Next Article in Journal
Effect on Torque and Thrust of the Pointed Tip Shape of a Wind Turbine Blade
Next Article in Special Issue
Modeling and Maximum Power Point Tracking Control of Wind Generating Units Equipped with Permanent Magnet Synchronous Generators in Presence of Losses
Previous Article in Journal
A Mixed Logical Dynamical-Model Predictive Control (MLD-MPC) Energy Management Control Strategy for Plug-in Hybrid Electric Vehicles (PHEVs)
Previous Article in Special Issue
Power Control of Low Frequency AC Transmission Systems Using Cycloconverters with Virtual Synchronous Generator Control
 
 
Font Type:
Arial Georgia Verdana
Font Size:
Aa Aa Aa
Line Spacing:
Column Width:
Background:
Article

Tie-Line Bias Control Applicability to Load Frequency Control for Multi-Area Interconnected Power Systems of Complex Topology

1
Key Laboratory of Measurement and Control of Complex Systems of Engineering, Ministry of Education, School of Automation, Southeast University, Nanjing 210096, China
2
State Key Laboratory of Smart Grid Protection and Control, NARI Group Corporation, State Grid Electric Power Research Institute, Nanjing 211106, China
*
Author to whom correspondence should be addressed.
Energies 2017, 10(1), 78; https://doi.org/10.3390/en10010078
Submission received: 14 October 2016 / Revised: 28 December 2016 / Accepted: 28 December 2016 / Published: 11 January 2017

Abstract

:
The tie-line bias control (TBC) method has been widely used in the load frequency control (LFC) of multi-area interconnected systems. However, it should be questioned whether the conventional TBC can still apply to LFC when considering the complication of structures of power systems. LFC, in essence, is to stabilize system frequency/tie-line power by controlling controlled outputs’ area control error (ACE). In this paper, relations between LFC control variables and controlled outputs are expressed as a system of equations, based on which an exemplary ring network is studied. Sufficient and necessary conditions for TBC applicability is presented, and a novel LFC mode is proposed for a general ring network where TBC cannot work. Finally, TBC applicability to multi-area systems with general topology is studied, and a general LFC mode is proposed for systems where TBC is not definitely applicable, thus rendering routines that may guide LFC design of future power systems with more complex topologies.

1. Introduction

Interconnection of electrical power systems has been the main trend in modern power grid construction [1,2,3]. By interconnection, distributed power systems can assist each other in case of emergencies due to their varied load requirement and capacity outage [4]. Interconnection also offers advantages such as overall cost reduction of reserve provision, frequency maintenance and voltage collapse avoidance, etc., thus enhancing system stability and security [5]. Modern power grids are becoming more and more complex in respect to their constitutions/configurations and interconnection manners [6]. Quantitatively, interconnected multi-area systems have evolved from systems of few interconnected areas to power systems with a large number of areas. Topologically, the interconnection manners are becoming more diversified, and ring topology is among the emerging structures. For example, Chinese power systems are in the process of transforming from simple structures to more complex ones like the Three-China Grid (a three-area ring synchronous network connecting the North China, Central China and East China Grid into an annular structure). A multi-area ring network is also under construction in the East China Grid [7,8].
Hierarchical control was introduced into power system control when Schweppe analyzed basic aspects of hierarchical systems and related them to real-time electric power control problems [9]. The hierarchical structure leads to controller localization, which means controllers are distributed among corresponding control areas divided based on the hierarchy. As an important means of power system stability regulation, active power control (real power or frequency control) aims at balancing power generation and consumption [10,11]. On an area-control level, active power control mainly focuses on two indexes: (1) system frequency and (2) tie-line interchange power. By regulating frequency and tie-line interchange power around their nominal values, power balance and system stability can thus be achieved. Active power control on an area-control level is usually termed load frequency control (LFC) [12], and area control error (ACE), a linear weighted sum of frequency and tie-line interchange power, is used as the area control goal (controlled output), which is conventionally achieved by tie-line bias control (TBC).
Thus far, TBC-based LFC schemes have been studied for two-area systems [13,14,15], three-area systems [16,17] and multi-area systems [18,19,20]. However, to the best of the authors’ knowledge, no research has ever been made specifically on how the topology influences the LFC performance or whether the existing TBC mode can still satisfy the LFC requirement of modern power systems of more complex topologies. As mentioned in the first paragraph, the ring network has emerged as a new mode of transmission, and it is inevitable to face LFC problems of a ring network. TBC-based LFC schemes have briefly addressed ring networks in the simulation studies and seemingly achieve the asymptotical stability of tie-line interchange power [21]. Nevertheless, in this paper, we prove that TBC cannot regulate tie-line interchange power of ring networks back to nominal values except for some specially constructed systems.
One of the most essential problems of LFC is neglected in conventional TBC-based control schemes—namely, whether or not TBC applies for modern power systems of new topologies. By analysis, it is learned that TBC cannot be applicable for multi-area systems of specific network topologies, of which ring is the most typical. Especially when considering the tie-line interchange power stability in control goals, TBC fails to guarantee that. The reason that TBC fails in these circumstances is that the number of control inputs is less than that of control variables. That is to say, frequency and tie-line interchange power deviation variables outnumber the controllers corresponding to ACE of respective areas. In this paper, a hybrid control mode is proposed for LFC of ring networks. The composite control mode is designed by adding an additional controller to existing ones and modifying TBC mode of some areas with pure interchange power control. Thus, both system frequency and tie-line interchange power deviations can return to nominal values. Furthermore, multi-area systems of more general topologies are studied and LFC schemes are presented for them, thus offering routines that may guide LFC design of future power grids of different topologies.
The remaining part of this paper is organized as follows. In Section 2, TBC-based LFC schemes are briefly discussed and applicability of TBC is analyzed. In Section 3, two typical types of multi-area systems are studied: (1) cascade and (2) ring. For a general ring network, the sufficient and necessary conditions of TBC applicability for LFC is given, and, for those rings, when this condition is unsatisfied, a hybrid LFC scheme is presented. LFC of multi-area systems with general topologies are discussed in Section 4, and corresponding control schemes are presented. In Section 5, simulations are implemented for a three-area ring network with the aid of the proposed hybrid scheme. Concluding remarks are given in Section 6.

2. Tie-Line Bias Control-Based Load Frequency Control Scheme and Applicability to Multi-Area Interconnected Systems

In this section, TBC applicability to multi-area interconnected systems is analyzed. A TBC based LFC scheme is the most common method in dealing with system frequency and tie-line interchange power stability of multi-area interconnected systems caused by power imbalance of control areas. ACE is used as the control goal. By controlling ACE to specific ranges based on the control standards, system frequency and tie-line interchange power can go back around nominal values.
ACE under TBC is written by:
A C E i = 10 B i f a i - f 0 + P a i - P 0 ,
where B i is the bias coefficient; and f 0 ( f a i ) and P 0 ( P a i ) are the nominal (actual) values of system frequency and interchange power.
Remark 1.
Throughout this paper, all tie-lines between each pair of interconnected area ( i , j ) are equivalent to one lumpy tie-line.
Remark 2.
Based on the restrictions of A C E , the control standard can be categorized into A 1 / A 2 , and C P S (Control Performance Standard) standard, etc., In this paper, all analyses are based on a simple A 1 / A 2 standard ( A C E = 0 ).
Remark 3.
In stable operating conditions, all area frequencies Δ f i are equal to COI (Center of Inertia: the weighted average of frequencies considering inertia of generators [22]) frequency of the whole system Δ f o .
From the expressions of ACE in TBC in Equation (1), TBC can apparently satisfy the LFC requirements of both regulating frequency and total interchange power. However, by analysis, it will be proved that TBC is only suitable for interchange power per tie-line control under certain circumstances.
It can be found that the area’s total interchange power deviation Δ P t i e ( i ) is exactly the interchange power deviation per tie-line Δ P t i e ( i _ j ) for two-area systems (since there exists only one lumpy line for a two-area system). However, under those circumstances where certain areas are interconnected by more than one area, Δ P t i e ( i ) control is not equal to Δ P t i e ( i _ j ) control, which could lead to undesired tie-line interchange power deviation though total interchange power is restored.
Assume there is an m-area system connected by n tie-lines. The control equation can be written as follows:
A x = y ,
where x is an ( n + 1 ) × 1 control variable vector containing COI frequency Δ f o and n tie-line interchange power deviations Δ P t i e ( i _ j ) ; y is an m × 1 control goal vector (a vector composed of 0 with appropriate dimensions) which is composed of A C E i of Area i; A is the corresponding m × ( n + 1 ) coefficient matrix that is determined by the interconnection manner/topology of the system.
Based on linear algebra, if A satisfies n + 1 = m , there exists a unique zero solution if and only if r a n k ( A ) = m .
If n + 1 > m , the solutions of Equation (2) only have the following two situations:
(a)
Each control equation of the control area is independent r a n k ( A ) = m , and then Equation (2) is insoluble, which means there exists no frequency or interchange power deviation solution under TBC in this condition.
(b)
Each control equation of the control area is non-independent r a n k ( A ) < m , and then Equation (2) has infinitely many solutions, which means there exists more than one frequency or interchange power deviation value under TBC in this condition.
Remark 4.
It is assumed that there exists no isolated power system, namely, for each area, there is at least one tie-line which connects it with other areas. Therefore, the circumstance where n + 1 < m does not exist.
From the analysis above, it is known that for a general multi-area interconnected system, frequency and tie-line interchange power stability, namely, a unique null solution of Equation 2) cannot be guaranteed under TBC. The reason that TBC is applicable to a two-area system is due to the fact that the number of control variables is equal to that of control inputs (both are three) and r a n k ( A ) = 3 . However, this special condition cannot apply for general systems. In Section 3, multi-variable systems of typical topologies will be given as examples to further illustrate applicability of TBC. Correspondingly, the hybrid LFC scheme is presented to solve the LFC problem insoluble by TBC.

3. Load Frequency Control of Multi-Area Interconnected Systems of Typical Topology

As it is known from TBC applicability analysis in Section 2, the interconnection manner/topology of multi-area systems plays an important role in determining the LFC control mode. With the development of ultra high voltage transmission techniques, the Three-China (“North China-Central China-East China”) synchronous grid is under design for large-scale and high efficiencies of power transmission [8]. The diagram of the Three-China Grid is as shown in Figure 1.
In this section, LFC of multi-area systems with the most prevalent cascade interconnection manner is first addressed considering the emergence of ring networks (e.g., Three-China grid shown in Figure 1) in area interconnection, and then LFC of multi-area systems of ring interconnection is studied.

3.1. Load Frequency Control for Cascade Network under Tie-Line Bias Control

A cascade network is formed by all areas interconnected in series, and the schematic diagram of an m-area cascade network is shown in Figure 2.
Under TBC mode, control equations of LFC can be expressed by:
A C E 1 = β 1 Δ f 1 + Δ P t i e 1 _ 2 A C E 2 = β 1 Δ f 2 - Δ P t i e 1 _ 2 + Δ P t i e 2 _ 3 A C E m = β m Δ f m + Δ P t i e m - 1 _ m .
Since control inputs guarantee that A C E i is zero, it can be obtained from Equation (3) that Δ f i = 0 and Δ P t i e ( i _ j ) = 0 , which means TBC applies for LFC of cascade network.

3.2. Load Frequency Control for Ring Network under Tie-Line Bias Control

A typical 5-area ring network is shown in Figure 3.
A general m-area ring network (Figure 4) is formed by all areas interconnected in an end-to-end manner.
Control equations under TBC are expressed by:
A C E 1 = β 1 Δ f 1 - Δ P t i e ( m _ 1 ) + Δ P t i e ( 1 _ 2 ) A C E 2 = β 2 Δ f 2 - Δ P t i e ( 1 _ 2 ) + Δ P t i e ( 2 _ 3 ) A C E m = β m Δ f m - Δ P t i e ( m - 1 _ m ) + Δ P t i e ( m _ 1 ) .
By summing both sides of Equation (4), it can be obtained that:
i = 1 m A C E i = i = 1 m β i Δ f i = Δ f o i = 1 m β i .
Since A C E i = 0 under control inputs, it can be learned that Δ f 1 = Δ f 2 = Δ f m = Δ f o = 0 . However, Δ P t i e ( i _ j ) cannot be guaranteed to return to zero. Actually, any Δ P t i e ( i _ j ) = c o n s t can satisfy Equation (4), implying the existence of circulating power flow, which is undesirable and extremely dangerous for power system security.
Notice that Δ P t i e ( i _ j ) = 0 is also a solution of Equation (4). Next, the sufficient and necessary conditions will be given for the circumstances under which TBC can apply for LFC of ring networks. Assume that interchange power between Area i and Area j is denoted by P i _ j . The tie-line model is equivalent to connecting two voltage sources U i δ i with a tie-line through an equivalent reactance X T . Define the phase angle deviation Δ δ = δ 1 - δ 2 , which is small, implying s i n Δ δ = Δ δ , and actual interchange power on tie-lines can thus be expressed by:
P 1 _ 2 = T 12 Δ δ = 2 π U 1 U 2 X T f 1 d t f 2 d t ,
where T 12 stands for synchronous coefficient; f 1 and f 2 are time dependent variables. Based on the simplified equivalent tie-line model, we have the following proposition:
Lemma 1.
TBC can guarantee that system frequency and tie-line interchange power return to nominal values P i _ j , s if and only if:
P 1 _ 2 , s T 12 + P 2 _ 3 , s T 23 + + P m _ 1 , s T m 1 = 0 .
Proof of Lemma 1.
Sufficient: Define tie-line interchange power deviation by:
Δ P i _ j = P i _ j , a P i _ j , s .
According to Equations (6) and (8), it has:
f 1 d t f 2 d t P 1 _ 2 , s T 12 = Δ P 1 _ 2 T 12 f 2 d t f 3 d t P 2 _ 3 , s T 23 = Δ P 2 _ 3 T 23 f m d t f 1 d t P m _ 1 , s T m 1 = Δ P m _ 1 T m 1 .
By summation on both sides of equal signs of Equation (9) with the aid of Condition (7), it follows that:
Δ P 1 _ 2 T 12 + Δ P 2 _ 3 T 23 + Δ P m _ 1 T m 1 = 0 .
Since TBC can guarantee the total interchange power deviation per control area to return to zero:
Δ P 1 _ 2 Δ P m _ 1 = 0 Δ P 2 _ 3 Δ P 1 _ 2 = 0 Δ P m _ 1 Δ P m 1 _ m = 0 .
By combining Equations (10) and (11), it can be proved that Δ P i _ j = 0 .
Necessary: Since all tie-line interchange power deviations are zero, then Equation (10) holds. As Equation (10) always holds for the equivalent tie-line model, it can be proved that Condition (7) holds by substituting Equation (10) into Equation (9).  ☐
Remark 5.
LFC based on classical LFC model (systems linearized about the nominal equilibrium points) automatically satisfies Lemma 1 since P i _ j , s = 0 .

3.3. Hybrid Load Frequency Control Scheme for a Ring Network

As is discussed above, usually, the sufficient and necessary conditions do not hold for general ring networks. There exists only one ring network of a special structure to which TBC can apply. However, this condition requires specially constructed ring networks which are rare to be found in real-life engineering practice. More usually, a random ring network cannot satisfy this condition. In this section, the hybrid scheme is presented to solve LFC of general ring networks.
From TBC applicability analysis in Section 2, it is learned that if the number of control variables is larger than that of control inputs, the solution of Equation (2) is either non-existential or flexible. For ring networks, the number of control variables outnumbers that of control inputs by one. Hence, an auxiliary controller must be introduced for LFC to balance the number of control variables and control inputs. As for the LFC scheme, the proposed scheme must be designed in a way such that r a n k ( A ) = n + 1 . Based on TBC, a hybrid LFC scheme is proposed by alternating TBC of specific areas with pure interchange power control.
Firstly, auxiliary control system should be established. The auxiliary control center is established by dividing one certain area k into two sub-areas. k should contain the transmission line k q of the maximum transmission capacity. k q plays the role of new tie-lines of two sub-areas. The diagram of this modified ring network is as shown in Figure 5.
After ascertaining auxiliary control system, an LFC scheme should be proposed. In this paper, a hybrid LFC scheme is adopted, the control equations are expressed by:
A C E 1 = β 1 Δ f 1 Δ P t i e ( m _ 1 ) + Δ P t i e ( 1 _ 2 ) A C E 2 = β 2 Δ f 2 Δ P t i e ( 1 _ 2 ) + Δ P t i e ( 2 _ 3 ) A C E k 1 = β k 1 Δ f k Δ P t i e ( k 1 _ k ) A C E k 2 = Δ P t i e ( k _ k + 1 ) A C E m = β m Δ f m Δ P t i e ( m 1 _ m ) + Δ P t i e ( m _ 1 ) ,
where k 1 and k 2 stands for the new divided sub-areas from Area k. It is obviously known that Δ f i = 0 ( 1 i m ) when A C E i = 0 . Substitute Δ f k = 0 into the k + 1 t h Equation in (12), and then Δ P t i e ( k 1 _ k ) = 0 . In addition, substitute it into the k-th equation in (12), and it follows that Δ P t i e ( k 2 _ k 1 ) = 0 . Furthermore, Δ P t i e ( j 1 _ j ) = 0   ( 2 j k ) can be obtained. Similarly, Δ P t i e ( j 1 _ j ) = 0   ( k + 1 j m ) can be obtained. Namely, all tie-line interchange power returns to the nominal value.
Remark 6.
The hybrid LFC scheme cannot guarantee the interchange power stability of the newly established tie-line between the two sub-areas. However, since this tie-line of the divided Area k is chosen as Line k q of a large transmission capacity, it can withstand the power deviations within allowable ranges.

4. Load Frequency Control of Multi-Area Systems with General Topology

With the scale-up of power girds, interconnection between areas is becoming more and more complex. From the perspective of topology, the structure of interconnection can be classified into ring, tree, mesh, bus and star, etc. It spontaneously results in LFC problems of multi-area systems with these different interconnection manners. In this section, LFC of multi-area systems of general topologies is studied and a corresponding LFC scheme is presented, which offers routines that may guide LFC design of future interconnected multi-area systems.
Assume that there exist m interconnected areas A 1 , A 2 , ⋯, A m and A i is connected by j ( 1 i j m ) (there exists no isolated power system). Then, the control variables are COI frequency deviation Δ f o and and tie-line interchange power deviation Δ P t i e ( i _ j )   ( 1 i j m ) .
Remark 7.
For multi-area systems where there exist isolated areas, by extracting the isolated ones and implementing flat frequency control (FFC), the rest of the system conforms with the topology discussed in this section.
Problem Definition: The LFC goal of multi-area interconnected systems is to design control schemes such that lim t Δ f i 0 , lim t Δ P t i e ( i _ j ) 0 .
It can be learned that only two types of topologies exist for multi-area systems.
  • Type A: There exists no ring network in power systems.
  • Type B: There exist ring networks in power systems.
Definition 1.
The area which has only one tie-line is defined as pseudo-independent area (PIA).
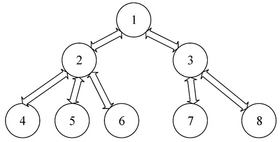
It is also learned that the Type A network can be characterized by a recursive tree structure through appropriate indexing as is shown in Figure 6.
As for the Type B network, it can be regarded as a composite network by adding tie-lines which can form cycles in the topology of Type A network. Hence, the Type B network can be indexed in the same way as indexing of the Type A one.

4.1. Load Frequency Control Scheme for the Type A Network (without Ring)

Theorem 1.
System frequency deviation Δ f i and tie-line interchange power deviation Δ P t i e ( i _ j )   ( ( 1 i j m ) of the Type A network can be guaranteed to return to zero under TBC.
Proof. 
Control equations under TBC can be defined by:
A 1 x 1 = y 1 ,
where x 1 is the control variables vector containing COI frequency deviation Δ f o and tie-line interchange power deviation Δ P t i e ( i _ j ) ; y 1 = A C E 1 A C E 2 A C E m T ; and A 1 is the coefficient matrix which can be written by:
A 1 = A 11 A 12 ,
where A 11 = β 1 β 2 β m T ; A 12 is an m × ( m 1 ) matrix containing either 0 or ± 1 which satisfies:
i = 1 m A 12 i , : = 0 0 0 m .
Namely, the row sum of A 12 is a 1 × m vector containing all zero elements.
To prove that system frequency and tie-line deviations return to zero is to prove that there only exist zero solutions for control variables x 1 , which is equivalent to proving that r a n k ( A 1 ) = r a n k ( A 1 y 1 ) = m . Since control inputs guarantee A C E i = 0 , it can then be proved that r a n k ( A 1 ) = r a n k ( A 1 y 1 ) . Therefore, the rest of the proof is to verify r a n k ( A 1 ) = m .
Elementary transformation of the matrix is used here such that the standard form of A 1 is obtained to clearly find the rank. The transformation procedures are as follows:
  • Step 1: Let n u m = m . The first row of A 1 is replaced by the sum of all rows of A 1 such that A 1 _ 1 is obtained. The first row of A 1 _ 1 is multiplied by 1 1 β i β i . Then, the jth row of A 1 _ 1   ( 2 j m ) is replaced by the sum of that row and β j of the first row:
    A 1 _ 2 = 1 0 0 0 0 × × × 0 × × × 0 × × ,
    where × stands for an uncertain value which can either be 0, 1 or 1. Notice in A 1 _ 2 that there still exists the × part, and transformation should be implemented to eliminate it. It can be learned for PIA k that its corresponding row in A 1 _ 2 , denoted by PIAR (the PIA Row), can be expressed by:
    0 0 1 s k 0 .
    For any two different PIA k l , s k s l . In the following steps, the matrix is transformed based on the area reduction (AR) approach.
  • Step 2: The AR approach is utilized starting from this step. Firstly, all the areas that are only connected by PIAs are selected. Namely, Area q, which is connected by PIA k ( 1 k m 1 ), is selected. Then, the q-th row of A 1 _ 2 is replaced by the sum of that row and PIAR v k , such that the new PIAR v q is obtained and Area q is established as a new PIA. After this transformation, for all these areas that are only connected by PIAs, the AR approach is implemented by establishing new n o PIAs and eliminating original n o PIAs, and n u m = n u m n o .
  • Step 3: if n u m = 1 , go to Step 4, else go to Step 2.
  • End
The ultimate matrix A 1 _ 2 by the transformation above can be defined by:
A 1 _ 2 = a 1 A 2 ,
where a 1 = 1 0 0 ; for any row j ( 1 j m 1 ) of A 2 , it satisfies:
0 0 1 s j 0 ,
where s j 1 . In addition, for any j i , it follows that r j r i . Thus, it is apparently known that r a n k ( A 1 _ 2 ) = m since all the transformation is elementary transformation and then r a n k ( A 1 ) = r a n k ( A 1 _ 2 ) = m . Namely, the control variables only have zero solutions and the LFC goal is reached.  ☐

4.2. Load Frequency Control Scheme for Type B Network (with Ring)

In this case, there exist ring networks in power grids. The one ring structure has already been addressed in Section 3. Hence, in this section, we emphasize systems containing multi-ring networks and design LFC schemes. Before proposing specific control schemes, a definition of independent ring (IR) is presented.
Definition 2.
Independent ring (IR) is defined by a ring network that has at least one tie-line that is not shared with other ring networks.
By analysis, it can be learned that the number of IRs is exactly the difference between the number of control variables and that of control inputs. From the discussion of TBC applicability in Section 2, it is known that the necessary conditions for zero unique solutions of control variables are that the number of control inputs and that of control variables are the same. Hence, as with the previous case of a one ring network in Section 3, auxiliary control systems are set up for this Type B network.
The auxiliary controller is introduced by founding an additional control center for the two areas on the endpoints of the unshared tie-line of the IR ring (in the case of multiple unshared tie-lies, choose the one which has the shortest length). The diagram of the auxiliary control center is shown in Figure 7.
After introducing auxiliary control systems, the LFC scheme is presented as the hybrid control mode below. The hybrid controller is composed of two parts.
  • For areas which are not contained in auxiliary control centers, the TBC mode (1) is still used.
  • For those pairs of areas ( i , j ) that are contained in certain auxiliary control centers, the LFC scheme is:
    A C E i = Δ P t i e ( i _ x ) A C E j = Δ P t i e ( j _ y ) A C E i j = β i j Δ f i j + Δ P t i e ( i _ j ) .
Theorem 2.
System frequency deviation Δ f i and tie-line interchange power deviation Δ P t i e ( i _ j )   ( ( 1 i m ,   1 j m 1 ) of the Type B network can be guaranteed to return to zero under the hybrid law in Equation (1) and Equation (16).
Proof. 
As with the proof in Theorem 1, it boils down to verifying that r a n k ( A 1 ) = m . It is easily proved that system frequency deviation Δ f i is regulated back to zero, which is obtained in the same way as through summation of control equations in Equation (3). From the third equation in Equation (16), it is learned that tie-line interchange power deviation of the chosen unshared tie-line of the IR satisfies Δ P t i e ( i _ j ) = 0 , which is equivalent to that the i ( j ) th row of A 1 _ 2 , is a PIAR. In addition, Area i and j, which connect the unshared tie-line of the IR in this case, are equivalent to PIAs. Then, the rest of the proof is the same as that in Theorem 1 and is thus omitted due to space limitations.  ☐

5. Simulation and Analysis

In this section, LFC for ring networks is investigated by means of simulations under Matlab/Simulink (R2015b, Mathworks, Natick, Massachusetts, USA). Firstly, TBC is exerted to illustrate inapplicability to LFC for ring networks. Then, the hybrid LFC scheme in Section 3.3 is used to overcome this inapplicability by making both system frequency and interchange power per tie-line return to nominal states.
According to Remark 5, it is known that the condition in Condition (7) holds for the classical LFC model spontaneously. However, the nominal values of the system states (e.g., tie-line interchange power) are definitely not zero. In this paper, the Electricity Market is introduced and the Disco participation matrix (DPM) is used to calculate the nominal/scheduled values of tie-line interchange power [23], which are non-zero values based on contracts between distribution and generation companies of the interconnected areas. The block diagram of a ring network containing three areas is shown in Figure 8. The parameters are given in [22].
There is one generation and one distribution company for each area in Figure 8, and the DPM is:
D i s c o 1 D i s c o 2 D i s c o 3 G e n c o 1 0.3 0.3 0.3 G e n c o 2 0.5 0.6 0.2 G e n c o 3 0.2 0.1 0.5 ,
where the element c p f i , j in Equation (17) is called cpf (Contract Participation Factor), which is the fraction of the total load contracted by Disco j (Distribution Company j) towards Genco i (Generation Company i). The sum of all entries in row i is one [24]. The nominal tie-line interchange power P i _ j , s is defined by:
P i _ j , s = P G i _ j , s P G j _ i , s ,
where P G i _ j , s stands for the power contracted by Discos in Area j to Gencos in Area i. The tie-line interchange power deviation is thus expressed as follows:
Δ P i _ j = P i _ j , a P i _ j , s .
Let the power demand of the Disco in Areas 1, 2 and 3 be 1 p.u., 2 p.u. and 2 p.u., respectively. Based on Equations (18) and (17), the nominal interchange power of each tie-line is 0.1 p.u., 0.2 p.u. and 0.4 p.u., respectively.
Next, simulations are executed for the following two circumstances under TBC to illustrate the sufficient and necessary conditions in Lemma 1:
  • Circumstance 1: The sufficient and necessary condition (7) holds for the ring network,
  • Circumstance 2: The sufficient and necessary condition (7) does not hold for the ring network.
In the last part of this section, the hybrid LFC scheme in Section 3.3 is tested on an IEEE 39-bus system-based ring network.
Remark 8.
In this paper, all actual control inputs, namely, the ultimate power adjustments for each LFC participating component is obtained by PI controllers: P u = K p A C E + K i A C E d t . The controller design using advanced control theories is not the emphasis of this paper.

5.1. Circumstance 1 under Tie-Line Bias Control

In this case, let synchronous coefficient T i j be T 12 = 4 , T 23 = 6 . 28 , T 31 = 7.0364 , such that P 1 _ 2 , s T 12 + P 2 _ 3 , s T 23 + P 3 _ 1 , s T 31 = 0 (Condition (7) holds). From the simulation results in Figure 9 (dashed line), it is learned that each tie-line exchange power returns to the nominal value.

5.2. Circumstance 2 under Tie-Line Bias Control

In this case, let synchronous coefficient T i j be T 12 = 4 , T 23 = 6.28 , T 31 = 6 , such that Condition (7) does not hold. From the simulation results in Figure 9 (dot line), it is learned that none of the tie-line exchange power returns to the nominal value.

5.3. Hybrid Load Frequency Control Scheme under Circumstance 2

From simulation results in Section 5.1 and Section 5.2, it can be learned that once the ring network does not satisfy Condition (7), TBC can no longer apply. In this section, the hybrid LFC scheme in Section 3.3 is simulated on a general ring network which does not satisfy Condition (7).
The standard IEEE 39-bus system is adopted to more closely reflect the practical power system [25]. In order to construct the ring network under Circumstance 2, the system is divided into three areas as is shown in Figure 10.
Notice that there exist two tie-lines between Areas 2 and 3 (the transmission lines between bus 2 and 3, bus 9 and 8). Based on Remark 1, the two lines are equivalent to one tie-line, and the LFC scheme is executed only to control the interchange power of the equivalent tie-line.
From the simulation results in Figure 11, it can be learned that the proposed LFC scheme effectively solves the TBC inapplicability problem. Interchange power of the tie-line between the sub-areas divided from Area 1, as is discussed in Remark 6, does not return to the nominal state.

6. Conclusions

In this paper, applicability of TBC-based LFC schemes toward multi-area interconnected ring networks is analyzed. The sufficient and necessary conditions where TBC can deal with LFC of ring networks is presented. In addition, for general rings that cannot satisfy the condition, a hybrid LFC scheme is designed by introducing an auxiliary controller and modifying TBC in certain areas. In addition, we discuss LFC of multi-area interconnected systems with general interconnection manners/topologies, which offers routines that may guide LFC design of future power grids with more complex topologies. The simulations of an IEEE 39-bus based three-area ring network proves the effectiveness of the proposed scheme.

Acknowledgments

This work is supported by the National Natural Science Foundation of China (No. 51577031 and No. 61473084) and the State Key Laboratory of Smart Grid Protection and Control.

Author Contributions

Chunyu Chen and Kaifeng Zhang conceived and designed the experiments; Kun Yuan performed the experiment; Chunyu Chen wrote the paper; and Kaifeng Zhang and Xianliang Teng reviewed the paper.

Conflicts of Interest

The authors declare no conflict of interest.

References

  1. Lee, S.S. Northeast Asia power system interconnection and ESS based balance strategies in South Korea. In Proceedings of the 2014 IEEE Power & Energy Society (PES) General Meeting, National Harbor, MD, USA, 27–31 July 2014; pp. 1–5.
  2. Despa, D.; Mitani, Y.; Li, C.; Watanabe, M. PMU based monitoring and estimation of interarea power oscillation for Singapore-Malaysia interconnection power system. In Proceedings of the 9th International Power & Energy Conference (IPEC 2010), Singapore, 27–29 October 2010; pp. 476–480.
  3. Jebali, M.; Ben Salah, R.; Kahouli, O.; Bouchoucha, C.; Abdallah, H.H. Stability analysis for large power system interconnections (Tunisia-Libya). In Proceedings of the 4th International Conference on Systems and Control (ICSC), Sousse, Tunisia, 28–30 April 2015; pp. 161–168.
  4. Al-Shaalan, A.M. Technical and economical merits of power systems interconnection. J. Power Energy Eng. 2013, 1, 1–7. [Google Scholar] [CrossRef]
  5. Blume, S.W. Electric Power System Basics for the Nonelectrical Professional; John Wiley & Sons: New York, NY, USA, 2008; Volume 32. [Google Scholar]
  6. Häger, U.; Rehtanz, C.; Voropai, N. Monitoring, Control and Protection of Interconnected Power Systems; Springer: New York, NY, USA, 2014; Volume 36. [Google Scholar]
  7. Liu, Y.; Liu, Q. Introduction of Three-China Grid. Appl. Energy Technol. 2011, 1, 34–35. [Google Scholar]
  8. Liu, Z.; Zhang, Q. Study on the development mode of national power grid of China. Proc. Chin. Soc. Electr. Eng. 2013, 33, 1–10. [Google Scholar]
  9. Schweppe, F.C.; Mitter, S.K. Hierarchical system theory and electric power systems. In Proceedings of the Symposium on Real Time Control of Electric Power Systems, Baden, Switzerland, 27–28 September 1972; pp. 259–277.
  10. The North American Electric Reliability Corporation (NERC). Balancing and Frequency Control; NERC: Atlanta, GA, USA, 2009. [Google Scholar]
  11. Jayawardene, I.; Venayagamoorthy, G.K. Reservoir based learning network for control of two-area power system with variable renewable generation. Neurocomputing 2015, 170, 428–438. [Google Scholar] [CrossRef]
  12. Pandey, S.K.; Mohanty, S.R.; Kishor, N. A literature survey on load–frequency control for conventional and distribution generation power systems. Renew. Sustain. Energy Rev. 2013, 25, 318–334. [Google Scholar] [CrossRef]
  13. Oni, B.; Graham, H.; Walker, L. Investigation of nonlinear tie line bias control of interconnected power systems. IEEE Trans. Power Appar. Syst. 1981, PAS-100, 2350–2356. [Google Scholar] [CrossRef]
  14. Sudha, K.; Santhi, R.V. Load frequency control of an interconnected reheat thermal system using type-2 fuzzy system including SMES units. Int. J. Electr. Power Energy Syst. 2012, 43, 1383–1392. [Google Scholar] [CrossRef]
  15. Venayagamoorthy, G.K.; Jayawardene, I.; Arunagirinathan, P. Tie-line bias control and oscillations with variable generation in a two-area power system. In Proceedings of the IEEE 7th International Conference on Information and Automation for Sustainability, Colombo, Sri Lanka, 22–24 December 2014; pp. 1–6.
  16. Lim, K.; Wang, Y.; Zhou, R. Robust decentralised load-frequency control of multi-area power systems. IEE Proc. Gener. Transm. Distrib. 1996, 143, 377–386. [Google Scholar] [CrossRef]
  17. Dong, L.; Zhang, Y.; Gao, Z. A robust decentralized load frequency controller for interconnected power systems. ISA Trans. 2012, 51, 410–419. [Google Scholar] [CrossRef] [PubMed]
  18. Rahmani, M.; Sadati, N. Hierarchical optimal robust load-frequency control for power systems. IET Gener. Transm. Distrib. 2012, 6, 303–312. [Google Scholar] [CrossRef]
  19. Franze, G.; Tedesco, F. Constrained load/frequency control problems in networked multi-area power systems. J. Frankl. Inst. 2011, 348, 832–852. [Google Scholar] [CrossRef]
  20. Tedesco, F.; Casavola, A. Fault-tolerant distributed load/frequency supervisory strategies for networked multi-area microgrids. Int. J. Robust Nonlinear Control 2014, 24, 1380–1402. [Google Scholar] [CrossRef]
  21. Rerkpreedapong, D.; Hasanović, A.; Feliachi, A. Robust load frequency control using genetic algorithms and linear matrix inequalities. IEEE Trans. Power Syst. 2003, 18, 855–861. [Google Scholar] [CrossRef]
  22. Kundur, P.; Balu, N.J.; Lauby, M.G. Power System Stability and Control; McGraw-Hill: New York, NY, USA, 1994; Volume 7. [Google Scholar]
  23. Donde, V.; Pai, M.; Hiskens, I.A. Simulation and optimization in an AGC system after deregulation. IEEE Trans. Power Syst. 2001, 16, 481–489. [Google Scholar] [CrossRef]
  24. Kothari, D.; Nagrath, I. Power System Engineering; Tata McGraw-Hill: New Delhi, India, 2008. [Google Scholar]
  25. Pai, A. Energy Function Analysis for Power System Stability; Springer Science & Business Media: New York, NY, USA, 2012; Volume 1. [Google Scholar]
Figure 1. Diagram of the Three-China synchronous 1000 kV grid.
Figure 1. Diagram of the Three-China synchronous 1000 kV grid.
Energies 10 00078 g001
Figure 2. Diagram of the m-area cascade network.
Figure 2. Diagram of the m-area cascade network.
Energies 10 00078 g002
Figure 3. Circuit diagram of a 5-area ring network.
Figure 3. Circuit diagram of a 5-area ring network.
Energies 10 00078 g003
Figure 4. Diagram of a general m-area ring network.
Figure 4. Diagram of a general m-area ring network.
Energies 10 00078 g004
Figure 5. Diagram of a redivided ring network.
Figure 5. Diagram of a redivided ring network.
Energies 10 00078 g005
Figure 6. Diagram of the tree structure of the Type A network (without ring).
Figure 6. Diagram of the tree structure of the Type A network (without ring).
Energies 10 00078 g006
Figure 7. Diagram of the auxiliary control center.
Figure 7. Diagram of the auxiliary control center.
Energies 10 00078 g007
Figure 8. Diagram of a ring network containing three areas.
Figure 8. Diagram of a ring network containing three areas.
Energies 10 00078 g008
Figure 9. Simulation results in Section 5.1 (Condition (7) holds) and Section 5.2 (Condition (7) does not hold). (a) Interchange power between Areas 1 and 2; (b) interchange power between Areas 2 and 3; and (c) interchange power between Areas 3 and 1.
Figure 9. Simulation results in Section 5.1 (Condition (7) holds) and Section 5.2 (Condition (7) does not hold). (a) Interchange power between Areas 1 and 2; (b) interchange power between Areas 2 and 3; and (c) interchange power between Areas 3 and 1.
Energies 10 00078 g009
Figure 10. Diagram of an IEEE 39 system based three-area ring network.
Figure 10. Diagram of an IEEE 39 system based three-area ring network.
Energies 10 00078 g010
Figure 11. Simulation results in Section 5.3 (Condition (7) does not hold). (a) Frequency response of three areas; (b) interchange power between Areas 1 and 2; (c) interchange power between Areas 2 and 3; (d) interchange power between Areas 3 and 1; and (e) interchange power between two sub-areas in Area 1.
Figure 11. Simulation results in Section 5.3 (Condition (7) does not hold). (a) Frequency response of three areas; (b) interchange power between Areas 1 and 2; (c) interchange power between Areas 2 and 3; (d) interchange power between Areas 3 and 1; and (e) interchange power between two sub-areas in Area 1.
Energies 10 00078 g011

Share and Cite

MDPI and ACS Style

Chen, C.; Zhang, K.; Yuan, K.; Teng, X. Tie-Line Bias Control Applicability to Load Frequency Control for Multi-Area Interconnected Power Systems of Complex Topology. Energies 2017, 10, 78. https://doi.org/10.3390/en10010078

AMA Style

Chen C, Zhang K, Yuan K, Teng X. Tie-Line Bias Control Applicability to Load Frequency Control for Multi-Area Interconnected Power Systems of Complex Topology. Energies. 2017; 10(1):78. https://doi.org/10.3390/en10010078

Chicago/Turabian Style

Chen, Chunyu, Kaifeng Zhang, Kun Yuan, and Xianliang Teng. 2017. "Tie-Line Bias Control Applicability to Load Frequency Control for Multi-Area Interconnected Power Systems of Complex Topology" Energies 10, no. 1: 78. https://doi.org/10.3390/en10010078

APA Style

Chen, C., Zhang, K., Yuan, K., & Teng, X. (2017). Tie-Line Bias Control Applicability to Load Frequency Control for Multi-Area Interconnected Power Systems of Complex Topology. Energies, 10(1), 78. https://doi.org/10.3390/en10010078

Note that from the first issue of 2016, this journal uses article numbers instead of page numbers. See further details here.

Article Metrics

Back to TopTop