Next Issue
Volume 18, 02
Previous Issue
Volume 17, 08
 
 
cardiovascmed-logo

Journal Browser

Journal Browser
Cardiovascular Medicine is published by MDPI from Volume 28 Issue 1 (2025). Previous articles were published by another publisher in Open Access under a CC-BY (or CC-BY-NC-ND) licence, and they are hosted by MDPI on mdpi.com as a courtesy and upon agreement with Editores Medicorum Helveticorum (EMH).

Cardiovasc. Med., Volume 18, Issue 1 (01 2015) – 8 articles

  • Issues are regarded as officially published after their release is announced to the table of contents alert mailing list.
  • You may sign up for e-mail alerts to receive table of contents of newly released issues.
  • PDF is the official format for papers published in both, html and pdf forms. To view the papers in pdf format, click on the "PDF Full-text" link, and use the free Adobe Reader to open them.
Order results
Result details
Select all
Export citation of selected articles as:
7 pages, 183 KB  
Review
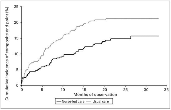
Integrated Nurse-Led Oral Anticoagulation Management
by Jeroen M. L. Hendriks and Anna Strömberg
Cardiovasc. Med. 2015, 18(1), 9; https://doi.org/10.4414/cvm.2015.00305 - 21 Jan 2015
Viewed by 104
Abstract
The management of atrial fibrillation (AF) is a complex process because AF is not only a heart rhythm disturbance but also a vascular disease, which necessitates treatment of the arrhythmia, prevention of thromboembolic complications and treatment of the underlying cardiovascular components. Moreover, although [...] Read more.
The management of atrial fibrillation (AF) is a complex process because AF is not only a heart rhythm disturbance but also a vascular disease, which necessitates treatment of the arrhythmia, prevention of thromboembolic complications and treatment of the underlying cardiovascular components. Moreover, although evidence-based guidelines for AF management are available, research demonstrated poor guideline adherence in the treatment of AF, resulting in increased morbidity and mortality rates in these patients. As a consequence, current practice calls for a more comprehensive management approach. This integrated approach to care contributes to the availability of evidence-based care by redesigning daily practice while improving clinical outcomes. In this paper the fundamentals of an integrated approach to care are presented in terms of a nurse-led, guideline-based, software-supported outpatient clinic for patients with AF. Also, the effectiveness of this AF-Clinic is discussed from the viewpoint of oral anticoagulation therapy, compared with usual care. Full article
Show Figures

Figure 1

3 pages, 105 KB  
Review
ESC Guidelines: Take Home Messages for Swiss Physicians---Management of Arterial Hypertension
by Grégoire Wuerzner and Michel Burnier
Cardiovasc. Med. 2015, 18(1), 6; https://doi.org/10.4414/cvm.2015.00304 - 21 Jan 2015
Viewed by 81
Abstract
The new guidelines for the management of arterial hypertension were released in 2013 by the European Society of Hypertension (ESH) and the European Society of Cardiology (ESC). The purpose of this review is to highlight some of the changes in these new guidelines [...] Read more.
The new guidelines for the management of arterial hypertension were released in 2013 by the European Society of Hypertension (ESH) and the European Society of Cardiology (ESC). The purpose of this review is to highlight some of the changes in these new guidelines compared to the previous version. Full article
Show Figures

Figure 1

3 pages, 692 KB  
Interesting Images
Extreme Rocking Motion of an Infected Aortic Bioprosthesis
by Stéphane Noble, Aude Maillefer and Mustafa Cikirikcioglu
Cardiovasc. Med. 2015, 18(1), 34; https://doi.org/10.4414/cvm.2015.00301 - 21 Jan 2015
Viewed by 86
Abstract
A 66-year-old man underwent aortic valve replace-ment (AVR) for severe aortic regurgitation in 2003 [...] Full article
Show Figures

Figure 1

2 pages, 1074 KB  
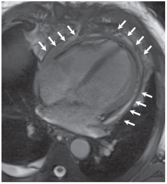
Interesting Images
Kussmaul's Sign in Effusive Constrictive Pericarditis
by Mattia Cattaneo, Stefano Muzzarelli, Francesco Faletra, Alessandra Pia Porretta, Francesco Siclari and Augusto Gallino
Cardiovasc. Med. 2015, 18(1), 32; https://doi.org/10.4414/cvm.2015.00296 - 21 Jan 2015
Viewed by 211
Abstract
A 67-year old man with mitral valve prolapse and moderate regurgitation was admitted because of dyspnoea, bilateral ankle swelling and hypotension. Close inspection of the jugular veins identified Kussmaul’s sign, a typical increase in the central venous pressure during inspiration (fig. 1; arrows) [...] Read more.
A 67-year old man with mitral valve prolapse and moderate regurgitation was admitted because of dyspnoea, bilateral ankle swelling and hypotension. Close inspection of the jugular veins identified Kussmaul’s sign, a typical increase in the central venous pressure during inspiration (fig. 1; arrows) [...]
Full article
Show Figures

Figure 1

3 pages, 118 KB  
Editorial
Duration of Dual Antiplatelet Therapy After Coronary Artery Stenting
by Ronald K. Binder and Thomas F. Lüscher
Cardiovasc. Med. 2015, 18(1), 3; https://doi.org/10.4414/cvm.2015.00308 - 21 Jan 2015
Viewed by 86
Abstract
With the introduction of coronary artery stenting in the mid 1980s [...] Full article
Show Figures

Figure 1

7 pages, 171 KB  
Review
Vorhofflimmern und Herzinsuffizienz
by David R. Altmann and Hans Rickli
Cardiovasc. Med. 2015, 18(1), 25; https://doi.org/10.4414/cvm.2015.00302 - 21 Jan 2015
Viewed by 90
Abstract
Atrial fibrillation and cardiac insufficiency: Atrial fibrillation and heart failure with left ventricular systolic dysfunction have emerged as a dual cardiovascular epidemic over the last decades. The steadily increasing number of heart failure patients is due partially to both the remarkable progress made [...] Read more.
Atrial fibrillation and cardiac insufficiency: Atrial fibrillation and heart failure with left ventricular systolic dysfunction have emerged as a dual cardiovascular epidemic over the last decades. The steadily increasing number of heart failure patients is due partially to both the remarkable progress made in drug treatment and the rapid revascularisation of patients with acute myocardial infarction, who are thus able to live or survive longer. Atrial fibrillation is the most common arrhythmia encountered in clinical practice, and its incidence increases with age. Although there is no causative relationship between them, these two clinical entities–due to common risk factors–often tend to occur together, influencing each other. When occurring in association with heart failure, atrial fibrillation is either likely related to enhanced mortality or, alternatively, a marker of advanced heart failure. This overview provides insights into how atrial fibrillation and heart failure impact on each other, in addition to therapeutic options such as, for example, the question as to the benefits of cardiac rhythm control in patients suffering from heart failure. Full article
Show Figures

Figure 1

5 pages, 471 KB  
Review
The Heart and Cirrhosis
by Philippe Meyer and Laurent Spahr
Cardiovasc. Med. 2015, 18(1), 20; https://doi.org/10.4414/cvm.2015.00299 - 21 Jan 2015
Cited by 1 | Viewed by 116
Abstract
Cirrhosis has known effects on the cardiovascular system. These changes have been designated under the term cirrhotic cardiomyopathy. Half of cirrhotic patients may present this syndrome, which consists of structural, electrophysiological and functional alterations. The main features include enlargement of cardiac chambers, impaired [...] Read more.
Cirrhosis has known effects on the cardiovascular system. These changes have been designated under the term cirrhotic cardiomyopathy. Half of cirrhotic patients may present this syndrome, which consists of structural, electrophysiological and functional alterations. The main features include enlargement of cardiac chambers, impaired cardiac response to stress, diastolic dysfunction and prolonged QT interval. Electrocardiogram, determination of natriuretic peptides, and echocardiography are the cornerstones of diagnosis. Pathophysiology is mostly related to systemic vasodilatation and hyperdynamic circulation. The impact of cirrhotic cardiomyopathy in the overall prognosis of patients with cirrhosis is not well documented. Management consists mainly of diuretics to control volume overload since no specific therapy has proved effective yet. Cirrhotic cardiomyopathy is generally reversible after liver transplantation. Full article
Show Figures

Figure 1

Article
Updated ESC Guidelines: Management of Stable Coronary Artery Disease
by Michael J. Zellweger
Cardiovasc. Med. 2015, 18(1), ; https://doi.org/10.4414/cvm.2015.00295 - 21 Jan 2015
Abstract
Chest pain is the number one topic we deal with as cardiologists in daily practice. In this context in 2013 the updated ESC guidelines on the management of stable coronary artery disease have been published. In the new guidelines the pretest probability of [...] Read more.
Chest pain is the number one topic we deal with as cardiologists in daily practice. In this context in 2013 the updated ESC guidelines on the management of stable coronary artery disease have been published. In the new guidelines the pretest probability of disease plays an even more important role than in prior editions of the guidelines. When evaluating a chest pain patient, not only diagnostic but also prognostic assessment is important. Stress imaging is always preferred in intermediate pretest probability patients. The new guidelines also provide thresholds for accurate risk stratification and treatment of patients with stable CAD. Full article
Previous Issue
Next Issue
Back to TopTop