A New Miniature Wind Turbine for Wind Tunnel Experiments. Part I: Design and Performance
Abstract
:1. Introduction
2. Wind Turbine Design
2.1. Rotor Size
2.2. Airfoil Geometry
2.3. Design Tip-Speed Ratio
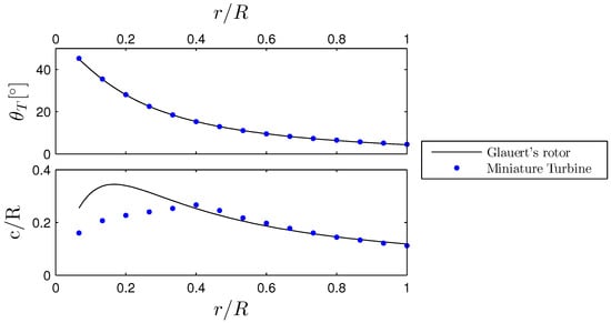
2.4. Optimum Chord and Twist Distributions
3. Wind Turbine Performance
3.1. Thrust Force
3.2. Power Extraction
3.2.1. Wind Turbine: Energy Conversion
3.2.2. Direct Measurement of Shaft Torque
3.2.3. Power Coefficient of the Miniature Turbine
4. Summary
Supplementary Materials
Acknowledgments
Author Contributions
Conflicts of Interest
Appendix A
- Uncertainty of Q: Based on the data provided by the manufacturer, the uncertainty of the measured torque Q is estimated to be mNm.
- Uncertainty of : The rotational velocity is measured with a rotary digital encoder with 128 counts per turn so its uncertainty can be assumed to be negligible with respect to those for other variables.
- Uncertainty of : The air density is estimated based on the ideal gas law; i.e., , where is the atmospheric pressure, is the specific gas constant of air and is the air temperature measured with a thermometer. The value of can be therefore obtained fromwhere and are the uncertainties of and , respectively. The former is estimated to be of based on the meteorological data in relation to the static pressure distribution over Switzerland, and the latter is 0.5 based on the manufacturer data.
- Uncertainty of : The uncertainty of is due to the systematic error associated with the Pitot tube and the error of the pressure transducer . Based on the data provided by the manufacturers, the former is of the measured value and the latter is approximately Pa. The overall value of is then equal to .
- Uncertainty of A: It is equal to , where is the uncertainty of R (equal to 16 m for the employed 3D-printer system).

References
- Vermeer, L.; Sørensen, J.; Crespo, A. Wind turbine wake aerodynamics. Prog. Aerosp. Sci. 2003, 39, 467–510. [Google Scholar] [CrossRef]
- Medici, D.; Alfredsson, P. Measurement on a wind turbine wake: 3D effects and bluff body vortex shedding. Wind Energy 2006, 9, 219–236. [Google Scholar] [CrossRef]
- Cal, R.B.; Lebrón, J.; Castillo, L.; Kang, H.S.; Meneveau, C. Experimental study of the horizontally averaged flow structure in a model wind-turbine array boundary layer. J. Renew. Sustain. Energy 2010, 2, 013106. [Google Scholar] [CrossRef]
- Chamorro, L.P.; Porté-Agel, F. A wind-tunnel investigation of wind-turbine wakes: Boundary-layer turbulence effects. Bound.-Layer Meteorol. 2009, 132, 129–149. [Google Scholar] [CrossRef]
- Chamorro, L.P.; Porté-Agel, F. Effects of thermal stability and incoming boundary-layer flow characteristics on wind-turbine wakes: A wind-tunnel study. Bound.-Layer Meterol. 2010, 136, 515–533. [Google Scholar] [CrossRef]
- Chamorro, L.P.; Porté-Agel, F. Turbulent flow inside and above a wind farm: A wind-tunnel study. Energies 2011, 4, 1916–1936. [Google Scholar] [CrossRef]
- España, G.; Aubrun, S.; Loyer, S.; Devinant, P. Spatial study of the wake meandering using modelled wind turbines in a wind tunnel. Wind Energy 2011, 14, 923–937. [Google Scholar] [CrossRef]
- España, G.; Aubrun, S.; Loyer, S.; Devinant, P. Wind tunnel study of the wake meandering downstream of a modelled wind turbine as an effect of large scale turbulent eddies. J. Wind Eng. Ind. Aerodyn. 2012, 101, 24–33. [Google Scholar] [CrossRef]
- Markfort, C.; Zhang, W.; Porté-Agel, F. Turbulent flow and scalar transport through and over aligned and staggered wind farms. J. Turbul. 2012, 13, N33. [Google Scholar] [CrossRef]
- Yang, Z.; Sarkar, P.; Hu, H. Visualization of the tip vortices in a wind turbine wake. J. Vis. 2012, 15, 39–44. [Google Scholar] [CrossRef]
- Zhang, W.; Markfort, C.D.; Porté-Agel, F. Near-wake flow structure downwind of a wind turbine in a turbulent boundary layer. Exp. Fluids 2012, 52, 1219–1235. [Google Scholar] [CrossRef]
- Zhang, W.; Markfort, C.D.; Porté-Agel, F. Wind-turbine wakes in a convective boundary layer: A wind-tunnel study. Bound.-Layer Meteorol. 2013, 146, 161–179. [Google Scholar] [CrossRef]
- Iungo, G.V.; Viola, F.; Camarri, S.; Porté-Agel, F.; Gallaire, F. Linear stability analysis of wind turbine wakes performed on wind tunnel measurements. J. Fluid Mech. 2013, 737, 499–526. [Google Scholar] [CrossRef]
- Viola, F.; Iungo, G.V.; Camarri, S.; Porté-Agel, F.; Gallaire, F. Prediction of the hub vortex instability in a wind turbine wake: Stability analysis with eddy-viscosity models calibrated on wind tunnel data. J. Fluid Mech. 2014, 750, R1. [Google Scholar] [CrossRef]
- Hancock, P.; Pascheke, F. Wind-tunnel simulation of the wake of a large wind turbine in a stable boundary layer: Part 2, the wake flow. Bound.-Layer Meteorol. 2014, 151, 23–37. [Google Scholar] [CrossRef]
- Hancock, P.; Zhang, S. A wind-tunnel simulation of the wake of a large wind turbine in a weakly unstable boundary layer. Bound.-Layer Meteorol. 2015, 156, 395–413. [Google Scholar] [CrossRef]
- Tobin, N.; Hamed, A.M.; Chamorro, L.P. An experimental study on the effects of winglets on the wake and performance of a model wind turbine. Energies 2015, 8, 11955–11972. [Google Scholar] [CrossRef]
- Bastankhah, M.; Porté-Agel, F. A wind-tunnel investigation of wind-turbine wakes in yawed conditions. J. Phys. Conf. Ser. 2015, 625, 012014. [Google Scholar] [CrossRef]
- Bastankhah, M.; Porté-Agel, F. Experimental and theoretical study of wind turbine wakes in yawed conditions. J. Fluid Mech. 2016, 806, 506–541. [Google Scholar] [CrossRef]
- Howland, M.F.; Bossuyt, J.; Martinez-Tossas, L.A.; Meyers, J.; Meneveau, C. Wake structure in actuator disk models of wind turbines in yaw under uniform inflow conditions. J. Renew. Sustain. Energy 2016, 8, 043301. [Google Scholar] [CrossRef]
- Bastankhah, M.; Porté-Agel, F. Wind tunnel study of the wind turbine interaction with a boundary-layer flow: Upwind region, turbine performance, and wake region. Phys. Fluids 2017, 29, 065105. [Google Scholar] [CrossRef]
- Bastankhah, M.; Porté-Agel, F. A new analytical model for wind-turbine wakes. Renew. Energy 2014, 70, 116–123. [Google Scholar] [CrossRef]
- Odemark, Y.; Fransson, J.H. The stability and development of tip and root vortices behind a model wind turbine. Exp. Fluids 2013, 54, 1–16. [Google Scholar] [CrossRef]
- Sørensen, J.N.; Okulov, V.; Mikkelsen, R.F.; Naumov, I.; Litvinov, I. Comparison of classical methods for blade design and the influence of tip correction on rotor performance. J. Phys. Conf. Ser. 2016, 753, 022020. [Google Scholar] [CrossRef]
- Krogstad, P.; Adaramola, M.S. Performance and near wake measurements of a model horizontal axis wind turbine. Wind Energy 2012, 15, 743–756. [Google Scholar] [CrossRef]
- Bottasso, C.L.; Campagnolo, F.; Petrović, V. Wind tunnel testing of scaled wind turbine models: Beyond aerodynamics. Wind Eng. Ind. Aerodyn. 2014, 127, 11–28. [Google Scholar] [CrossRef]
- Kang, H.; Meneveau, C. Direct mechanical torque sensor for model wind turbines. Meas. Sci. Technol. 2010, 21, 105206. [Google Scholar] [CrossRef]
- Howard, K.; Hu, J.; Chamorro, L.; Guala, M. Characterizing the response of a wind turbine model under complex inflow conditions. Wind Energy 2015, 18, 729–743. [Google Scholar] [CrossRef]
- Ozbay, A.; Tian, W.; Yang, Z.; Hu, H. Interference of Wind Turbines with Different Yaw Angles of the Upstream Wind Turbine. In Proceedings of the 42nd AIAA Fluid Dynamics Conference and Exhibit, New Orleans, LA, USA, 25–28 June 2012; p. 2719. [Google Scholar]
- Stein, V.P.; Kaltenbach, H.J. Wind-tunnel modelling of the tip-speed ratio influence on the wake evolution. J. Phys. Conf. Ser. 2016, 753, 032061. [Google Scholar] [CrossRef]
- Qing’an, L.; Murata, J.; Endo, M.; Maeda, T.; Kamada, Y. Experimental and numerical investigation of the effect of turbulent inflow on a Horizontal Axis Wind Turbine (Part I: Power performance). Energy 2016, 113, 713–722. [Google Scholar]
- Garratt, J.R. Review: The atmospheric boundary layer. Earth-Sci. Rev. 1994, 37, 89–134. [Google Scholar] [CrossRef]
- Burton, T.; Sharpe, D.; Jenkins, N.; Bossanyi, E. Wind Energy Handbook, 1st ed.; Wiley: Hoboken, NJ, USA, 1995; p. 617. [Google Scholar]
- Sunada, S.; Sakaguchi, A.; Kawachi, K. Airfoil section characteristics at a low Reynolds number. J. Fluids Eng. 1997, 119, 129–135. [Google Scholar] [CrossRef]
- Laitone, E. Wind tunnel tests of wings at Reynolds numbers below 70 000. Exp. Fluids 1997, 23, 405–409. [Google Scholar] [CrossRef]
- Sunada, S.; Yasuda, T.; Yasuda, K.; Kawachi, K. Comparison of wing characteristics at an ultralow Reynolds number. J. Aircr. 2002, 39, 331–338. [Google Scholar] [CrossRef]
- Pelletier, A.; Mueller, T.J. Low reynolds number aerodynamics of low-aspect-ratio, thin/flat/cambered-plate wings. J. Aircr. 2000, 37, 825–832. [Google Scholar] [CrossRef]
- Sherry, M.; Nemes, A.; Jacono, D.L.; Blackburn, H.M.; Sheridan, J. The interaction of helical tip and root vortices in a wind turbine wake. Phys. Fluids (1994-present) 2013, 25, 117102. [Google Scholar] [CrossRef]
- Manwell, J.F.; McGowan, J.G.; Rogers, A.L. Wind Energy Explained: Theory, Design and Application; John Wiley & Sons: Hoboken, NJ, USA, 2010. [Google Scholar]
- Wilson, R.E.; Lissaman, P.B.; Walker, S.N. Aerodynamic Performance of Wind Turbines; Final Report, Technical Report; Oregon State University, Department of Mechanical Engineering: Corvallis, OR, USA, 1976. [Google Scholar]
- Sørensen, J.N. General Momentum Theory for Horizontal Axis Wind Turbines; Springer: Cham, Switzerland, 2015. [Google Scholar]
- Jonkman, J.; Butterfield, S.; Musial, W.; Scott, G. Definition of a 5-MW Reference Wind Turbine for Offshore System Development; Technical Report No. NREL/TP-500-38060; National Renewable Energy Laborary: Golden, CO, USA, 2009.
- Glauert, H. Airplane propellers. In Aerodynamic Theory; Springer: Berlin/Heidelberg, Germany, 1935; pp. 169–360. [Google Scholar]
- Hansen, K.S.; Barthelmie, R.J.; Jensen, L.E.; Sommer, A. The impact of turbulence intensity and atmospheric stability on power deficits due to wind turbine wakes at Horns Rev wind farm. Wind Energy 2012, 15, 183–196. [Google Scholar] [CrossRef]
- Sheldahl, R.E.; Klimas, P.C. Aerodynamic Characteristics of Seven Symmetrical Airfoil Sections through 180-Degree Angle of Attack for Use in Aerodynamic Analysis of Vertical Axis Wind Turbines; Technical Report; Sandia National Laboratories: Albuquerque, NM, USA, 1981.
- Spera, D.A. Wind Turbine Technology; ASME Press: New York, NY, USA, 1994. [Google Scholar]
- Wilson, R.E.; Lissaman, P.B. Applied Aerodynamics of Wind Power Machines; Technical Report; Oregon State University: Corvallis, OR, USA, 1974. [Google Scholar]
- Abbott, I.H.; Von Doenhoff, A.E. Theory of Wing Sections, Including a Summary of Airfoil Data; Courier Corporation: North Chelmsford, MA, USA, 1959. [Google Scholar]
- Chapman, S. Electric Machinery Fundamentals; Tata McGraw-Hill Education: New York, NY, USA, 2005. [Google Scholar]
- Sen, P.C. Principles of Electric Machines and Power Electronics; John Wiley & Sons: Hoboken, NJ, USA, 2007. [Google Scholar]
- Theraja, B.; Theraja, A.K. A Text Book of Electrical Technology; S Chand & Co. Ltd.: New Delhi, India, 2006. [Google Scholar]
- Sharma, S. Basics of Electrical Engineering; IK International Pvt Ltd.: New Delhi, India, 2007. [Google Scholar]
- Hughes, A. Electric Motors and Drives: Fundamentals, Types and Applications; Newnes: Boston, MA, USA, 2013. [Google Scholar]
- Canudas, C.; Astrom, K.; Braun, K. Adaptive friction compensation in DC-motor drives. IEEE J. Robot. Autom. 1987, 3, 681–685. [Google Scholar] [CrossRef]
- Armstrong, B. Friction: Experimental determination, modeling and compensation. In Proceedings of the 1988 IEEE International Conference on Robotics and Automation, Philadelphia, PA, USA, 24–29 April 1988; pp. 1422–1427. [Google Scholar]
- Olsson, H.; Åström, K.J.; De Wit, C.C.; Gäfvert, M.; Lischinsky, P. Friction models and friction compensation. Eur. J. Control 1998, 4, 176–195. [Google Scholar] [CrossRef]
- Tjahjowidodo, T.; Al-Bender, F.; Van Brussel, H.; Symens, W. Friction characterization and compensation in electro-mechanical systems. J. Sound Vib. 2007, 308, 632–646. [Google Scholar] [CrossRef]
- Krishnan, R. Permanent Magnet Synchronous and Brushless DC Motor Drives; CRC Press: Boca Raton, FL, USA, 2009. [Google Scholar]
- Bastankhah, M.; Porté-Agel, F. A new miniature wind turbine for wind tunnel experiments. Part II: Wake structure and Flow dynamics. Energies 2017, in press. [Google Scholar]
- Coleman, H.W.; Steele, W.G. Experimentation, Validation, and Uncertainty Analysis for Engineers; John Wiley & Sons: Hoboken, NJ, USA, 2009. [Google Scholar]











| DC-Machine I | DC-Machine II | DC-Machine III | ||
|---|---|---|---|---|
| DCX10L | DCX14L | DCX16L | ||
| Outer diameter (mm) | 10 | 14 | 16 | |
| Nominal voltage (V) | 4.5 | 12 | 9 | |
| Nominal speed (rpm) | 7110 | 7330 | 11,100 | |
| Nominal torque (mNm) | 2.2 | 6.86 | 11.9 | |
| Nominal current (A) | 0.648 | 0.646 | 1.88 | |
| No load speed (rpm) | 12000 | 10,300 | 13,100 | |
| No load current (mA) | 25.2 | 23.2 | 54.8 | |
| Torque constant (mNm/A) | K | 3.52 | 10.9 | 6.52 |
© 2017 by the authors. Licensee MDPI, Basel, Switzerland. This article is an open access article distributed under the terms and conditions of the Creative Commons Attribution (CC BY) license (http://creativecommons.org/licenses/by/4.0/).
Share and Cite
Bastankhah, M.; Porté-Agel, F. A New Miniature Wind Turbine for Wind Tunnel Experiments. Part I: Design and Performance. Energies 2017, 10, 908. https://doi.org/10.3390/en10070908
Bastankhah M, Porté-Agel F. A New Miniature Wind Turbine for Wind Tunnel Experiments. Part I: Design and Performance. Energies. 2017; 10(7):908. https://doi.org/10.3390/en10070908
Chicago/Turabian StyleBastankhah, Majid, and Fernando Porté-Agel. 2017. "A New Miniature Wind Turbine for Wind Tunnel Experiments. Part I: Design and Performance" Energies 10, no. 7: 908. https://doi.org/10.3390/en10070908
APA StyleBastankhah, M., & Porté-Agel, F. (2017). A New Miniature Wind Turbine for Wind Tunnel Experiments. Part I: Design and Performance. Energies, 10(7), 908. https://doi.org/10.3390/en10070908

