimum value of position, pRCS is the parking probability for RCS.
Step 8: Carry out the power flow calculation again, update the fitness function. During the power flow calculation, the charging load of PEVs in different charging stations is also updated.
Step 9: Repeat Steps 5–8 for M times.
Step 10: Output the best position as the optimal solution, then we can obtain the optimal charging load of PEVs.
The whole process of coordinated charging of PEVs based on PSO algorithm is shown in Figure 3.

Figure 3.
The coordinated charging of PEVs based on the PSO algorithm.
4. Case Study
4.1. Case Description
In this paper, the IEEE 33 distribution system is used to demonstrate the proposed model and method. The system structure diagram is shown in Figure 4. The PCS, RCS, WCS and OCS are located at node 5, 8, 12 and 29, respectively. For each node of the IEEE 33 system, the load data is from the measured data of a real-urban area in China []. In addition, the typical daily load curve is shown in Figure 5. For all kinds of charging stations, SOCs obeys the normal distribution N (0.5, 0.1), SOCf is set as 1, and the relevant parameters of the PEVs [] and the PSO [,] algorithm are shown in Table 3. For better comparison, five different cases are described as follows:

Figure 4.
The structure diagram of the IEEE 33 distribution system.

Figure 5.
Typical daily load curve.

Table 3.
Parameters of the simulation.
Case 1: No PEVs connected to the distribution network.
Case 2: Random uncoordinated PEV charging may occur anytime and all PEVs charge only at RCS.
Case 3: The coordinated charging strategy is applied here and the charging probabilities at RCS, WCS, PCS and OCS are set as 0.5, 0.3, 0.1 and 0.1, respectively. Here, only DNPL is selected as the optimization objective.
Case 4: All the conditions are set the same as case 3, but only MVD is selected as the optimization objective.
Case 5: The multi-objective optimization under coordinated charging is conducted.
4.2. Parameter Calculation
The NHTS 2009 database has abundant trip records of residents. For each trip, the important information including trip destination, arrival time, departure time and driving distance are all provided. The transition probability of each trip is calculated by statistical data, which is shown in Table 4. By using the curve-fitting toolbox in MATLAB, the arrival time in different charging location is fitted with normal distribution, which is shown in Table 5.

Table 4.
Parameters of transition probability.

Table 5.
Parameters of arrival time.
4.3. Results Analysis
4.3.1. Convergence Analysis
The optimization is repeated 50 times, and the results are shown in Table 6. Over 50 runs, the final simulation results are chosen based on the best fitness value, which is closest to the average value in Table 6. Figure 6 shows the convergent curve of the PSO algorithm. The calculation time in all cases is less than 120 s. Therefore, the PSO algorithm finds the best fitness values with fast convergence rate, which shows the superiority of the algorithm.

Table 6.
The objective function value of PSO.

Figure 6.
Fitness function convergent curve.
The values for the obtained parking probabilities in PSO are shown in Table 7. In addition, according to Table 1 and the transition probability shown in Table 4, the parking probability for RCS can be obtained as pRCS = 0.6866, which is the same value in different cases.

Table 7.
The parking probability obtained in PSO.
4.3.2. Objective Functions Analysis
The simulation results of DNPL and MVD in different cases are shown in Table 8. From Table 8, it is observed that compared with case 1, the DNPL and MVD in case 2 are both greatly increased with uncoordinated PEVs connected to the distribution network. To mitigate these negative impacts, the coordinated charging strategy is adopted in case 3–case 5. In case 3, the DNPL is maximally reduced to 3.358 MW, and in case 4, the MVD is maximally reduced to 0.3136 pu. In case 5, both the DNPL and MVD are taken as the objective functions with a weight ratio of 3:1. Compared with case 2, the DNPL is reduced to 3.372 MW and the MVD is reduced by 10.5%, which achieves satisfactory result of both DNPL and MVD.

Table 8.
Objective function values in different cases.
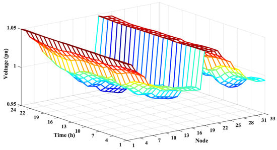
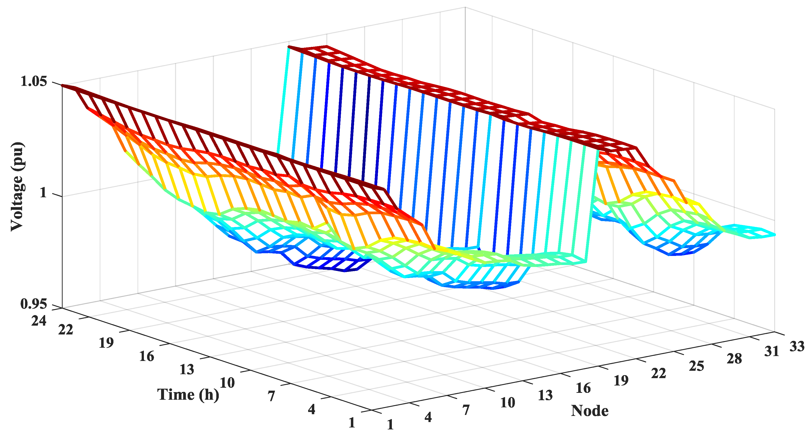
Figure 7 and Figure 8 show the daily power loss and maximal voltage deviation, it can be found that during the peak period of load demand, both the power loss and maximal voltage deviation reach the maximum value, which increases the operation risk. From Figure 9, it can be observed that the power loss of every branch in the distribution network is very small after optimization, which avoids obvious economic loss. Figure 10 shows the node voltage of the distribution network in case 5. In Figure 10, the voltage of each node at each moment is between 0.95 pu and 1.05 pu, which validates the effectiveness of the coordinated charging strategy in voltage profile improvement.

Figure 7.
Daily power loss of the distribution network.

Figure 8.
Maximal voltage deviation of the distribution network.

Figure 9.
Power loss of the distribution network.

Figure 10.
Node voltage of the distribution network.
4.3.3. Charging Load Analysis
The optimal charging load of PEVs in different locations has large differences, as shown in Figure 11. The charging load in RCS is the highest and the peak load occurs from 18:00 to 21:00. This is because most residents are used to charging at home after the last trip. The charging behavior in WCS mostly occurs in 8:00–14:00 and the charging load is smaller than only RCS. The charging load in PCS and OCS is relatively small, which is because once PEVs are fully charged in RCS or WCS, it is enough for the users to finish daily trips. Through the optimal charging, the number of PEVs are properly assigned to different charging stations, which avoids the large-scale concentrated charging at rush hour.

Figure 11.
The optimal charging load of PEVs.
4.3.4. Peak Valley Load Analysis
The daily load curve of the distribution network in different cases is shown in Figure 12 and the peak valley load values are shown in Table 9. In case 1, the peak-valley difference is 1.101 MW. With the large number of PEVs randomly connected to the distribution network, the fluctuation of the daily load curve is deeply aggravated, and the peak-valley difference in case 2 increases to 1.402 MW. Compared with case 2, the load peak valley difference in case 5 is reduced by 12.5% with the coordinated charging of PEVs. From Figure 12, it can be observed that after the optimal charging, the increased charging load at rush hour can be reduced and transferred to other moments, which shows the effectiveness of the coordinated charging strategy in reducing the peak valley difference.

Figure 12.
Daily load curve of the distribution network.

Table 9.
Peak and valley load values in different cases.
5. Conclusions
This paper proposes a spatial and temporal optimization strategy for PEV charging to mitigate impacts on the distribution network, in which the moving characteristics and charging habits of PEV owners are taken into account. Based on trip chain, the spatial and temporal distribution of PEVs is analyzed and then a stochastic optimization model for PEV charging is established to minimize the distribution network power loss (DNPL) and maximal voltage deviation (MVD). The particle swarm optimization (PSO) algorithm with an embedded power flow program is adopted to solve the optimization problem by shifting the charging load of PEVs in different locations. According to the simulation results, the proposed strategy is feasible and effective. It can reduce power loss and improve voltage profile greatly as well as reduce the peak valley difference. Our future work will consider the demand response measures to meet the charging demand of PEVs.
Author Contributions
L.G. conceived the idea of the topic, formulated the stochastic optimization model, and conducted all programming and the results analysis. W.C. conducted the original data analysis. K.L. was in charge of the main design of the paper and organized the paper with X.L. J.Z. provided insights and additional ideas on presentation. All authors revised and approved the manuscript.
Acknowledgments
This work was supported in part by grants from Key Research and Development Program of Jiangsu Province [grant number BE2015157].
Conflicts of Interest
The authors declare no conflict of interest.
References
- Chandrasekhar, A.; Alluri, N.R.; Sudhakaran, M.S.P.; Mok, Y.S.; Kim, S.J. A smart mobile pouch as a biomechanical energy harvester towards self-powered smart wireless power transfer applications. Nanoscale 2017, 9, 9818–9824. [Google Scholar] [CrossRef] [PubMed]
- Aravinthan, V.; Jewell, W. Controlled Electric Vehicle Charging for Mitigating Impacts on Distribution Assets. IEEE Trans. Smart Grid 2015, 6, 999–1009. [Google Scholar] [CrossRef]
- Luo, Z.W.; Hu, Z.C.; Song, Y.H.; Xu, Z.W.; Lu, H.Y. Optimal coordination of plug-in electric vehicles in power grids with cost-benefit analysis—Part I: Enabling techniques. IEEE Trans. Power Syst. 2013, 28, 3546–3555. [Google Scholar] [CrossRef]
- Clement-Nyns, K.; Haesen, E.; Driesen, J. The impact of charging plug-in hybrid electric vehicles on a residential distribution grid. IEEE Trans. Power Syst. 2010, 25, 371–380. [Google Scholar] [CrossRef]
- Azhar, U.; Marium, A.; Yousef, M.; Aqib, P.; Essam, A.A. Probabilistic Modeling of Electric Vehicle Charging Pattern Associated with Residential Load for Voltage Unbalance Assessment. Energies 2017, 10, 1351. [Google Scholar]
- Jiang, C.; Torquato, R.; Salles, D.; Xu, W. Method to assess the power-quality impact of plug-in electric vehicles. IEEE Trans. Power Deliv. 2014, 29, 958–965. [Google Scholar] [CrossRef]
- Leou, R.C.; Su, C.L.; Lu, C.N. Stochastic analyses of electric vehicle charging impacts on distribution network. IEEE Trans. Power Syst. 2014, 29, 1055–1063. [Google Scholar] [CrossRef]
- Richardson, P.; Flynn, D.; Keane, A. Optimal charging of electric vehicles in low voltage distribution systems. IEEE Trans. Power Syst. 2012, 27, 268–279. [Google Scholar] [CrossRef]
- Gan, L.; Topcu, U.; Low, S.H. Optimal decentralized protocol for electric vehicle charging. IEEE Trans. Power Syst. 2013, 28, 940–951. [Google Scholar] [CrossRef]
- Xi, X.; Sioshansi, R. Using Price-Based Signals to Control Plug-in Electric Vehicle Fleet Charging. IEEE Trans. Smart Grid 2014, 5, 1451–1464. [Google Scholar] [CrossRef]
- Zakariazadeh, A.; Jadid, S.; Siano, P. Multi-objective scheduling of electric vehicles in smart distribution system. Energy Convers. Manag. 2014, 79, 43–53. [Google Scholar] [CrossRef]
- Hoog, J.D.; Alpcan, T.; Brazil, M.; Thomas, D.A.; Mareels, I. Optimal charging of electric vehicles taking distribution network constraints into account. IEEE Trans. Power Syst. 2015, 30, 365–375. [Google Scholar] [CrossRef]
- Hu, Z.C.; Qiao, Z.K.; Zhang, H.C.; Song, Y.H. Pricing mechanisms design for guiding electric vehicle charging to fill load valley. Appl. Energy 2016, 178, 155–163. [Google Scholar] [CrossRef]
- Jian, L.N.; Zheng, Y.C.; Shao, Z.Y. High efficient valley-filling strategy for centralized coordinated charging of large-scale electric vehicles. Appl. Energy 2017, 186, 46–55. [Google Scholar] [CrossRef]
- Crow, M.; Maigha, M. Cost-Constrained Dynamic Optimal Electric Vehicle Charging. IEEE Trans. Sustain. Energy 2017, 8, 716–724. [Google Scholar]
- Chen, L.; Nie, Y.; Zhong, Q. A Model for Electric Vehicle Charging Load Forecasting Based on Trip Chains. Trans. China Electrotech. Soc. 2015, 30, 216–225. [Google Scholar]
- U.S. Department of Transportation, Federal Highway Administration. National Household Travel Survey. 2009. Available online: https://nhts.ornl.gov (accessed on 25 April 2018).
- Gao, F.; Guo, Y.Y.; Chen, J.C. Study on the Travel Attributes of Private Cars on the Basis of Home-Based Trip Chains. J. Transp. Syst. Eng. Inf. Technol. 2011, 11, 132–139. [Google Scholar]
- Ullah, I.; Ahmad, R.; Kim, D. A Prediction Mechanism of Energy Consumption in Residential Buildings Using Hidden Markov Model. Energies 2018, 11, 358. [Google Scholar] [CrossRef]
- Zhang, B.L.; Sun, Y.T.; Li, B.Q.; Li, J.X. A Modeling Method for the Power Demand of Electric Vehicles Based on Monte Carlo Simulation. In Proceedings of the Asia-Pacific Power & Energy Engineering Conference, Shanghai, China, 27–29 March 2012; pp. 1–5. [Google Scholar]
- Tian, L.T.; Shi, S.L.; Jia, Z. A statistical model for charging power demand of electric vehicles. Power Syst. Technol. 2010, 34, 126–130. [Google Scholar]
- Masoum, A.S.; Deilami, S.; Moses, P.S.; Masoum, M.A.S.; Abu-Siada, A. Smart load management of plug-in electric vehicles in distribution and residential networks with charging stations for peak shaving and loss minimization considering voltage regulation. IET Gener. Transm. Distrib. 2011, 5, 877–888. [Google Scholar] [CrossRef]
- Knezović, K.; Marinelli, M. Phase-wise enhanced voltage support from electric vehicles in a Danish low-voltage distribution grid. Electr. Power Syst. Res. 2016, 140, 274–283. [Google Scholar] [CrossRef]
- Ghosh, D.; Chakraborty, D. A new Pareto set generating method for multi-criteria optimization problems. Oper. Res. Lett. 2014, 42, 514–521. [Google Scholar] [CrossRef]
- Cococcioni, M.; Pappalardo, M.; Sergeyev, Y.D. Lexicographic multi-objective linear programming using grossone methodology: Theory and algorithm. Appl. Math. Comput. 2018, 318, 298–311. [Google Scholar] [CrossRef]
- Yu, X.; Tan, Y.; Liu, L.; Huang, W. The Optimal Portfolio Model Based on Mean-CvaR with Linear Weighted Sum Method. J. Math. Financ. 2011, 1, 132–134. [Google Scholar] [CrossRef]
- Wu, H.B.; Zhuang, H.D.; Zhang, W.; Ding, M. Optimal allocation of microgrid considering economic dispatch based on hybrid weighted bilevel planning method and algorithm improvement. Int. J. Electr. Power Energy Syst. 2016, 75, 28–37. [Google Scholar] [CrossRef]
- Zhao, X.; Zhao, C.Y.; Jia, X.F.; Li, G.Y. Fuzzy synthetic evaluation of power quality based on changeable weight. Power Syst. Technol. 2005, 29, 11–16. [Google Scholar]
- Liu, Y.X.; Liu, S.; Wang, W.Y. Computation of Weight in AHP and Its Application. J. Shenyang Univ. 2014, 26, 372–375. [Google Scholar]
- Dorigo, M.; Blum, C. Ant colony optimization theory: A survey. Theor. Comput. Sci. 2005, 344, 243–278. [Google Scholar] [CrossRef]
- Holland, J.H. Building Blocks, Cohort Genetic Algorithms, and Hyperplane-Defined Functions. Evol. Comput. 2000, 8, 373–391. [Google Scholar] [CrossRef] [PubMed]
- Kenndy, J.; Eberhart, R.C. Particle swarm optimization. In Proceedings of the IEEE International Conference on Neutral Networks, Perth, Australia, 27 November–1 December 1995; Volume 4, pp. 1942–1948. [Google Scholar]
- Liu, P. Research on Load Modeling of Electric Vehicles and Its Applications; School of Electrical Engineering and Automation, Harbin Institute of Technology: Harbin, China, 2012. [Google Scholar]
- Luo, Z.W.; Hu, Z.C.; Song, Y.H.; Xu, Z.W.; Lu, H.Y. Optimal coordination of plug-in electric vehicles in power grids with cost-benefit analysis—Part II: A Case Study in China. IEEE Trans. Power Syst. 2013, 28, 3556–3565. [Google Scholar] [CrossRef]
- Li, J.; Yang, L.; Liu, J.L.; Yang, D.L.; Zhang, C. Multi-objective reactive power optimization based on adaptive chaos particle swarm optimization algorithm. Power Syst. Prot. Control 2011, 39, 26–31. [Google Scholar]
- Li, L.H. Research on Power System Reactive Power Optimization Based on Improved Particle Swarm Optimization; Taiyuan University of Technology: Taiyuan, China, 2012. [Google Scholar]
© 2018 by the authors. Licensee MDPI, Basel, Switzerland. This article is an open access article distributed under the terms and conditions of the Creative Commons Attribution (CC BY) license (http://creativecommons.org/licenses/by/4.0/).