Abstract
Nanomaterials are engineered materials with at least one dimension in the range of 1–100 nm. Nanofluids—nanoscale colloidal suspensions containing various nanomaterials—have distinctive properties and offer unprecedented potential for various sectors such as the energy, cosmetic, aerospace and biomedical industries. Due to their unique physico-chemical properties, nanoparticles are considered as very good candidates for smart drilling fluid formulation, i.e., fluids with tailor-made rheological and filtration properties. However, due to the great risk of adapting new technologies, their application in oil and gas industry is not, to date, fully implemented. Over the last few years, several researchers have examined the use of various nanoparticles, from commercial to custom made particles, to formulate drilling fluids with enhanced properties that can withstand extreme downhole environments, particularly at high pressure and high temperature (HP/HT) conditions. This article summarizes the recent progress made on the use of nanoparticles as additives in drilling fluids in order to give such fluids optimal rheological and filtration characteristics, increase shale stability and achieve wellbore strengthening. Type, size and shape of nanoparticles, volumetric concentration, addition of different surfactants and application of an external magnetic field are factors that are critically evaluated and are discussed in this article. The results obtained from various studies show that nanoparticles have a great potential to be used as drilling fluid additives in order to overcome stern drilling problems. However, there are still challenges that should be addressed in order to take full advantage of the capabilities of such particles. Finally the paper identifies and discusses opportunities for future research.
1. Introduction
A successful drilling operation depends strongly on the effectiveness of the drilling fluid in use (Figure 1). Drilling for oil and gas involves the drilling of a telescopic hole from surface to the reservoir which can be kilometers away from the surface. Drilling is accomplished with the use of a drilling bit connected to a long string of drill pipe. Applying weight and rotation on the bit, the bit crushes the rock into small fragments, the cuttings. Drilling fluid is circulated from surface, through the drill pipe to the bit face, it lifts the generated cuttings and brings them to surface, where separation equipment removes the cuttings from the drilling fluid, which is circulated, with the help of powerful pumps, back to the wellbore.
Figure 1.
Schematic representation of the drilling process. The wells can be vertical (pictured), inclined and even horizontal.
Drilling fluids perform additional functions, mainly, they control subsurface pressures, stabilize the exposed rock, prevent contamination of subsurface formation hydrocarbon fluids, provide buoyancy, and cool and lubricate the bit. Such fluids must be engineered so that they can perform efficiently in harsh environments and it must be ensured that they do not damage the formations which are being drilled.
Exploration of new hydrocarbon fields in complex subsurface environments under high pressure and high temperature (HP/HT) conditions, requires the development and use of exceptional drilling fluids, which maintain their rheological and filtration properties even at such hostile environments.
Nanotechnology has come to the forefront of research and has already contributed significantly to technological advances in various industries, including the energy industry. The drilling industry could not be an exception to this norm. Nanoparticles (NP) possess enhanced physico-chemical properties compared to macro and micro-sized materials, which can be attributed to their tiny size along with their extremely high surface-to-volume ratio. Such properties make NPs the most promising materials for the design of smart drilling fluids with tailor-made properties that can meet the requirements of the demanding downhole environments [1].
The drilling industry can thus significantly benefit from nanotechnology. The most promising prospects is the use of NPs in drilling fluids in order to formulate smart drilling fluids to give them optimal properties under a wide range of operating conditions. Furthermore, the potential to manufacture custom-made nanoparticles will play a vital role for the development of nano-based drilling fluids, because custom-made fluids can be developed that can meet the needs of each operator to deal with different specific conditions. Hence, the application of nanoparticles to formulate high performance drilling fluids has the potential to overcome current as well as future technical challenges encountered by the drilling industry.
Over the last few years the need for improved drilling fluids has led researchers to examine the development of enhanced drilling fluids, using various NPs as additives. While most of the reported work is lab work, there are however two studies reporting full-scale field testing of nanoparticle-based drilling fluids [2,3].
A brief overview of the application of nanotechnology to drilling fluid formulation has also been provided in the literature [4,5]. Modeling of the rheology of nano-ehanced drilling fluids, as a function of shear rate, nanoparticle volume fraction and temperature, aspects which are critical toward high-fidelity computational modelling for the design and planning of cost-effective drilling campaigns, has also been reported [6,7,8].
This paper presents a review for the incorporation of various NPs for the formulation of improved drilling fluids. It will focus on reported results on the use of nanoparticles for the enhancement of drilling fluid properties which can be modified with addition of nanoparticles. Of the above mentioned drilling fluid properties, the ones readily modifiable by the nanoparticles are rheology and fluid loss control, wellbore and shale stabilization, wellbore strengthening, magnetic properties of such smart drilling fluids, cuttings suspension and thermal properties. It is expected that this review will be a useful guide for both companies and researchers for the development of smart, greener and more efficient drilling fluids.
2. Rheology and Fluid Loss Control
2.1. Experimental Studies
Monitoring and controlling the rheological properties of the drilling fluid is an integral part of the efforts for successful oil and gas well drilling. Precise prediction of frictional losses is strongly dependent on accurate knowledge of drilling fluid rheology. As the fluids move through the wellbore, their rheological profile is undergoing significant alterations. The combined effect of temperature, pressure, time- and shear-history on the rheological properties makes the characterization and forecasting of drilling fluids rheological profile a complex task [9]. Accurate determination of the rheological characteristics of complex fluids necessitates deep understanding of the base fluid properties, especially the contribution of the associated microstructure mechanisms on the flow properties [10].
Beyond rheology, which is a key property that needs to be optimized for the development of any stable and effective drilling fluid, fluid loss is another property that drillers should minimize in order to promote safer and less expensive drilling activities. Invasion of foreign fluids, such as drilling mud filtrate, into the newly exposed formations, is one of the most common causes of formation damage, leading to costly stimulation treatments and even loss of production. This problem has been known for decades as a major contributor to the abnormal decline in productivity or injectivity in most reservoirs. During drilling, the fluid loss into the formation occurs due to the normal resultant differential pressure between wellbore pressure and reservoir pressure, as in most cases and for safety reasons, wells are drilled overbalanced, i.e., with higher wellbore pressures than formation fluid pressures. A filter mud cake is formed on the formation face due to the build-up of the mud solids. Satisfactory fluid loss value and the deposition of thin, impermeable filter cake can mitigate the problems of excessive formation damage [11].
Several researchers attempted to incorporate different NPs into drilling fluids for rheological and filtration control instead of common polymer additives. Amanullah et al. [1] discussed the formulation and preliminary test results of three nano-based drilling fluids. The initial mud formulation indicated that development of a functionally viable, physically stable and homogeneous and also stable over a long period of time nano-based drilling fluid is difficult using water or salt water as the fluid phase. The preparation of a homogeneous and stable nanofluid with adequate time stability was very difficult without the use of highly effective surfactants, chemicals or polymers with high shielding or neutralizing capabilities. The test results indicated also that the developed nano-based drilling mud produced suitable high and low end rheological properties. Furthermore, they noticed a significant decrease in spurt and fluid loss upon addition of the NP with a deposition of a thin and compact mudcake, which in turn can lead to major decrease in differential pipe sticking in highly permeable formations.
Jung et al. [12] examined the rheological properties of 5 wt % bentonite fluids (used as base fluid) containing different concentrations (0.5 and 5 wt %) of iron oxide (Fe2O3) NP (3 and 30 nm) as a function of temperature (20–200 °C) and pressure (1–100 atm). The results showed that an increase in concentration of Fe2O3 NP in the bentonite suspension resulted in increasing yield stress (Table 1), viscosity (Figure 2), and strength of particle interaction. They attributed this rheological enhancement to the fact that Fe2O3 NP embedded in randomly dispersed pore structure on the surface of clay particle and conferred links between bentonite particles, which in turn promoted gelation of the bentonite particles. Furthermore, they performed standard American Petroleum Institute (API) filtration tests in the developed samples (100 pounds per square inch pressure differential at atmospheric temperature, and referenced as Low Pressure/Low Temperature—LP/LT) and they found maximum reduction in the fluid loss achieved upon addition of 0.5 wt % 30 nm of Fe2O3 NP. Higher concentrations of NP (5 wt %) led to a decreased fluid loss capacity. They suggested that near this critical concentration, the net repulsive and attractive forces were in a ratio such that the clay platelets aligned more in face-to-face (FF) than face-to-edge (FE) configurations, thus decreasing the penetrable surface area of the filter cake formation.
Table 1.
Change of yield stress as a function of content of Fe2O3 NP in 5 wt % bentonite aqueous suspension (base fluid-BF) at 25 °C and atmospheric pressure [12].
Figure 2.
Measured apparent viscosity of bentonite fluid samples with and without addition of NP as a function of shear rate at 25 °C and atmospheric pressure [12] (with permission from AADE, 2011).
Barry et al. [13] investigated the fluid filtration and rheological properties of low solid content bentonite fluids, containing iron oxide (Fe2O3) NP additives and two NP intercalated clay hybrids, iron oxide clay hybrid (ICH) and aluminosilicate clay hybrid (ASCH), under both LP/LT (25 °C, 6.9 bar) and High Pressure/High Temperature (HP/HT, 200 °C, 70 bar) conditions. Increasing the temperature and pressure of the drilling fluid changed the rheological properties and this subsequently affected its fluid loss performance. They also noticed that the effect of pressure on the rheological properties of the produced suspensions was not as significant as that of temperature. The ICH and samples containing Fe2O3 NP showed higher stresses at all shear rates compared to the base fluid (5 wt % aqueous bentonite suspension), while ASCH solutions showed lower shear stresses at all shear rates than the base fluid (Figure 3a).
Figure 3.
(a) Shear stress versus shear rate of various drilling fluids at 25 °C and 6.9 bar. Solid lines indicate Herschel-Bulkley fits; (b) Cumulative LP/LT fluid filtration volumes as a function of square-root of time [13] (with permission from Elsevier, 2015).
Filtration experiments revealed that addition of ICH and ASCH in bentonite suspensions decreased LP/LT fluid loss, by 37% and 47% respectively, compared to the control sample (5 wt % bentonite) (Figure 3b). A better effect was observed at HP/HT with a reduction of 47%. The authors reported that addition of 0.5 wt % of 3 nm and 0.5 wt % of 30 nm Fe2O3 NP unexpectedly increased the filtration volume at LP/LT conditions compared to the control sample (in 30 min) by 11.5% and 2.1%, respectively. However, at HP/HT conditions the samples containing 0.5 wt % 3 and 30 nm Fe2O3 NP reduced the fluid loss compared to the control sample by 27.6% and 23.4%, respectively. The authors suggested that at HP/HT conditions the Fe2O3 NP replaced dissociated Na+ cations, deflocculating the solution which yielded a low permeability filter cake. On the other hand, the superior performance of ICH as fluid loss additives, was attributed by authors to a strong cross-linked and coagulated platelet network, which was less sensitive to pressure and temperature and this resulted in less permeable filter cakes, reducing filtration volumes both at LP/LT and HP/HT conditions. The restructured mode of clay platelet interaction due to a modification in surface charge was revealed by zeta potential measurements and SEM images. Finally, the authors proposed that the improved filtration performance by adding ASCH could be attributed to the low permeability filter cakes which were built due to the strong electrostatic repulsion between the hybrid particles and clay platelets which provided good dispersion and prevented coagulation and flocculation.
Contreras et al. [14] investigated the use of in-house prepared iron-based and calcium-based nanoparticles with glide graphite as a conventional lost circulation material (LCM) in oil-based mud in order to minimize formation damage in porous media. The rheological properties were measured at 120 °F and atmospheric pressure. They noticed that the samples containing calcium NP moderately increased their plastic viscosity. The samples containing iron NP caused a reduction in the yield point especially at high graphite concentration. The authors concluded that addition of NP and LCM did not significantly affect the rheological properties and thus NP can be used without requiring additional rheological additives. Both HP/HT filter press at 500 psi and 250 °F and API LP/LT filter press were used to investigate the behavior of NP and graphite enhanced drilling fluids under different conditions. Ceramic discs of 775 mD were used as filter media at HP/HT filtration experiments. The results indicated that all the produced nanofluids were capable of reducing the fluid loss compared to the values given by the control sample. More specifically, iron-based NP gave higher reduction in the fluid loss value especially at low concentrations under HP/HT conditions, while calcium based NP yielded significant reduction at high concentration under HP/HT conditions.
Mahmoud et al. [11] evaluated the performance of drilling fluids containing commercial Fe2O3 and SiO2 NP at various concentrations (up to 2.5 wt %), for minimizing formation damage at HP/HT conditions. A 7 wt % Ca-bentonite suspension was used as base fluid. They reported that adding Fe2O3 NP changed the rheology of bentonite-based drilling fluids at temperatures up to 200 °F, by changing the yield point and plastic viscosity (Figure 4a). However, addition of silica NP decreased the yield point at higher temperatures (Figure 4a). The Herschel-Bulkley model was found to be the best fitted model. The authors performed aging tests at 350 °F for 16 h, and they observed that the rheology of bentonite-based drilling fluid containing iron oxide NP remained stable with minor loss in the gel structure. Addition of silica NP showed better rheological stability than the Fe2O3 NP when aging under the same conditions.
Figure 4.
(a) Yield point values for samples that have 0.5 wt % of NP compared to that of the base fluid (7 wt % Ca-bentonite suspension) at different temperatures [11] (with permission from SPE, 2016); (b) CT scan images of the filter cakes generated by the drilling fluids that have 0.5 wt % ferric oxide (Fe2O3) nanoparticle under static condition at a differential pressure of 300 psi and a temperature of 250 °F [15] (with permission from SPE, 2017).
Filtration experiments were carried out at HP/HT conditions (300 psi differential and 250 °F) both at static and dynamic conditions (using a filter press cell with an agitator). The results showed that 0.5 wt % of Fe2O3 NP was the optimum NP concentration, giving a reduction in the filtrate volume by −42.7%, compared to that of the base fluid, with a corresponding increase in the filter cake thickness by 17.32% (Table 2). At the concentration of 0.5 wt %, a smoother filter cake morphology with less agglomeration was observed from SEM images. The filter cakes were further examined with Computed-Tomography (CT) scans and SEM analysis and the results were reported in another study [15]. The authors concluded that addition of Fe2O3 NP to the drilling fluids improved the filter cake characteristics under both static and dynamic filtration conditions. The best filter cake characteristics were obtained at 0.3–0.5 wt % Fe2O3 NP. The filter cake produced after addition of Fe2O3 NP consisted of two layers, as indicated by the CT scan (Figure 4b). The layer close to the rock surface was the main layer, in which the NP played a key role in building a good microstructure. Moreover, at high NP concentrations a new layer was formed, consisted mainly of the agglomerated NP, which adversely affected the filter cake efficiency.
Table 2.
Filtration characteristics of the drilling fluids that have different NP types and concentrations at 300 psi differential pressure and 250 °F [11].
Zakaria [16] developed in-house a new class of nanoparticles to be used as loss circulation material to control fluid loss in porous media with very small pore size, such as shale formations. The authors tested two different approaches, in-situ and ex-situ, of nanoparticle formation when using an oil-based drilling fluid. The authors observed a slight decrease in apparent viscosity at all tested shear rates upon addition of both types of NP. The rheograms followed a non-linear trend at low shear rates while approaching linearity at high shear rates. They attributed this rheological behavior to the fact that NP behavior is governed by NP grain boundary and surface area/unit mass. They tested also the fluids for their filtration characteristics and they found that under standard API filtration test, more than 70% reduction in fluid loss was achieved compared to 9% reduction in fluid loss in the presence of typical lost circulation materials. They reported a thin filter cake which indicates high potential for reducing the differential pressure sticking as well as formation damage. Moreover, there was no impact of the NP addition on the viscosity and stability of the drilling fluid for more than 6 weeks.
Vryzas et al. [10,17,18,19] carried out experimental investigations to examine the effect of addition of different concentrations of commercial iron oxide (Fe2O3) NP as drilling fluid additive in 7 wt % aqueous Na-bentonite suspensions (used as base fluid). They concluded that at HP/HT conditions, iron oxide nanoparticles are more efficient at lower concentrations. Maximum reduction of filtration loss was achieved upon addition of 0.5 wt %, which reduced filtrate losses by 42.5% compared to the base fluid (Figure 5). In contrary, addition of silica nanoparticles at different concentrations to bentonite-based drilling fluids affected adversely the filtration characteristics at HTHP conditions (Figure 6). The exceptional filtration behavior of Fe NP was attributed to the thin and compact filter cake produced upon addition of nanoparticles compared to that of base fluid, as it was further revealed by SEM images. The authors performed rheological measurements at different Fe NP concentrations as well as at temperatures. The results showed that the Herschel-Bulkley yield stress increased at higher concentrations of Fe2O3 NP (Figure 7). Higher tested temperatures also showed an increase of the Herschel-Bulkley yield stress at all concentrations of nanoparticles. They stated that the changes were not excessive, allowing the potential use of the NP without the need to use rheological additives. The testing of fluid samples containing nanosilica at different concentrations showed small rheological changes with most important being the reduction in the yield stress for all tested samples at 140 °F compared to the base fluid. It is worth noting that the variation of the yield stress of the samples containing nanosilica was small at all tested temperatures compared to the case for samples containing iron oxide nanoparticles. This interesting behavior should be explored further in future studies.
Figure 5.
30 min HP/HT cumulative filtrate volume of the samples containing different concentrations of iron oxide (Fe2O3) nanoparticles at 250 °F and 300 psi differential pressure [10] (with permission from SPE, 2015).
Figure 6.
30 min-HP/HT filtrate volume of the base fluid and samples containing 0.5 wt % iron oxide and 0.5 wt % nanosilica at 250 °F and 300 psi differential pressure [10] (with permission from SPE, 2015).
Figure 7.
Rheograms for the samples have different concentrations of iron oxide (Fe2O3) nanoparticles in 7.0 wt % aqueous bentonite suspensions at 78 °F [10] (with permission from SPE, 2015).
Vryzas et al. [20,21] investigated novel custom-made (CM) magnetite (Fe3O4) NP (Figure 8a) as drilling fluid additives, with diameters of approximately 8 nm, to improve the rheological and filtration properties of Na-bentonite based fluids. Full characterization of Na-bentonite suspensions that were used as base fluid in this study was reported in other studies [9,22]. They found that the yield stress and apparent viscosity, at all shear rates, became increasingly sensitive to temperature. Yield stress of the produced nanofluids increased linearly with temperature up to 60 °C (250 °F) (Figure 8b). Apparent viscosity, at all shear rates, also increased at higher temperatures. Addition of CM Fe3O4 NP at 0.5 wt % showed optimal filtration characteristics with a reduction of 40% of fluid loss compared to the base fluid at HP/HT conditions (250 °F and 300 psi differential pressure). The spurt loss, which is the initial fluid loss before the starting of the formation of the filter cake decreased by 100% upon addition of CM Fe3O4 NP. Filter cake thicknesses increased upon addition of NP. Dynamic thermal aging at 350 °F for 16 h adversely affected the properties of the base fluid.
Figure 8.
(a) Transmission Electron Microscope (TEM) image of the synthesized Fe3O4 (magnetite) nanoparticles [20] (with permission from ASME, 2016).; (b) Yield stress as a function of temperature for the base fluid and sample containing 0.5 wt % CM Fe3O4 NP [21] (with permission from SPE, 2016).
However, the NF maintained its extraordinary rheological and filtration behavior achieving 43% reduction in the fluid loss compared to the base fluid, similar to the performance of the NP-enhanced drilling fluid at normal conditions, i.e., no thermal aging. SEM-EDS analysis revealed the microstructure of the produced filter cakes.
The filter cake produced from the base fluid was very smooth without significant anomalies (Figure 9a), while the filter cakes containing CM Fe3O4 NP showed chain-like structures (Figure 9b). The authors concluded that the presence of these structures increased the surface area of the filter cake and furthermore it enhanced its ability to interact more efficiently and finally to attach firmly on the surface of the filter media.
Figure 9.
SEM images of the filter cakes formed from after HP/HT filtration test at 24.1 bar (300 psi) and 121 °C (250 °F) (magnification of ×5000) for the (a) base fluid; (b) nanofluid containing 0.5 wt % CM Fe3O4 NP [21] (with permission from SPE, 2016).
Several researchers have used nanosilica (SiO2) as drilling fluid additive. Mao et al. [23] developed a hydrophobic associated polymer based nano-silica composite with core-shell structure (SDFL) via inverse micro emulsion polymerization and sol-gel preparation. The results revealed that the composite showed excellent thermal stability, lubricity, rheological and fluid loss properties. More specifically, addition of 0.5 wt % of the SDFL in a fresh water-based drilling fluid decreased the fluid loss by 69% at HP/HT conditions. The authors concluded that the developed fluid has great potential to stabilize the borehole and protect the reservoir. Li et al. [24] formulated a drilling fluid using common drilling fluid materials such as bentonite, KCL and XC-polymer and added nanosilica NP. Addition of silica nanoparticles improved the rheological properties of the produced fluid, while fluid loss was reduced. Moreover, a thin and well textured mud cake was formed. They performed also a cost analysis that showed the economic feasibility of the use of such new fluid. Salih et al. [25] stated that use of nanosilica NP in the range of 0.1–0.3 wt % had the most significant impact on the mud properties than any other concentration they have tested (>0.5 wt %). Furthermore they claimed that smart water-based muds with nanosilica can replace oil-based mud in horizontal, directional, and shale drilling operations due to the ability of the newly formed fluid to reduce drilling and production problems. They further reported that nanosilica was very sensitive to the pH of the mud and played a significant role in enhancing the flocculated mud properties at high pH.
Anoop et al. [26] examined the rheology of mineral oil-SiO2 nanofluids (1% and 2%) at HP/HT conditions. They noticed that the tested nanofluids exhibited non-Newtonian characteristics at elevated pressures and temperatures. They concluded that nanofluid viscosity values increased with an increase in the particle concentration as well as at higher pressures. Higher than 100 °C temperatures caused a decrease in viscosity, while the most appropriate rheological model was that of a power law for all cases. But for temperatures below 100 °C, there was no substantial reduction in viscosity values of their fluids. Changing of the viscosity values were attributed to chemical alteration of the nanofluids at HP/HT conditions, as observed by infrared spectroscopy analysis.
Javeri et al. [27] used 40–130 nm of SiO2 NP for developing a new drilling fluid and examined its impact on the mud cake thickness and rheological properties. They showed that the SiO2 NP did not affect significantly the rheological properties. However, they reduced the mud cake thickness by 34%, which is very important for alleviating formation damage issues.
Ismail et al. [28] studied the applicability of multi-walled carbon nanotube (MWCNT) and nanosilica as drilling fluid additives for improving the rheological and filtration characteristics as well as the lubricity of water-based drilling fluids. The results showed that addition of MWCNT and nanosilica improved the rheological properties such as plastic viscosity and yield point compared to that of the base fluid. Furthermore, they found that the maximum fluid loss reduction was achieved upon addition of 0.00285 wt % (0.01 ppb) of nanosilica and MWCNT.
Belayneh et al. [29] focused on the effect of nano-silicon dioxide (SiO2) on polymer (HV-CMC, LV-CMC, xanthan gum) and salt (KCl, NaCl) treated bentonite drilling fluid systems. They developed a reference fluid containing 0.2 g low viscosity (LV)-carboxymethyl cellulose (CMC) and 0.3 g xanthan gum polymers in 25 g bentonite/500 g water with 2.5 g KCl. They added different concentrations of SiO2 NP in the reference fluid (up to 0.4 g) and checked the rheological and the filtration properties. The results indicated that addition of SiO2 NP caused an upward shift on the rheograms with respect to that of the reference fluid and showed shear thinning behavior. A maximum yield stress of 10 Pa was measured upon addition of 0.25 g of SiO2 NP compared to 5.5 Pa of the base fluid system. The API filtration measurements revealed that some reduction, of 4.5%, was achieved, compared to that of the nano-free system, by adding 0.25 g of the SiO2 NP. On the other hand, addition of 0.2 g and 0.3 g increased the fluid loss by 8.7% and 13% respectively compared to the base fluid. These results are fairly similar to the results of Vryzas et al. [10] who reported, as mentioned above, deterioration of fluid loss performance of silica nanofluid when compared to the base fluid.
Agarwal et al. [30] investigated the use of nanoclay and nanosilica, in place of polymeric surfactants, to stabilize invert emulsion model drilling fluids for HP/HT application. Poly 1-decene, an olefin oil, was used as continuous phase for invert emulsions. The dispersed phase was deionized water. The nanoclays were montmorillonite based clays which were modified by various organic cations. Hydrophobic nanosilica particles were used. The authors found that the best stability and flow properties were obtained when both nanoclay and nanosilica are used together. They also found that nanoclay disperses easily in oil phase and shows better gel formation capacity. Finally they reported that when aging at 225 °C for 96 h, there was some loss in yield stress but the emulsion remained stable.
Abdo and Haneef [31] investigated the significance of reducing the size distribution of particles and tested a new clay (ATR) which has a chain like structure and offers enormous surface area and increased reactivity. The new clay (ATR) consisted mainly of montmorillonite. The material was used in different sizes (micro and nano) to illustrate the tailoring of rheological properties of drilling fluids without using other additives. Bentonite was also tested with different particle sizes. The nanoparticles of the tested material ATR were found to be suitable for use in drilling mud due to their functional characteristic of maintaining low viscosity without compromising the density requirement, while also maintaining high gel strength. The authors found that a combination of regular bentonite and ATR nanoparticles displayed the best and optimized set of properties due to combining the characteristics of the high density of bentonite and the low viscosity and high gel strength of ATR nanoparticles, which is not possible when any of the two clays are used alone. The nano-modified drilling fluids were tested in HP/HT environment and showed great rheological stability at high temperature and pressure.
Abdo and Haneef [32] tested the use of clay nanoparticles to stabilize the drilling fluid rheology at HP/HT conditions. In this work, they used palygorskite (Pal, a natural hydrous clay mineral with a fibrous rod-like microstructure), which was purified, synthesized, characterized, functionalized, and tested in nano-form (10–20 nm diameter) for its effectiveness to tailor the rheology of drilling fluids. The authors reported that the elongated needle shape of Pal (Figure 10a) results in unique colloidal properties, especially in terms of the resistance to high concentrations of electrolytes. The added nanoparticles were found to provide stable drilling fluid rheology at HP/HT environment (Figure 10b). Montmorillonite alone was not stable at the tested HP/HT conditions, but adding small concentration of Pal nanoparticles solved the problem. They concluded that Pal NP can be used as effective rheology modifiers and thus eliminate the use of other expensive drilling fluid additives.
Figure 10.
(a) SEM image of regular Pal (needle like clusters); (b) Yield point and plastic viscosity vs. temperature for the nano-modified drilling fluids [32] (with permission from Elsevier, 2013).
Kosynkin et al. [33] examined the use of graphene oxide (GO) as a high-performance fluid loss control additive in water-based drilling fluids. They concluded that GO performed very well as a filtration additive in water-based fluids at concentrations of 0.2 wt % by carbon content. They performed standard API filtration tests on aqueous dispersions of GO and xanthan gum. They determined that a combination of large flake GO (Figure 11a) and powdered GO in a 3:1 ratio performed best in filtration tests, with an average fluid loss of 6.1 mL (Figure 11b) and filter cake thickness of 20 µm. They compared these results with standard drilling fluids used by oil industries containing ~12 g/L of clays and polymers, which gave an average fluid loss of 7.2 mL (+18%) and a filter cake with ~280 µm thickness. They also observed that GO solutions exhibited shear thinning behavior and higher temperature stability compared to clay-based fluid loss additives, thus showing a great potential to be applied for HP/HT wells. They concluded that GO has the potential for industrial scalability through production from abundant graphite sources and common reagents and can be proved as an effective fluid loss control additive for the drilling industry.
Figure 11.
(a) SEM image of a single large flake graphene oxide (LFGO) flake; (b) API filtration loss results for LFGO, PGO, a 1:1 mix and a 3:1 mix of LFGO and PGO suspensions at 2 g/L carbon-content concentrations in 2.9 g/L (0.75 lbm/bbl) xanthan gum solution [33] (with permission from American Chemical Society, 2012).
Nasser et al. [34] developed a nanofluid using nanographite and nanosilicon wires as additives. The authors concluded that the nanomud retained all the desired rheological properties at higher temperatures (up to 90 °C). The viscosity of the nanomud was higher than this of the normal mud at all tested temperatures. Finally, they proposed that the cost feasibility of NP should be assessed in future work.
Manea [35] focused on low solid content water-based drilling fluids prepared with nano size polymers. A synthesized nano polymer was used as a filtrate reducer additive. The nanoparticles were obtained by grinding with a Fritsch Pulverisette planetary mill. The enhanced rheological properties of this polymer were due to its capacity of forming hydrogels by adsorption of free water from the system. The material was reported to be pH sensitive and its swelling capacity increased in alkaline media. The author concluded that the fluid loss reducer agent keeps the cumulative volume of filtrate at low values.
Saboori et al. [36] and Fereydouni et al. [37] identified the effect of carboxymethyl cellulose (CMC) and polyanionic cellulose (PAC) polymer nanoparticles on fluid loss and mud-cake-thickness. CMC and PAC nanoparticles were made in-house. The polymer powders' size distributions before entering to the mill and after exiting from the mill were measured by Particle size analyzer. The amount of fluid loss and mud cake thickness of the drilling fluids were measured by standard API filter press. The authors found that adding CMC and PAC nanoparticles resulted in desirable reduction of amount of fluid loss and mud cake thickness when compared with conventional polymers of the same type. It would be interesting to compare their results with results obtained when regular powder CMC or PAC are used as additives to the drilling fluids to denote the importance of nano particles in improving such performance.
Li et al. [38] investigated the addition of cellulose nanocrystals (CNC) and polyanionic cellulose (PAC) as additives in bentonite water-based drilling fluids. They showed that the presence of bentonite and CNCs significantly improved the rheological properties of PAC/CNC/bentonite water-based drilling fluids, whereas the effect of PAC was relatively less (Figure 12a,b). Finally, they noticed that the API fluid loss of PAC/CNCs/bentonite water based drilling fluids remarkably decreased as the concentrations of bentonite and PAC increased, while CNCs had little impact on the fluid loss of the PAC/CNC/bentonite fluid.
Figure 12.
Plots of (a) viscosity; and (b) shear stress as a function of shear rate for PAC/CNC/BTWDFs at various bentonite concentrations [38] (with permission from American Chemical Society, 2015).
Li et al. [39] explored the effectiveness of cellulose nanoparticles (CNPs), including microfibrillated cellulose (MFC) and CNCs in enhancing the rheological and filtration performance of bentonite water-based drilling fluids. They found that addition of MFC and CNCs increased the rheological properties of bentonite water based drilling fluids, including the viscosity and yield point, demonstrating their capability on improving cuttings transport capacity. Moreover, they suggested that the improved viscosity, the core-shell structure as well as the formation of CNC polymer films remarkably reduced the fluid loss volume and the thickness of filter cake for CNC/bentonite fluids. On the other hand, MFC had little impact on the fluid loss and yielded thicker filter cakes, which can cause serious problems such as differential pressure sticking and stuck pipe.
Sadeghalvaad and Sabbaghi [40] examined the effect of the TiO2/polyacrylamide (PAM) nanocomposite on water-based drilling fluid properties. They found that the nano-enhanced water based drilling fluids (NWBF) increased the rheological properties such as plastic viscosity and yield point. Furthermore, the shear thinning behavior was increased by increasing the concentration of the additive. They performed also SEM analysis of the pure PAM and the TiO2/PAM nanocomposite and the SEM images showed that the surface of the pure PAM sample was smooth. The comparison of these two images revealed that the TiO2 grains appeared on the surface and inside of the PAM.
William et al. [41] investigated the preparation of nanofluid-enhanced water-based drilling muds (NWBM). They used CuO and ZnO nanoparticles (with sizes less than 50 nm) in a based fluid which was a 0.4 wt % Xanthan Gum aqueous solution. The nanofluids were prepared using nanoparticle concentrations of 0.1, 0.3 and 0.5 wt %. An ultrasonication tank was used, and sonication for one hour was used. The WBM was formulated with 5 cP prehydrated bentonite slurry and adding xanthan gum (XG) as a viscosifier, polyanionic cellulose (PAC-L) as a fluid loss control agent, KCl for inhibition and KOH to establish a pH range of 9.0–9.5. A biocide (formaldehyde) was added to ensure that the natural polymers do not degrade due to bacterial action. The authors observed that NWBM showed improved thermal and electrical properties by about 35% compared to WBM. Increasing the concentration of nanoparticles enhanced the electrical and thermal properties of drilling fluids even more. The NWBM based on CuO nanofluids were found to show improved thermal properties and were more resistant to HP/HT conditions than the ZnO-based NWBM. High pressure and high temperature rheological studies were conducted on NWBM at varying temperatures (25, 70, 90 and 110 °C) and pressures (0.1 MPa and 10 MPa). The effect of pressure on the rheology of NWBM was found to be more significant at higher temperatures. The results showed better rheological stability in the case of NWBM. The authors reported that the most significant role that the nanofluids play was in stabilizing the viscosity at higher temperatures. The Herschel Bulkley model was observed to be the best fit-model for describing the rheological behavior of NWBM.
Ponmani et al. [42] tested the effect of nanofluids of copper oxide (CuO) and zinc oxide (ZnO) at various concentrations (0–0.5 wt %) and in various base fluids, such as xanthan gum, polyethylene glycol (PEG-600), and polyvinylpyrrolidone (PVP), for the development of nanofluid enhanced drilling mud (NWBM). The results were compared with these obtained from micro fluid enhanced drilling mud (MWBM) in order to assess the effect of particle size. The results showed that NWBM had better thermal and filtration properties than MWBM. The maximum reduction in fluid loss (−63%) compared to the base fluid was achieved by the sample containing 0.5 wt % ZnO NP and 0.5 wt % ZnO microparticles. Finally, they observed that MWBM had higher filter cake thickness compared to NWBM as well as a decrease in thickness of the filter cake with an increase in the concentration of nanoparticles in the nanofluids.
Aftab et al. [43] explored the effects of zinc oxide NP-acrylamide composite (ZnO-Am) on rheological and shale swelling behavior of conventional water-based drilling fluid. Results revealed that the rheological properties (e.g., AV, PV) were slightly increased upon addition of the ZnO-Am composite over the tested temperature range (up to 150 °F). API fluid loss (LP/LT) was reduced by 14%, while HP/HT fluid loss was slightly reduced. Shale swelling was decreased from 16% to 9%.
Friedheim et al. [4] discussed the use of carbon nanotubes (CNTs) as stabilizers for ultra-HPHT non-aqueous invert emulsion drilling fluids. Two CNTs were selected for evaluation of formulations after screening numerous types of CNTs at various concentrations. They found that both CNT materials showed positive results in stabilizing the rheological behavior under HP/HT conditions. They also reported that fluid loss control was still an issue with these fluids. Furthermore, they reported the effect of adding graphene oxide nanoparticles to freshwater slurry of bentonite and barite on the fluid viscosity and fluid loss control. The results showed that the effect, in terms of typical drilling fluid rheological parameters, is quite substantial when only 2 lb/bbl (0.57 wt %) is added. They concluded that the graphene oxide nanoparticles affect both rheology and fluid loss and appear to be relatively effective.
Ho et al. [44] carried out experimental investigations in order to examine the effect of hydrogenated oil-based drilling fluid when dispersed with graphene nano-sheets. Graphene nano-sheets were dispersed via hydrodynamic cavitation dispersion and ultrasonic bath for 3 h each. Two rheological models (Bingham model and Power Law model) were fitted to predict the rheological behavior of graphene-oil based drilling fluid (Figure 13). The results indicated that the newly developed nano-based drilling fluid exhibited higher viscosity as compared to the hydrogenated oil-based drilling fluid over the shear rate range of 0–140 s−1. In addition, they noticed that at higher particle loadings, higher viscosity values were obtained. The authors also observed that the graphene-oil based fluid behaved like a Bingham fluid but was similar to a Newtonian fluid as it possessed zero shear stress. The viscosity decreased exponentially compared to base fluid’s viscosity at increasing shear rate regardless of concentration and the viscosity trend continued to decrease exponentially at increasing shear rates until it reached a base viscosity similar to this of the base fluid. Finally, they saw that at lower shear rates, the experimental data fitted well into both rheological models (Bingham plastic model and Power Law model). However, at higher shear rates the Power Law model significantly deviated from the experimental data.
Figure 13.
Comparison of experimental data and rheological models at 40 °C [44] (with permission from Elsevier, 2016).
Ismail et al. [45] studied the use of multi-walled carbon nanotubes (MWCNTs) as an additive to improve the rheological properties of water-based and ester-based drilling fluids. They focused on determining the optimum concentration of MWCNTs with average diameter of 30 nm, to produce better rheological properties at various temperatures. The results showed that in water-based drilling fluid, the plastic viscosity, yield point and gel strength are not much affected by the different concentrations of MWCNTs that were used. However, in ester-based drilling fluid, emulsion stability is slightly increased as MWCNTs concentration increases. It was also found that the increase in temperature led to a decrease in the plastic viscosity and yield point of water-based drilling fluid. On the contrary, ester-based drilling fluid showed an increase in the rheological properties with an increase in temperature. HP/HT filtration after aging indicated that the 0.00285 wt % (0.01 ppb) of MWCNTs was the optimal concentration with the lowest filtration volume (Figure 14).
Figure 14.
HP/HT fluid loss after aging at different MWCNTs concentration [45] (copyright ANSInet, 2014).
Parizad and Shahbazi [46] investigated the effects of Tin oxide (SnO2) NP on water-based drilling fluid properties. They concluded that adding SnO2 NP enhanced the characteristics of the drilling fluids such as rheology, thermal and electrical conductivities, thixotropy and filtration characteristics. More specifically, they saw a 20% reduction in fluid loss by adding 2.5 g/L SnO2 NP, however higher concentrations of NP could not improve more the filtration characteristics. In addition, they stated that increasing the concentration of SnO2 NP resulted in reduction of the flow behavior index (n) and in increase of the flow consistency index (K).
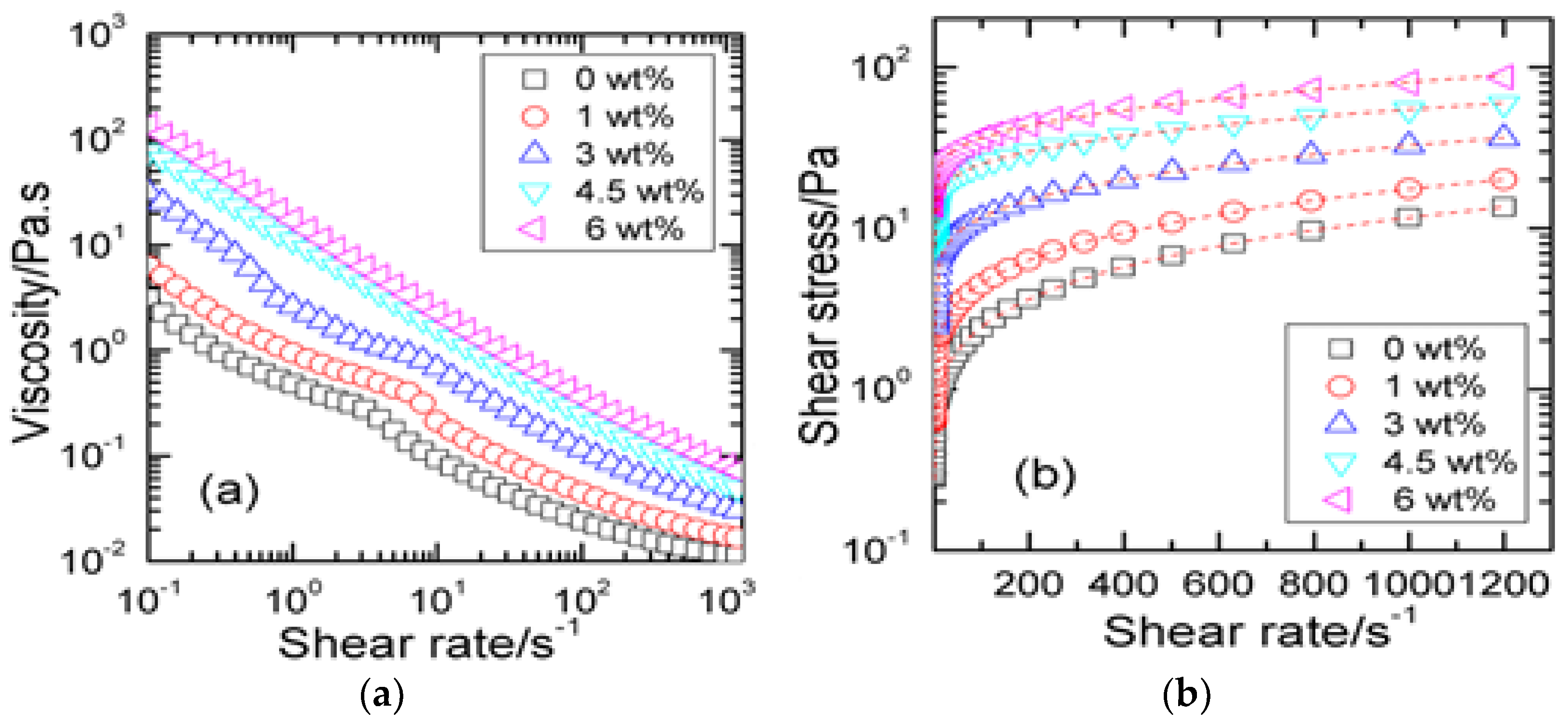
Li et al. [47] studied the utilization of a commercially available soy protein isolate (SPI) as fluid loss additive in bentonite-water based drilling fluids (BT-WDFs). The results indicated that at low SPI concentrations (0.5, 1.0, 1.5 wt %), strong aggregations were formed, resulting in the formation of thick, high-porosity and high-permeability filter cakes giving high fluid loss values. On the other hand, at higher concentrations of SPI (3.0, 4.5, 6.0 wt %), intercalated structures were created that led to the formation of thin, compact and low-porosity and low-permeability filter cakes, which had superior filtration characteristics compared to the pure BT-WDFs. A critical concentration was determined (3 wt %), above which addition of SPI led to significant reduction in the fluid loss of the tested fluids. The authors attributed this behavior to the fact that the attachment of SPI on the surface of bentonite and the alteration of microstructure of bentonite in suspension from “house of cards” to agglomeration or intercalation were responsible for these phenomena.
Alizadeh et al. [48] explored the rheological behavior of a drilling fluid containing alumina/polyacrylamide nanocomposite. The synthetic nanocomposite was synthesized through solution polymerization method. They noticed that addition of 4% of the nanocomposite increased the viscosity of the drilling fluid up to more than 300 cP for both fresh and salt water based mud. Furthermore, they showed that the nanocomposite tested was able to decrease the thixotropy of the produced drilling fluid.
Amarfio and Abdulkadir [49] explored the effect of Al2O3 NP on the rheological properties of water-based mud. They showed that Al2O3 NP provided thermal stabilization for the drilling fluid under high temperature conditions and that the Al2O3 NP were able to maintain the shear stresses of the fluid as temperature increases.
Afolabi et al. [50] evaluated the rheological properties of bentonite mud at three different concentrations (6.3 wt %, 13 wt % and 15 wt %) containing different concentrations of silica nanoparticles (0 wt %–1.5 wt %). They developed a new hyperbolic model to evaluate the rheological properties of the bentonite mud with and without silica nanoparticles. In addition they compared its performance against various rheological models: Herschel Bulkley, Sisko, Casson (Figure 15a). They observed that the hyperbolic rheological model outperformed the other models and estimated the rheological behavior of the nano-modified mud with high accuracy. The reliability of the different models was investigated using the Root Mean Square Error (RMSE), residual plot analysis and the coefficient of determination (R2) values. They noticed that the range of R2 at all tested concentrations of bentonite and silica NP was ranging from 0.991–0.999, 0.999, 0.982–0.996, 0.674–0.964 for the Herschel-Bulkley, Hyperbolic, Casson and Sisko model, respectively. The residual plots for the Herschel-Bulkley model and the Hyperbolic model (Figure 15b) indicated that there was a random variation in the plot of the residuals with the fitted data points and these two models provided the best fit to the experimental data. For the Casson model, there was a systematic pattern of deviation in the plot of the residuals revealing its poor performance.
Figure 15.
(a) Predicted and measured shear stress shear rate data for 6.3 wt % bentonite mud containing 0.5 wt % silica nanoparticles using different rheological models; (b) Residual plot for 6.3 wt % bentonite mud containing 0.5 wt % silica nanoparticles [50] (copyright Afolabi et al. 2017).
2.2. Field Applications
All the above studies have been carried out in laboratories. However, it is important to evaluate nanofluids in real conditions. There are two studies in the literature that highlight the successful application of novel nanofluids in the field. Borisov et al. [2] presented results from a field application of nanoparticle-based invert emulsion drilling fluids (an oil-based drilling fluid). They emphasize that drilling fluids that combine LCM with nanoparticles can significantly reduce fluid loss and create a thinner filter cake, compared to fluids containing LCM alone. Due to their superior properties, NP have the ability to fill the gaps between the micron-sized particles, which leads to lower permeability and decreased filtrate flux (Figure 16). They concluded that their attempt to scale up the NP synthesis was successful. Total mud losses were reduced by 22–34% in the presence of 0.5 wt % calcium NP, which agrees with what was obtained in the lab.
Figure 16.
A schematic representation of mud losses while drilling in the case of (a) typical LCM; and (b) NP [2] (with permission from Springer, 2015).
Taha and Lee [3] studied the application of a nanofluid containing a blend of proprietary surfactants engineered with nano graphene to improve drilling fluid performance. They tested the developed nanofluid in the field (HP/HT onshore well) and they saw a significant improvement in fluids’ thermal stability as well as in its lubricity. They also observed a 30% reduction in fluid loss compared to conventional muds. Furthermore, they obtained an improved rate of penetration (ROP) by 125%, actual reaming torque reduction of 20% and more than 75% increase in the bit’s life span.
2.3. Modeling of Rheology
There are also several researchers that examined the modeling aspects of rheology of different nanoparticle-enhanced drilling fluids. Such models, can provide credible predictions of yield stress and viscosity values on the basis of the smart drilling fluid composition and formulation, while have the potential to be applied to more complex drilling fluid systems. The development of first principle models for rheology of nano-enhanced drilling fluids, which can characterize the fluid behavior as a function of shear rate (γ), nanoparticle volume fraction (φ) and temperature (T), is critical toward modelling, design and planning of cost effective drilling campaigns [7]. Reilly et al. [7] proposed a first-principles approach to the rheology of smart drilling fluids containing Fe3O4 NP which have shown advantages to increasing drilling efficiency in a variety of reservoir environments. Their models were based on original experimental data. The model for shear stress was developed based on a force balance between the Van der Waals attractions of monodispersed Fe3O4 NP spheres. The model for viscosity was created by considering the force required to maintain the NP in suspension being equal to the drag force as calculated for Stokes flow approximation about a sphere. At first they developed bivariate (shear rate, NP concentration) viscosity and shear stress models at a range of temperatures (25 °C–60 °C) and they concluded that the produced results by the first–principle showed good agreement with the experimental data for the shear stress and viscosity. They observed a continuous increase in shear stress and apparent viscosity at higher NP concentrations as well as increased temperatures reduced the degree of shear thinning predicted by the model leading to discrepancies in shear stress predicted at high shear rates. They also incorporated the parameter of T in their bivariate models, this leading to the development of trivariate viscosity and shear stress models (Figure 17). They stated that heating effects and low NP concentrations increased standard error and concluded that the newly developed models described the rheological effects of shear rate, nanoparticle concentration and temperature with high predictive potential with correlation coefficients (R2 > 0.983).
Figure 17.
Trivariate models plots for shear stress and viscosity at different temperatures [7] (copyright Elsevier, 2016).
Gerogiorgis et al. [8] started from microstructural arguments and force equilibria assumptions and developed physics-based (not data-driven) correlations. They developed first-principles rheological models of nano-enhanced drilling fluids containing Fe3O4 NP, which are considered to be explicit multivariate functions of temperature, NP volume fraction and shear rate. They concluded that all composed drilling fluids exhibited a yield stress behavior and are sensitive to both NP addition and temperature, which induced an upward shift on yield stress values as well as shear stress surfaces. They achieved a very good agreement and model consistency, with a slight discrepancy at the lowest temperature (Figure 18). They also stated that the variation of surface inclination as a function of temperature is more pronounced for high NP volume fraction, an observation corroborating the indication of strong microstructural effects (interconnected network formation leading to gelation). Finally, they examined the reliability of the developed models by calculating and comparing the R2 values as well as the sum of squared errors (ΣQ2) and found that the trivariate models showed high predictive potential, with R2 > 0.97 for all subsets of shear stress.
Figure 18.
Trivariate first-principles shear stress versus temperature and shear rate at different NP concentrations [8] (with permission from SPE, 2017).
3. Shale and Wellbore Stability
Several studies were carried out in order to examine the use of various nanoparticles for the reduction of shale permeability around the wellbore by plugging the pore throats, building an internal mud cake and thereby reducing the fluid invasion into the shale. Sensoy et al. [51] performed tests using an apparatus called Shale Membrane Tester for two different shales (Atoka and Gulf of Mexico shales). It was concluded that a concentration of at least 10 wt % of 20 nm NP should be used for successful shale plugging. Scanning Electron Micrographs were used to visualize the type of plugging that was taking place. It was concluded that the nanoparticles plugged primarily the pores that fit their size. However a group of nanoparticles could in some cases aggregate together to plug a bigger pore throat. Finally, four field muds were studied with and without the addition of nanoparticles. It was found that the addition of nanoparticles reduced the fluid penetration into Atoka shale by 16–72% and into the Gulf of Mexico shale by 17–27%.
Taraghikhah et al. [52] examined nanosilica as an additive in water-based drilling fluid for improving shale stability. They determined that the optimal concentration of nanosilica is <1 wt % and stated that the nano-drilling fluid had an acceptable shale recovery in comparison with ordinary shale swelling inhibitors. SEM images of collected shales after performing the shale recovery test, revealed the pore plugging as a physical shale inhibition mechanism. In addition to its improved inhibition characteristics, the developed nanofluid proved to be an efficient lubricant and gave improved rheological profiles with minor changes in fluid loss characteristics.
Hoelscher et al. [53] studied the application of water-based drilling fluids in unconventional shale formations using silica nanoparticles. They aimed to minimize shale permeability through physically plugging the nanometer-sized pores instead of chemical inhibition to impede water flow between the wellbore and formation, thus eliminating swelling of the shales and reducing the formation of fractures. The nanoparticles used were 5–100 nm in size. The 10–30 nm diameter nanoparticles were found to have the lowest amount of fluid loss (based on the one-third rule of filtration theory using the 100 nm membranes). After that, the samples of the desired size and surface treatment were analyzed with cryo-transmission electron microscopy (c-TEM) and X-ray photospectrometry (XPS) to assure that there were no major contaminants in the samples. The authors used the Shale Membrane Tester to better understand the plugging mechanism of shale pore without taking into consideration any modifications of the rock itself. The results confirmed that the silica nanoparticles can physically plug shale at low loading levels in a water-based drilling fluid while being environmentally friendly and cost effective.
Sharma et al. [54] developed and tested a new family of water-based drilling fluids that can be applied to a much border range of shales. They used silica nanoparticles with uniform 20 nm diameter. They found that the formulated drilling fluids were quite stable at elevated pressures and temperatures and offered a wide range of rheological properties, having also good lubricity. The authors also conducted tests to measure the extent of invasion of water into shales when they are exposed to nanoparticle based drilling fluids. They found that the invasion into the shale was reduced by 10–100 times. Tests were also conducted on fractured gas shale samples. They found that the nanoparticles alone can effectively plug pores in shales without microcracks. However, a combination of properly formulated mud and nanoparticles of appropriate size and concentration is the key to prevent water invasion into shale samples with or without microcracks.
Srivatsa et al. [55] investigated the effectiveness of a bio polymer-surfactant fluid blend, containing nanoparticles as fluid loss additives in reducing the filtrate losses to the formation by forming a thin, non-erodible filter cake. The authors presented the results of testing the rheological properties and the API filtrate loss and compared the fluid loss reduction by using nanoparticles as fluid loss additive with an industry standard polymer-based fluid loss additive. The results showed that sized silica nanoparticles can be used instead of sized calcium carbonates which are very effective inorganic bridging agents, however, difficult to maintain. They also found that the surfactant is not thermally stable as bio-polymer at high temperatures; hence they concluded that bio-polymer and nanoparticles might be a good combination for high temperature zones as bio-polymers are generally stable up to 350 °F. Increasing the concentration of nanoparticles was found to reduce the fluid loss, however this was limited by aggregation of nanoparticles in the polymer fluid. Finally, they reported that the nanoparticles are most effective for shale drilling applications as they can penetrate the pores of the shale and act as bridging material resulting in wellbore strengthening.
Akhtarmanesh et al. [56] used NP to reduce the fluid penetration into the Gurpi shale and thus promoting wellbore stability. They tested three different fluids with different additives with and without NP. It was concluded that for successful shale plugging, a concentration of at least 10 wt % of 35 nm NP was needed. The fluid with the NP reduced the fluid penetration into the Gurpi shale up to 68% in comparison with control mud.
Kang et al. [57] developed and evaluated water and oil-based drilling fluids containing silica nanoparticles by running tests such as spontaneous imbibition, swelling rate and acoustic transit time. Results showed that, for the water-based drilling fluids, nanoparticles resulted in higher plastic viscosity (PV) and yield point (YP), and lower API-filtration. Moreover, because pore throats of shale can be plugged by nanoparticles, imbibition amount, swelling rate, and Young's-modulus reduction of shale reduced significantly. However, for the oil-based drilling fluids, nanoparticles did not have such good performance and led to some negative effects such as higher filtration and larger Young's modulus reduction. The authors attributed this behavior to the fact that silica nanoparticles can easily disperse in the water-based fluids, and effectively prevent the filtrate from invading into shale by plugging pore throats. However, it is difficult for the NP to disperse in oil-based fluids, thus decreasing their effectiveness.
4. Wellbore Strengthening
One of the leading causes of non-productive time in drilling is wellbore instability. This may lead to lost circulation and stuck pipe. It can create significant problems particularly when drilling through depleted formations or in deep water environment where operational drilling windows may be very small. To prevent formation fracturing while drilling, a good practice that has evolved over the past years is a preventive technique, usually called wellbore strengthening. This involves the pumping of material downhole, with the aim to have the material enter or block, either the entrance of the subsurface fractures (Figure 19a), or enter inside the fracture and block the fracture itself (Figure 19b). In either way, they are stopping any potential fracture from propagating, achieving this by isolating it from the wellbore [58,59]. Several types of nanoparticles have been tested as wellbore strengthening materials with good results so far, including field applications.
Figure 19.
A fracture is quickly sealed by wellbore strengthening material isolating it from the wellbore, either (a) at the entrance of the fracture [58] (with permission from SPE, 2015); or (b) by entering the fracture [59] (with permission from SPE, 2010).
Nwaoji et al. [60] introduced a new lost circulation material (LCM) drilling fluid blend. They aimed at testing the ability of the blend to achieve wellbore strengthening by running hydraulic fracture experiments on Roubidoux sandstone and impermeable concrete cores. Optimum concentration of standard LCM (graphite) and in-house prepared nanoparticles (Iron III hydroxide and calcium carbonate) were established. The authors concluded that the optimum blend of iron III hydroxide nanoparticle and graphite increased the fracture pressure by 1668 psi or by 70% over the unblended water based mud. These additives had moderate impact on mud rheology. They also found that the optimal blend by using calcium carbonate nanoparticles and graphite increased the fracture pressure by 586 psi or by 36% over the unblended invert emulsion (diesel oil) mud with moderate impact on mud rheology. A 25% increase in fracture pressure over the unblended mud was achieved in impermeable concrete core thus confirming the applicability of the designed fluid in shale wellbore strengthening. Finally, four field muds were studied with and without the addition of nanoparticles. It was found that the addition of nanoparticles reduced the fluid penetration into Atoka shale by 16–72% and into Gulf of Mexico shale from 17 to 27%.
Contreras et al. [61,62] applied in-house prepared different NP (NP1 and NP2) and used them at low concentrations together with graphite aiming at wellbore strengthening. They have tested the materials in shale and in sandstone cores. The results indicated that wellbore strengthening reached a maximum value of 30% when NP2 and graphite were used in shales, while the maximum fracture pressure increased by 20% upon addition of NP1 and graphite. In sandstone cores using NP2 and graphite resulted in a maximum wellbore strengthening value of 65% whereas a maximum fracture pressure increase of 39% was observed upon use of NP1 and graphite. The differences for their performances in both cases were attributed to the different capabilities in decreasing the filtration between the two NP as well as due to the viscosity of the resulting blends. The predominant wellbore strengthening mechanism was identified and attributed this to the tip resistance by the development of an immobile mass. The authors also noticed that a thin seal was created along the fracture plane with a homogeneous NP distribution, while the bulk of the shale formation was not found as being invaded by NP. These are some of the few attempts aiming at using nanoparticles as wellbore strengthening materials, with good results so far. What it remains to be done is to identify the best nanoparticles which offer effective wellbore strengthening under severe downhole conditions.
5. Cutting Lifting Capacity and Cuttings Suspension
One of the most important functions of mud in drilling operations is to transport the drilled cuttings to the surface through the well bore annulus and this called lifting or carrying capacity. There are several factors that affect the mud lifting capacity including the rheological profile and flow rate of the mud, particles settling velocities, particle size and size distribution (geometry, orientation and concentration), drill bit penetration, rotary speed, mud density, annulus inclination, drill pipe position in the well bore (eccentricity) and axially varying flow geometry [63]. Effective cuttings transport remains a major problem especially in vertical and inclined wells, where the cuttings tend to settle at the bottom side of the borehole due to gravitational force.
Samsuri and Hamzah [63] investigated the using of multiwall carbon nanotubes (MWCNTs) as an additive to increase the carrying capacity of water-based mud. They aimed to study the effect of different concentrations of MWCNTs used, cutting size and mud annular velocity on the mud lifting capacity. They found that the lifting capacity increased as the amount of MWCNTs increases. They observed that low concentrations of MWCNTs (0.001–0.003% of volume) had a minimal impact on the cuttings recovery. For example, the cutting recovery increased about 5–15% when 0.005% of volume MWCNTs was added to the water based mud, depending on the cutting size and annular velocity. For 0.01% of volume MWCNTs added, the cutting recovery increased by 5–21%. They attributed this enhancement to the fact that the MWCNTs improved the stability against base mud, since surface forces balanced the gravity force resulting in the increase of drag force acts to drill cuttings, which led to easily cutting lifting to the surface. They also concluded that the multiwall carbon nanotubes improved the viscosity which significantly increased the carrying capacity of the mud.
Many drilling fluids are thixotropic; the ability of drilling fluids to form a gelled structure over time when not subject to shearing and then to liquefy when agitated. This gelling behavior aids the suspension of cuttings while fluid motion is stopped. A drilling fluid must be able to transport the cuttings under dynamic conditions and suspend them under static conditions. Gel strength is one of the most important drilling fluid properties because it reveals the ability of the drilling mud to suspend drilling cuttings and weighting materials when circulation is ceased and is measured with a viscometer after varying lengths of static conditions (generally at 10 s and 10 min).
Although gel strength is a crucial property for optimal drilling operations, it is ultimately a compromise; it should be carefully monitored since it is directly related to the pressure is needed to break gels when fluid circulation is reestablished. Excessive gel strength can also lead to retention at the surface, which in turn can cause severe drilling problems such as ineffective solids control, fracturing of the formation, and fluid loss. Low gel strength values indicate that the fluid will not efficiently suspend the cuttings leading to the build-up of the cuttings bed within the bore path resulting in an increased possibility for stuck drill pipe.
Several researchers have examined the gel strength values of various nano-enhnaced drilling fluids in order to evaluate their capacity to suspend the cuttings. Amanullah et al. [1] tested three nano-based drilling fluids against bentonite mud and they observed that the nano-based drilling fluids exhibited a flat type gel strength profile compared to the progressive type gel strength of the micro-sized bentonite-based drilling mud (Figure 20). They concluded that the superior functional behavior of nano-based drilling fluids in terms of the development of adequate gel strength will allow homogeneous and distributed suspension of the cuttings within the fluid column without causing any accumulation of drill cuttings in critical borehole areas. This, in turn, will eliminates problems such as hole pack-off, pipe sticking, bridging and cutting beds formation in horizontal and extended reach wells. They also stated that the flat type gel strength of the nano-based fluids will also ensure the requirement of lower circulation pressure to restart the drilling operation and thus will aid the reduction of the Equivalent Circulation Density (ECD), induced loss of circulation and other drilling problems.
Figure 20.
Comparison of gel strength of bentonite-based and nano-based fluids [1] (with permission from SPE, 2011).
Contreras et al. [14] investigated the gel strength values of an oil based-mud containing 0.5 wt %, 1 wt % and 2.5 wt % calcium and iron nanoparticles at different concentrations of glide graphite as a conventional lost circulation material (0.5 wt % and 2 wt %). They noticed that the samples containing calcium NP almost doubled their gel strength values compared to the control sample at 10 s and 10 min, while the samples with iron NP showed tremendous increases in the gel strength values of 10 min with almost no change in the values obtained at 10 s. Finally, they stated that addition of graphite did not significantly impact the gel strength of the fluids containing iron NP, while it had a moderate impact in the fluids containing calcium NP.
Vryzas et al. [21] studied the gel strength profile of nano-based drilling fluid containing 0.5 wt % custom-made Fe3O4 NP against bentonite-based fluid before and after thermal aging at 177 °C (350 °F) for 16 h. Their results agree with these reported from Amanullah et al. [1] revealing the flat type gel strength profile of the nanofluids. Before aging, the base fluid showed a 10 s gel strength value of 5.74 Pa (12 lbs/100 ft2) and 10 min value of 14.84 Pa (31 lbs/100 ft2). After aging the 10 s and 10 min gel strength values were slightly decreased to be 4.79 Pa (10 lbs/100 ft2) and 11.0 Pa (23 lbs/100 ft2), respectively. The NF before aging showed values of 3.35 Pa (7 lbs/100 ft2) and 4.31 Pa (9 lbs/100 ft2) for the 10 s and 10 min gel strength, respectively, while after aging 2.87 Pa (6 lbs/100 ft2) and 3.83 Pa (8 lbs/100 ft2). The authors also stated that the gel strength values of the base fluid were significantly higher than its yield stress values, while the nanofluid showed the opposite behavior and showed decreased gel strength values compared to the yield stress. This complex behavior was attributed to the ability of NP to reduce the progressive gel structure, which is mainly caused by the bentonite particles, thus promoting stability.
Abdo and Haneef [31] studied the effectiveness of reducing the particle size distribution of clay material (ATR) and its incorporation as drilling fluid additive. They performed gel strength measurements in the fluids containing different concentrations of ATR nano (2 g, 4 g, 6 g and 8 g) and they noticed that the newly developed nanofluids displayed optimal gel strength values, which is essential for avoiding many severe drilling problems. At low concentrations of ATR nano (2 g) they showed an increase between the 10 s and 10 min gel strength values of 88%, while they observed maximum increase of the gel strength value upon addition of 8 g of ATR nano (+280%).
Ismail et al. [45] examined the gel strength values of water-based and ester-based drilling fluids upon the addition of different concentrations of multi-walled carbon nanotubes (MWCNTs) at different temperatures. The results revealed that in water-based drilling fluid, the gel strength was not much affected by different concentrations of MWCNTs. In ester-based drilling fluid, gel strength was slightly increased as MWCNTs concentration increases. They also noticed the significance of temperature at the rheological properties of the produced samples. They found that the gel strength in water-based fluid was decreased with an increase in temperature. However, the ester-based drilling fluid showed the opposite behavior with increased gel strength values as temperature increases. They concluded that optimal rheological as well as filtration properties were obtained at higher concentrations of MWCNTs (0.1 ppb = 0.0285 wt %).
6. Thermal Properties
Designing stable drilling fluid systems with high thermal conductivity and optimal cooling properties for drilling in deep oil and gas reservoirs under extreme downhole conditions (HP/HT) is a major challenge. Drilling fluids with optimal heat transfer properties are highly desirable as drilling operations cause excessive heat due to friction between drilling bit and the rock surface. Overheating of equipment can lead to severe drilling problems with direct impact in the cost and efficiency of drilling operations. Therefore, it is required to formulate drilling muds with excellent heat transfer capabilities.
The thermal properties of nanofluids that can be used in various industrial applications as well as the associated mechanisms contributing to the enhancement in thermal conductivity, including the role of Brownian motion, interfacial resistance, morphology of suspended nanoparticles and aggregating behavior, have been well reported in other studies [64,65] and will not repeated here. Here we will review efforts made by several researchers over the last years related to the investigation of the thermal properties of various newly formulated drilling fluid systems containing different nanoparticles.
William et al. [41] examined the effect of addition of CuO and ZnO nanoparticles on the thermal and electrical properties of water-based drilling fluids. The nano-enhanced drilling fluids were prepared at various NP concentrations (0.1, 0.3 and 0.5 wt %) in a xanthan gum aqueous solution (0.4 wt %) as base fluid. The authors observed that the nano-enhanced water-based mud (NWBM) showed improved thermal and electrical properties by about 35% compared to WBM. Increasing the concentration of nanoparticles enhanced the electrical and thermal properties of drilling fluids even more. The NWBM based on CuO nanofluids were found to show improved thermal properties and were more resistant to HP/HT conditions than the ZnO-based NWBM. The increase in thermal conductivity of the ZnO nanofluids was found to be from 12% to 23%, while the CuO nanofluids showed an enhancement in the thermal conductivity by 28% to 53%. The authors also stated that the increased thermal conductivity of the nano-based drilling fluids indicates the ability of the mud to cool faster as it moves up to the surface, which is really significant when dealing with HP/HT environments.
Ponmani et al. [42] developed nano-enhanced containing CuO and ZnO nanoparticles at various concentrations (0–0.5 wt %) and in various base fluids, such as xanthan gum, polyethylene glycol (PEG-600), and polyvinylpyrrolidone (PVP). The results were compared to microfluid-enhanced drilling mud in order to reveal the effect of particle size (Figure 21). The authors observed that enhanced thermal conductivity properties were achieved when nanoparticles were added compared to the micron-sized materials and that higher concentrations of nanoparticles promoted better thermal conductivity properties. The authors also noticed that the system contained PEG-600 showed low thermal conductivity compared to other materials and this was attributed to the fact that PEG-600 is highly viscous in nature, and nanoparticles may get entrapped in its microstructure network-forming aggregates.
Figure 21.
Variation of thermal conductivity of nano-enhanced water-based mud (NWBM) and microfluid-enhanced water-based mud (MWBM) for (a) CuO particles; and for (b) ZnO particles. Unfilled symbols: NWBM, filled symbols: MWBM [42] (with permission from SPE, 2016).
Sabbaghi et al. [66] synthesized TiO2 nanoparticles with the sol-gel method and incorporated them into a bentonite base fluid in order to enhance its heat transfer properties. The TiO2 NP were characterized with a particle size analyzer, X-ray diffraction, scanning electron microscopy and fourier transform infrared spectroscopy and showed an average size of 20 mn. The stabilization of the nano-enhanced drilling fluid was optimized using CTAB surfactant and by changing the pH and visually examined with sedimentation tests. These tests revealed that the titania nanofluid was stable after one month. The authors also observed that addition of NP increased the thermal conductivity by about 150% compared to the base fluid. They also indicated that at increasing concentrations of nanoparticles (0.1–0.3 wt %), the thermal conductivity was moderately increased.
Sedaghatzadeh et al. [67] investigated the impact of MWCNTs volume fraction, ball milling time, functionalization, temperature and dispersion quality (by SEM) on the thermal properties of water-based mud. The thermal conductivities of the nano-based drilling fluid were measured with a transient hot wire method. They observed that the thermal conductivity of the MWCNT-based drilling mud increased nonlinearly by increasing the volume fraction of the MWCNTs. They obtained a maximum thermal conductivity enhancement by 23.2% in the presence of 1 vol % functionalized MWCNTs at room temperature. This was attributed to the fact that the surface of MWCNTs was functionalized with hydrophilic functional groups, this causes the nanotubes to disperse more efficiently in the water-based mud. The authors also stated that increasing temperatures enhanced the thermal conductivity. Finally, they examined the thermal conductivity of all the samples as a function of time and noticed that the thermal conductivity decreased initially and then, due to the gel strength of the water-based drilling fluid, levels off. However, this reduction varied for different dispersion methods. Pure and ball milled MWCNTs showed the highest reduction in thermal conductivity due to agglomeration as explained by the authors.
Halali et al. [68] studied the role of CNTs in improving the thermal stability of polymeric fluids. They stated that the optimum formulation of sample was achieved by using CNTs, surfactant and polymers all together. They observed that with increasing the temperature, the thermal conductivity increased and that the combination of CNTs and polymethacrylic acid methyl ester (PMMA) exposed the highest thermal conductivity.
Fazelabdolabadi and Khodadadi [69] developed nano-based drilling fluids using functionalized CNTs. CNTs functionalization was performed by applying hydrophilic functional groups onto the surface of the nanotubes via acid treatment. The time evolution of thermal conductivity was examined. The thermal conductivity significantly enhanced by 23.2% (1 vol % functionalized CNT) in CNT-water-based fluid at ambient temperature, with improved even further by 31.8% at 50 °C. In the case of oil-based fluids the thermal conductivity was improved by 40.3% (unfunctionalized) and 43.1% (functionalized) and 1% volume fraction of CNT.
Ho et al. [70] investigated the incorporation of carbon NP at different concentrations (up to 1 wt %) as drilling fluid additives. They used an ultrasonic bath for the dispersion of NP into the base fluid. They concluded that the carbon NP enhanced the viscosity of the base fluid as well as its thermal conductivity. Thermal conductivity of nanofluid increased nonlinearly with increasing mass fraction of nanoparticles. They also focused on the impact of size of nanoparticles on nanofluid’s thermal conductivity. They stated that the ball milled nanoparticles had sizes of 4 μm averagely. However, the authors explained that large particles do not possess Brownian motion anymore as the particles approach micrometre size, thus leading to lower thermal conductivity enhancements. In addition, the results showed that 0.2 wt % of these particles showed higher thermal conductivity than 0.4 wt % and 0.6 wt % respectively due to increase distance between particles. Finally, higher nanoparticle volume fractions gave higher thermal conductivity improvement but induced higher settlement of nanoparticle cluster sizes in the end.
Li et al. [71] developed self-assembled silver nanoparticles with an average diameter of 5 nm and they incorporated them in kerosene-based fluids. They carried out thermal conductivity measurements at three different temperatures (25, 40 and 50 °C). They concluded that the thermal conductivity of each silver nanofluid was higher than that of its base fluid and increased nonlinearly with increasing the concentration of the nanoparticles. In addition, the enhancement of the thermal conductivity was greater at higher temperatures which was explained by the fact that an increase in temperature led to enhanced Brownian motion of the particles, which improved the rate of heat transfer. They suggested that the capping of the surfaces of the nanoparticles with oleic acid significantly impacted the thermal conductivity as the oleic acid layer capped on the silver cores tended to change so that the bare part of the surfaces was enlarged at higher temperatures.
7. Effect of Magnetic Field
Engineering a drilling fluid tailored to meet specific downhole and environmental demands with tunable rheological properties can revolutionize the drilling industry. Such fluids, containing magnetic nanoparticles, could potentially offer in-situ control of the drilling fluid viscosity and yield stress, under the application of an external magnetic field. They can thus provide a great potential for drillers to formulate drilling fluid systems with instantaneous responses to continuously changing drilling environment, leading to enhanced well control and contributing to decreased non-productive time and costs.
Lee et al. [72] investigated the performance of drilling fluids containing magnetic iron oxide (Fe2O3) nanoparticles that can offer possibility for in-situ control of viscosity under the application of a magnetic field. They tested two different drilling fluids, one based on hybrid particles where the NP are embedded in the interlayer space of bentonite particles and the other based on a simple mixture of nanoparticles and bentonite particles. The results indicated that the produced fluids have the capability to increase the viscosity by one order of magnitude upon application of 0.7 T magnetic field.
Vryzas et al. [73] examined novel drilling fluids containing magnetic custom-made (CM) iron oxide (Fe3O4) NP at two concentrations (0.5 wt % and 1 wt %) for their potential to be used for in-situ rheological control under the application of an external magnetic field. They did it under the application of different magnetic field strengths ranging between 0 and 0.7 T. They concluded that all tested fluids exhibited a typical monotonic increase of shear stress and apparent viscosity with increasing magnetic field strength. The authors attributed this behavior to the strong chain-like structures created between CM Fe3O4 NP that were formed at high magnetic flux densities. The results showed maximum yield stress values upon the application of 0.7 T with increases of up to +386% and +609% for the 0.5 wt % and 1 wt % NP, respectively (Figure 22). Finally, the authors reported that the developed magnetic nanofluids had the ability to recover their original state upon removal of the magnetic field, reflecting the disintegration of particles chains because of random movements due to Brownian forces.
Figure 22.
Yield stress at different magnetic flux densities for fluids that contain 0.5 and 1.0 wt % of CM iron oxide (Fe3O4) NP [73] (with permission from SPE, 2017).
8. Challenges of Nanofluids
Applied research in nanofluids is growing at a very fast pace and is expected to play a vital role in the near future leading to the development of well performing drilling fluids which can sustain harsh drilling conditions. This review allowed us to report the many advantages of the use of nanoparticles as drilling fluid additives for rheological and fluid loss control, for enhancing shale stability and for wellbore strengthening. There are some challenges that the researchers should address before they can be fully implemented in drilling applications.
Firstly, the stability of NP dispersions remains a technical challenge and is one of the basic requirements to apply such fluids in the field. Furthermore, the process used to disperse nanoparticles in a liquid, is a critical factor for an effective dispersion. Researchers have reported various pieces of equipment that can be used to disperse solid, dry nanoparticles such as ultrasonic baths, magnetic stirrers, high-shear mixers and homogenizers. However even after high shearing, where nanoparticles are broken to their primary size they tend to re-agglomerate due to the strong van der Waals attractive forces, which limits their advantages stemming from their high surface area. Electrostatic repulsion or steric hindrance are necessary to overcome such attractive forces and form stable dispersions [74]. This can be achieved by adding certain surfactants which are able to create steric barriers between nanoparticles. Lack of surfactant can have a negative effect on the stability of nanofluids, as can be seen in Figure 23. It can be observed that aqueous nanofluids containing Al2O3 nanoparticles (20 nm) at 0.5 wt % without any surfactant, completely separated after 5 h [74].The primary factors that affect the stability of such nanofluids are particle surface properties, size and morphology of the nanoparticles [74]. Sidik et al. [75] presented a review on the challenges of nanofluids and stated that it is impossible to achieve stable nanofluids without the addition of surfactants or without surface modification of the suspended particles. Choi et al. [76] stated that addition of surfactants should be done with extreme care as excessive quantities may adversely affect the viscosity and chemical stability of the nanofluids.
Figure 23.
Samples of α-Al2O3 nanofluids (without any stabilizer) stability change with time [74] (with permission from Elsevier, 2009).
It is well established that NP affect the rheological properties of drilling fluids at relatively low concentrations (<0.5 wt %). It is thus critical to find out the optimal nanoparticle mass fraction, which will give optimal rheological and filtration properties leading to less expensive and more efficient drilling operations. The low concentrations of NP may eliminate the use of potentially harmful chemicals, currently used in drilling fluids, thus enhancing the environmental footprint of drilling, from the use of the improved nanofluids.
Another challenge is the field scale applications of the appropriately developed nano-drilling fluids, with the use of the identified in the literature nanoparticles. This can reveal their full advantages and also identify challenges in real conditions making possible for developers to focus on specific properties and problems of such fluids. Furthermore, the cost of some nanoparticles can be an obstacle that may hinder the application of such fluids in specific operations in oil and gas industry. However, many types of nanoparticles are already commercially available at affordable prices (e.g., iron oxide, which is abundant in the nature in various forms) that can be used instead of many chemicals that are currently used by many oil and gas companies. There are numerous research groups that are currently working on scaling up the synthesis of various types of nanoparticles in order to render this process economically viable [77,78].
Preparation and measurement protocols that were followed by researchers when dealing with the formulation and testing of nano-based drilling fluids are critical challenges as well. Such information is obscure in the literature. The American Petroleum Institute (API) procedures and specifications [79,80,81] were developed in order to establish common procedures but sometimes these specifications do not deal with newer additives or newer requirements that are used or needed in different mud formulations that perform difficult tasks under varying conditions [82]. So, it is very difficult to compare results from different researchers and laboratories because mixing and preparation protocols are almost never the same [22]. Factors such as the pre-shearing time, the hydration of additives, the raw materials, the mixing time and the order of adding the different additives are crucial that can significantly affect the reported results. Caution should thus be taken when comparing results of drilling fluid samples among different, but also even within same, laboratories, because preparation and measurement procedures are vital for producing consistent results and this is another challenge facing researchers and oil companies in order to take full advantage of such superior drilling fluids [22].
9. Recommendations for Future Work
Researchers so far have mainly focused on drilling fluids containing only one nanoparticle type while few studies have been carried out using complete drilling fluid formulations. Hence, further studies should be attempted focusing on the use of different nanoparticles in combination with commonly used polymers (for e.g., CMC or PAC). Furthermore, the quantification of side effects by using nano-based drilling fluids should be fully carried out, e.g., any issues with filter cake removal.
Measurement integration and methodology development for the full assessment of formation damage by any drilling fluids should be carried out as formation damage can cause well integrity problems which may lead to enormous costs. Future studies should focus on the interfacial phenomena taking place and the modes of interaction between nanoparticles and other drilling fluid particles and especially bentonite particles aided by macroscopic measurements, so that we can better understand the causes behind the good performance of nano-enhanced drilling fluids, particularly at HP/HT applications.
In-depth characterization of the produced filter cakes using sophisticated quantitative techniques such as Nuclear Magnetic Resonance (NMR) and Magnetic Resonance Imaging (MRI), which can assess the formation damage minimization potential of any novel drilling fluids along with comparisons against conventional experimental filtration data at HP/HT conditions needs to be developed in order to formulate nano-based drilling fluids with tailor-made properties that can minimize formation damage risks leading to costless and more efficient drilling activities.
Drilling fluids containing custom-made magnetic nanoparticles, tailored to meet specific downhole and environmental demands with tunable rheological properties that could potentially offer in-situ control of the drilling fluid viscosity and yield stress can be investigated by researchers in the future. Such fluids have the unique ability to rapidly increase the viscosity and the yield stress in the presence of an external magnetic field and thus, offer the potential for drillers to formulate and use drilling fluid systems with instantaneous responses to continuously changing drilling environment, leading to enhanced well control and contributing to decreased non-productive time and costs.
Several works reported in this review use what we may call, “minimal exposure testing” of the developed nanofluids, i.e., reporting only high shear rate rheological measurements (PV and YP) and not the full rheogram, as well as only LP/LT API filtration tests. The main aim to develop and incorporate appropriate nanoparticles into drilling fluid formulations is to combat the harsh conditions of high temperatures and high pressures, hence fluid loss tests should only be carried out for HP/HT conditions. Furthermore, the full rheograms should be tested, because the extreme danger with respect to pressure loss evaluation is in the annulus region where the fluids encounter low shear rates, where PV and YP have little meaning. Furthermore, the “true” yield stress of the fluids should be determined which gives the good information regarding the cuttings carrying capacity of the drilling fluids.
10. Conclusions
This review has highlighted recent advancements on the development of drilling fluids using different nanoparticles. Challenges and directions for future research are also presented. Based on this critical review the following conclusions can be drawn:
- Nanoparticle shape, size and concentration have been identified as driving factors affecting the performance of nano-based drilling fluids.
- The major effect of the use of nanoparticles in drilling fluids is the significant enhancement of fluid loss particularly at HP/HT conditions. This can lead the drilling industry to great cost savings. Optimal concentrations reported range at lower than 1 wt %, and typically range around 0.5 wt %.
- Nanoparticles affect rheological properties of various water or oil base drilling fluids at different temperatures (up to 300 °F) and at relatively low concentrations (<0.5 wt %). The reported effects are not detrimental for the use of such nanoparticles as drilling fluid additives.
- Nano-enhanced drilling fluids exhibited flat type gel strength profile while maintaining optimal yield stress values, which reveals their great potential for better cuttings suspension properties as well as improved cuttings lifting capacity of drilling fluids.
- Promising attempts were reported to model the modification of rheological behavior of drilling fluids upon addition of nanoparticles at different temperatures, confirming their potential for modeling complex drilling fluid systems toward commercial application.
- Nanoparticles have the capability to reduce shale permeability by efficiently plugging the pores and thus their use is going to play a vital role for future shale explorations and exploitations.
- Wellbore strengthening is possible with the use of different nanoparticles because reported results proved that nanoparticle-based drilling fluids can lead to increased fracture pressures offering thus more efficient and safer drilling activities.
- Researchers attempted to quantify the enhancement of drilling fluid thermal properties with nanoparticles for utilization in the heat transfer studies of the flow of these fluids in the wellbore and found that nanoparticles can significantly improve their thermal conductivity, especially at high temperatures.
- The incorporation of magnetic nanoparticles as drilling fluid additives shows great potential for the development of smart drilling fluids with in-situ rheological controllability upon application of an external magnetic field.
- Stability and cost of nanofluids should be properly addressed in order for nanoparticles to make substantial impact on drilling fluid industry.
- Future directions should focus on the interfacial phenomena taking place and the modes of interaction between nanoparticles and other drilling fluid additives aided by macroscopic measurements, so that researchers can better understand the reasons behind such a good performance in order to optimize their effect.
- The ability to synthesize custom-made nanoparticles by changing their surface properties or by optimizing their terminal units in order to accomplish different functional tasks promises to substantially influence the landscape of drilling fluid industry by developing smarter and greener drilling fluids that can aid significantly the drilling industry.
Conflicts of Interest
The authors declare no conflict of interest.
References
- Amanullah, M.; AlArfaj, M.K.; Al-abdullatif, Z.A. Preliminary test results of nano-based drilling fluids for oil and gas field application. In Proceedings of the SPE/IADC Conference and Exhibition, Amsterdam, The Netherlands, 1–3 March 2011. [Google Scholar]
- Borisov, A.S.; Husein, M.; Hareland, G. A field application of nanoparticle-based invert emulsion drilling fluids. J. Nanopart. Res. 2015, 17, 340. [Google Scholar] [CrossRef]
- Taha, N.M.; Lee, S. Nano graphene application improving drilling fluids performance. IPTC 18539. In Proceedings of the International Petroleum Technology Conference, Doha, Qatar, 6–9 December 2015. [Google Scholar]
- Friedheim, J.; Young, S.; De Stefano, G.; Lee, J.; Guo, Q. Nanotechnology for oilfield applications—Hype or reality? In Proceedings of the SPE International Nanotechnology Conference, Noordwjik, The Netherlands, 12–14 June 2012. [Google Scholar]
- Hoelscher, K.P.; Young, S.; Friedheim, J.; De Stefano, G. Nanotechnology application in drilling fluids. In Proceedings of the 11th Offshore Mediterranean Conference and Exhibition, Ravenna, Italy, 20–22 March 2013. [Google Scholar]
- Gerogiorgis, D.I.; Clark, C.; Vryzas, Z.; Kelessidis, V.C. Development and parameter estimation for an enhanced multivariate herschel-bulkley rheological model of a nanoparticle-based smart drilling fluid. Comput. Aided Chem. Eng. 2015, 37, 2405–2410. [Google Scholar]
- Reilly, S.I.; Vryzas, Z.; Kelessidis, V.C.; Gerogiorgis, D.I. First-principles rheological modelling and parameter estimation for nanoparticle-based smart drilling fluids. Comput. Aided Chem. Eng. 2016, 38, 1039–1044. [Google Scholar]
- Gerogiorgis, D.I.; Reilly, S.I.; Vryzas, Z.; Kelessidis, V.C. Experimentally validated first-principles multivariate modelling for rheological study and design of complex drilling nanofluid systems. In Proceedings of the SPE/IADC Drilling Conference and Exhibition (SPE/IADC), The Hague, The Netherlands, 14–16 March 2017. [Google Scholar]
- Vryzas, Z.; Wubulikasimu, Y.; Gerogiorgis, D.; Kelessidis, V.C. Understanding the temperature effect on the rheology of water-bentonite suspensions. In Proceedings of the Nordic Polymer Days and Nordic Rheological Conference, Helsinki, Finland, 30 May–1 June 2016. [Google Scholar]
- Vryzas, Z.; Mahmoud, O.; Nasr-El-Din, H.A.; Kelessidis, V.C. Development and testing of novel drilling fluids using Fe2O3 and SiO2 nanoparticles for enhanced drilling operations. In Proceedings of the International Petroleum Technology Conference, Doha, Qatar, 7–9 December 2015. [Google Scholar]
- Mahmoud, O.; Nasr-El-Din, H.A.; Vryzas, Z.; Kelessidis, V.C. Nanoparticle-based drilling fluids for minimizing formation damage in HP/HT applications. In Proceedings of the International Conference and Exhibition on Formation Damage Control, Lafayette, LA, USA, 24–26 February 2016. [Google Scholar]
- Jung, Y.; Barry, M.; Lee, J.-K.; Tran, P.; Soong, Y.; Martello, D.; Chyu, M. Effect of nanoparticle-additives on the rheological properties of clay-based fluids at high temperature and high pressure. In Proceedings of the AADE National Technical Conference and Exhibition, Houston, TX, USA, 12–14 April 2011. [Google Scholar]
- Barry, M.M.; Jung, Y.; Lee, J.K.; Phuoc, T.X. Fluid filtration and rheological properties of nanoparticle additive and intercalated clay hybrid bentonite drilling fluids. J. Petrol. Sci. Eng. 2015, 127, 338–346. [Google Scholar] [CrossRef]
- Contreras, O.; Hareland, G.; Husein, M.; Nygaard, R.; Mortadha, A. Application of in-house prepared nanoparticles as filtration control additive to reduce formation damage. In Proceedings of the SPE International Symposium and Exhibition on Formation Damage Control, Lafayette, LA, USA, 26–28 February 2014. [Google Scholar]
- Mahmoud, O.; Nasr-El-Din, H.A.; Vryzas, Z.; Kelessidis, V.C. Characterization of filter cake generated by nanoparticle-based drilling fluid for HP/HT applications. In Proceedings of the International Conference on Oilfield Chemistry, Montgomery, TX, USA, 3–5 April 2016. [Google Scholar]
- Zakaria, M.F.; Husein, M.; Hareland, G. Novel nanoparticle-based drilling fluid with improved characteristics. In Proceedings of the SPE International Nanotechnology Conference, Noordwjik, The Netherlands, 12–14 June 2012. [Google Scholar]
- Vryzas, Z.; Arkoudeas, P.; Mahmoud, O.; Nasr-El-Din, H.A.; Kelessidis, V.C. Utilization of iron oxide nanoparticles in drilling fluids improves fluid loss and formation damage characteristics. In Proceedings of the First EAGE Workshop on Well Injectivity & Productivity in Carbonates (WIPIC), Doha, Qatar, 31 March–1 April 2015. [Google Scholar]
- Vryzas, Z.; Mahmoud, O.; Nasr-El-Din, H.A.; Kelessidis, V.C. Development of Novel Drilling-Fluid Nanoparticles for Enhanced Drilling Operations. J. Petrol. Technol. 2016, 68, 48–50. [Google Scholar]
- Vryzas, Z.; Arkoudeas, P.; Kelessidis, V.C. Improvement of drilling fluid flow parameters using nanoparticles for optimization of drilling process. In Proceedings of the International Conference on Safe and Sustainable Nanotechnology, Phitsanulok, Thailand, 14–17 October 2014. [Google Scholar]
- Vryzas, Z.; Mahmoud, O.; Nasr-El-Din, H.A.; Zaspalis, V.; Kelessidis, V.C. Incorporation of Fe3O4 nanoparticles as drilling fluid additives for improved drilling operations. In Proceedings of the ASME-OMAE International Conference, Busan, Korea, 19–24 June 2016. [Google Scholar]
- Vryzas, Z.; Zaspalis, V.; Nalbantian, L.; Mahmoud, O.; Nasr-El-Din, H.A.; Kelessidis, V.C. A comprehensive approach for the development of new magnetite nanoparticles giving smart drilling fluids with superior rheological and fluid loss properties for HP/HT applications. In Proceedings of the International Petroleum Technology Conference (IPTC), Bangkok, Thailand, 14–16 November 2016. [Google Scholar]
- Vryzas, Z.; Kelessidis, V.C.; Nalbantian, L.; Zaspalis, V.; Gerogiorgis, D.I.; Wubulikasimu, Y. Effect of temperature on the rheological properties of neat aqueous wyoming sodium bentonite dispersions. Appl. Clay Sci. 2017, 136, 26–36. [Google Scholar] [CrossRef]
- Mao, H.; Qiu, Z.; Shen, Z.; Huang, W.; Zhong, H.; Dai, W. Novel hydrophobic associated polymer based nano-silica composite with core-shell structure for intelligent drilling fluid under ultra-high temperature and ultra-high pressure. Prog. Nat. Sci. Mater. 2015, 25, 90–93. [Google Scholar] [CrossRef]
- Li, S.; Osisanya, S.; Haroun, M. Development of new smart drilling fluids using nano-materials for unconventional reservoirs. In Proceedings of the Abu Dhabi International Petroleum Exhibition & Conference, Abu Dhabi, UAE, 7–10 November 2016. [Google Scholar]
- Salih, A.H.; Elshehabi, T.A.; Bilgesu, H.I. Impact of nanomaterials on the rheological and filtration properties of water-based drilling fluids. In Proceedings of the SPE Eastern Regional Meeting, Canton, OH, USA, 13–15 September 2016. [Google Scholar]
- Anoop, K.; Sadr, R.; Al-Jubouri, M.; Amani, M. Rheology of mineral oil-SiO2 nanofluids at high pressure and high temperatures. Int. J. Therm. Sci. 2014, 77, 108–115. [Google Scholar] [CrossRef]
- Javeri, S.M.; Haindade, Z.W.; Jere, C.B. Mitigation loss circulation and differential sticking problems using silicon nanoparticles. In Proceedings of the SPE/IADC Middle East Drilling Technology Conference and Exhibition, Muscat, Oman, 24–26 October 2011. [Google Scholar]
- Ismail, A.R.; Aftab, A.; Ibupoto, Z.H.; Zolkifile, N. The novel approach for the enhancement of rheological properties of water-based drilling fluids by using multi-walled carbon nanotube, nanosilica and glass beads. J. Petrol. Sci. Eng. 2016, 139, 264–275. [Google Scholar] [CrossRef]
- Belayneh, M.; Aadnoy, B.S. Effect of nano-silicon dioxide (SiO2) on polymer/salt treated bentonite drilling fluid systems. In Proceedings of the ASME-OMAE International Conference, Busan, Korea, 19–24 June 2016. [Google Scholar]
- Agarwal, S.; Tran, P.; Soong, Y.; Martello, D.; Gupta, R.K. Flow Behavior of nanoparticle stabilized drilling fluids and effect of high temperature aging. In Proceedings of the AADE National Technical Conference and Exhibition, Houston, TX, USA, 12–14 April 2011. [Google Scholar]
- Abdo, J.; Haneef, M.D. Nano-enhanced drilling fluids: Pioneering approach to overcome uncompromising drilling problems. J. Energ. Resour. Technol. 2012, 134, 014501. [Google Scholar] [CrossRef]
- Abdo, J.; Haneef, M.D. Clay nanoparticles modified drilling fluids for drilling of deep hydrocarbon wells. Appl. Clay Sci. 2013, 86, 76–82. [Google Scholar] [CrossRef]
- Kosynkin, D.V.; Ceriotti, G.; Wilson, K.C.; Lomeda, J.R.; Scorsone, J.T.; Patel, A.D.; Friedheim, J.E.; Tour, J.M. Graphene oxide as a high-performance fluid-loss-control additive in water-based drilling fluids. ACS Appl. Mater. Interfaces 2012, 4, 222–227. [Google Scholar] [CrossRef] [PubMed]
- Nasser, J.; Jesil, A.; Mohiuddin, T.; Al Ruqeshi, M.; Devi, G.; Mohataram, S. Experimental investigation of drilling fluid performance as nanoparticles. World J. Nano Sci. Eng. 2013, 3, 57–61. [Google Scholar] [CrossRef]
- Manea, M. Design of drilling fluids using nano scale polymer Additives. Rev. Roum. Chim. 2012, 57, 197–202. [Google Scholar]
- Saboori, R.; Sabbaghi, S.; Mowla, D.; Soltani, A. Decreasing of water loss and mud cake thickness by CMC nanoparticles in mud drilling. Int. J. Nano Dimens. 2012, 3, 101–104. [Google Scholar]
- Fereydouni, M.; Sabbaghi, S.; Saboori, R.; Zeinali, S. Effect of polyanionic cellulose polymer nanoparticles on rheological properties of drilling mud. J. Nanosci. Nanotechnol. 2012, 8, 171–174. [Google Scholar]
- Li, M.-C.; Wu, Q.; Song, K.; De Hoop, C.F.; Lee, S.; Qing, Y.; Wu, Y. Cellulose nanocrystals and polyanionic cellulose as additives in bentonite water-based drilling fluids: Rheological modeling and filtration mechanisms. Ind. Eng. Chem. Res. 2015, 55, 133–143. [Google Scholar] [CrossRef]
- Li, M.-C.; Wu, Q.; Song, K.; Qing, Y.; Wu, Y. Cellulose nanoparticles as modifiers for rheology and fluid loss in bentonite water-based fluids. ACS Appl. Mater. Interfaces. 2015, 7, 5006–5016. [Google Scholar] [CrossRef] [PubMed]
- Sadeghalvaad, M.; Sabbaghi, S. The effect of the TiO2/polyacrylamide nanocomposite on water-based drilling fluid properties. Powder Technol. 2015, 272, 113–119. [Google Scholar] [CrossRef]
- William, J.K.; Ponmani, S.; Samuel, R.; Nagarajan, R.; Sangwai, J.S. Effect of CuO and ZnO nanofluids in xanthan gum on thermal, electrical and high pressure rheology of water-based drilling fluids. J. Petrol. Sci. Eng. 2014, 117, 15–27. [Google Scholar] [CrossRef]
- Ponmani, S.; Nagarajan, R.; Sangwai, J.S. Effect of nanofluids of CuO and ZnO in polyethylene glycol and polyvinylpyrrolidone on the thermal, electrical, and filtration-loss properties of water-based drilling fluids. SPE J. 2016, 405–415. [Google Scholar] [CrossRef]
- Aftab, A.; Ismail, A.R.; Khokhar, S.; Ibupoto, Z.H. Novel zinc oxide nanoparticles deposited acrylamide composite used for enhancing the performance of water-based drilling fluids at elevated temperature conditions. J. Petrol. Sci. Eng. 2016, 146, 1142–1157. [Google Scholar] [CrossRef]
- Ho, C.Y.; Yusup, S.; Soon, C.V.; Arpin, M.T. Rheological behavior of graphene nano-sheets in hydrogenated oil-based drilling fluid. Procedia Eng. 2016, 148, 49–56. [Google Scholar] [CrossRef]
- Ismail, A.R.; Rashid, N.M.; Jaafar, M.Z. 2014. Effect of nanomaterial on the rheology of drilling fluids. J. Appl. Sci. 2014, 14, 1192–1197. [Google Scholar]
- Parizad, A.; Shahbazi, K. Experimental investigation of the effects of SnO2 nanoparticles and KCl salt on a water base drilling fluid properties. Can. J. Chem. Eng. 2016, 94, 1924–1938. [Google Scholar] [CrossRef]
- Li, M.-C.; Wu, Q.; Song, K.; Lee, S.; Jin, C.; Ren, S.; Lei, T. Soy protein isolate as fluid loss additive in bentonite-water-based drilling fluids. ACS Appl. Mater. Interfaces. 2015, 7, 24799–24809. [Google Scholar] [CrossRef] [PubMed]
- Alizadeh, S.; Sabbaghi, S.; Soleymani, M. Synthesis of alumina/polyacrylamide nanocomposite and its influence on viscosity of drilling fluid. Int. J. Nano Dimens. 2015, 6, 271–276. [Google Scholar]
- Amarfio, E.M.; Abdulkadir, M. Effect of Al2O3 nanoparticles on the rheological properties of water based mud. Int. J. Sci. Eng. Appl. 2016, 5, 7–11. [Google Scholar]
- Afolabi, R.O.; Orodu, O.D.; Efeovbokhan, V.E.; Rotimi, O.J. Optimizing the rheological properties of silica nano-modified bentonite mud using overlaid contour plot and estimation of maximum or upper shear stress limit. Cogent Eng. 2017, 4, 1287248. [Google Scholar] [CrossRef]
- Sensoy, T.; Chenevert, M.E.; Sharma, M.M. Minimizing water invasion in shale using nanoparticles. In Proceedings of the SPE Annual Technical Conference and Exhibition, New Orleans, LA, USA, 4–7 October 2009. [Google Scholar]
- Taraghikhah, S.; Kalhor Mohammadi, M.; Tahmasbi Nowtaraki, K. Multifunctional nanoadditive in water based drilling fluid for improving shale stability. SPE 18323. In Proceedings of the International Petroleum Technology Conference, Doha, Qatar, 6–9 December 2015. [Google Scholar]
- Hoelscher, K.P.; De Stefano, G.; Riley, M.; Young, S. Application of nanotechnology in drilling fluids. In Proceedings of the SPE International Nanotechnology Conference, Noordwjik, The Netherlands, 12–14 June 2012. [Google Scholar]
- Sharma, M.M.; Chenevert, M.E.; Guo, Q.; Ji, L.; Friedheim, J.; Zhang, R. A new family of nanoparticle based drilling fluids. In Proceedings of the SPE Annual Technical Conference and Exhibition, San Antonio, TX, USA, 8–10 October 2012. [Google Scholar]
- Srivatsa, J.T.; Ziaja, M.B. An experimental investigation on use of nanoparticles as fluid loss additives in a surfactant-polymer based drilling fluid. In Proceedings of the International Technology Conference, Bangkok, Thailand, 7–9 February 2012. [Google Scholar]
- Akhtarmanesh, S.; Ameri Shahrabi, M.J.; Atashnezhad, A. Improvement of wellbore stability in shale using nanoparticles. J. Petrol. Sci. Eng. 2013, 112, 290–295. [Google Scholar] [CrossRef]
- Kang, Y.; She, J.; Zhang, H.; You, L.; Song, M. Strengthening shale wellbore with silica nanoparticles drilling fluid. Petroleum 2016, 2, 189–195. [Google Scholar] [CrossRef]
- Shahri, M.P. Quantification of wellbore strengthening mechanisms: comprehensive parametric analysis. SPE 174770. In Proceedings of the SPE Annual Technical Conference and Exhibition, Houston, TX, USA, 28–30 September 2015. [Google Scholar]
- Growcock, F. How to Stabilize and Strengthen the Wellbore during Drilling Operations. SPE Distinguished Lecturer Program. 2010. Available online: http://www.spe.org/dl/docs/2010/FredGrowcock.pdf (accessed on 6 March, 2017).
- Nwaoji, C.O.; Hareland, G.; Husein, M.; Nygaard, R.; Zakaria, M.F. Wellbore strengthening-nano-particle drilling fluid experimental design using hydraulic fracture apparatus. In Proceedings of the SPE/IADC Drilling Conference and Exhibition, Amsterdam, The Netherlands, 5–7 March 2013. [Google Scholar]
- Contreras, O.; Hareland, G.; Nygaard, R.; Alsaba, M. Experimental investigation on wellbore strengthening in shales by means of nanoparticle-based drilling fluids. SPE 170589. In Proceedings of the SPE Annual Technical Conference and Exhibition, Amsterdam, The Netherlands, 27–29 October 2014. [Google Scholar]
- Contreras, O.; Hareland, G.; Husein, M.; Nygaard, R.; Alsaba, M. Wellbore strengthening in sandstones by means of nanoparticle-based drilling fluids. SPE 170263. In Proceedings of the SPE Deepwater Drilling and Completions Conference, Galveston, TX, USA, 10–11 September 2014. [Google Scholar]
- Samsuri, A.; Hamzah, A. Water based mud lifting capacity improvement by multiwall carbon nanotubes additive. J. Petrol. Gas Eng. 2011, 2, 99–107. [Google Scholar]
- Angayarkanni, S.A.; Philip, J. Review on thermal properties of nanofluids: Recent developments. Adv. Colloid Interface Sci. 2015, 225, 146–176. [Google Scholar] [CrossRef] [PubMed]
- Yu, W.; France, D.M.; Routbort, J.L.; Choi, S.U.S. Review and comparison of nanofluid thermal conductivity and heat transfer enhancements. Heat Transf. Eng. 2011, 29, 432–460. [Google Scholar] [CrossRef]
- Sabbaghi, S.; Saboori, R.; Barahoei, M. Enhanced heat transfer of drilling fluid with titania nanofluid. Res. Rev. J. Eng. Technol. 2015, 4, 12–17. [Google Scholar]
- Sedaghatzadeh, M.; Khodadali, A.A.; Tahmasebi Birgani, M.R. An improvement in thermal and rheological properties of water-based drilling fluids using multiwall carbon nanotube. Iran. J. Oil Gas Sci. Technol. 2012, 1, 55–65. [Google Scholar]
- Halali, M.A.; Ghotbi, C.; Tahmasbi, K.; Ghazanfari, M.H. The role of carbon nanotubes in improving thermal stability of polymeric fluids: Experimental and modeling. Ind. Eng. Chem. Res. 2016, 55, 7514–7534. [Google Scholar] [CrossRef]
- Fazelabdolabadi, B.; Khodadadi, A.A.; Sedaghatzadeh, M. Thermal and rheological properties improvement of drilling fluids using functionalized carbon nanotubes. Appl. Nanosci. 2015, 5, 651–659. [Google Scholar] [CrossRef]
- Ho, C.Y.; Yusup, S.; Soon, C.V. Study on the effect of nanoparticle loadings in base fluids for improvement of drilling fluid properties. J. Adv. Chem. Eng. 2014, 4, 115. [Google Scholar] [CrossRef]
- Li, D.; Hong, B.; Fang, W.; Guo, Y.; Lin, R. Preparation of well-dispersed silver nanoparticles for oil-based nanofluids. Ind. Eng. Chem. Res. 2010, 49, 1697–1702. [Google Scholar] [CrossRef]
- Lee, J.K.; Sefzik, T.; Son, Y.H.; Phuoc, T.H.; Soong, Y.; Martello, D.; Chyu, M.K. Use of magnetic nanoparticles for smart drilling fluids. In Proceedings of the AADE National Technical Conference and Exhibition, New Orleans, LA, USA, 31 Mar–2 April 2009. [Google Scholar]
- Vryzas, Z.; Kelessidis, V.C.; Bowman, M.; Nalbantian, L.; Zaspalis, V.; Mahmoud, O.; Nasr-El-Din, H.A. Smart magnetic drilling fluid with in-situ rheological controllability using Fe3O4 nanoparticles. In Proceedings of the Middle East Oil & Gas Show and Conference, Manama, Bahrain, 6–9 March 2017. [Google Scholar]
- Wen, D.; Lin, G.; Vafaei, S.; Zhang, K. Review of nanofluids for heat transfer applications. Particuology 2009, 7, 141–150. [Google Scholar] [CrossRef]
- Sidik, N.A.C.; Mohammed, H.A.; Alawi, O.A.; Samion, S. A Review on preparation methods and chahallenges of nanofluids. Int. Commun. Heat Mass Transf. 2014, 54, 115–125. [Google Scholar] [CrossRef]
- Choi, C.; Yoo, H.S.; Oh, J.M. Preparation and heat transfer properties of nanoparticle-in-transformer oil dispersions as advanced energy-efficient coolants. Curr. Appl. Phys. 2008, 8, 710–712. [Google Scholar] [CrossRef]
- Tighe, C.J.; Cabrera, R.Q.; Gruar, R.I.; Darr, J.A. Scale up production of nanoparticles: Continuous supercritical water synthesis of Ce–Zn oxides. Ind. Eng. Chem. Res. 2013, 52, 5522–5528. [Google Scholar] [CrossRef]
- Charitidis, C.A.; Georgiou, P.; Koklioti, M.A.; Trompeta, A.F.; Markakis, V. Manufacturing nanomaterials: From research to industry. Manuf. Rev. 2014, 1, 11. [Google Scholar] [CrossRef]
- Specification for Drilling Fluid Materials; API Specifications 13A, 2010; API: Washington, DC, USA, 2010.
- Recommended Practice for Field Testing Water Based Drilling Fluids; API Specifications 13B-1, 2003; API: Washington, DC, USA, 2003.
- Recommended Practice Standard Procedure for Laboratory Testing Drilling Fluids; API Specifications 13I, 2000; API: Washington, DC, USA, 2000.
- Clark, P.E. Drilling mud rheology and the API recommended measurements. In Proceedings of the SPE Production Operations Symposium, Oklahoma City, Oklahoma, 2–4 April 1995. [Google Scholar]
© 2017 by the authors. Licensee MDPI, Basel, Switzerland. This article is an open access article distributed under the terms and conditions of the Creative Commons Attribution (CC BY) license (http://creativecommons.org/licenses/by/4.0/).






















