Thermodynamic Performance Analysis of a Biogas-Fuelled Micro-Gas Turbine with a Bottoming Organic Rankine Cycle for Sewage Sludge and Food Waste Treatment Plants
Abstract
:1. Introduction
2. System Description
3. System Modelling
3.1. Brayton Cycle
3.1.1. Combustor
3.1.2. Fuel Feeder and Air Compressor
3.1.3. Micro Gas Turbine (MGT)
3.1.4. Power and Electrical Efficiency
3.2. Organic Rankine Cycle
3.2.1. Evaporator and Condenser
3.2.2. Pump and Cooling Water Pump
3.2.3. Turbine
3.2.4. Power, Thermal and Electrical Efficiencies
3.3. Solution Methodology
- (1)
- The systems are in steady state and heat losses are ignored.
- (2)
- The isentropic efficiencies of the MGT and ORC turbines are assumed to be 85% and 80%. High values are selected to analyze the potential of the system.
- (3)
- The mass flow rate and heat in the exhaust gas are expressed as those of air to represent different compositions of the exhaust gas. The ORC cooling water is assumed to be pure water for simplicity of the system modelling.
- (4)
- The components of the biogas are simply assumed to be CH4 and CO2.
4. Results and Discussion
4.1. Micro Gas Turbine (MGT)
4.2. Effect of Methane Concentration on MGT Operation
4.3. Organic Rankine Cycle (ORC)
4.4. Case Study
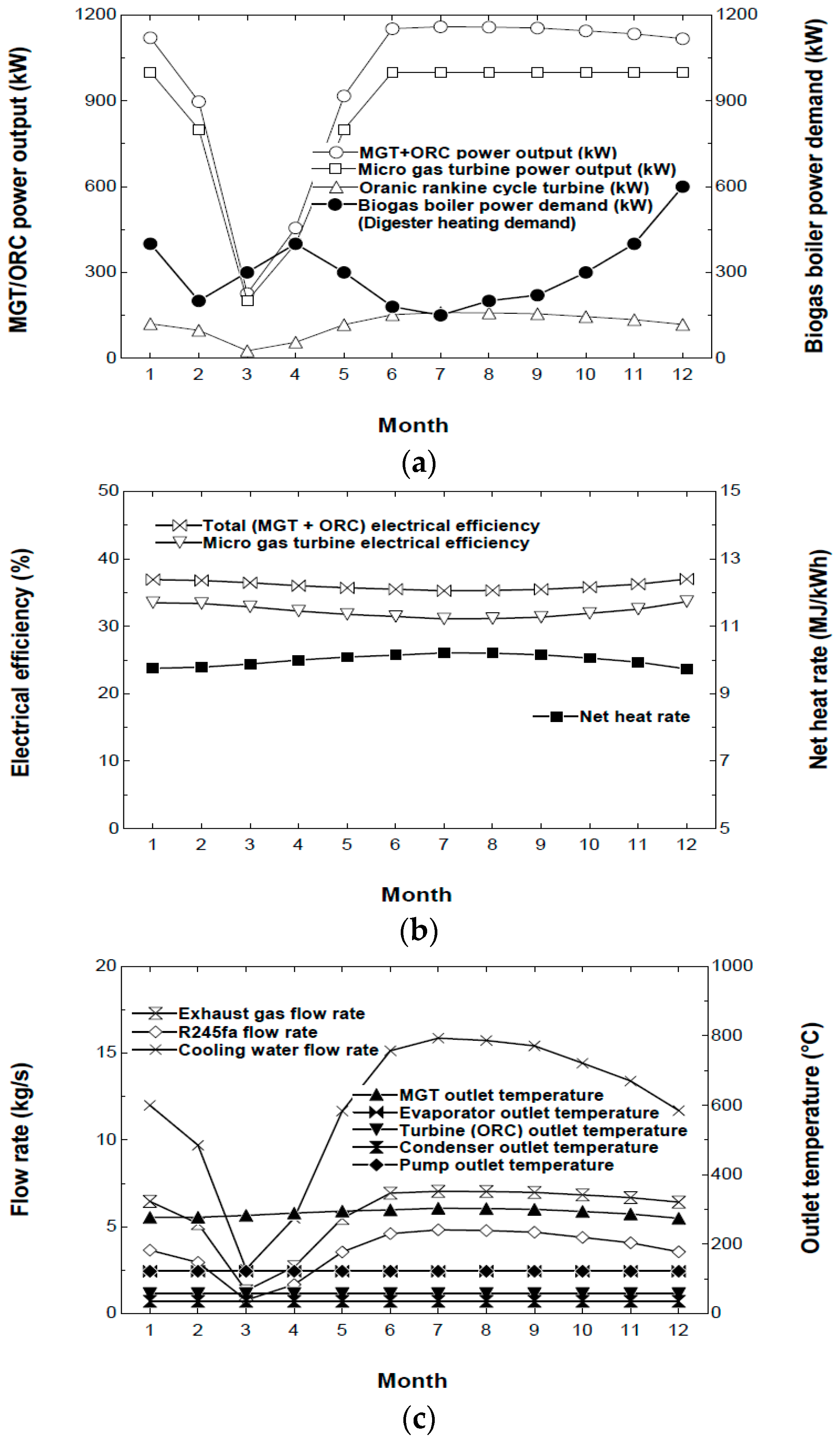
4.4.1. Case 1: MGT + Biogas Boiler
4.4.2. Case 2: MGT + ORC + Biogas Boiler
4.4.3. Case 3: MGT + ORC with Heating Digesters + Biogas Boiler
5. Conclusions
- (1)
- We analysed the performance of different sizes of MGTs and selected a 1000-kW MGT for the AD with 28,000-m3 capacity. The AD plant produced a monthly average volume of 473,364 m3 of biogas with 60% methane concentration. Different methane concentrations directly change the required biogas volume because the MGT has good fuel flexibility.
- (2)
- We analysed the performance of ORC systems with different operating conditions, and the 150-kW ORC system was selected for the MGT exhaust.
- (3)
- The CHP-ORC system provides heat for the biodigester, and the net power output was decreased to 128.9 kW due to the lower ORC turbine expansion ratio.
- (4)
- The annual operating characteristics of each system were evaluated, and the MGT with both the bottoming ORC and CHP provides the highest annual net power output. Each system produced 7.4, 8.5, and 9.0 MWh per year. However, a complete thermoeconomic analysis is required to evaluate the feasibility of the system.
Acknowledgments
Author Contributions
Conflicts of Interest
References
- Jelodar, M.T.; Rastegar, H.; Abyaneh, H.A. Modeling turbo-expander systems. Simulation 2013, 89, 234–248. [Google Scholar] [CrossRef]
- Weiland, P. Biogas production: Current state and perspectives. Appl. Microbiol. Biotechnol. 2010, 85, 849–860. [Google Scholar] [CrossRef] [PubMed]
- Kang, H. IEA Bioenergy Task 37: Korea Coutry Reports 2015; IEA Bioenergy: Paris, France, 2015. [Google Scholar]
- Kim, H.Y.; Park, S.Y.; Yoo, S.H. Public acceptability of introducing a biogas mandate in korea: A contingent valuation study. Sustainability 2016, 8, 1087. [Google Scholar] [CrossRef]
- Kim, Y.S.; Yoon, Y.M.; Kim, C.H.; Giersdorf, J. Status of biogas technologies and policies in south korea. Renew. Sustain. Energy Rev. 2012, 16, 3430–3438. [Google Scholar] [CrossRef]
- Poschl, M.; Ward, S.; Owende, P. Evaluation of energy efficiency of various biogas production and utilization pathways. Appl. Energy 2010, 87, 3305–3321. [Google Scholar] [CrossRef]
- Staniforth, J.; Ormerod, R.M. Implications for using biogas as a fuel source for solid oxide fuel cells: Internal dry reforming in a small tubular solid oxide fuel cell. Catal. Lett. 2002, 81, 19–23. [Google Scholar] [CrossRef]
- Porpatham, E.; Ramesh, A.; Nagalingam, B. Investigation on the effect of concentration of methane in biogas when used as a fuel for a spark ignition engine. Fuel 2008, 87, 1651–1659. [Google Scholar] [CrossRef]
- Somehsaraei, H.N.; Majoumerd, M.M.; Breuhaus, P.; Assadi, M. Performance analysis of a biogas-fueled micro gas turbine using a validated thermodynamic model. Appl. Therm. Eng. 2014, 66, 181–190. [Google Scholar] [CrossRef]
- Pilavachi, P.A. Mini- and micro-gas turbines for combined heat and power. Appl. Therm. Eng. 2002, 22, 2003–2014. [Google Scholar] [CrossRef]
- Chandra, R.; Vijay, V.K.; Subbarao, P.M.V.; Khura, T.K. Performance evaluation of a constant speed ic engine on cng, methane enriched biogas and biogas. Appl. Energy 2011, 88, 3969–3977. [Google Scholar] [CrossRef]
- Huang, H.Y.; Li, J.; He, Z.H.; Zeng, T.; Kobayashi, N.; Kubota, M. Performance analysis of a mcfc/mgt hybrid power system bi-fueled by city gas and biogas. Energies 2015, 8, 5661–5677. [Google Scholar] [CrossRef]
- Kang, J.Y.; Kang, D.W.; Kim, T.S.; Hur, K.B. Comparative economic analysis of gas turbine-based power generation and combined heat and power systems using biogas fuel. Energy 2014, 67, 309–318. [Google Scholar] [CrossRef]
- Kang, J.Y.; Kang, D.W.; Kim, T.S.; Hur, K.B. Economic evaluation of biogas and natural gas co-firing in gas turbine combined heat and power systems. Appl. Therm. Eng. 2014, 70, 723–731. [Google Scholar] [CrossRef]
- Lantz, M. The economic performance of combined heat and power from biogas produced from manure in sweden—A comparison of different chp technologies. Appl. Energy 2012, 98, 502–511. [Google Scholar] [CrossRef]
- Bin Basrawi, M.F.; Yamada, T.; Nakanishi, K.; Katsumata, H. Analysis of the performances of biogas-fuelled micro gas turbine cogeneration systems (mgt-cgss) in middle- and small-scale sewage treatment plants: Comparison of performances and optimization of mgts with various electrical power outputs. Energy 2012, 38, 291–304. [Google Scholar] [CrossRef]
- Baral, S.; Kim, D.; Yun, E.; Kim, K.C. Energy, exergy and performance analysis of small-scale organic rankine cycle systems for electrical power generation applicable in rural areas of developing countries. Energies 2015, 8, 684–713. [Google Scholar] [CrossRef]
- Baral, S.; Kim, K.C. Thermodynamic modelling of the solar organic rankine cycle with selected organic working fluids for cogeneration. Distrib. Gener. Altern. Energy J. 2014, 29, 7–34. [Google Scholar] [CrossRef]
- Baral, S.; Kim, D.; Yun, E.; Kim, K.C. Experimental and thermoeconomic analysis of small-scale solar organic rankine cycle (sorc) system. Entropy 2015, 17, 2039–2061. [Google Scholar] [CrossRef]
- Sung, T.; Yun, E.; Kim, H.D.; Choi, J.H.; Chae, J.M.; Cho, Y.A.; Kim, K.C. Thermodynamic analysis on organic rankine cycle using exhaust heat of gas engine. J. Korean Inst. Gas 2015, 19, 66–73. [Google Scholar] [CrossRef]
- Sung, T.; Yun, E.; Choi, J.H.; Chae, J.M.; Cho, Y.A.; Kim, K.C. Design and thermodynamic analysis of hybrid tri-generation gas engine-organic rankine cycle. Trans. Korean Hydrog. New Energy Soc. 2015, 26, 79–87. [Google Scholar] [CrossRef]
- Sung, T.; Yoon, S.Y.; Kim, K.C. A mathematical model of hourly solar radiation in varying weather conditions for a dynamic simulation of the solar organic rankine cycle. Energies 2015, 8, 7058–7069. [Google Scholar] [CrossRef]
- Yun, E.; Park, H.; Yoon, S.Y.; Kim, K.C. Dual parallel organic rankine cycle (orc) system for high efficiency waste heat recovery in marine application. J. Mech. Sci. Technol. 2015, 29, 2509–2515. [Google Scholar] [CrossRef]
- Yun, E.; Kim, D.; Yoon, S.Y.; Kim, K.C. Experimental investigation of an organic rankine cycle with multiple expanders used in parallel. Appl. Energy 2015, 145, 246–254. [Google Scholar] [CrossRef]
- Schuster, A.; Karellas, S.; Kakaras, E.; Spliethoff, H. Energetic and economic investigation of organic rankine cycle applications. Appl. Therm. Eng. 2009, 29, 1809–1817. [Google Scholar] [CrossRef]
- Lee, J.H.; Kim, T.S. Analysis of design and part load performance of micro gas turbine/organic rankine cycle combined systems. J. Mech. Sci. Technol. 2006, 20, 1502–1513. [Google Scholar] [CrossRef]
- Ebrahimi, M.; Ahookhosh, K. Integrated energy-exergy optimization of a novel micro-cchp cycle based on mgt-orc and steam ejector refrigerator. Appl. Therm. Eng. 2016, 102, 1206–1218. [Google Scholar] [CrossRef]
- Yagli, H.; Koc, Y.; Koc, A.; Gorgulu, A.; Tandiroglu, A. Parametric optimization and exergetic analysis comparison of subcritical and supercritical organic rankine cycle (orc) for biogas fuelled combined heat and power (chp) engine exhaust gas waste heat. Energy 2016, 111, 923–932. [Google Scholar] [CrossRef]
- Lee, K.J.; Oh, J.S.; Kim, S.H.; Oh, S.G.; Lim, T.W.; Kim, J.S.; Lee, J.H.; Park, S.K.; Kim, M.E.; Kim, M.H. Performance analysis of hybrid sofc/gt/st system for marine power applications. J. Korean Soc. Mar. Eng. 2012, 36, 40–50. [Google Scholar] [CrossRef]
- Busan Environmental Corporation. Available online: http://www.bego.go.kr (accessed on 6 January 2017).
- Korea Institute of Machinery & Materials R & D. Available online: http://www.kimm.go.kr (accessed on 6 January 2017).
- Biogas Installation & Operation Manual. Available online: http://m.nier.go.kr (accessed on 6 January 2017).














| Products | Power Output (kW) | Efficiency (%) | Net Heat LHV (MJ/Kw) | Exh. Temp. (°C) | Exh. Gas (kg/s) |
|---|---|---|---|---|---|
| C200 | 200 | 33 | 10.9 | 280 | 1.3 |
| C600S | 600 | 33 | 10.9 | 280 | 4.0 |
| C800S | 800 | 33 | 10.9 | 280 | 5.3 |
| C1000S | 1000 | 33 | 10.9 | 280 | 6.7 |
| Parameters | Unit | Value |
|---|---|---|
| Air compressor efficiency | % | 78 |
| Gas turbine inlet temperature | °C | 950 |
| Gas turbine pressure ratio | 4.5 | |
| Gas turbine efficiency | % | 85 |
| Fuel feeder efficiency | % | 60 |
| Recuperator efficiency | % | 88 |
| Recuperator pressure drop (air side) | % | 1 |
| Combustor pressure drop | % | 2 |
| Recuperator pressure drop (gas side) | % | 1 |
| Gas turbine pressure drop | % | 96 |
| Ambient temperature | °C | 20 |
| Ambient pressure | kPa | 101 |
| Parameters | Unit | Value |
|---|---|---|
| Sewage sludge | tons/day | 100 |
| Thickener | m3 | 672 × 6 |
| Anaerobic digester | m3 | 7000 × 6 |
| Dehydrator | m3/h | 40 × 3 |
| Gas tank | m3 | 6000 × 1 |
| Desulfurizer | m3/h | 800 × 2 |
| Boiler | tons/h | 2.5 × 4 |
| Food waste | tons/day | 120 |
| Hopper | m3 | 70 |
| Crusher | m3/h | 7.5 |
| Settling tank | m3 | 6 |
| Grinder | m3/h | 9 |
| Storage basin | m3 | 100 |
| Transfer pump | m3/h | 30 |
| Population coverage | People | 1,094,000 |
| Biogas production | m3/month | 105,954–718,748 |
| Components | Unit | Value |
|---|---|---|
| Methane (CH4) | % | 55–75 |
| Carbon dioxide (CO2) | % | 25–45 |
| Hydrogen sulphide (H2S) | ppm | <50 |
| Nitrogen (N2) | % | <1 |
| Hydrogen (H2) | % | <1 |
| Oxygen (O2) | % | <1 |
| Parameters | Unit | Value |
|---|---|---|
| Working fluid | R245fa | |
| Evaporation pressure | kPa | 2090 |
| Condensation pressure | kPa | 220 |
| Working fluid mass flow rate | kg/s | 7.2 |
| Degree of superheating | °C | 5 |
| Parameters | Unit | Value |
|---|---|---|
| Power output | kW | 150 |
| Evaporator outlet temperature (gas side) | °C | 150 |
| Turbine inlet pressure | kPa | 2000 |
| Condenser outlet temperature | °C | 50 |
| Cooling water temperature | °C | 30 |
| Turbine isentropic efficiency | % | 80 |
| R245fa pump isentropic efficiency | % | 85 |
| Cooling water pump isentropic efficiency | % | 85 |
| Evaporator pressure drop | % | <1 |
| Season | Spring | Summer | Fall | Winter |
|---|---|---|---|---|
| Temperature (°C) | 15 | 25 | 15 | 4 |
| Turbine Inlet Pressure (bar) | Turbine Power Output (kW) | Thermal Efficiency | Working Fluid Flow Rate (kg/s) | Cooling Water Mass Flow (kg/s) | Electrical Efficiency |
| 5 | 30.5 | 2.3 | 5.4 | 11.6 | 33.0 |
| 10 | 78.3 | 5.9 | 4.9 | 11.0 | 34.3 |
| 15 | 102.5 | 7.7 | 4.7 | 10.8 | 35.0 |
| 20 | 118.0 | 8.8 | 4.6 | 10.6 | 35.4 |
| 25 | 128.9 | 9.5 | 4.5 | 10.5 | 35.6 |
| Condenser Outlet Temp. (°C) | Turbine Power Output (kW) | Thermal Efficiency | Working Fluid Mass Flow (kg/s) | Cooling Water Mass Flow (kg/s) | Electrical Efficiency |
| 50 | 118.0 | 8.8 | 4.6 | 10.6 | 35.4 |
| 60 | 103.7 | 7.6 | 4.9 | 8.0 | 34.9 |
| 70 | 89.4 | 6.5 | 5.2 | 5.4 | 34.5 |
| 80 | 74.3 | 5.3 | 5.7 | 4.4 | 34.1 |
| 90 | 59.2 | 4.1 | 6.2 | 3.7 | 33.7 |
| Cooling Water Temp. (°C) | Turbine Power Output (kW) | Thermal Efficiency | Working Fluid Mass Flow (kg/s) | Cooling Water Mass Flow (kg/s) | Electrical Efficiency |
| 25 | 118.0 | 8.8 | 4.6 | 8.5 | 35.4 |
| 30 | 118.0 | 8.8 | 4.6 | 10.6 | 35.4 |
| 35 | 118.0 | 8.8 | 4.6 | 14.1 | 35.3 |
| 40 | 118.0 | 8.8 | 4.6 | 21.2 | 35.2 |
| 45 | 118.0 | 8.8 | 4.6 | 42.5 | 35.0 |
| 2014. Month | Biogas Production (Nm3/Day) | Biogas Boiler (Nm3/Day) | Air/Biogas Temperature (°C) |
|---|---|---|---|
| 1 | 19,230 | 5539 | 5.0 |
| 2 | 13,909 | 2604 | 5.8 |
| 3 | 5290 | 3868 | 9.8 |
| 4 | 10,199 | 4902 | 14.6 |
| 5 | 14,861 | 4087 | 18.7 |
| 6 | 14,505 | 2269 | 21.4 |
| 7 | 15,763 | 1996 | 24.8 |
| 8 | 17,487 | 2433 | 24.2 |
| 9 | 15,647 | 2797 | 22.7 |
| 10 | 19,542 | 3872 | 17.9 |
| 11 | 19,435 | 5206 | 12.7 |
| 12 | 20,645 | 7516 | 3.5 |
| Parameters | Units | 1st Digester | 2nd Digester |
|---|---|---|---|
| Volume | m3 | 7000 × 2 | 7000 × 2 |
| Area | m2 | Φ 22.8 × 29.5 | Φ 22.8 × 29.5 |
| Wall area | Wm2-K | 1.53 | 1.53 |
| Roof area | Wm2-K | 3.31 | 3.31 |
| Base area | Wm2-K | 0.63 | 0.63 |
| Sludge specific heat | kJ/kg-K | 1.0 | 1.0 |
| 2014. Month | Air/Soil/Sludge Temperature (°C) | Digester Thermal Power Demand (kW) | Biogas Boiler (kW) | ORC Condenser (kW) |
|---|---|---|---|---|
| 1 | 5.0 | 400 | 200 | 200 |
| 2 | 5.8 | 200 | 0 | 200 |
| 3 | 9.8 | 300 | 100 | 200 |
| 4 | 14.6 | 400 | 200 | 200 |
| 5 | 18.7 | 300 | 100 | 200 |
| 6 | 21.4 | 180 | 0 | 200 |
| 7 | 24.8 | 150 | 0 | 200 |
| 8 | 24.2 | 200 | 0 | 200 |
| 9 | 22.7 | 220 | 0 | 200 |
| 10 | 17.9 | 300 | 100 | 200 |
| 11 | 12.7 | 400 | 200 | 200 |
| 12 | 3.5 | 600 | 400 | 200 |
© 2017 by the authors. Licensee MDPI, Basel, Switzerland. This article is an open access article distributed under the terms and conditions of the Creative Commons Attribution (CC BY) license ( http://creativecommons.org/licenses/by/4.0/).
Share and Cite
Kim, S.; Sung, T.; Kim, K.C. Thermodynamic Performance Analysis of a Biogas-Fuelled Micro-Gas Turbine with a Bottoming Organic Rankine Cycle for Sewage Sludge and Food Waste Treatment Plants. Energies 2017, 10, 275. https://doi.org/10.3390/en10030275
Kim S, Sung T, Kim KC. Thermodynamic Performance Analysis of a Biogas-Fuelled Micro-Gas Turbine with a Bottoming Organic Rankine Cycle for Sewage Sludge and Food Waste Treatment Plants. Energies. 2017; 10(3):275. https://doi.org/10.3390/en10030275
Chicago/Turabian StyleKim, Sunhee, Taehong Sung, and Kyung Chun Kim. 2017. "Thermodynamic Performance Analysis of a Biogas-Fuelled Micro-Gas Turbine with a Bottoming Organic Rankine Cycle for Sewage Sludge and Food Waste Treatment Plants" Energies 10, no. 3: 275. https://doi.org/10.3390/en10030275
APA StyleKim, S., Sung, T., & Kim, K. C. (2017). Thermodynamic Performance Analysis of a Biogas-Fuelled Micro-Gas Turbine with a Bottoming Organic Rankine Cycle for Sewage Sludge and Food Waste Treatment Plants. Energies, 10(3), 275. https://doi.org/10.3390/en10030275

