Suggestion of a Scale Factor to Design Spiral-Coil-Type Horizontal Ground Heat Exchangers
Abstract
1. Introduction
2. Description of Numerical Modeling
- The ground was assumed to be a solid medium, not a porous medium.
- The ground heat exchanger (GHE) was installed at a 2.0 m depth from the ground surface.
- The material of the GHE was a high-density polyethylene (HDPE) pipe with a thermal conductivity of 0.38 and a 2 mm thickness.
3. Parametric Study
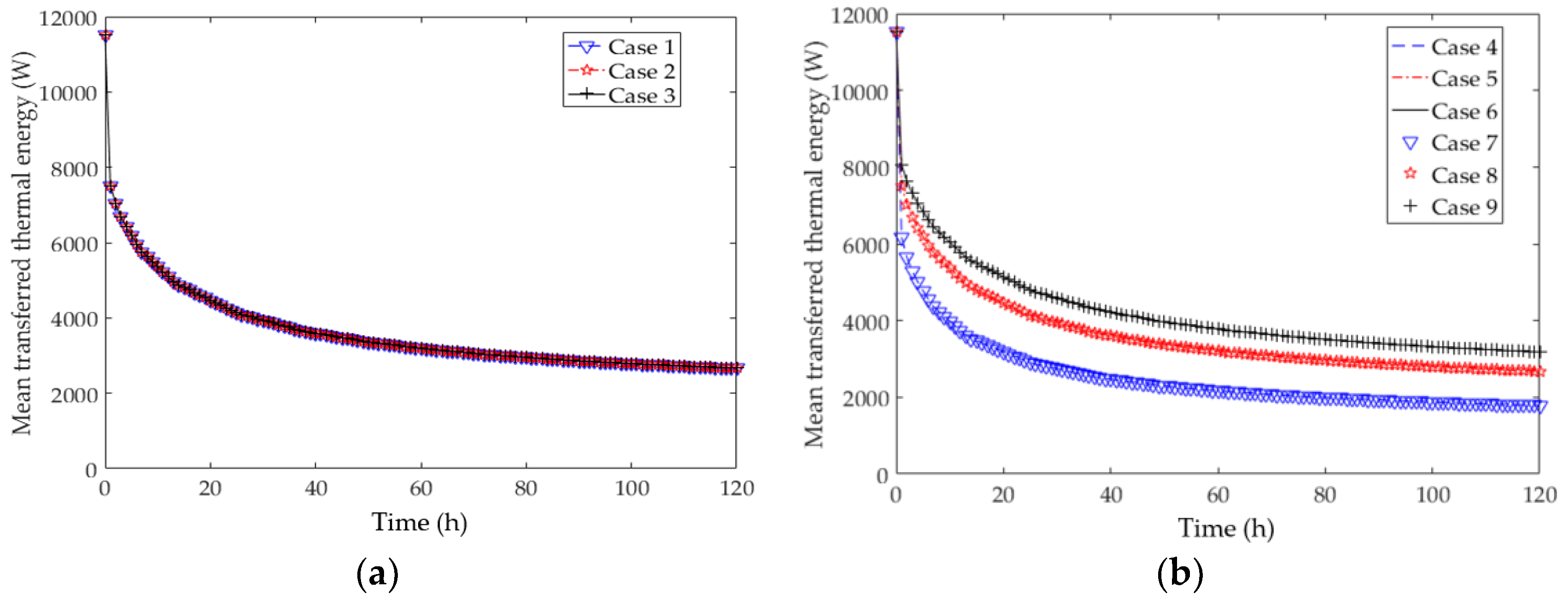
3.1. Effect of Weather Conditions
3.2. Effect of Thermal Properties of the Ground
- Case A. The increase/decrease in the thermal conductivity when the volumetric heat capacity is identical ( = 1.5, 2.4, 3.0 , = 1800 ).
- Case B. The increase/decrease in the product of the volumetric heat capacity and the thermal conductivity when the thermal diffusivity is identical ( = 1687.5, 4320, 6750 , = 1.333 ).
- Case C. The increase/decrease in the volumetric heat capacity when the thermal conductivity is identical ( = 1125, 1800, 2250 , = 1.5 ).
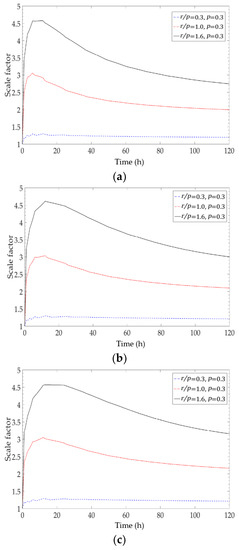
3.3. Effect of Spiral Coil Configuration
4. Development of the Scale Factor Model
4.1. Artificial Neural Networks (ANN) Model
4.2. Linear Regression Model
4.3. Validation of Proposed Models
5. Conclusions
- The effect of weather conditions on the scale factor is negligible because the maximum value of the average relative error was 0.507%.
- The variation in the specific heat (from 560 to 1125 ) and density (from 1250 to 2500 ) has no influence on the performance of the horizontal ground heat exchanger if the volumetric heat capacity is identical.
- Depending on the specific ratio of the radius of the coil to the pitch size (approximately 1.0), the effect of the ground thermal properties (thermal conductivity and volumetric heat capacity) on the scale factor is different. As the thermal conductivity and the value of the product of the volumetric heat capacity and the thermal conductivity increase, the value of scale factor decreases when the ratio of the radius to pitch size is less than unity. The opposite trend is observed if the ratio is above unity. In addition, the correlation between the volumetric heat capacity and performance of the spiral-coil-type horizontal GHEs varies with time.
- Different configurations (radius (from 0.1 to 0.5 m) and pitch size (from 0.1 to 0.5 m)) of the spiral-coil-type ground heat exchanger caused different heat transfer performances because of the different ground temperatures that developed surrounding the ground heat exchanger.
- The main influence factors on the scale factor were determined to be the radius of the coil, pitch size, thermal conductivity of the ground, volumetric heat capacity, and time.
- The results of the ANN and linear regression models are in good agreement with the numerical solutions. Due to the nonlinear relationship among the five factors, the ANN would be a more appropriate model than the linear regression model.
Author Contributions
Funding
Conflicts of Interest
References
- United Nations. The Future We Want; Outcome Document of the United Nations Conference on Sustainable Development; United Nations: New York, NY, USA, 2012. [Google Scholar]
- Ali, M.H.; Kariya, K.; Miyara, A. Performance analysis of slinky horizontal ground heat exchangers for a ground source heat pump system. Resources 2017, 6, 56. [Google Scholar] [CrossRef]
- International Energy Agency. Renewable Energy Medium-Term Market Report 2015, 4th ed.; IEA: Paris, France, 2015. [Google Scholar]
- Stylianou, I.I.; Florides, G.; Tassou, S.; Tsiolakis, E.; Christodoulides, P. Methodology for estimating the ground heat absorption rate of ground heat exchangers. Energy 2017, 127, 258–270. [Google Scholar] [CrossRef]
- Kwon, K.S.; Lee, J.Y.; Mok, J.K. Update of current status on ground source heat pumps in Korea (2008–2001). J. Geo. Soc. Korea 2012, 48, 193–199. [Google Scholar]
- Adamovsky, D.; Neuberger, P.; Adamovsky, R. Changes in energy and temperature in the ground mass with horizontal heat exchangers—The energy source for heat pumps. Energy Build. 2015, 92, 107–115. [Google Scholar] [CrossRef]
- Florides, G.; Kalogirou, S. Ground heat exchangers—A review of systems, models and applications. Renew. Energy 2007, 32, 2461–2478. [Google Scholar] [CrossRef]
- Ameen, Y.A.; Ianakiev, A.; Evans, R. Recycling construction and industrial landfill waste material for backfill in horizontal ground heat exchanger systems. Energy 2018, 151, 556–568. [Google Scholar] [CrossRef]
- Simms, R.B.; Haslam, S.R.; Craig, J.R. Impact of soil heterogeneity on the functioning of horizontal ground heat exchangers. Geothermics 2014, 50, 35–43. [Google Scholar] [CrossRef]
- Demir, H.; Koyun, A.; Temir, G. Heat transfer of horizontal parallel pipe ground heat exchanger and experimental verification. Appl. Therm. Eng. 2009, 29, 224–233. [Google Scholar] [CrossRef]
- Neupauer, K.; Pater, S.; Kupiec, K. Study of ground heat exchangers in the form of parallel horizontal pipes embedded in the ground. Energies 2018, 11, 491. [Google Scholar] [CrossRef]
- Sangi, R.; Muller, D. Dynamic modelling and simulation of a slinky-coil horizontal ground heat exchanger using Modelica. J. Build. Eng. 2018, 16, 159–168. [Google Scholar] [CrossRef]
- Wu, Y.; Gan, G.; Verhoef, A.; Vidale, P.L.; Gonzalez, R.G. Experimental measurement and numerical simulation of horizontal-coupled slinky ground source heat exchangers. Appl. Therm. Eng. 2010, 30, 2574–2583. [Google Scholar] [CrossRef]
- Fujii, H.; Nishi, K.; Komaniwa, Y.; Chou, N. Numerical modeling of slinky-coil horizontal ground heat exchangers. Geothermics 2012, 41, 55–62. [Google Scholar] [CrossRef]
- Fujii, H.; Yamasaki, S.; Maehara, T.; Ishikami, T.; Chou, N. Numerical simulation and sensitivity study of double-layer slinky-coil horizontal ground heat exchangers. Geothermics 2013, 47, 61–68. [Google Scholar] [CrossRef]
- Chong, C.S.A.; Gan, G.; Verhoer, A.; Garcia, R.G.; Vidale, P.L. Simulation of thermal performance of horizontal slinky-loop heat exchangers for ground source heat pump. Appl. Energy 2013, 104, 603–610. [Google Scholar] [CrossRef]
- Dasare, R.R.; Saha, S.K. Numerical study of horizontal ground heat exchanger for high energy demand applications. Appl. Therm. Eng. 2015, 85, 252–263. [Google Scholar] [CrossRef]
- Congedo, P.M.; Colangelo, G.; Starace, G. CFD simulations of horizontal ground heat exchangers: A comparison among different configurations. Appl. Therm. Eng. 2012, 33–34, 24–32. [Google Scholar] [CrossRef]
- Kim, M.J.; Lee, S.R.; Yoon, S.; Go, G.H. Thermal performance evaluation and parametric study of a horizontal ground heat exchanger. Geothermics 2016, 60, 134–143. [Google Scholar] [CrossRef]
- Kim, M.J.; Lee, S.R.; Yoon, S.; Jeon, J.S. An applicable design method for horizontal spiral-coil-type ground heat exchangers. Geothermics 2018, 72, 338–347. [Google Scholar] [CrossRef]
- Jeon, J.S.; Lee, S.R.; Kim, M.J. A modified mathematical model for spiral coil-type horizontal ground heat exchangers. Energy 2018, 152, 732–743. [Google Scholar] [CrossRef]
- Gaia Geothermal Group. Ground Loop Design Software. 2014. Available online: https://www.gaiageo.com (accessed on 9 July 2018).
- School of Mechanical and Aerospace Engineering, Oklahoma State University. GLHEPro 5.0 for Windows Users’ Guide; International Ground Source Heat Pump Association: Stillwater, OK, USA, 2016. [Google Scholar]
- Kavanaugh, S.P.; Rafferty, K. Ground-Source Heat Pumps and Design of Geothermal Systems for Commercial and Institutional Buildings; ASHRAE: Atlanta, GA, USA, 1997. [Google Scholar]
- Jeon, J.S.; Lee, S.R. Suggestion of a load sharing ratio for the design of spiral coil-type horizontal ground heat exchangers. Energy Procedia 2017, 141, 292–298. [Google Scholar] [CrossRef]
- Naylor, S.; Ellett, K.M.; Gustin, A.R. Spatiotemporal variability of ground thermal properties in glacial sediments and implications for horizontal ground heat exchanger design. Renew. Energy 2015, 81, 21–30. [Google Scholar] [CrossRef]
- Selamat, S.; Miyara, A.; Kariya, K. Numerical study of horizontal ground heat exchangers for design optimization. Renew. Energy 2016, 95, 561–573. [Google Scholar] [CrossRef]
- Leong, W.H.; Tarnawski, V.R.; Aittomaki, A. Effect of soil type and moisture content on ground heat pump performance. Int. J. Refrig. 1998, 21, 595–606. [Google Scholar] [CrossRef]
- Naili, N.; Hazami, M.; Attar, I.; Farhat, A. In-field performance analysis of ground source cooling system with horizontal ground heat exchanger in Tunisia. Energy 2013, 61, 319–331. [Google Scholar] [CrossRef]
- Kusuda, T.; Achenbachm, R.S. Earth temperatures and thermal diffusivity at selected stations in the United States. ASHRAE Trans. 1965, 71, 61–74. [Google Scholar]
- Xing, L. Estimations of Undisturbed Ground Temperatures Using Numerical and Analytical Modeling. Ph.D. Thesis, Oklahoma State University, Stillwater, OK, USA, December 2014. [Google Scholar]
- Zarrella, A.; Emmi, G.; Carli, M.D. Analysis of operating modes of a ground source heat pump with short helical heat exchangers. Energy Convers. Manag. 2015, 97, 351–361. [Google Scholar] [CrossRef]
- Zhao, Q.; Chen, B.; Liu, F. Study on the thermal performance of several types of energy pile ground heat exchangers: U-shaped, W-shaped and spiral-shaped. Energy Build. 2016, 113, 335–344. [Google Scholar] [CrossRef]
- Luo, J.; Zhao, H.; Gui, S.; Xiang, W.; Rohn, J.; Blum, P. Thermo-economic analysis of four different types of ground heat exchangers in energy piles. Appl. Therm. Eng. 2016, 108, 11–19. [Google Scholar] [CrossRef]
- Dehghan, B.B. Experimental and computational investigation of the spiral ground heat exchangers for ground source heat pump applications. Appl. Therm. Eng. 2017, 121, 908–921. [Google Scholar] [CrossRef]
- Hepburn, B.D.P.; Sedighi, M.; Thomas, H.R.; Manju. Field-scale monitoring of a horizontal ground source heat system. Geothermics 2016, 61, 86–103. [Google Scholar] [CrossRef]
- Gonzalez, R.G.; Verhoef, A.; Vidale, P.L.; Main, B.; Gan, G.; Wu, Y. Interactions between the physical soil environment and a horizontal ground coupled heat pump for a domestic site in the UK. Renew. Energy 2012, 44, 141–153. [Google Scholar] [CrossRef]
- Busby, J. Determination of thermal properties for horizontal ground collector loops. In Proceedings of the World Geothermal Congress, Melbourne, Australia, 19–25 April 2015. [Google Scholar]
- Sipio, E.D.; Bertermann, D. Factors Influencing the thermal efficiency of horizontal ground heat exchangers. Energies 2017, 10, 1897. [Google Scholar] [CrossRef]
- Kim, Y.S.; Do, T.M.; Kim, M.J.; Kim, B.J.; Kim, H.K. Utilization of by-product in controlled low-strength material for geothermal systems: Engineering performances, environmental impact, and cost analysis. J. Clean. Prod. 2018, 172, 909–920. [Google Scholar] [CrossRef]
- Hagan, M.T.; Demuth, H.B.; Beale, M. Neural Network Design; PWS Publishing Company (a Division of International Thomson Publishing Inc.): Boston, MA, USA, 1996. [Google Scholar]
- Beale, M.H.; Hagan, M.T.; Demuth, H.B. Neural Network ToolboxTM User’s Guide (2016a); The MathWorks, Inc.: Natick, MA, USA, 2016. [Google Scholar]













| Factors | Unit | Values | |
|---|---|---|---|
| Weather conditions | Annual average soil temperature, | °C | 16, 18, 20 |
| Annual amplitude of the surface temperature, | °C | 5, 10, 15 | |
| Configuration of GHE | Pitch size of coil, | m | 0.1, 0.3, 0.5 |
| Radius of coil, | m | 0.1, 0.3, 0.5 | |
| Thermal properties of the ground (including backfill material) | Thermal conductivity, | 0.7, 1.5, 2.4, 3.0 | |
| Specific heat capacity, | 560, 780, 900, 1060, 1125 | ||
| Density, | 1250, 1700, 2000, 2300, 2500 | ||
| Time | Operation time, | h | Up to 120 |
| Case | (°C) | (°C) |
|---|---|---|
| 1 | 16 | 5 |
| 2 | 18 | 5 |
| 3 | 20 | 5 |
| 4 | 16 | 10 |
| 5 | 18 | 10 |
| 6 | 20 | 10 |
| 7 | 16 | 15 |
| 8 | 18 | 15 |
| 9 | 20 | 15 |
| RE (%) | Case 1 | Case 2 | Case 3 | Case 4 | Case 5 | Case 6 | Case 7 | Case 8 | Case 9 |
|---|---|---|---|---|---|---|---|---|---|
| Maximum | 0.865 | 0.865 | 1.327 | - | 1.646 | 1.055 | 1.561 | 0.911 | 1.816 |
| Minimum | 0.005 | 0.005 | 0.0001 | - | 0.001 | 0.002 | 0.001 | 0.031 | 0.016 |
| Average | 0.181 | 0.181 | 0.222 | - | 0.251 | 0.130 | 0.233 | 0.214 | 0.507 |
| Case | ||||
|---|---|---|---|---|
| 1 | 1060 | 1700 | 2.4 | 1800 |
| 2 | 900 | 2000 | 2.4 | 1800 |
| 3 | 780 | 2300 | 2.4 | 1800 |
| 4 | 560 | 2000 | 1.5 | 1125 |
| 5 | 900 | 2000 | 2.4 | 1800 |
| 6 | 1125 | 2000 | 3.0 | 2250 |
| 7 | 900 | 1250 | 1.5 | 1125 |
| 8 | 900 | 2000 | 2.4 | 1800 |
| 9 | 900 | 2500 | 3.0 | 2250 |
| Case | (−) | |
|---|---|---|
| 1 | 1.0 | 0.1 |
| 2 | 3.0 | 0.1 |
| 3 | 5.0 | 0.1 |
| 4 | 0.3 | 0.3 |
| 5 | 1.0 | 0.3 |
| 6 | 1.6 | 0.3 |
| 7 | 0.2 | 0.5 |
| 8 | 0.6 | 0.5 |
| 9 | 1.0 | 0.5 |
| Predictors | Estimated Coefficients | p-Value |
|---|---|---|
| Intercept | 0.56062 | 6.8885 |
| 0.2345 | 0 | |
| 7.2827 | 1.599 | |
| −0.69099 | 4.0214 | |
| 7.8501 | 0 | |
| −0.0010938 | 5.0834 | |
| −1.9364 | 9.4257 | |
| −0.062123 | 2.4986 | |
| −3.5181 | 5.7443 | |
| −0.72633 | 0 | |
| 9.2097 | 0 | |
| −2.5257 | 0 | |
| 0.0092101 | 0 | |
| −0.02712 | 0 |
| Case | ||||
|---|---|---|---|---|
| 1 | 1.8 | 1350 | 0.2 | 0.3 |
| 2 | 1.2 | 2160 | 0.3 | 0.3 |
| 3 | 2.6 | 1920 | 0.3 | 0.3 |
| 4 | 2.9 | 1170 | 0.1 | 0.2 |
© 2018 by the authors. Licensee MDPI, Basel, Switzerland. This article is an open access article distributed under the terms and conditions of the Creative Commons Attribution (CC BY) license (http://creativecommons.org/licenses/by/4.0/).
Share and Cite
Jeon, J.-S.; Lee, S.-R.; Kim, M.-J.; Yoon, S. Suggestion of a Scale Factor to Design Spiral-Coil-Type Horizontal Ground Heat Exchangers. Energies 2018, 11, 2736. https://doi.org/10.3390/en11102736
Jeon J-S, Lee S-R, Kim M-J, Yoon S. Suggestion of a Scale Factor to Design Spiral-Coil-Type Horizontal Ground Heat Exchangers. Energies. 2018; 11(10):2736. https://doi.org/10.3390/en11102736
Chicago/Turabian StyleJeon, Jun-Seo, Seung-Rae Lee, Min-Jun Kim, and Seok Yoon. 2018. "Suggestion of a Scale Factor to Design Spiral-Coil-Type Horizontal Ground Heat Exchangers" Energies 11, no. 10: 2736. https://doi.org/10.3390/en11102736
APA StyleJeon, J.-S., Lee, S.-R., Kim, M.-J., & Yoon, S. (2018). Suggestion of a Scale Factor to Design Spiral-Coil-Type Horizontal Ground Heat Exchangers. Energies, 11(10), 2736. https://doi.org/10.3390/en11102736
