A Decoupled Design Parameter Analysis for Free-Piston Engine Generators
Abstract
:1. Introduction
1.1. Background
1.2. Literature Review
1.3. Aims and Methodologies
2. Design Parameters Analysis
2.1. FPEG Configuration
2.2. Fast Response Numerical Model
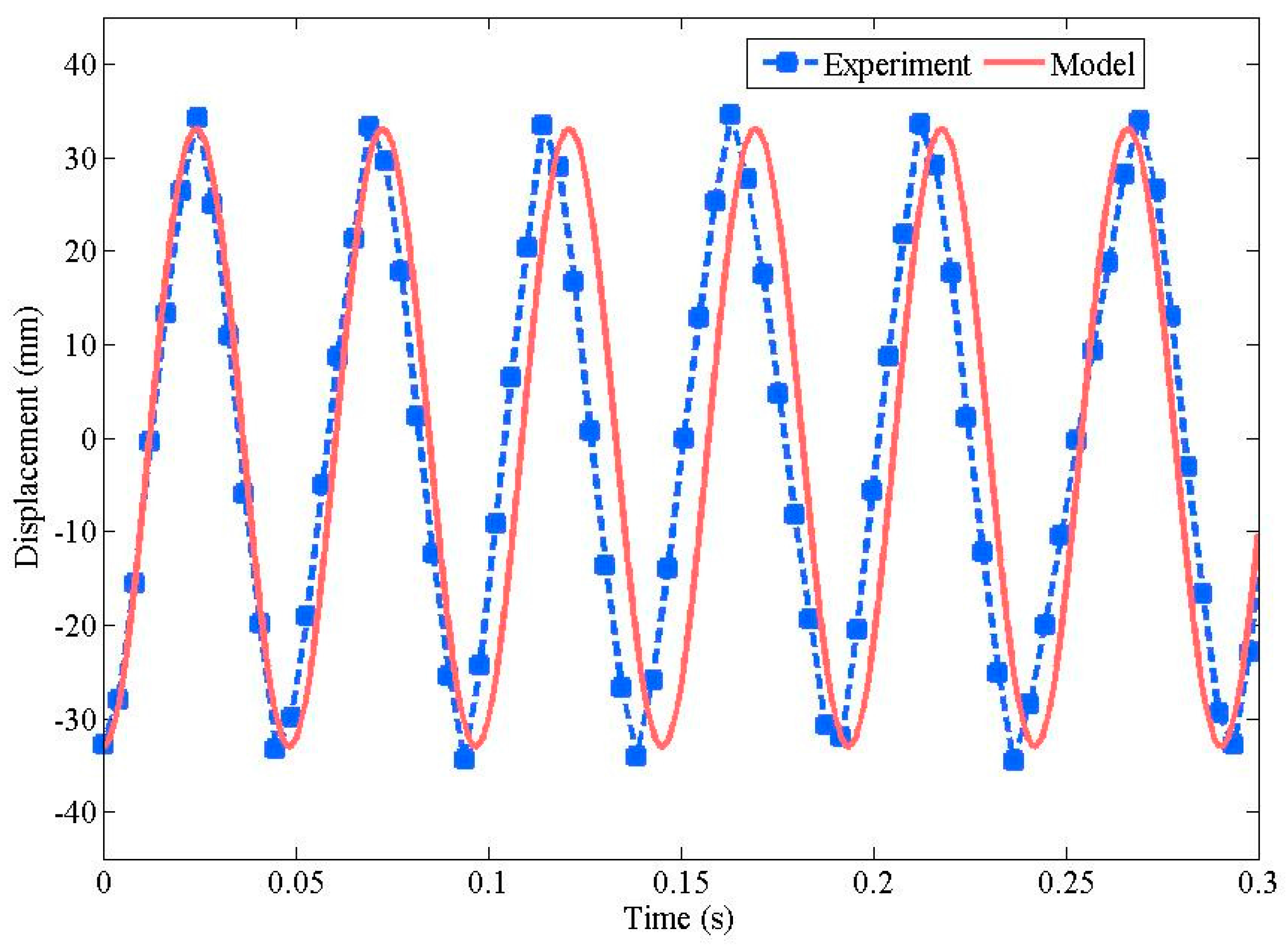
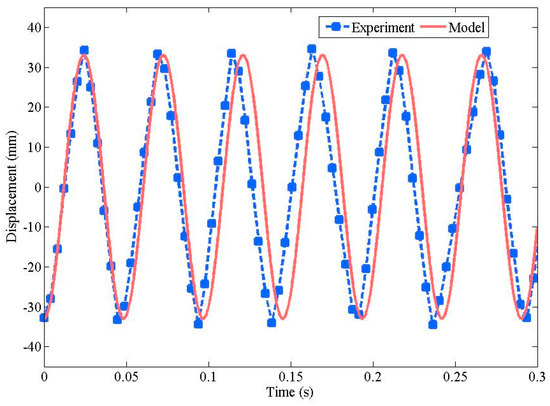
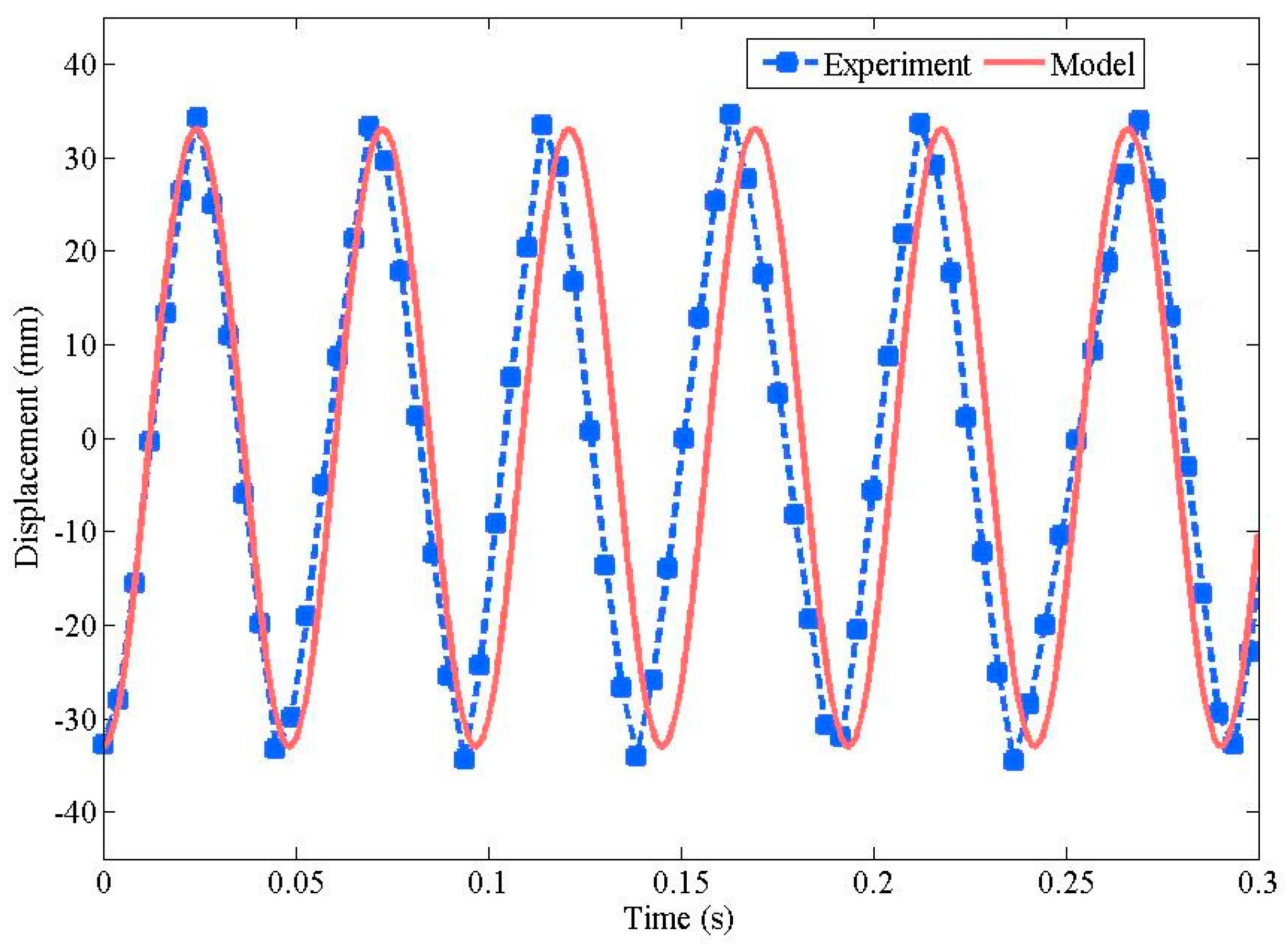
2.3. Model Validation Results
2.4. Sensitivity Analysis of Design Parameters
3. Simulation Results and Discussion
4. Conclusions
- (1)
- The influence of the piston area, moving mass, and the compression stroke length on the piston amplitude is identical;
- (2)
- The piston peak velocity is only affected by the piston area and the electric load;
- (3)
- All of the design parameters—i.e., piston area, moving mass, compression stroke, and electric load—are effective to the peak piston acceleration;
- (4)
- The electric output power is only influenced by the piston area and the electric load.
Acknowledgments
Author Contributions
Conflicts of Interest
Nomenclature
| piston area | |
| air-fuel ratio | |
| cylinder bore | |
| damping coefficient | |
| heat capacity at constant volume | |
| set compression ratio | |
| excitation force | |
| amplitude of excitation force | |
| resistant force from generator | |
| spring constant or stiffness | |
| coefficient of the load force | |
| throttle opening coefficient | |
| half stroke length | |
| moving mass | |
| fuel mass in the mixture | |
| cylinder gas pressure | |
| ambient pressure | |
| lower heating value | |
| cylinder volume | |
| cylinder volume at the middle stroke | |
| mover displacement | |
| angular natural frequency | |
| combustion efficiency |
References
- Chiang, C.J.; Yang, J.L.; Lan, S.Y.; Shei, T.W.; Chiang, W.S.; Chen, B.L. Dynamic modeling of a SI/HCCI free-piston engine generator with electric mechanical valves. Appl. Energy 2013, 102, 336–346. [Google Scholar] [CrossRef]
- Hanipah, M.R.; Mikalsen, R.; Roskilly, A.P. Recent commercial free-piston engine developments for automotive applications. Appl. Therm. Eng. 2015, 75, 493–503. [Google Scholar] [CrossRef]
- Jia, B.; Zuo, Z.; Feng, H.; Tian, G.; Roskilly, A.P. Investigation of the starting process of free-piston engine generator by mechanical resonance. Energy Procedia 2014, 61, 572–577. [Google Scholar] [CrossRef]
- Feng, H.; Song, Y.; Zuo, Z.; Shang, J.; Wang, Y.; Roskilly, A.P. Stable Operation and Electricity Generating Characteristics of a Single-Cylinder Free Piston Engine Linear Generator: Simulation and Experiments. Energies 2015, 8, 765–785. [Google Scholar] [CrossRef]
- Jia, B.; Zuo, Z.; Feng, H.; Tian, G.; Smallbone, A.; Roskilly, A.P. Effect of closed-loop controlled resonance based mechanism to start free piston engine generator: Simulation and test results. Appl. Energy 2016, 164, 532–539. [Google Scholar] [CrossRef]
- Feng, H.; Guo, C.; Yuan, C.; Guo, Y.; Zuo, Z.; Roskilly, A.P.; Jia, B. Research on combustion process of a free piston diesel linear generator. Appl. Energy 2016, 161, 395–403. [Google Scholar] [CrossRef]
- Feng, H.; Guo, C.; Jia, B.; Zuo, Z.; Guo, Y.; Roskilly, T. Research on the intermediate process of a free-piston linear generator from cold start-up to stable operation: Numerical model and experimental results. Energy Convers. Manag. 2016, 122, 153–164. [Google Scholar] [CrossRef]
- Jia, B.; Mikalsen, R.; Smallbone, A.; Zuo, Z.; Feng, H.; Roskilly, A.P. Piston motion control of a free-piston engine generator: A new approach using cascade control. Appl. Energy 2016, 179, 1166–1175. [Google Scholar] [CrossRef]
- Mikalsen, R.; Roskilly, A.P. A review of free-piston engine history and applications. Appl. Therm. Eng. 2007, 27, 2339–2352. [Google Scholar] [CrossRef]
- Max, E. Fpec, free piston energy converter. In Proceedings of the 21st Electric Vehicle Symposium & Exhibition (EVS), Monaco, April 2005. [Google Scholar]
- Jia, B.; Smallbone, A.; Mikalsen, R.; Feng, H.; Zuo, Z.; Roskilly, A.P. Disturbance analysis of a free-piston engine generator using a validated fast-response numerical model. Appl. Energy 2017, 185, 440–451. [Google Scholar] [CrossRef]
- Mikalsen, R.; Roskilly, A.P. The design and simulation of a two-stroke free-piston compression ignition engine for electrical power generation. Appl. Therm. Eng. 2008, 28, 589–600. [Google Scholar] [CrossRef]
- Jia, B.; Zuo, Z.; Tian, G.; Feng, H.; Roskilly, A.P. Development and validation of a free-piston engine generator numerical model. Energy Convers. Manag. 2015, 91, 333–341. [Google Scholar] [CrossRef]
- Jia, B.; Smallbone, A.; Zuo, Z.; Feng, H.; Roskilly, A.P. Design and simulation of a two-or four-stroke free-piston engine generator for range extender applications. Energy Convers. Manag. 2016, 111, 289–298. [Google Scholar] [CrossRef]
- Goldsborough, S.S.; Blarigan, P.V. A Numerical Study of a Free Piston IC Engine Operating on Homogeneous Charge Compression Ignition Combustion; SAE Technical Paper; SAE International: Warrendale, PA, USA, 1999. [Google Scholar]
- Li, Q.; Xiao, J.; Huang, Z. Simulation of a two-stroke free-piston engine for electrical power generation. Energy Fuels 2008, 22, 3443–3449. [Google Scholar] [CrossRef]
- Atkinson, C.M.; Petreanu, S.; Clark, N.; Atkinson, R.J.; McDaniel, T.I.; Nandkumar, S.; Famouri, P. Numerical Simulation of a Two-Stroke Linear Engine-Alternator Combination; SAE Technical Paper; SAE International: Warrendale, PA, USA, 1999. [Google Scholar]
- Shoukry, E.; Taylor, S.; Clark, N.; Famouri, P. Numerical Simulation for Parametric Study of a Two-Stroke Direct Injection Linear Engine; SAE Technical Paper; SAE International: Warrendale, PA, USA, 2002. [Google Scholar]
- Clark, N.; McDaniel, T.; Atkinson, R.; Nandkumar, S.; Atkinson, C.; Petreanu, S.; Tennant, C.; Famouri, P. Modeling and development of a linear engine. In Proceedings of the Spring Technical Conference of the ASME Internal Combustion Engine Division, Fort Lauderdale, FL, USA, 26 April 1998; pp. 26–29. [Google Scholar]
- Clark, N.; Nandkumar, S.; Famouri, P. Fundamental Analysis of a Linear Two-Cylinder Internal Combustion Engine; SAE Technical Paper; SAE International: Warrendale, PA, USA, 1998. [Google Scholar]
- Shoukry, E.F. Numerical Simulation for Parametric Study of a Two-Stroke Compression Ignition Direct Injection Linear Engine; West Virginia University: Morgantown, WV, USA, 2003. [Google Scholar]
- Nandkumar, S. Two-Stroke Linear Engine; West Virginia University: Morgantown, WV, USA, 1998. [Google Scholar]
- Mikalsen, R.; Roskilly, A.P. Performance simulation of a spark ignited free-piston engine generator. Appl. Therm. Eng. 2008, 28, 1726–1733. [Google Scholar] [CrossRef]
- Blarigan, P.V.; Paradiso, N.; Goldsborough, S. Homogeneous Charge Compression Ignition with a Free Piston: A New Approach to Ideal Otto Cycle Performance; SAE Technical Paper; SAE International: Warrendale, PA, USA, 1998. [Google Scholar]
- Goldsborough, S.S.; Blarigan, P.V. Optimizing the Scavenging System for a Two-Stroke Cycle, Free Piston Engine for High Efficiency and Low Emissions: A Computational Approach; SAE Technical Paper; SAE International: Warrendale, PA, USA, 2003. [Google Scholar]
- Goldsborough, S.S. A Numerical Investigation of a Two-Stroke Cycle, Hydrogen-Fueled, Free Piston Internal Combustion Engine; Colorado State University: Fort Collins, CO, USA, 1998. [Google Scholar]
- Mao, J.; Zuo, Z.; Feng, H. Parameters coupling designation of diesel free-piston linear alternator. Appl. Energy 2011, 88, 4577–4589. [Google Scholar] [CrossRef]
- Mao, J.; Zuo, Z.; Li, W.; Feng, H. Multi-dimensional scavenging analysis of a free-piston linear alternator based on numerical simulation. Appl. Energy 2011, 88, 1140–1152. [Google Scholar] [CrossRef]
- Lim, O.; Hung, N.B.; Oh, S.; Kim, G.; Song, H.; Iida, N. A study of operating parameters on the linear spark ignition engine. Appl. Energy 2015, 160, 746–760. [Google Scholar] [CrossRef]
- Jia, B.; Zuo, Z.; Feng, H.; Tian, G.; Roskilly, A.P. Development Approach of a Spark-Ignited Free-Piston Engine Generator; SAE Technical Paper; SAE International: Warrendale, PA, USA, 2014. [Google Scholar]
- Jia, B.; Tian, G.; Feng, H.; Zuo, Z.; Roskilly, A.P. An experimental investigation into the starting process of free-piston engine generator. Appl. Energy 2015, 157, 798–804. [Google Scholar] [CrossRef]
- Miao, Y.; Zuo, Z.; Feng, H.; Guo, C.; Song, Y.; Jia, B.; Guo, Y. Research on the combustion characteristics of a free-piston gasoline engine linear generator during the stable generating process. Energies 2016, 9, 655. [Google Scholar] [CrossRef]
- Hansson, J. Analysis and Control of a Hybrid Vehicle Powered by Free-Piston Energy Converter. Ph.D. Thesis, Royal Institute of Technology, Stockholm, Sweden, 2006. [Google Scholar]
- Jia, B.; Smallbone, A.; Feng, H.; Tian, G.; Zuo, Z.; Roskilly, A.P. A fast response free-piston engine generator numerical model for control applications. Appl. Energy 2016, 162, 321–329. [Google Scholar] [CrossRef]
- Harris, C.M.; Piersol, A.G.; Paez, T.L. Harris' Shock and Vibration Handbook; McGraw-Hill: New York, NY, USA, 2002. [Google Scholar]







| Parameters | Value |
|---|---|
| Maximum total stroke length [mm] | 70.0 |
| Compression stroke length [mm] | 35.0 |
| Ignition position from middle stroke [mm] | 30.0 |
| Bore size [mm] | 52.5 |
| Moving mass [kg] | 5.0 |
| Coefficient of the load force [N/(m∙s−1)] | 395.0 |
| Ambient temperature [] | 25.0 |
| Mass-Spring-Damper | FPEG System |
|---|---|
| Moving mass, | Mass of piston assembly and mover, |
| Damping coefficient, | Linear generator load force, |
| Spring constant, | In-cylinder pressure, |
| Excitation force, | Force from heat release/combustion, , |
| Design Target | Model Description | Design Parameter | Influence |
|---|---|---|---|
| Piston amplitude, [m] | Piston area, [m] | ||
| Moving mass, [kg] | |||
| Compression stroke, [m] | |||
| Coefficient of electric load force [N/(m∙s−1)] | |||
| Peak piston velocity, [m/s] | Piston area, [m] | ||
| Coefficient of electric load force [N/(m∙s−1)] | |||
| Peak piston acceleration, [m/s2] | Piston area, [m] | ||
| Moving mass, [kg] | |||
| Compression stroke, [m] | |||
| Coefficient of electric load force [N/(m∙s−1)] | |||
| Frequency, [Hz] | Piston area, [m] | ||
| Moving mass, [kg] | |||
| Compression stroke, [m] | |||
| Electric power output, [W] | Piston area, [m] | ||
| Coefficient of electric load force [N/(m∙s−1)] |
© 2017 by the authors. Licensee MDPI, Basel, Switzerland. This article is an open access article distributed under the terms and conditions of the Creative Commons Attribution (CC BY) license (http://creativecommons.org/licenses/by/4.0/).
Share and Cite
Jia, B.; Zuo, Z.; Smallbone, A.; Feng, H.; Roskilly, A.P. A Decoupled Design Parameter Analysis for Free-Piston Engine Generators. Energies 2017, 10, 486. https://doi.org/10.3390/en10040486
Jia B, Zuo Z, Smallbone A, Feng H, Roskilly AP. A Decoupled Design Parameter Analysis for Free-Piston Engine Generators. Energies. 2017; 10(4):486. https://doi.org/10.3390/en10040486
Chicago/Turabian StyleJia, Boru, Zhengxing Zuo, Andrew Smallbone, Huihua Feng, and Anthony Paul Roskilly. 2017. "A Decoupled Design Parameter Analysis for Free-Piston Engine Generators" Energies 10, no. 4: 486. https://doi.org/10.3390/en10040486
APA StyleJia, B., Zuo, Z., Smallbone, A., Feng, H., & Roskilly, A. P. (2017). A Decoupled Design Parameter Analysis for Free-Piston Engine Generators. Energies, 10(4), 486. https://doi.org/10.3390/en10040486

